A Dietary Supplement Containing Nucleotides, Oligosaccharides, Vitamin E and β-Carotene Promotes Immune Response and Gut Microbiota Changes in Kittens
Simple Summary
Abstract
1. Introduction
2. Materials and Methods
2.1. Study Design
2.2. Animals and Diets
2.3. Ethics Approval Statement
2.4. Housing, Husbandry and Veterinary Care
2.5. Vaccination Schedule
2.6. Blood Sample Collection
2.7. Standard Hematology Analysis
2.8. Serum Antibodies
2.9. Measurements of Cytokine Expression via Whole Blood Assay
2.10. Rectal Swab Collection and Preparation
2.11. Microbiota Analysis
2.12. Statistical Analysis
3. Results
3.1. Dietary Acceptance, Body Weight and Body Measurements
3.2. Hematology Analysis
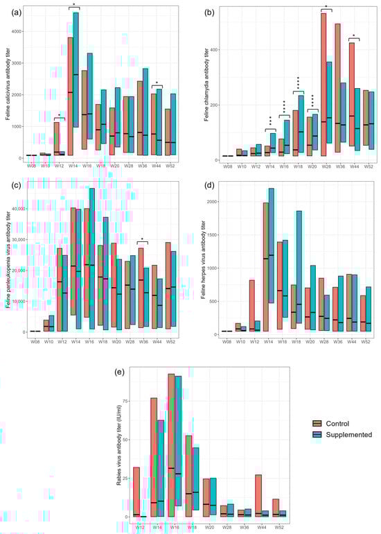
3.3. Serum Antibody Responses to Vaccinations
3.4. Serum Cytokines
3.5. Microbiota Analysis
3.5.1. Relative Abundance
3.5.2. Alpha Diversity
3.5.3. Beta Diversity
Control Group Time Series Comparison
Supplemented Group Time Series Comparison
3.5.4. Univariate Analysis
4. Discussion
5. Conclusions
Supplementary Materials
Author Contributions
Funding
Institutional Review Board Statement
Informed Consent Statement
Data Availability Statement
Acknowledgments
Conflicts of Interest
Abbreviations
| DC | Detectable concentration |
| FCV | Feline calicivirus |
| FHV | Feline herpes virus |
| FPV | Feline panleukopenia virus |
| GM-CSF | Granulocyte-macrophage colony-stimulating factor |
| IL | Interleukin |
| KC | Keratinocyte-derived chemokine |
| LoD | Limit of Detection |
| LoQ | Limit of Quantification |
| MCH | Mean corpuscular hemoglobin |
| MCHC | Mean corpuscular hemoglobin concentration |
| MCP-1 | Monocyte chemoattractant protein-1 |
| MCV | Mean corpuscular volume |
| MED | Minimum entropy decomposition |
| OTU | Operational taxonomic unit |
| PHA | Phytohemagglutinin |
| PCoA | Principal coordinate analysis |
| PDGF-BB | Platelet-derived growth factor-BB |
| RA | Rabies antigen |
| RANTES | Regulated on activation, normal T cell expressed and secreted |
| SCF | Stem cell factor |
| SCFA | Short Chain Fatty Acid |
| scFOS | Short chain fructooligosaccharide |
| SDF-1 | Stromal cell-derived factor 1 |
| sFas | Soluble Fas |
| SPF | Specific pathogen free |
| TNF-α | Tumor necrosis factor α |
| XOS | Xylooligosaccharides |
References
- Maggini, S.; Pierre, A.; Calder, P.C. Immune Function and Micronutrient Requirements Change over the Life Course. Nutrients 2018, 10, 1531. [Google Scholar] [CrossRef] [PubMed]
- Calder, P.C.; Jackson, A.A. Undernutrition, Infection and Immune Function. Nutr. Res. Rev. 2000, 13, 3–29. [Google Scholar] [CrossRef] [PubMed]
- Deusch, O.; O’Flynn, C.; Colyer, A.; Morris, P.; Allaway, D.; Jones, P.G.; Swanson, K.S. Deep Illumina-based Shotgun Sequencing Reveals Dietary Effects on the Structure and Function of the Fecal Microbiome of Growing Kittens. PLoS ONE 2014, 9, e101021. [Google Scholar] [CrossRef] [PubMed]
- Munteanu, C.; Schwartz, B. The Relationship Between Nutrition and the Immune System. Front. Nutr. 2022, 9, 1082500. [Google Scholar] [CrossRef]
- Childs, C.E.; Calder, P.C.; Miles, E.A. Diet and Immune Function. Nutrients 2019, 11, 1933. [Google Scholar] [CrossRef]
- Hess, J.R.; Greenberg, N.A. The Role of Nucleotides in the Immune and Gastrointestinal Systems: Potential Clinical Applications. Nutr. Clin. Pract. 2012, 27, 281–294. [Google Scholar] [CrossRef]
- Tonini, B.; Fusi, E.; Rizzi, R.; Bontempo, V. Nucleotides in Canine Colostrum and Milk at Different Stages of Lactation. Arch. Anim. Nutr. 2010, 64, 337–341. [Google Scholar] [CrossRef]
- Romano, V.; Martinez-Puig, D.; Torre, C.; Iraculis, N.; Vilaseca, L.I.; Chetrit, C. Dietary Nucleotides Improve the Immune Status of Puppies at Weaning. J. Anim. Phys. Anim. Nutr. 2007, 91, 158–162. [Google Scholar] [CrossRef]
- Manzano, M.; Abadía-Molina, A.C.; Olivares, E.G.; Gil, A.; Rueda, R. Dietary nucleotides accelerate changes in intestinal lymphocyte maturation in weanling mice. J. Pediatr. Gastroenterol. Nutr. 2003, 37, 453–461. [Google Scholar]
- Barry, K.A.; Wojcicki, B.J.; Middelbos, I.S.; Vester, B.M.; Swanson, K.S.; Fahey, G.C., Jr. Dietary Cellulose, Fructooligosaccharides, and Pectin Modify Fecal Protein Catabolites and Microbial Populations in Adult Cats. J. Anim. Sci. 2010, 88, 2978–2987. [Google Scholar] [CrossRef]
- Sanders, M.E.; Merenstein, D.J.; Reid, G.; Gibson, G.R.; Rastall, R.A. Probiotics and Prebiotics in Intestinal Health and Disease: From Biology to the Clinic. Nat. Rev. Gastroenterol. Hepatol. 2019, 16, 605–616. [Google Scholar] [CrossRef] [PubMed]
- Adogony, V.; Respondek, F.; Biourge, V.; Rudeaux, F.; Delaval, J.; Bind, J.L.; Salmon, H. Effects of Dietary scFOS on Immunoglobulins in Colostrums and Milk of Bitches. J. Anim. Phys. Anim. Nutr. 2007, 91, 169–174. [Google Scholar] [CrossRef] [PubMed]
- Jain, I.; Kumar, V.; Satyanarayana, T. Xylooligosaccharides: An Economical Prebiotic From Agroresidues and Their Health Benefits. Indian J. Exp. Biol. 2015, 53, 131–142. [Google Scholar] [PubMed]
- Christensen, E.G.; Licht, T.R.; Leser, T.D.; Bahl, M.I. Dietary Xylo-oligosaccharide Stimulates Intestinal Bifidobacteria and Lactobacilli but has Limited Effect on Intestinal Integrity in Rats. BMC Res. Notes 2014, 7, 660. [Google Scholar] [CrossRef]
- Childs, C.E.; Röytiö, H.; Alhoniemi, E.; Fekete, A.A.; Forssten, S.D.; Hudjec, N.; Lim, Y.N.; Steger, C.J.; Yaqoob, P.; Tuohy, K.M.; et al. Xylo-oligosaccharides Alone or in Synbiotic Combination with Bifidobacterium animalis subsp. lactis Induce Bifidogenesis and Modulate Markers of Immune Function in Healthy Adults: A Double-Blind, Placebo-Controlled, Randomised, Factorial Cross-Over Study. Brit J. Nutr. 2014, 111, 1945–1956. [Google Scholar]
- Nabarlatz, D.; Montané, D.; Kardosová, A.; Bekesová, S.; Hríbalová, V.; Ebringerová, A. Almond Shell Xylo-Oligosaccharides Exhibiting Immunostimulatory Activity. Carbohydr Res. 2007, 342, 122–128. [Google Scholar] [CrossRef]
- Chen, H.H.; Chen, Y.K.; Chang, H.C.; Lin, S.Y. Immunomodulatory Effects of Xylooligosaccharides. Food Sci. Technol. Res. 2012, 18, 195–199. [Google Scholar] [CrossRef]
- O’Brien, T.; Thomas, D.G.; Morel, P.C.; Rutherfurd-Markwick, K.J. Moderate Dietary Supplementation with Vitamin E Enhances Lymphocyte Functionality in the Adult Cat. Res. Vet. Sci. 2015, 99, 63–69. [Google Scholar] [CrossRef]
- Schweigert, F.J.; Raila, J.; Wichert, B.; Kienzle, E. Cats Absorb β-Carotene, but It Is Not Converted to Vitamin A. J. Nutr. 2002, 132, 1610S–1612S. [Google Scholar] [CrossRef]
- Chew, B.P.; Park, J.S.; Wong, T.S.; Kim, H.W.; Weng, B.B.; Byrne, K.M.; Hayek, M.G.; Reinhart, G.A. Dietary Beta-Carotene Stimulates Cell-Mediated and Humoral Immune Response in Dogs. J. Nutr. 2000, 130, 1910–1913. [Google Scholar] [CrossRef]
- Atwal, J.; Joly, W.; Bednall, R.; Albanese, F.; Farquhar, M.; Holcombe, L.J.; Watson, P.; Harrison, M. Dietary Supplementation with Nucleotides, Short-Chain Fructooligosaccharides, Xylooligosaccharides, Beta-Carotene and Vitamin E Influences Immune Function in Kittens. Animals 2023, 13, 3734. [Google Scholar] [CrossRef]
- National Research Council. Nutrient Requirements of Dogs and Cats; The National Academies Press: Washington, DC, USA, 2006.
- Robinson, V. Finding Alternatives: An Overview of the 3Rs and the Use of Animals in Research. School Sci. Rev. 2005, 87, 111–114. [Google Scholar]
- Sert, N.P.d.; Hurst, V.; Ahluwalia, A.; Alam, S.; Avey, M.T.; Baker, M.; Browne, W.J.; Clark, A.; Cuthill, I.C.; Dirnagl, U.; et al. The ARRIVE Guidelines 2.0: Updated Guidelines for Reporting Animal Research. PLoS Biol. 2020, 18, 1–12. [Google Scholar]
- Edgar, R.C.; Haas, B.J.; Clemente, J.C.; Quince, C.; Knight, R. UCHIME Improves Sensitivity and Speed of Chimera Detection. Bioinformatics 2011, 27, 2194–2200. [Google Scholar] [CrossRef] [PubMed]
- Rognes, T.; Flouri, T.; Nichols, B.; Quince, C.; Mahé, F. VSEARCH: A Versatile Open Source Tool for Metagenomics. Peer J. 2016, 4, e2584. [Google Scholar] [CrossRef]
- Eren, A.M.; Morrison, H.G.; Lescault, P.J.; Reveillaud, J.; Vineis, J.H.; Sogin, M.L. Minimum Entropy Decomposition: Unsupervised Oligotyping for Sensitive Partitioning of High-Throughput Marker Gene Sequences. ISME J. 2015, 9, 968–979. [Google Scholar] [CrossRef] [PubMed]
- Eren, A.M.; Maignien, L.; Sul, W.J.; Murphy, L.G.; Grim, S.L.; Morrison, H.G.; Sogin, M.L. Oligotyping: Differentiating Between Closely Related Microbial Taxa Using 16S rRNA Gene Data. Methods Ecol. Evol. 2013, 4, 1111–1119. [Google Scholar] [CrossRef]
- Camacho, C.; Coulouris, G.; Avagyan, V.; Ma, N.; Papadopoulos, J.; Bealer, K.; Madden, T.L. BLAST+: Architecture and Applications. BMC Bioinform. 2009, 10, 421. [Google Scholar] [CrossRef]
- R Core Team. R: A Language and Environment for Statistical Computing, version 4.1.0; R Foundation for Statistical Computing: Vienna, Austria, 2021. [Google Scholar]
- Wickham, H. Ggplot2: Elegant Graphics for Data Analysis; Springer: New York, NY, USA, 2016. [Google Scholar]
- Wickham, H.; François, R.; Henry, L.; Müller, K.; Vaughan, D. dplyr: A Grammar of Data Manipulation. R Package, Version 1.1.4.; 2023. Available online: https://dplyr.tidyverse.org (accessed on 1 December 2025).
- Bates, D.; Mächler, M.; Bolker, B.; Walker, S. Fitting Linear Mixed-Effects Models Using lme4. J. Stat. Software 2015, 67, 1–48. [Google Scholar] [CrossRef]
- Lenth, R. emmeans: Estimated Marginal Means, aka Least-Squares Means. R Package, Version 1.8.2; The R Foundation: Vienna, Austria, 2022. [Google Scholar]
- Anderson, M.J.; Ellingsen, K.E.; McArdle, B.H. Multivariate dispersion as a measure of beta diversity. Ecol. Lett. 2006, 9, 683–693. [Google Scholar] [CrossRef]
- Love, M.I.; Huber, W.; Anders, S. Moderated Estimation of Fold Change and Dispersion for RNA-seq Data with DESeq2. Gen. Biol. 2014, 15, 550. [Google Scholar] [CrossRef]
- Salt, C.; Butterwick, R.F.; Henzel, K.S.; German, A.J. Comparison of Growth in Neutered Domestic Shorthair kittens With Growth in Sexually-Intact Cats. PLoS ONE 2023, 18, e0283016. [Google Scholar] [CrossRef] [PubMed]
- Alexander, L.G.; Salt, C.; Thomas, G.; Butterwick, R. Effects of Neutering on Food Intake, Body Weight and Body Composition in Growing Female Kittens. Brit. J. Nutr. 2011, 106, S19–S23. [Google Scholar] [CrossRef] [PubMed]
- Grindem, C. Normal Hematology of the Cat. In Schalm’s Veterinary Hematology, 6th ed.; Weiss, D.J., Wardrop, K.J., Eds.; Wiley-Blackwell: Hoboken, NJ, USA, 2011; Volume 105, pp. 811–820. [Google Scholar]
- Chapman, S. Generating and Interpreting Test Results: Test Validity, Quality Control, Reference Values and Basic Epidemiology. In Duncan & Prasse’s Veterinary Laboratory Medicine: Clinical Pathology, 5th ed.; Latimer, K.S., Ed.; Wiley-Blackwell: Hoboken, NJ, USA, 2011; Volume 13, p. 365. [Google Scholar]
- Gil, A. Modulation of the Immune Response Mediated by Dietary Nucleotides. Eur. J. Clin. Nutr. 2002, 56, S1–S4. [Google Scholar] [CrossRef] [PubMed]
- Vojtek, B.; Mojzisova, J.; Kulichova, L.; Smrco, P.; Drazovska, M. Effects of Dietary Nucleotides and Cationic Peptides on Vaccination Response in Cats. Vet. Med. 2021, 66, 17–23. [Google Scholar] [CrossRef]
- Cooper, A.M.; Khader, S.A. IL-12p40: An Inherently Agonistic Cytokine. Trends Immunol. 2007, 28, 33–38. [Google Scholar] [CrossRef]
- Seyfizadeh, N.; Seyfizadeh, N.; Gharibi, T.; Babaloo, Z. Interleukin-13 as an important cytokine: A review on its roles in some human diseases. Acta Microbiol. Immunol. Hung. 2015, 62, 341–378. [Google Scholar] [CrossRef][Green Version]
- Zurawski, G.; de Vries, J.E. Interleukin 13, an interleukin 4-like cytokine that acts on monocytes and B cells, but not on T cells. Immunol. Today 1994, 15, 19–26. [Google Scholar] [CrossRef]
- Scott, T.E.; Lewis, C.V.; Zhu, M.; Wang, C.; Samuel, C.S.; Drummond, G.R.; Kemp-Harper, B.K. IL-4 and IL-13 induce equivalent expression of traditional M2 markers and modulation of reactive oxygen species in human macrophages. Sci Rep. 2023, 13, 19589. [Google Scholar] [CrossRef]
- Aliyu, M.; Zohora, F.T.; Anka, A.U.; Ali, K.; Maleknia, S.; Saffarioun, M.; Azizi, G. Interleukin-6 Cytokine: An Overview of the Immune Regulation, Immune Dysregulation, and Therapeutic Approach. Int. Immunopharmacol. 2022, 111, 109130. [Google Scholar] [CrossRef]
- Kimura, T.; Kano, R.; Maeda, S.; Tsujimoto, H.; Nagata, M.; Hasegawa, A. Expression of RANTES mRNA in Skin Lesions of Feline Eosinophilic Plaque. Vet. Dermatol. 2003, 14, 269–273. [Google Scholar] [CrossRef]
- Hill, C.J.; Lynch, D.B.; Murphy, K.; Ulaszewska, M.; Jeffery, I.B.; O’Shea, C.A.; Watkins, C.; Dempsey, E.; Mattivi, F.; Tuohy, K.; et al. Evolution of Gut Microbiota Composition from Birth to 24 weeks in the INFANTMET Cohort. Microbiome 2017, 5, 4. [Google Scholar] [CrossRef]
- Mondo, E.; Marliani, G.; Accorsi, P.A.; Cocchi, M.; Di Leone, A. Role of Gut Microbiota in Dog and Cat’s Health and Diseases. Open Vet. J. 2019, 9, 253–258. [Google Scholar] [CrossRef]
- Xie, A.; Zhang, Y.; Tang, Z.; Robinson, J.M.; Huang, Q.; Su, J.Q.; Sun, X. Gut Microbiome Disruption in Free-Roaming Cats: Do Antibiotics Reduce or Restructure Zoonotic Risk? One Health 2025, 21, 101186. [Google Scholar] [CrossRef] [PubMed]
- Lyu, Y.; Su, C.; Verbrugghe, A.; Van de Wiele, T.; Martos Martinez-Caja, A.; Hesta, M. Past, Present, and Future of Gastrointestinal Microbiota Research in Cats. Front. Microbiol. 2020, 11, 1661. [Google Scholar] [CrossRef] [PubMed]
- Ganz, H.H.; Jospin, G.; Rojas, C.A.; Martin, A.L.; Dahlhausen, K.; Kingsbury, D.D.; Osborne, C.X.; Entrolezo, Z.; Redner, S.; Ramirez, B.; et al. The Kitty Microbiome Project: Defining the Healthy Fecal “Core Microbiome” in Pet Domestic Cats. Vet. Sci. 2022, 9, 635. [Google Scholar] [CrossRef] [PubMed]
- Zhang, H.; Ren, Y.; Wei, S.; Jin, H.; Wang, Y.; Jin, M. Dynamic Development of Gut Microbiota and Metabolism During and After Weaning of Kittens. Anim. Microb. 2025, 7, 10. [Google Scholar] [CrossRef]
- Deng, P.; Swanson, K.S. Gut Microbiota of Humans, Dogs and Cats: Current Knowledge and Future Opportunities and Challenges. Br. J. Nutr. 2015, 13, S6–S17. [Google Scholar] [CrossRef]
- Li, Z.; Di, D.; Sun, Q.; Yao, X.; Wei, J.; Li, B.; Liu, K.; Shao, D.; Qiu, Y.; Liu, H.; et al. Comparative Analyses of the Gut Microbiota in Growing Ragdoll Cats and Felinae Cats. Animals 2022, 12, 2467. [Google Scholar] [CrossRef]
- Ricaboni, D.; Mailhe, M.; Vitton, V.; Andrieu, C.; Fournier, P.E.; Raoult, D. “Negativibacillus massiliensis” gen. nov., sp. nov., Isolated From Human Left Colon. New Microb. New Infect. 2017, 17, 36–38. [Google Scholar] [CrossRef]
- Kawata, M.; Tsukamoto, A.; Isozaki, R.; Nobukawa, S.; Kawahara, N.; Akutsu, S.; Suzuki, M.; Asanuma, N. Glucerabacter canisensis gen. nov., sp. nov., Isolated From Dog Feces and its Effect on the Hydrolysis of Plant Glucosylceramide in the Intestine of Dogs. Arch. Microbiol. 2018, 200, 505–515. [Google Scholar] [CrossRef] [PubMed]
- Cunha, F.; Zhai, Y.; Casaro, S.; Jones, K.L.; Hernandez, M.; Bisinotto, R.S.; Kariyawasam, S.; Brown, M.B.; Phillips, A.; Jeong, K.C.; et al. Pangenomic and Biochemical Analyses of Helcococcus ovis Reveal Widespread Tetracycline Resistance and a Novel Bacterial Species, Helcococcus bovis. Front. Microbiol. 2024, 15, 1456569. [Google Scholar] [CrossRef] [PubMed]
- Murphy, E.C.; Frick, I.M. Gram-Positive Anaerobic Cocci-Commensals and Opportunistic Pathogens. FEMS Microbiol. Rev. 2013, 37, 520–553. [Google Scholar] [CrossRef] [PubMed]
- Rojas, C.A.; Marks, S.L.; Borras, E.; Lesea, H.; McCartney, M.M.; Coil, D.A.; Davis, C.E.; Eisen, J.A. Characterization of the Microbiome and Volatile Compounds in Anal Gland Secretions from Domestic Cats (Felis catus) Using Metagenomics and Metabolomics. Sci. Rep. 2023, 13, 19382. [Google Scholar] [CrossRef]
- Kanakupt, K.; Vester Boler, B.M.; Dunsford, B.R.; Fahey, G.C., Jr. Effects of Short-Chain Fructooligosaccharides and Galactooligosaccharides, Individually and in Combination, on Nutrient Digestibility, Fecal Fermentative Metabolite Concentrations, and Large Bowel Microbial Ecology of Healthy Adult Cats. J. Anim. Sci. 2011, 89, 1376–1384. [Google Scholar] [CrossRef]
- Sparkes, A.H.; Papasouliotis, K.; Sunvold, G.; Werrett, G.; Gruffydd-Jones, E.A.; Egan, K.; Gruffydd-Jones, T.J.; Reinhart, G. Effect of Dietary Supplementation with Fructo-oligosaccharides on Fecal Flora of Healthy Cats. Am. J. Vet. Res. 1998, 59, 436–440. [Google Scholar] [CrossRef]
- Lyu, Y.; Debevere, S.; Bourgeois, H.; Ran, M.; Broeckx, B.J.G.; Vanhaecke, L.; Wiele, T.V.; Hesta, M. Dose-Dependent Effects of Dietary Xylooligosaccharides Supplementation on Microbiota, Fermentation and Metabolism in Healthy Adult Cats. Molecules 2020, 25, 5030. [Google Scholar] [CrossRef]
- Tizard, I.R.; Jones, S.W. The Microbiota Regulates Immunity and Immunologic Diseases in Dogs and Cats. Vet. Clin. N. Am. Small Anim. Pract. 2018, 48, 307–322. [Google Scholar] [CrossRef]
- Chew, B.P. Importance of Antioxidant Vitamins in Immunity and Health in Animals. Anim. Feed Sci. Technol. 1996, 59, 103–114. [Google Scholar] [CrossRef]
- Hughes, D.A. Effects of Carotenoids on Human Immune Function. Proc. Nutr. Soc. 1999, 58, 713–718. [Google Scholar] [CrossRef]
- Deusch, O.; O’Flynn, C.; Colyer, A.; Swanson, K.S.; Allaway, D.; Morris, P.A. Longitudinal Study of the Feline Faecal Microbiome Identifies Changes into Early Adulthood Irrespective of Sexual Development. PLoS ONE 2015, 10, e0144881. [Google Scholar] [CrossRef]
- Fischer, M.M.; Kessler, A.M.; Kieffer, D.A.; Knotts, T.A.; Kim, K.; Wei, A.; Ramsey, J.J.; Fascetti, A.J. Effects of Obesity, Energy Restriction and Neutering on the Faecal Microbiota of Cats. Br. J. Nutr. 2017, 118, 513–524. [Google Scholar] [CrossRef]
- Radhakrishnan, S.T.; Gallagher, K.I.; Mullish, B.H.; Serrano-Contreras, J.I.; Alexander, J.L.; Miguens Blanco, J.; Danckert, N.P.; Valdivia-Garcia, M.; Hopkins, B.J.; Ghai, A.; et al. Rectal Swabs as a Viable Alternative to Faecal Sampling for the Analysis of Gut Microbiota Functionality and Composition. Sci. Rep. 2023, 13, 493. [Google Scholar] [CrossRef]







| Proximate Analysis (as Fed) | Control Diet (1) | Control Diet (2) | Test Diet |
|---|---|---|---|
| Moisture (%) | 5.2 | 4.8 | 5.5 |
| Crude protein (%) | 32.2 | 32.4 | 31.7 |
| Crude fat (%) | 18.3 | 18.1 | 18.6 |
| Total dietary fiber (%) | 8.5 | 8.1 | 7.0 |
| Ash (%) | 6.5 | 6.9 | 6.2 |
| Gross Energy (kcal/g) | 5.04 | 5.05 | 5.00 |
| Sodium (%) | 0.40 | 0.40 | 0.41 |
| Phosphorus (%) | 0.92 | 0.93 | 0.95 |
| Potassium (%) | 0.63 | 0.60 | 0.61 |
| Magnesium (%) | 0.07 | 0.09 | 0.09 |
| Sulfur (%) | 0.45 | 0.46 | 0.38 |
| Calcium (%) | 1.04 | 1.03 | 1.03 |
| Chloride (%) | 0.77 | 0.75 | 0.69 |
| Oxalic acid (ppm) | 522 | 492 | 355 |
| Fixed Effect | Body Weight | Front Leg Length | Thoracic Circumference | ||||||
|---|---|---|---|---|---|---|---|---|---|
| Chisq | Df | p-Value | Chisq | Df | p-Value | Chisq | Df | p-Value | |
| (Intercept) | 0.99 | 1 | 0.3203 | 1963.02 | 1 | < 0.0001 | 630.76 | 1 | < 0.0001 |
| Group | 0.00 | 1 | 0.9802 | 1.20 | 1 | 0.2731 | 0.04 | 1 | 0.8368 |
| Week | 7291.46 | 50 | < 0.0001 | 1410.41 | 21 | < 0.0001 | 817.94 | 21 | < 0.0001 |
| Gender | 0.00 | 1 | 0.9943 | 5.28 | 1 | 0.0215 | 4.91 | 1 | 0.0267 |
| Group:week | 324.72 | 50 | < 0.0001 | 124.00 | 21 | < 0.0001 | 131.07 | 21 | < 0.0001 |
| Group:gender | 0.00 | 1 | 0.9612 | 1.99 | 1 | 0.1579 | 1.25 | 1 | 0.2637 |
| Week:gender | 1106.79 | 50 | < 0.0001 | 108.08 | 21 | < 0.0001 | 51.72 | 21 | 0.0002 |
| Groupweek:gender | 49.59 | 50 | 0.4897 | 18.30 | 21 | 0.6301 | 15.85 | 21 | 0.7783 |
| Df | SumOfSqs | R2 | F | Pr(>F) | |
|---|---|---|---|---|---|
| Model | 9 | 12.03 | 0.21 | 12.66 | 0.001 |
| Residual | 436 | 46.03 | 0.79 | NA | NA |
| Total | 445 | 58.06 | 1.00 | NA | NA |
| Taxa | baseMean | log2FoldChange | lfcSE | stat | p-Value | padj |
|---|---|---|---|---|---|---|
| Helcococcus | 291.246 | −4.989 | 0.305 | −16.370 | 3.15 × 10−60 | 1.42 × 10−58 |
| Peptoniphilus | 744.058 | −2.468 | 0.197 | −12.549 | 4.01 × 10−36 | 1.80 × 10−34 |
| Bifidobacterium | 63.359 | −2.897 | 0.250 | −11.596 | 4.32 × 10−31 | 1.94 × 10−29 |
| Fusobacterium | 2104.226 | −1.544 | 0.138 | −11.176 | 5.37 × 10−29 | 2.42 × 10−27 |
| Roseburia | 6959.130 | −1.090 | 0.102 | −10.661 | 1.55 × 10−26 | 6.95 × 10−25 |
| Massilioclostridium | 6.572 | −1.705 | 0.186 | −9.162 | 5.08 × 10−20 | 2.29 × 10−18 |
| Porphyromonas | 468.569 | −1.534 | 0.168 | −9.122 | 7.37 × 10−20 | 3.32 × 10−18 |
| Desulfovibrio | 279.072 | −1.379 | 0.190 | −7.253 | 4.07 × 10−13 | 1.83 × 10−11 |
| Mediterraneibacter | 877.543 | −0.919 | 0.135 | −6.807 | 9.99 × 10−12 | 4.50 × 10−10 |
| Coprococcus | 286.099 | −1.126 | 0.206 | −5.470 | 4.51 × 10−8 | 2.03 × 10−6 |
| Prevotellamassilia | 221.725 | −1.066 | 0.202 | −5.278 | 1.31 × 10−7 | 5.87 × 10−6 |
| Caproiciproducens | 40.556 | −1.133 | 0.216 | −5.244 | 1.57 × 10−7 | 7.06 × 10−6 |
| Enterococcus | 669.909 | −1.107 | 0.217 | −5.104 | 3.33 × 10−7 | 1.50 × 10−5 |
| Helicobacter | 903.391 | −0.530 | 0.120 | −4.414 | 1.01 × 10−5 | 4.57 × 10−4 |
| Glucerabacter | 26.445 | 1.051 | 0.243 | 4.330 | 1.49 × 10−5 | 6.70 × 10−4 |
| Phocaeicola | 290.165 | −0.602 | 0.140 | −4.303 | 1.69 × 10−5 | 7.59 × 10−4 |
| Collinsella | 332.341 | −0.857 | 0.202 | −4.243 | 2.20 × 10−5 | 9.91 × 10−4 |
| Negativibacillus | 60.975 | 1.047 | 0.260 | 4.019 | 5.84 × 10−5 | 0.00263 |
| Streptococcus | 88.353 | −0.830 | 0.213 | −3.904 | 9.44 × 10−5 | 0.00425 |
| Prevotella | 228.058 | −0.624 | 0.170 | −3.673 | 2.39 × 10−4 | 0.01077 |
| Anaerococcus | 3429.321 | −0.447 | 0.135 | −3.310 | 9.34 × 10−4 | 0.04204 |
| Tyzzerella | 23.522 | −0.720 | 0.219 | −3.289 | 0.001005 | 0.04524 |
| Finegoldia | 300.111 | 0.702 | 0.215 | 3.262 | 0.001105 | 0.04975 |
Disclaimer/Publisher’s Note: The statements, opinions and data contained in all publications are solely those of the individual author(s) and contributor(s) and not of MDPI and/or the editor(s). MDPI and/or the editor(s) disclaim responsibility for any injury to people or property resulting from any ideas, methods, instructions or products referred to in the content. |
© 2025 by the authors. Licensee MDPI, Basel, Switzerland. This article is an open access article distributed under the terms and conditions of the Creative Commons Attribution (CC BY) license (https://creativecommons.org/licenses/by/4.0/).
Share and Cite
Joly, W.; Harrison, M.; Laxalde, J.; Gaillard, V. A Dietary Supplement Containing Nucleotides, Oligosaccharides, Vitamin E and β-Carotene Promotes Immune Response and Gut Microbiota Changes in Kittens. Animals 2025, 15, 3504. https://doi.org/10.3390/ani15233504
Joly W, Harrison M, Laxalde J, Gaillard V. A Dietary Supplement Containing Nucleotides, Oligosaccharides, Vitamin E and β-Carotene Promotes Immune Response and Gut Microbiota Changes in Kittens. Animals. 2025; 15(23):3504. https://doi.org/10.3390/ani15233504
Chicago/Turabian StyleJoly, Willy, Matthew Harrison, Jeremy Laxalde, and Virginie Gaillard. 2025. "A Dietary Supplement Containing Nucleotides, Oligosaccharides, Vitamin E and β-Carotene Promotes Immune Response and Gut Microbiota Changes in Kittens" Animals 15, no. 23: 3504. https://doi.org/10.3390/ani15233504
APA StyleJoly, W., Harrison, M., Laxalde, J., & Gaillard, V. (2025). A Dietary Supplement Containing Nucleotides, Oligosaccharides, Vitamin E and β-Carotene Promotes Immune Response and Gut Microbiota Changes in Kittens. Animals, 15(23), 3504. https://doi.org/10.3390/ani15233504

