The Human Shield in Time but Not in Space: Scale-Dependent Responses of Small Indian Civet–Prey Interactions to Anthropogenic Disturbance
Simple Summary
Abstract
1. Introduction
2. Materials and Methods
2.1. Study Area
2.2. Camera-Trapping Survey
2.3. Data Analysis
2.3.1. Daily Activity Pattern and Temporal Overlap
2.3.2. Spatial Distribution Overlap
3. Results
3.1. Daily Activity Pattern
3.2. Temporal Overlap Under Different Human Disturbances
3.3. Temporal Overlap Under Different Altitudes and Seasons
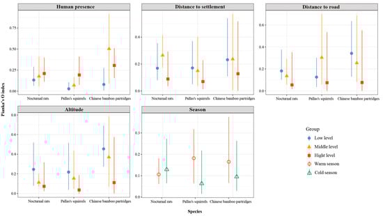
3.4. Spatial Overlap
3.5. Spatiotemporal Overlap
4. Discussion
5. Conclusions
Supplementary Materials
Author Contributions
Funding
Institutional Review Board Statement
Informed Consent Statement
Data Availability Statement
Acknowledgments
Conflicts of Interest
References
- Suraci, J.P.; Clinchy, M.; Zanette, L.Y.; Wilmers, C.C. Fear of Humans as Apex Predators Has Landscape-Scale Impacts from Mountain Lions to Mice. Ecol. Lett. 2019, 22, 1578–1586. [Google Scholar] [CrossRef] [PubMed]
- Smith, J.A.; McDaniels, M.E.; Peacor, S.D.; Bolas, E.C.; Cherry, M.J.; Dorn, N.J.; Feldman, O.K.; Kimbro, D.L.; Leonhardt, E.K.; Peckham, N.E.; et al. Population and Community Consequences of Perceived Risk from Humans in Wildlife. Ecol. Lett. 2024, 27, e14456. [Google Scholar] [CrossRef]
- Gaynor, K.M.; Abrahms, B.; Manlove, K.R.; Oestreich, W.K.; Smith, J.A. Anthropogenic Impacts at the Interface of Animal Spatial and Social Behaviour. Philos. Trans. R. Soc. B Biol. Sci. 2024, 379, 20220527. [Google Scholar] [CrossRef]
- Suraci, J.P.; Gaynor, K.M.; Allen, M.L.; Alexander, P.; Brashares, J.S.; Cendejas-Zarelli, S.; Crooks, K.; Elbroch, L.M.; Forrester, T.; Green, A.M.; et al. Disturbance Type and Species Life History Predict Mammal Responses to Humans. Glob. Change Biol. 2021, 27, 3718–3731. [Google Scholar] [CrossRef] [PubMed]
- Seveque, A.; Gentle, L.K.; Lopez-Bao, J.V.; Yarnell, R.W.; Uzal, A. Human Disturbance has Contrasting Effects on Niche Partitioning within Carnivore Communities. Biol. Rev. 2020, 95, 1689–1705. [Google Scholar] [CrossRef]
- Gilbert, N.A.; Stenglein, J.L.; Pauli, J.N.; Zuckerberg, B. Human Disturbance Compresses the Spatiotemporal Niche. Proc. Natl. Acad. Sci. USA 2022, 119, e2206339119. [Google Scholar] [CrossRef]
- Wang, Y.; Liu, M.; Xia, F.; Li, S. Human Activities Reshape the Spatial Overlap between North Chinese Leopard and Its Wild Ungulate Prey. Front. Zool. 2024, 21, 24. [Google Scholar] [CrossRef]
- Van Scoyoc, A.; Smith, J.A.; Gaynor, K.M.; Barker, K.; Brashares, J.S. The Influence of Human Activity on Predator–Prey Spatiotemporal Overlap. J. Anim. Ecol. 2023, 92, 1124–1134. [Google Scholar] [CrossRef]
- Ma, D.; Abrahms, B.; Allgeier, J.; Newbold, T.; Weeks, B.C.; Carter, N.H. Global Expansion of Human-Wildlife Overlap in the 21st Century. Sci. Adv. 2024, 10, eadp7706. [Google Scholar] [CrossRef]
- Torres-Romero, E.J.; Eppley, T.M.; Ripple, W.J.; Newsome, T.M.; Krofel, M.; Carter, N.H.; Ordiz, A.; de Oliveira, T.G.; Selva, N.; Penteriani, V. Global Scale Assessment of the Human-Induced Extinction Crisis of Terrestrial Carnivores. Sci. Adv. 2025, 11, eadq2853. [Google Scholar] [CrossRef]
- Bassing, S.B.; Ho, C.; Gardner, B. Anthropogenic Activities Influence Spatiotemporal Patterns of Predator-Prey Interactions. Glob. Ecol. Conserv. 2024, 53, e03017. [Google Scholar] [CrossRef]
- Suraci, J.P.; Smith, J.A.; Chamaillé-Jammes, S.; Gaynor, K.M.; Jones, M.; Luttbeg, B.; Ritchie, E.G.; Sheriff, M.J.; Sih, A. Beyond Spatial Overlap: Harnessing New Technologies to Resolve the Complexities of Predator–Prey Interactions. Oikos 2022, 2022, e09004. [Google Scholar] [CrossRef]
- Mills, K.L.; Harris, N.C. Humans Disrupt Access to Prey for Large African Carnivores. eLife 2020, 9, e60690. [Google Scholar] [CrossRef]
- Monterroso, P.; Alves, P.C.; Ferreras, P.; Fusani, L. Catch Me If You Can: Diel Activity Patterns of Mammalian Prey and Predators. Ethology 2013, 119, 1044–1056. [Google Scholar] [CrossRef]
- Lee, S.X.T.; Amir, Z.; Moore, J.H.; Gaynor, K.M.; Luskin, M.S. Effects of Human Disturbances on Wildlife Behaviour and Consequences for Predator-Prey Overlap in Southeast Asia. Nat. Commun. 2024, 15, 1521. [Google Scholar] [CrossRef] [PubMed]
- Sharma, H.P.; Bhattarai, B.P.; Regmi, S.; Shaner, P.-J.L.; Bhandari, S.; Nepali, A.; Aryal, B.; Tamang, K.; Kc, S.; Karki, A.; et al. Spatio-Temporal Patterns of Tigers in Response to Prey Species and Anthropogenic Activities. Proc. R. Soc. B Biol. Sci. 2025, 292, 20241939. [Google Scholar] [CrossRef] [PubMed]
- Shamoon, H.; Maor, R.; Saltz, D.; Dayan, T. Increased Mammal Nocturnality in Agricultural Landscapes Results in Fragmentation Due to Cascading Effects. Biol. Conserv. 2018, 226, 32–41. [Google Scholar] [CrossRef]
- Doherty, T.S.; Hays, G.C.; Driscoll, D.A. Human Disturbance Causes Widespread Disruption of Animal Movement. Nat. Ecol. Evol. 2021, 5, 513–519. [Google Scholar] [CrossRef]
- Wang, Y.W.; Allen, M.L.; Wilmers, C.C. Mesopredator Spatial and Temporal Responses to Large Predators and Human Development in the Santa Cruz Mountains of California. Biol. Conserv. 2015, 190, 23–33. [Google Scholar] [CrossRef]
- Berger, J. Fear, Human Shields and the Redistribution of Prey and Predators in Protected Areas. Biol. Lett. 2007, 3, 620–623. [Google Scholar] [CrossRef]
- Muhly, T.B.; Semeniuk, C.; Massolo, A.; Hickman, L.; Musiani, M. Human Activity Helps Prey Win the Predator-Prey Space Race. PLoS ONE 2011, 6, e17050. [Google Scholar] [CrossRef] [PubMed]
- Nickel, B.A.; Suraci, J.P.; Allen, M.L.; Wilmers, C.C. Human Presence and Human Footprint Have Non-Equivalent Effects on Wildlife Spatiotemporal Habitat Use. Biol. Conserv. 2020, 241, 108383. [Google Scholar] [CrossRef]
- Abernathy, H.N.; Crawford, D.A.; Chandler, R.B.; Garrison, E.P.; Conner, L.M.; Miller, K.V.; Cherry, M.J. Rain, Recreation and Risk: Human Activity and Ecological Disturbance Create Seasonal Risk Landscapes for the Prey of an Ambush Predator. J. Anim. Ecol. 2023, 92, 1840–1855. [Google Scholar] [CrossRef]
- Bu, H.; Hopkins, J.B.; Li, S.; Wang, D.; Lim, B. Seasonal Distribution and Activity Patterns of Mesopredators and Their Prey in Southwest China. J. Mammal. 2023, 104, 941–950. [Google Scholar] [CrossRef]
- Ding, C.C.; Liang, D.N.; Xin, W.P.; Li, C.W.; Ameca, E.I.; Jiang, Z.G. A Dataset on the Morphological, Life-History and Ecological traits of the Mammals in China. Biodivers. Sci. 2022, 30, 21520. [Google Scholar] [CrossRef]
- Jiang, Z.G.; Wu, Y.; Liu, S.Y.; Jiang, X.L.; Zhou, K.Y.; Hu, H.J. China’s Red List of Biodiversity: Vertebrates, Vol. 1, Mammals (I); Science Press: Beijing, China, 2021. [Google Scholar]
- Wang, Y.H.; Zhao, Q.Q.; Diao, Y.X.; Gu, B.J.; Weng, Y.; Zhang, Z.J.; Chen, Y.B.; Wang, F. Diel Activity, Habitat Utilization, and Response to Anthropogenic Interference of Small Indian Civets (Viverricula indica) in Shanghai Urban Areas Based on Camera Trapping. Biodivers. Sci. 2023, 31, 22294. [Google Scholar] [CrossRef]
- Mao, J.; Wang, J.; Lu, Y.; Chen, S.R.; Qu, Q.; Wang, H.Z.; Huang, J.; Zhang, Z.L.; Zhang, Y.X.; Wu, T. Activity Rhythms and Habitat of Small Indian Civet (Viverricula indica) in the Gaowangjie Reserve. Chin. J. Appl. Environ. Biol. 2025, 1–13. [Google Scholar] [CrossRef]
- Gao, X.; Pan, S.F.; Sun, Z.Z.; Li, J.X.; Gao, T.Y.; Dong, L.; Wang, N. Distribution and Activity Rhythm of Small Indian Civet (Viverricula indica) in Fenghuang Hill and Qi’ao Island, Zhuhai, Guangdong. Biodivers. Sci. 2024, 32, 24045. [Google Scholar] [CrossRef]
- Zhang, M.J.; Wang, H.S.; Yan, W.B.; Fu, Y.N.; Wang, Q.; Zeng, Z.G. Diel Activity and Habitat Selection of Small Indian Civets (Viverricula indica) in Hainan Datian National Nature Reserve. Biodivers. Sci. 2024, 32. [Google Scholar] [CrossRef]
- Sanghamithra, D.; Nameer, P.O. The Diel Activity Pattern of Small Carnivores of Western Ghats, India: A Case Study at Nelliampathies in Kerala, India. J. Threat. Taxa 2021, 13, 19466–19474. [Google Scholar] [CrossRef]
- Subedi, B.; Regmi, S.; Nepali, A.; Regmi, N.; Basnet, A.; Tamang, K.; Aryal, B.; Kc, S.; Kandel, P.; Bhandari, S.; et al. Factors Affecting Spatio-Temporal Occurrence of Sympatric Civets in Parsa-Koshi Complex, Nepal. PLoS ONE 2025, 20, e0325758. [Google Scholar] [CrossRef]
- Su, S.; Sale, J. Niche Differentiation between Common Palm Civet Paradoxurus Hermaphroditus and Small Indian Civet Viverricula Indica in Regenerating Degraded Forest, Myanmar. Small Carniv. Conserv. 2007, 36, 30–34. [Google Scholar]
- Akrim, F.; Mahmood, T.; Belant, J.L.; Nadeem, M.S.; Qasim, S.; Dhendup, T.; Fatima, H.; Bukhari, S.A.; Aslam, A.; Younis, H.; et al. Niche Partitioning by Sympatric Civets in the Himalayan Foothills of Pakistan. PeerJ 2023, 11, e14741. [Google Scholar] [CrossRef]
- Bhatt, L.; Sethy, J.; Chatrath, D.; Pandey, R.K.; Srivastava, V. Occurrence of Free-Ranging Indian Crested Porcupine (Hystrix indica) and Other Co-Occurring Mammals within the Urban Protected Area in Indian Mega City-Delhi, NCR. Proc. Zool. Soc. 2024, 77, 375–386. [Google Scholar] [CrossRef]
- Bai, X.J.; Xiao, W.H.; Zhang, T.Y.; Liu, B.Y.; Xiao, Z.S.; Liu, W. Seasonal Variation Patterns of Daily Activity Rhythm of Small Indian Civets (Viverricula indica) and Their Potential Rodent Prey in Guizhou Chishui Alsophila National Nature Reserve, China. Acta Theriol. Sin. 2024, 44, 309–320. [Google Scholar] [CrossRef]
- Prugh, L.R.; Stoner, C.J.; Epps, C.W.; Bean, W.T.; Ripple, W.J.; Laliberte, A.S.; Brashares, J.S. The Rise of the Mesopredator. BioScience 2009, 59, 779–791. [Google Scholar] [CrossRef]
- Semper-Pascual, A.; Sheil, D.; Beaudrot, L.; Dupont, P.; Dey, S.; Ahumada, J.; Akampurira, E.; Bitariho, R.; Espinosa, S.; Jansen, P.A.; et al. Occurrence Dynamics of Mammals in Protected Tropical Forests Respond to Human Presence and Activities. Nat. Ecol. Evol. 2023, 7, 1092–1103. [Google Scholar] [CrossRef]
- Lin, P. Comprehensive Scientific Investigation Report on Liangyeshan Nature Reserve in Fujian; Xiamen University Press: Xiamen, China, 2001. [Google Scholar]
- Ji, C.P.; Lin, Y.F.; Lan, Z.M.; Huang, X.C.; Yao, W.Y.; Zeng, Q.M.; Huang, L.; Le, T.C.; Tan, F.L. Species Diversity of Mammals and Birds and the Activity Rhythm of Dominant Species Based on Infrared Camera Monitoring in Fujian Liangyeshan National Nature Reserve, China. J. Ecol. Rural Environ. 2025, 41, 912–920. [Google Scholar] [CrossRef]
- Xiao, Z.S.; Li, X.H.; Wang, X.Z.; Zhou, Q.H.; Quan, R.C.; Shen, X.L.; Li, S. Developing Camera-Trapping Protocols for Wildlife Monitoring in Chinese Forests. Biodivers. Sci. 2014, 22, 704–711. [Google Scholar] [CrossRef]
- Xiang, D.; Meng, B.S.; Xie, B.; Huang, X.L.; Wang, C.; Ran, J.C.; Su, H.J.; Zhang, M.M. Daily Activity Rhythm of Sympatric Ungulate Species in Fanjingshan Reserve, China. Glob. Ecol. Conserv. 2024, 56, e03271. [Google Scholar] [CrossRef]
- Ji, C.P.; Li, H.D.; Xiao, W.H.; Xu, K.; Ren, Y.F.; Li, H.Y.; Wang, P.C.; Fan, M.L.; Huang, X.Q.; Xiao, Z.S. Fine-Scale Interactions between Leopard Cats and Their Potential Prey with Contrasting Diel Activities in a Livestock-Dominated Nature Reserve. Animals 2023, 13, 1296. [Google Scholar] [CrossRef]
- O’Brien, T.G.; Kinnaird, M.F.; Wibisono, H.T. Crouching Tigers, Hidden Prey: Sumatran Tiger and Prey Populations in a Tropical Forest Landscape. Anim. Conserv. 2006, 6, 131–139. [Google Scholar] [CrossRef]
- Ridout, M.S.; Linkie, M. Estimating Overlap of Daily Activity Patterns from Camera Trap Data. J. Agric. Biol. Environ. Stat. 2009, 14, 322–337. [Google Scholar] [CrossRef]
- Nouvellet, P.; Rasmussen, G.S.A.; Macdonald, D.W.; Courchamp, F.; Braae, A. Noisy Clocks and Silent Sunrises: Measurement Methods of Daily Activity Pattern. J. Zool. 2011, 286, 179–184. [Google Scholar] [CrossRef]
- Lund, U.; Agostinelli, C.; Agostinelli, M.C. Package ‘Circular’. Repos. CRAN 2017, 775, 20–135. [Google Scholar]
- Zanon Martinez, J.I.; Seoane, J.; Kelly, M.J.; Sarasola, J.H.; Travaini, A. Assessing Carnivore Spatial Co-Occurrence and Temporal Overlap in the Face of Human Interference in a Semiarid Forest. Ecol. Appl. 2022, 32, e02482. [Google Scholar] [CrossRef]
- Pianka, E.R. The Structure of Lizard Communities. J Annu. Rev. Ecol. Syst. 1973, 53–74. [Google Scholar] [CrossRef]
- Zhang, J. R Package, version 0.2.5. Spaa: Species Association Analysis. 2025. Available online: https://CRAN.R-project.org/package=spaa (accessed on 24 October 2025).
- Xu, K.; Xiao, W.; Hu, D.; Holyoak, M.; Ji, C.; Zhang, J.; Ma, D.; Xiao, Z. Effects of Livestock Grazing on Spatiotemporal Interactions Between Snow Leopards and Ungulate Prey. Integr. Zool. 2024, 20, 1012–1027. [Google Scholar] [CrossRef] [PubMed]
- Gaynor, K.M.; McInturff, A.; Brashares, J.S. Contrasting Patterns of Risk from Human and Non-Human Predators Shape Temporal Activity of Prey. J. Anim. Ecol. 2022, 91, 46–60. [Google Scholar] [CrossRef]
- Gaynor, K.M.; Wooster, E.I.F.; Martinig, A.R.; Green, J.R.; Chhen, A.; Cuadros, S.; Gill, R.; Khanal, G.; Love, N.; Marcus, R.; et al. The Human Shield Hypothesis: Does Predator Avoidance of Humans Create Refuges for Prey? Ecol. Lett. 2025, 28, e70138. [Google Scholar] [CrossRef]
- Chen, Z.; Cao, Y.-S.; Dong, M.-S.; Li, W.-B. Human Activities and Climate Change Are the Main Factors of Amphibian Extinction. Glob. Ecol. Conserv. 2025, 62, e03747. [Google Scholar] [CrossRef]
- Gao, X.; Liu, Z.; Corlett, R.T.; Jiang, Z.; Hughes, A.; Ma, K.; Svenning, J.C.; Feng, G. Divergent Importance and Geographic Patterns in Threats to Birds and Mammals in China. Divers. Distrib. 2025, 31, e13925. [Google Scholar] [CrossRef]
- Li, X.; Bleisch, W.V.; Hu, W.; Li, Q.; Wang, H.; Chen, Z.; Bai, R.; Jiang, X.-L. Human Disturbance Increases Spatiotemporal Associations among Mountain Forest Terrestrial Mammal Species. eLife 2024, 12, RP92457. [Google Scholar] [CrossRef] [PubMed]
- Lahkar, D.; Ahmed, M.F.; Begum, R.H.; Das, S.K.; Harihar, A. Responses of a Wild Ungulate Assemblage to Anthropogenic Influences in Manas National Park, India. Biol. Conserv. 2020, 243, 108425. [Google Scholar] [CrossRef]









| Species | Activity Pattern | Weight | Number of Independent Photos | Camera Sites with Detection | RAI |
|---|---|---|---|---|---|
| Small Indian civets | nocturnal | 1600–4000 g | 307 | 46 | 0.50 |
| Nocturnal rats | nocturnal | 20–2000 g | 10,429 | 179 | 17.12 |
| Pallas’s squirrels | diurnal | 280–420 g | 629 | 93 | 1.03 |
| Chinese bamboo partridges | diurnal | 200–342 g | 518 | 54 | 0.85 |
| Pairwise Species | Spatiotemporal Overlap | ||
|---|---|---|---|
| Low | Moderate | High | |
| Human presence | |||
| SIC-NR | 0.083 | 0.130 | 0.150 |
| SIC-PS | 0.006 | 0.020 | 0.040 |
| SIC-CBP | 0.017 | 0.116 | 0.040 |
| Distance to settlement | |||
| SIC-NR | 0.115 | 0.207 | 0.069 |
| SIC-PS | 0.034 | 0.026 | 0.020 |
| SIC-CBP | 0.037 | 0.031 | 0.028 |
| Distance to road | |||
| SIC-NR | 0.126 | 0.095 | 0.045 |
| SIC-PS | 0.023 | 0.088 | 0.014 |
| SIC-CBP | 0.051 | 0.048 | 0.012 |
| Altitude | |||
| SIC-NR | 0.167 | 0.082 | 0.055 |
| SIC-PS | 0.050 | 0.031 | 0.107 |
| SIC-CBP | 0.082 | 0.074 | 0.023 |
| Season | Warm season | Cold season | |
| SIC-NR | 0.075 | 0.094 | |
| SIC-PS | 0.038 | 0.012 | |
| SIC-CBP | 0.026 | 0.017 | |
Disclaimer/Publisher’s Note: The statements, opinions and data contained in all publications are solely those of the individual author(s) and contributor(s) and not of MDPI and/or the editor(s). MDPI and/or the editor(s) disclaim responsibility for any injury to people or property resulting from any ideas, methods, instructions or products referred to in the content. |
© 2025 by the authors. Licensee MDPI, Basel, Switzerland. This article is an open access article distributed under the terms and conditions of the Creative Commons Attribution (CC BY) license (https://creativecommons.org/licenses/by/4.0/).
Share and Cite
Ji, C.; Huang, X.; Lin, Y.; Cheng, Y.; Le, T.; Tan, F. The Human Shield in Time but Not in Space: Scale-Dependent Responses of Small Indian Civet–Prey Interactions to Anthropogenic Disturbance. Animals 2025, 15, 3121. https://doi.org/10.3390/ani15213121
Ji C, Huang X, Lin Y, Cheng Y, Le T, Tan F. The Human Shield in Time but Not in Space: Scale-Dependent Responses of Small Indian Civet–Prey Interactions to Anthropogenic Disturbance. Animals. 2025; 15(21):3121. https://doi.org/10.3390/ani15213121
Chicago/Turabian StyleJi, Chengpeng, Xiaochun Huang, Yufang Lin, Yanan Cheng, Tongchao Le, and Fanglin Tan. 2025. "The Human Shield in Time but Not in Space: Scale-Dependent Responses of Small Indian Civet–Prey Interactions to Anthropogenic Disturbance" Animals 15, no. 21: 3121. https://doi.org/10.3390/ani15213121
APA StyleJi, C., Huang, X., Lin, Y., Cheng, Y., Le, T., & Tan, F. (2025). The Human Shield in Time but Not in Space: Scale-Dependent Responses of Small Indian Civet–Prey Interactions to Anthropogenic Disturbance. Animals, 15(21), 3121. https://doi.org/10.3390/ani15213121

