Repeated Task Exposure and Sufficient Sleep May Mitigate ADHD-Related Cognitive Flexibility Impairments in Family Dogs
Simple Summary
Abstract
1. Introduction
2. Materials and Methods
2.1. Ethics Statement
2.2. Subjects
2.3. Questionnaire
2.4. Experimental Setup
2.5. Procedure
2.5.1. General Procedure

2.5.2. Discrimination and Reversal Learning
2.5.3. Sleep EEG
2.6. Data Analysis
2.7. Statistical Analysis
3. Results
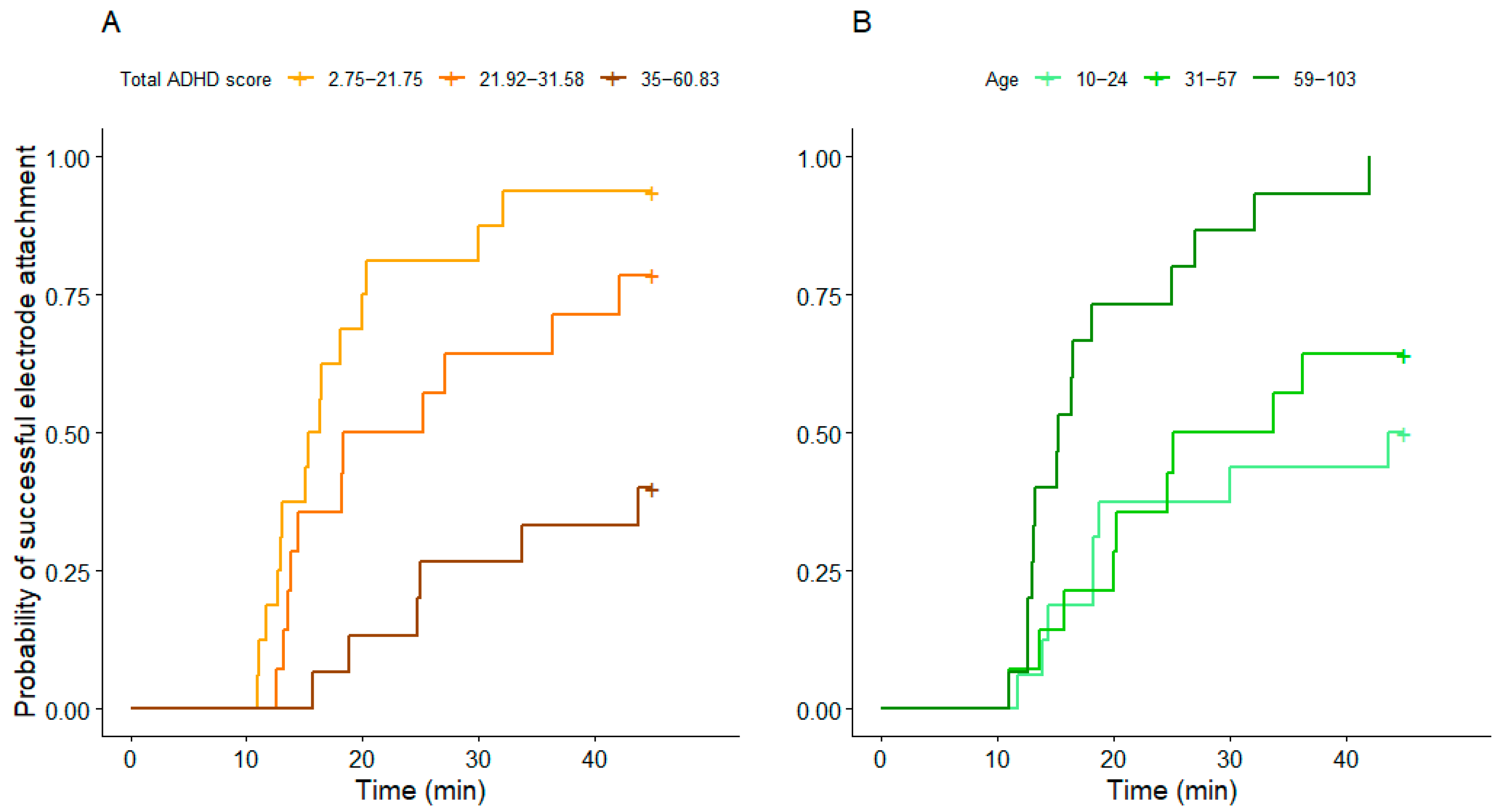
3.1. Performance
3.2. Sleep
3.3. Performance Improvement and Sleep
4. Discussion
5. Conclusions
Supplementary Materials
Author Contributions
Funding
Institutional Review Board Statement
Informed Consent Statement
Data Availability Statement
Acknowledgments
Conflicts of Interest
References
- Hohl, K.; Dolcos, S. Measuring Cognitive Flexibility: A Brief Review of Neuropsychological, Self-Report, and Neuroscientific Approaches. Front. Hum. Neurosci. 2024, 18, 1331960. [Google Scholar] [CrossRef]
- Stuss, D.T.; Alexander, M.P. Executive Functions and the Frontal Lobes: A Conceptual View. Psychol. Res. 2000, 63, 289–298. [Google Scholar] [CrossRef]
- Snell-Rood, E.C. An Overview of the Evolutionary Causes and Consequences of Behavioural Plasticity. Anim. Behav. 2013, 85, 1004–1011. [Google Scholar] [CrossRef]
- Kappeler, P.M.; Clutton-Brock, T.; Shultz, S.; Lukas, D. Social Complexity: Patterns, Processes, and Evolution. Behav. Ecol. Sociobiol. 2019, 73, 5. [Google Scholar] [CrossRef]
- Zheng, W.; Akaliyski, P.; Ma, C.; Xu, Y. Cognitive Flexibility and Academic Performance: Individual and Cross-National Patterns Among Adolescents in 57 Countries. Personal. Individ. Differ. 2024, 217, 112455. [Google Scholar] [CrossRef]
- Murphy, F.C.; Michael, A.; Sahakian, B.J. Emotion Modulates Cognitive Flexibility in Patients with Major Depression. Psychol. Med. 2012, 42, 1373–1382. [Google Scholar] [CrossRef] [PubMed]
- Lacreuse, A.; Raz, N.; Schmidtke, D.; Hopkins, W.D.; Herndon, J.G. Age-Related Decline in Executive Function as a Hallmark of Cognitive Ageing in Primates: An Overview of Cognitive and Neurobiological Studies. Philos. Trans. R. Soc. Lond. B Biol. Sci. 2020, 375, 20190618. [Google Scholar] [CrossRef]
- Polanco, A. A Tinbergian Review of Self-Injurious Behaviors in Laboratory Rhesus Macaques. Appl. Anim. Behav. Sci. 2016, 179, 1–10. [Google Scholar] [CrossRef]
- Miranda, R.; Gallagher, M.; Bauchner, B.; Vaysman, R.; Marroquín, B. Cognitive Inflexibility as a Prospective Predictor of Suicidal Ideation Among Young Adults with a Suicide Attempt History. Depress. Anxiety 2012, 29, 180–186. [Google Scholar] [CrossRef]
- Reid, M.; Clawson, A.; Ratto, A.; Rich, B.A. No Way Out? Cognitive Rigidity and Depressive Symptoms Associated with Suicidal Thoughts and Behaviors in Autistic Youth. Child Psychiatry Hum. Dev. 2024. [Google Scholar] [CrossRef] [PubMed]
- Koithan, E.M.; Demeter, D.V.; Ali, S.A.; Feigelis, M.; Greene, D.J. Cognitive Flexibility in Neurodevelopmental Disorders: Insights from Neuroimaging and Neuropsychology. Curr. Opin. Behav. Sci. 2024, 59, 101429. [Google Scholar] [CrossRef]
- Arán Filippetti, V.; Krumm, G.L.; Raimondi, W. Computerized versus Manual Versions of the Wisconsin Card Sorting Test: Implications with Typically Developing and ADHD Children. Appl. Neuropsychol. Child 2020, 9, 230–245. [Google Scholar] [CrossRef] [PubMed]
- Halleland, H.B.; Haavik, J.; Lundervold, A.J. Set-Shifting in Adults with ADHD. J. Int. Neuropsychol. Soc. 2012, 18, 728–737. [Google Scholar] [CrossRef] [PubMed]
- Bunford, N.; Andics, A.; Kis, A.; Miklósi, Á.; Gácsi, M. Canis familiaris As a Model for Non-Invasive Comparative Neuroscience. Trends Neurosci. 2017, 40, 438–452. [Google Scholar] [CrossRef]
- Gácsi, M. After All, How Valuable Is the Dog Model for Examining Human Socio-Cognitive Abilities? Biol. Futur. 2025, 76, 193–212. [Google Scholar] [CrossRef]
- Topál, J.; Miklósi, Á.; Gácsi, M.; Dóka, A.; Pongrácz, P.; Kubinyi, E.; Virányi, Z.; Csányi, V. Chapter 3 The Dog as a Model for Understanding Human Social Behavior. Adv. Study Behav. 2009, 39, 71–116. [Google Scholar]
- Izquierdo, A.; Brigman, J.L.; Radke, A.K.; Rudebeck, P.H.; Holmes, A. The Neural Basis of Reversal Learning: An Updated Perspective. Neuroscience 2017, 345, 12–26. [Google Scholar] [CrossRef]
- Mongillo, P.; Araujo, J.A.; Pitteri, E.; Carnier, P.; Adamelli, S.; Regolin, L.; Marinelli, L. Spatial Reversal Learning Is Impaired by Age in Pet Dogs. AGE 2013, 35, 2273–2282. [Google Scholar] [CrossRef] [PubMed]
- Piotti, P.; Szabó, D.; Bognár, Z.; Egerer, A.; Hulsbosch, P.; Carson, R.S.; Kubinyi, E. Effect of Age on Discrimination Learning, Reversal Learning, and Cognitive Bias in Family Dogs. Learn. Behav. 2018, 46, 537–553. [Google Scholar] [CrossRef]
- Tapp, P.D.; Siwak, C.T.; Estrada, J.; Head, E.; Muggenburg, B.A.; Cotman, C.W.; Milgram, N.W. Size and Reversal Learning in the Beagle Dog as a Measure of Executive Function and Inhibitory Control in Aging. Learn. Mem. 2003, 10, 64–73. [Google Scholar] [CrossRef]
- Van Bourg, J.; Gunter, L.M.; Wynne, C.D.L. A Rapid Serial Reversal Learning Assessment for Age-Related Cognitive Deficits in Pet Dogs. Behav. Proc. 2021, 186, 104375. [Google Scholar] [CrossRef]
- Yeniad, N.; Malda, M.; Mesman, J.; van IJzendoorn, M.H.; Emmen, R.A.G.; Prevoo, M.J.L. Cognitive Flexibility Children across the Transition to School: A Longitudinal Study. Cogn. Dev. 2014, 31, 35–47. [Google Scholar] [CrossRef]
- Wang, Y.; Zhang, Y.; Chen, M.; Chen, Y. Adolescents’ Daily Executive Function: Methodological Considerations, Daily Variation, and Associations with Daily Experiences. Psychol. Assess. 2021, 33, 973–986. [Google Scholar] [CrossRef]
- Evans, S.W.; Owens, J.S.; Bunford, N. Evidence-Based Psychosocial Treatments for Children and Adolescents with Attention-Deficit/Hyperactivity Disorder. J. Clin. Child. Adolesc. Psychol. 2014, 43, 527–551. [Google Scholar] [CrossRef]
- Evans, S.W.; Owens, J.S.; Wymbs, B.T.; Ray, A.R. Evidence-Based Psychosocial Treatments for Children and Adolescents with Attention Deficit/Hyperactivity Disorder. J. Clin. Child. Adolesc. Psychol. 2018, 47, 157–198. [Google Scholar] [CrossRef]
- Csibra, B.; Bunford, N.; Gácsi, M. Evaluating ADHD Assessment for Dogs: A Replication Study. Animals 2022, 12, 807. [Google Scholar] [CrossRef]
- González-Martínez, Á.; Muñiz de Miguel, S.; Diéguez, F.J. New Advances in Attention-Deficit/Hyperactivity Disorder-like Dogs. Animals 2024, 14, 2067. [Google Scholar] [CrossRef]
- Lit, L.; Schweitzer, J.B.; Iosif, A.-M.; Oberbauer, A.M. Owner Reports of Attention, Activity, and Impulsivity in Dogs: A Replication Study. Behav. Brain Funct. 2010, 6, 1. [Google Scholar] [CrossRef]
- Vas, J.; Topál, J.; Péch, É.; Miklósi, Á. Measuring Attention Deficit and Activity in Dogs: A New Application and Validation of a Human ADHD Questionnaire. Appl. Anim. Behav. Sci. 2007, 103, 105–117. [Google Scholar] [CrossRef]
- Hejjas, K.; Vas, J.; Topal, J.; Szantai, E.; Ronai, Z.; Szekely, A.; Kubinyi, E.; Horvath, Z.; Sasvari-Szekely, M.; Miklosi, A. Association of Polymorphisms in the Dopamine D4 Receptor Gene and the Activity-Impulsivity Endophenotype in Dogs. Anim. Genet. 2007, 38, 629–633. [Google Scholar] [CrossRef]
- Kubinyi, E.; Vas, J.; Hejjas, K.; Ronai, Z.; Brúder, I.; Turcsán, B.; Sasvari-Szekely, M.; Miklósi, Á. Polymorphism in the Tyrosine Hydroxylase (TH) Gene Is Associated with Activity-Impulsivity in German Shepherd Dogs. PLoS ONE 2012, 7, e30271. [Google Scholar] [CrossRef]
- Wan, M.; Hejjas, K.; Ronai, Z.; Elek, Z.; Sasvari-Szekely, M.; Champagne, F.A.; Miklósi, Á.; Kubinyi, E. DRD4 and TH Gene Polymorphisms Are Associated with Activity, Impulsivity and Inattention in Siberian Husky Dogs. Anim. Genet. 2013, 44, 717–727. [Google Scholar] [CrossRef]
- Csibra, B.; Bunford, N.; Gácsi, M. Development of a Human-Analogue, 3-Symptom Domain Dog ADHD and Functionality Rating Scale (DAFRS). Sci. Rep. 2024, 14, 1808. [Google Scholar] [CrossRef]
- Csibra, B.; Reicher, V.; Csepregi, M.; Kristóf, K.; Gácsi, M. Towards an Objective Measurement Tool for ADHD-like Traits in Family Dogs: A Comprehensive Test Battery. Animals 2024, 14, 1841. [Google Scholar] [CrossRef]
- Csibra, B.; Bunford, N.; Gácsi, M. Development of a Human Analogue ADHD Diagnostic System for Family Dogs. Sci. Rep. 2025, 15, 25671. [Google Scholar] [CrossRef]
- Dinwoodie, I.R.; Dwyer, B.; Zottola, V.; Gleason, D.; Dodman, N.H. Demographics and Comorbidity of Behavior Problems in Dogs. J. Vet. Behav. 2019, 32, 62–71. [Google Scholar] [CrossRef]
- Sulkama, S.; Puurunen, J.; Salonen, M.; Mikkola, S.; Hakanen, E.; Araujo, C.; Lohi, H. Canine Hyperactivity, Impulsivity, and Inattention Share Similar Demographic Risk Factors and Behavioural Comorbidities with Human ADHD. Transl. Psychiatry 2021, 11, 501. [Google Scholar] [CrossRef]
- Carreiro, C.; Reicher, V.; Kis, A.; Gácsi, M. Owner-Rated Hyperactivity/Impulsivity Is Associated with Sleep Efficiency in Family Dogs: A Non-Invasive EEG Study. Sci. Rep. 2023, 13, 1291. [Google Scholar] [CrossRef]
- Bunford, N.; Csibra, B.; Gácsi, M. Individual Differences in Response to Ambiguous Stimuli in a Modified Go/No-Go Paradigm Are Associated with Personality in Family Dogs. Sci. Rep. 2019, 9, 11067. [Google Scholar] [CrossRef]
- Bunford, N.; Csibra, B.; Peták, C.; Ferdinandy, B.; Miklósi, Á.; Gácsi, M. Associations among Behavioral Inhibition and Owner-Rated Attention, Hyperactivity/Impulsivity, and Personality in the Domestic Dog (Canis familiaris). J. Comp. Psychol. 2019, 133, 233–243. [Google Scholar] [CrossRef]
- Kovács, T.; Reicher, V.; Csibra, B.; Gácsi, M. More Inattentive Dogs Benefit from Repetitive but Not Permissive Training. Appl. Anim. Behav. Sci. 2024, 281, 106449. [Google Scholar] [CrossRef]
- Kis, A.; Szakadát, S.; Gácsi, M.; Kovács, E.; Simor, P.; Török, C.; Gombos, F.; Bódizs, R.; Topál, J. The Interrelated Effect of Sleep and Learning in Dogs (Canis familiaris); an EEG and Behavioural Study. Sci. Rep. 2017, 7, 41873. [Google Scholar] [CrossRef]
- Reicher, V.; Kovács, T.; Csibra, B.; Gácsi, M. Potential Interactive Effect of Positive Expectancy Violation and Sleep on Memory Consolidation in Dogs. Sci. Rep. 2024, 14, 9487. [Google Scholar] [CrossRef]
- Kis, A.; Szakadát, S.; Kovács, E.; Gácsi, M.; Simor, P.; Gombos, F.; Topál, J.; Miklósi, A.; Bódizs, R. Development of a Non-Invasive Polysomnography Technique for Dogs (Canis familiaris). Physiol. Behav. 2014, 130, 149–156. [Google Scholar] [CrossRef]
- Dudai, Y.; Karni, A.; Born, J. The Consolidation and Transformation of Memory. Neuron 2015, 88, 20–32. [Google Scholar] [CrossRef]
- Reicher, V.; Kis, A.; Simor, P.; Bódizs, R.; Gombos, F.; Gácsi, M. Repeated Afternoon Sleep Recordings Indicate First-Night-Effect-like Adaptation Process in Family Dogs. J. Sleep Res. 2020, 29, e12998. [Google Scholar] [CrossRef]
- Gácsi, M.; Kara, E.; Belényi, B.; Topál, J.; Miklósi, Á. The Effect of Development and Individual Differences in Pointing Comprehension of Dogs. Anim. Cogn. 2009, 12, 471–479. [Google Scholar] [CrossRef]
- Riemer, S.; Müller, C.; Range, F.; Huber, L. Dogs (Canis familiaris) Can Learn to Attend to Connectivity in String Pulling Tasks. J. Comp. Psychol. 2014, 128, 31–39. [Google Scholar] [CrossRef]
- Berry, R.B.; Brooks, R.; Gamaldo, C.E.; Harding, S.M.; Marcus, C.L.; Vaughn, B.V.; Tangredi, M.M. The AASM Manual for the Scoring of Sleep and Associated Events: Rules, Terminology and Technical Specifications, Version 2.0; American Academy of Sleep Medicine: Darien, IL, USA, 2012. [Google Scholar]
- Gergely, A.; Kiss, O.; Reicher, V.; Iotchev, I.; Kovács, E.; Gombos, F.; Benczúr, A.; Galambos, Á.; Topál, J.; Kis, A. Reliability of Family Dogs’ Sleep Structure Scoring Based on Manual and Automated Sleep Stage Identification. Animals 2020, 10, 927. [Google Scholar] [CrossRef]
- Johnson, P.O.; Neyman, J. Tests of Certain Linear Hypotheses and Their Application to Some Educational Problems. Stat. Res. Mem. 1936, 1, 57–93. [Google Scholar]
- R Core Team. R: A Language and Environment for Statistical Computing; R Foundation for Statistical Computing: Vienna, Austria, 2024. [Google Scholar]
- Delignette-Muller, M.L.; Dutang, C. Fitdistrplus: An R Package for Fitting Distributions. J. Stat. Softw. 2015, 64, 1–34. [Google Scholar] [CrossRef]
- Therneau, T. A Package for Survival Analysis in R, Version 3.8-3. 2024. Available online: https://CRAN.R-project.org/package=survival (accessed on 20 October 2025).
- Lüdecke, D.; Ben-Shachar, M.S.; Patil, I.; Waggoner, P.; Makowski, D. Performance: An R Package for Assessment, Comparison and Testing of Statistical Models. J. Open Source Softw. 2021, 6, 3139. [Google Scholar] [CrossRef]
- Lenth, R.V.; Bolker, B.; Buerkner, P.; Giné-Vázquez, I.; Herve, M.; Jung, M.; Love, J.; Miguez, F.; Riebl, H.; Singmann, H. Emmeans: Estimated Marginal Means, Aka Least-Squares Means, Version 1.11.2-8. 2023. Available online: https://CRAN.R-project.org/package=emmeans (accessed on 20 October 2025).
- Wickham, H. Ggplot2: Elegant Graphics for Data Analysis; Springer: New York, NY, USA, 2016. [Google Scholar]
- Kassambara, A.; Kosinski, M.; Biecek, P. Survminer: Drawing Survival Curves Using “Ggplot2”, Version 0.5.1. 2025. Available online: https://rpkgs.datanovia.com/survminer/index.html (accessed on 20 October 2025).
- Itami, S.; Uno, H. Orbitofrontal Cortex Dysfunction in Attention-Deficit Hyperactivity Disorder Revealed by Reversal and Extinction Tasks. NeuroReport 2002, 13, 2453. [Google Scholar] [CrossRef]
- McCarthy, H.; Stanley, J.; Piech, R.; Skokauskas, N.; Mulligan, A.; Donohoe, G.; Mullins, D.; Kelly, J.; Johnson, K.; Fagan, A.; et al. Childhood-Diagnosed ADHD, Symptom Progression, and Reversal Learning in Adulthood. J. Atten. Disord. 2018, 22, 561–570. [Google Scholar] [CrossRef]
- Shephard, E.; Jackson, G.M.; Groom, M.J. Electrophysiological Correlates of Reinforcement Learning in Young People with Tourette Syndrome with and Without Co-Occurring ADHD Symptoms. Int. J. Dev. Neurosci. 2016, 51, 17–27. [Google Scholar] [CrossRef]
- Rivas-Blanco, D.; Monteiro, T.; Virányi, Z.; Range, F. Going Back to “Basics”: Harlow’s Learning Set Task with Wolves and Dogs. Learn. Behav. 2024, 52, 315–329. [Google Scholar] [CrossRef]
- Gácsi, M.; Gyoöri, B.; Virányi, Z.; Kubinyi, E.; Range, F.; Belényi, B.; Miklósi, Á. Explaining Dog Wolf Differences in Utilizing Human Pointing Gestures: Selection for Synergistic Shifts in the Development of Some Social Skills. PLoS ONE 2009, 4, e6584. [Google Scholar] [CrossRef]
- Marshall-Pescini, S.; Virányi, Z.; Range, F. The Effect of Domestication on Inhibitory Control: Wolves and Dogs Compared. PLoS ONE 2015, 10, e0118469. [Google Scholar] [CrossRef]
- Kovács, T.; Szűcs, V.; Gácsi, M. Self-control Is Associated with the Interaction of ADHD-like Traits and Training Level in Dogs. Vet. J. 2025. submitted. [Google Scholar]
- de Vries, M.; Prins, P.J.M.; Schmand, B.A.; Geurts, H.M. Working Memory and Cognitive Flexibility-Training for Children with an Autism Spectrum Disorder: A Randomized Controlled Trial. J. Child. Psychol. Psychiatry 2015, 56, 566–576. [Google Scholar] [CrossRef]
- van der Oord, S.; Ponsioen, A.J.G.B.; Geurts, H.M.; Ten Brink, E.L.; Prins, P.J.M. A Pilot Study of the Efficacy of a Computerized Executive Functioning Remediation Training with Game Elements for Children with ADHD in an Outpatient Setting: Outcome on Parent- and Teacher-Rated Executive Functioning and ADHD Behavior. J. Atten. Disord. 2014, 18, 699–712. [Google Scholar] [CrossRef]
- Honn, K.A.; Hinson, J.M.; Whitney, P.; Van Dongen, H.P.A. Cognitive Flexibility: A Distinct Element of Performance Impairment Due to Sleep Deprivation. Accid. Anal. Prev. 2019, 126, 191–197. [Google Scholar] [CrossRef]
- Moesta, A.; Dror, S.; Sommese, A.; Maros, K.; Csizmadia, G.; Pogány, Á.; Laxalde, J.; Fugazza, C. Post-Learning Experience Matters: Chewing after Learning Improves Memory Consolidation in Dogs. Appl. Anim. Behav. Sci. 2025, 286, 106617. [Google Scholar] [CrossRef]
- Bunford, N.; Reicher, V.; Kis, A.; Pogány, Á.; Gombos, F.; Bódizs, R.; Gácsi, M. Differences in Pre-Sleep Activity and Sleep Location Are Associated with Variability in Daytime/Nighttime Sleep Electrophysiology in the Domestic Dog. Sci. Rep. 2018, 8, 7109. [Google Scholar] [CrossRef]
- Kiss, O.; Kis, A.; Scheiling, K.; Topál, J. Behavioral and Neurophysiological Correlates of Dogs’ Individual Sensitivities to Being Observed by Their Owners While Performing a Repetitive Fetching Task. Front. Psychol. 2020, 11, 1461. [Google Scholar] [CrossRef]
- Carreiro, C.; Reicher, V.; Kis, A.; Gácsi, M. Attachment towards the Owner Is Associated with Spontaneous Sleep EEG Parameters in Family Dogs. Animals 2022, 12, 895. [Google Scholar] [CrossRef]
- Reicher, V.; Bunford, N.; Kis, A.; Carreiro, C.; Csibra, B.; Kratz, L.; Gácsi, M. Developmental Features of Sleep Electrophysiology in Family Dogs. Sci. Rep. 2021, 11, 22760. [Google Scholar] [CrossRef]
- Reicher, V.; Bálint, A.; Újváry, D.; Gácsi, M. Non-Invasive Sleep EEG Measurement in Hand Raised Wolves. Sci. Rep. 2022, 12, 9792. [Google Scholar] [CrossRef]
- Bálint, A.; Reicher, V.; Csibra, B.; Gácsi, M. Noninvasive EEG Measurement of Sleep in the Family Cat and Comparison with the Dog. J. Mammal. 2024, 105, 300–311. [Google Scholar] [CrossRef]
- Kovács, E.; Kosztolányi, A.; Kis, A. Rapid Eye Movement Density during REM Sleep in Dogs (Canis familiaris). Learn. Behav. 2018, 46, 554–560. [Google Scholar] [CrossRef]
- Reicher, V.; Kis, A.; Simor, P.; Bódizs, R.; Gácsi, M. Interhemispheric Asymmetry during NREM Sleep in the Dog. Sci. Rep. 2021, 11, 18817. [Google Scholar] [CrossRef]
- Michelini, G.; Carlisi, C.O.; Eaton, N.R.; Elison, J.T.; Haltigan, J.D.; Kotov, R.; Krueger, R.F.; Latzman, R.D.; Li, J.J.; Levin-Aspenson, H.F.; et al. Where Do Neurodevelopmental Conditions Fit in Transdiagnostic Psychiatric Frameworks? Incorporating a New Neurodevelopmental Spectrum. World Psychiatry 2024, 23, 333–357. [Google Scholar] [CrossRef]
- Malkani, M.K.; Pestell, C.F.; Sheridan, A.M.C.; Crichton, A.J.; Horsburgh, G.C.; Bucks, R.S. Behavioral Sleep Interventions for Children With ADHD: A Systematic Review and Meta-Analysis. J. Atten. Disord. 2022, 26, 1805–1821. [Google Scholar] [CrossRef]





Disclaimer/Publisher’s Note: The statements, opinions and data contained in all publications are solely those of the individual author(s) and contributor(s) and not of MDPI and/or the editor(s). MDPI and/or the editor(s) disclaim responsibility for any injury to people or property resulting from any ideas, methods, instructions or products referred to in the content. |
© 2025 by the authors. Licensee MDPI, Basel, Switzerland. This article is an open access article distributed under the terms and conditions of the Creative Commons Attribution (CC BY) license (https://creativecommons.org/licenses/by/4.0/).
Share and Cite
Kovács, T.; Reicher, V.; Csibra, B.; Csepregi, M.; Kristóf, K.; Gácsi, M. Repeated Task Exposure and Sufficient Sleep May Mitigate ADHD-Related Cognitive Flexibility Impairments in Family Dogs. Animals 2025, 15, 3074. https://doi.org/10.3390/ani15213074
Kovács T, Reicher V, Csibra B, Csepregi M, Kristóf K, Gácsi M. Repeated Task Exposure and Sufficient Sleep May Mitigate ADHD-Related Cognitive Flexibility Impairments in Family Dogs. Animals. 2025; 15(21):3074. https://doi.org/10.3390/ani15213074
Chicago/Turabian StyleKovács, Tímea, Vivien Reicher, Barbara Csibra, Melitta Csepregi, Kíra Kristóf, and Márta Gácsi. 2025. "Repeated Task Exposure and Sufficient Sleep May Mitigate ADHD-Related Cognitive Flexibility Impairments in Family Dogs" Animals 15, no. 21: 3074. https://doi.org/10.3390/ani15213074
APA StyleKovács, T., Reicher, V., Csibra, B., Csepregi, M., Kristóf, K., & Gácsi, M. (2025). Repeated Task Exposure and Sufficient Sleep May Mitigate ADHD-Related Cognitive Flexibility Impairments in Family Dogs. Animals, 15(21), 3074. https://doi.org/10.3390/ani15213074

