Effects of Free and Conjugated Methionine on Growth, Meat Quality, Mineral Profile, and Shell Strength in Garden Snails (Cornu aspersum)
Simple Summary
Abstract
1. Introduction
2. Materials and Methods
2.1. Experimental Design
2.2. Experimental and Analytical Procedures
2.3. Statistical Analysis
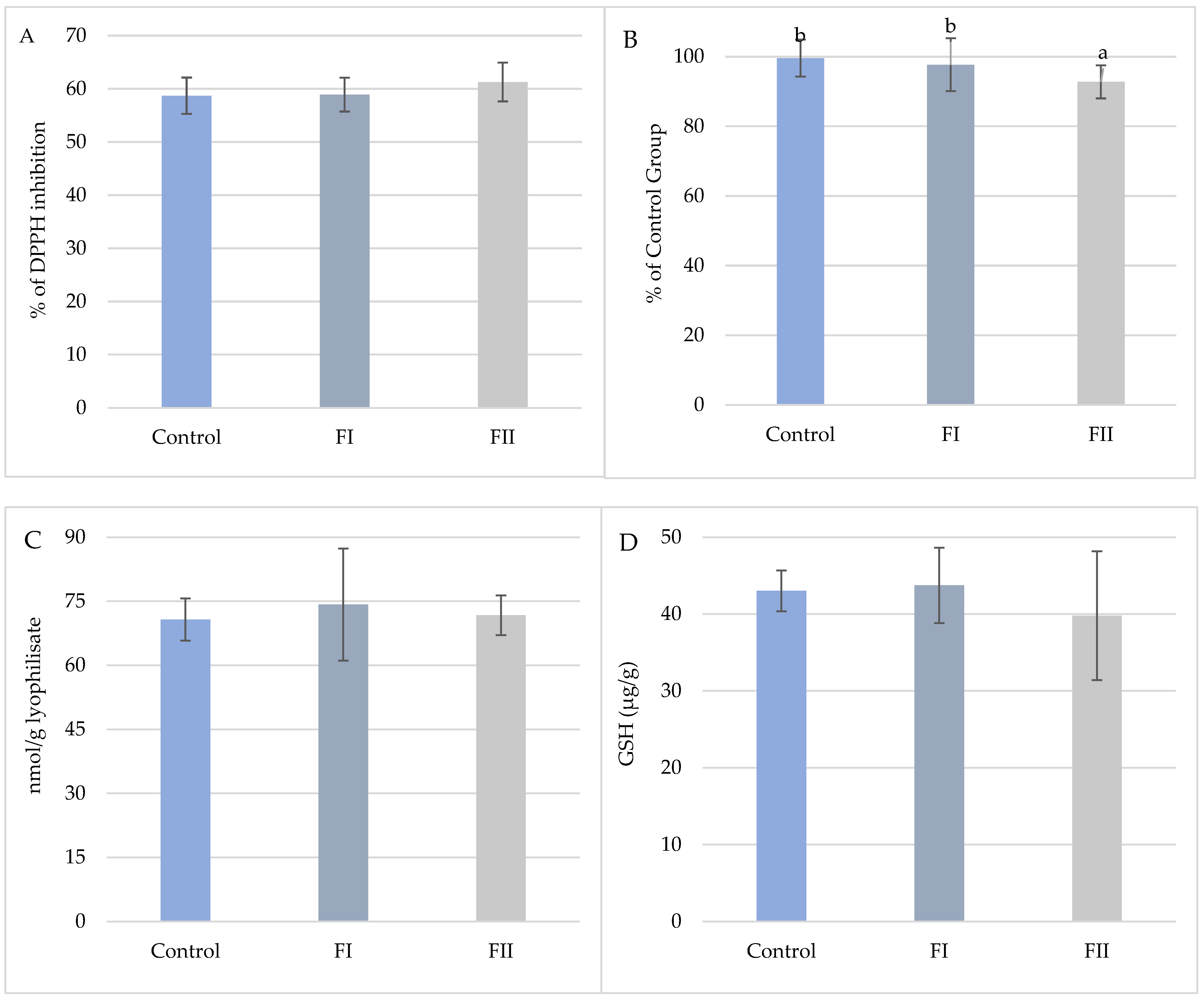
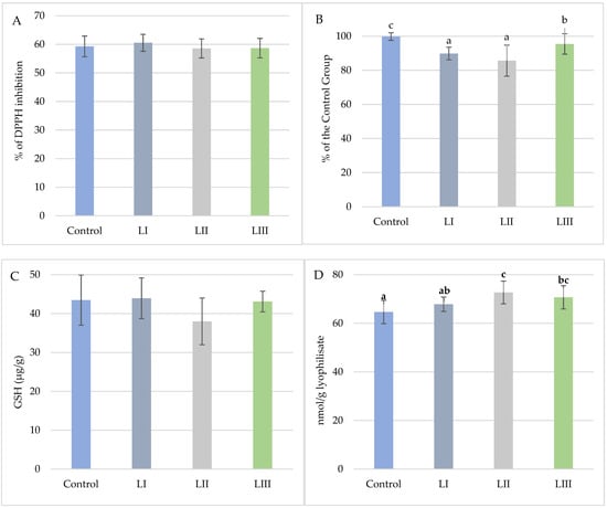
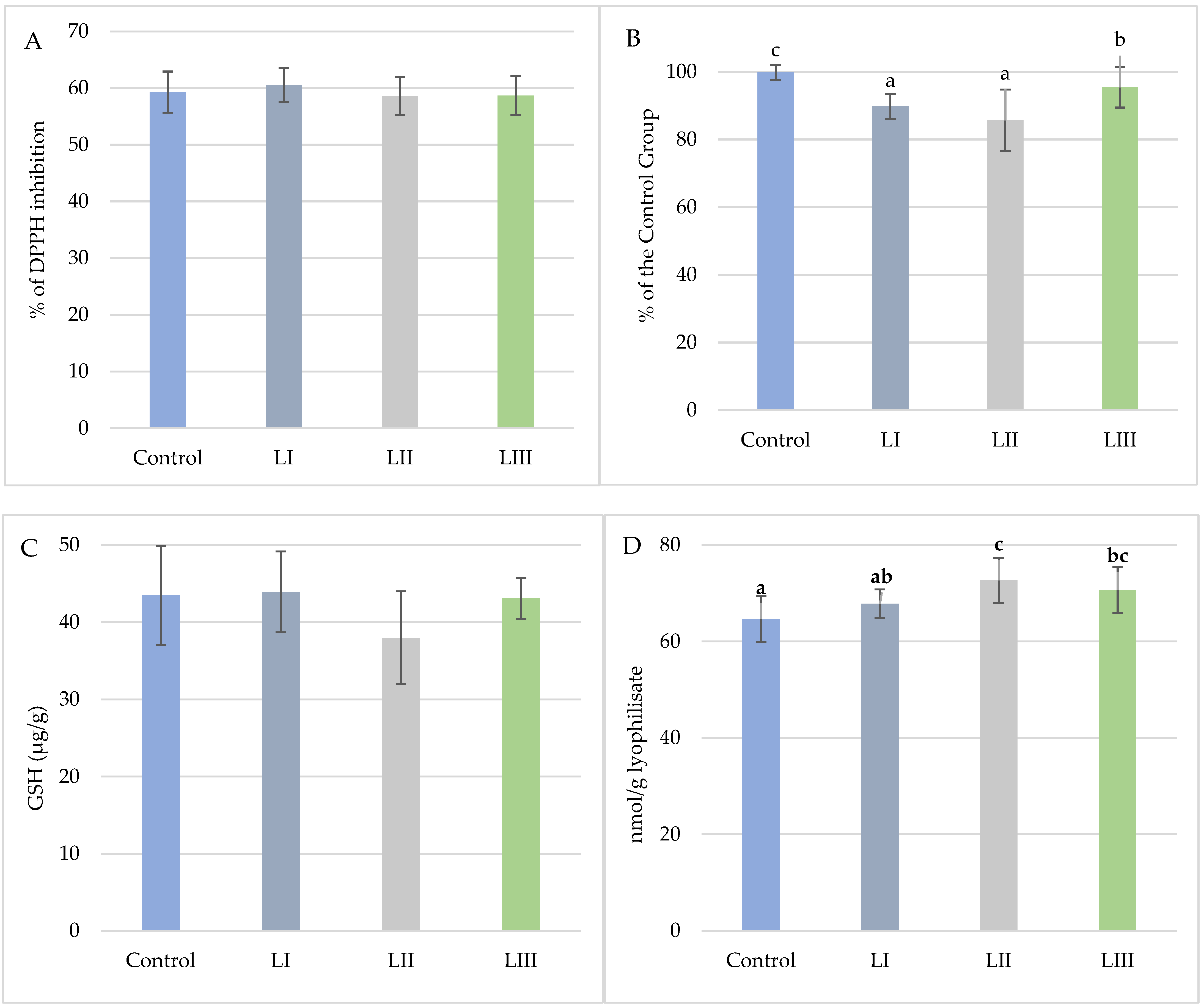
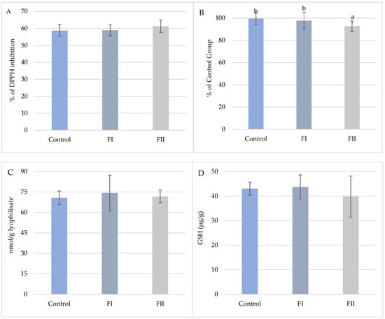
3. Results
4. Discussion
4.1. Growth Rates
4.2. Carcass Characteristics
4.3. Characteristics of Shells
5. Conclusions
Author Contributions
Funding
Institutional Review Board Statement
Informed Consent Statement
Data Availability Statement
Acknowledgments
Conflicts of Interest
Abbreviations
| Met-Met | Conjugated form of methionine |
| Met | Methionine |
| DM | Dry matter |
| BW | Body weight |
| SW | Shell width |
| DPPH | 2,2-difenylo-1-pikrylohydrazyl |
| TAC | Total Antioxidant Capacity |
| TBARS | Thiobarbituric acid reactive substances |
| SAM | S-adenosylmethionine |
| GSI | gonadal specific index |
| DNA | deoxyribonucleic acid |
| RNA | ribonucleic acid |
| INRA | French National Institute for Agricultural Research |
| CG | Control Group |
| AOAC | Association of Official Analytical Chemists |
| MDA | malondialdehyde |
| TEP | 1,1,3,3-tetraethoxypropane |
| BHA | butyl hydroxyanisole |
| TBA | thiobarbituric acid |
| DTNB | 5,5′-dithiobis (2-nitrobenzoic acid |
| TCA | trichloroacetic acid |
| GSH | glutathione |
| HCl | hydrochloric acid |
| Cys | cysteine |
| ALF1 | anti-lipopolysaccharide factor 1 |
| proPO | Crustin-1, prophenoloxidase |
| CncC | cap’ n’ collar isoform C |
| ADA | adenosine deaminase |
| GPT | glutamate transaminase |
| GOT | aspartate aminotrafserase |
| CFH | total antioxidative capacity in cell-free hemolymph |
| ACP | acyl carrier protein |
| LZM | lysozyme |
| TOR | Target of Rapamycin |
References
- Zucaro, A.; Forte, A.; De Vico, G.; Fierro, A. Environmental Loading of Italian Semi-Intensive Snail Farming System Evaluated by Means of Life Cycle Assessment. J. Clean. Prod. 2016, 125, 56–67. [Google Scholar] [CrossRef]
- Hatziioannou, M.; Issari, A.; Neofitou, C.; Aifadi, S.; Matsiori, S. Economic Analysis and Production Techniques of Snail Farms in Southern Greece. World J. Agric. Res. 2014, 2, 276–279. [Google Scholar] [CrossRef][Green Version]
- Adewale, C.I.; Belewu, K.Y. Economic Analysis of Snail Production and Its Contribution to Food Security of Farming Households in Nigeria. Agric. Trop. Subtrop. 2022, 55, 159–168. [Google Scholar] [CrossRef]
- Zagata, L.; Sutherland, L.A. Deconstructing the ‘Young Farmer Problem in Europe’: Towards a Research Agenda. J. Rural Stud. 2015, 38, 39–51. [Google Scholar] [CrossRef]
- Elmslie, L. Snail Collection and Small-Scale Production in Africa and Europe. In Ecological Implications of Minilivestock: Potential of Insects, Rodents, Frogs, and Snails; Paoletti, M.G., Ed.; Science Publishers: Rawalpindi, Pakistan, 2005; pp. 93–121. ISBN 9781482294439. [Google Scholar]
- Rygało-Galewska, A.; Zglińska, K.; Niemiec, T. Edible Snail Production in Europe. Animals 2022, 12, 2732. [Google Scholar] [CrossRef]
- Berillis, P.; Hatziioannou, M.; Panagiotopoulos, N.; Neofitou, C. Similar Shell Features between Rear and Wild Cornu aspersum Snails. World J. Agric. Res. 2013, 1, 1–4. [Google Scholar] [CrossRef]
- Murphy, B. Breeding and Growing Snails Commercially in Australia; Rural Industries Research Development Corporation: Wagga Wagga, Australia, 2001; ISBN 0 642 58219 X. [Google Scholar]
- Zhang, C.; Zhang, R. Matrix Proteins in the Outer Shells of Molluscs. Mar. Biotechnol. 2006, 8, 572–586. [Google Scholar] [CrossRef]
- Aledo, J.C. Methionine in Proteins: The Cinderella of the Proteinogenic Amino Acids. Protein Sci. 2019, 28, 1785–1796. [Google Scholar] [CrossRef]
- Feng, Y.; Yang, L.; Zhu, Y.; Wang, W. Methionine Regulates the Major Physiological Functions of Animals. Sci. Sin. Vitae 2019, 49, 228–237. [Google Scholar] [CrossRef]
- Sanderson, S.M.; Gao, X.; Dai, Z.; Locasale, J.W. Methionine Metabolism in Health and Cancer: A Nexus of Diet and Precision Medicine. Nat. Rev. Cancer 2019, 19, 625–637. [Google Scholar] [CrossRef]
- Avila, M.A.; Berasain, C.; Prieto, J.; Mato, J.M.; García-Trevijano, E.R.; Corrales, F.J. Influence of Impaired Liver Methionine Metabolism on the Development of Vascular Disease and Inflammation. Curr. Med. Chem. Cardiovasc. Hematol. Agents 2005, 3, 267–281. [Google Scholar] [CrossRef] [PubMed]
- Zhang, N. Role of Methionine on Epigenetic Modification of DNA Methylation and Gene Expression in Animals. Anim. Nutr. 2017, 4, 11–16. [Google Scholar] [CrossRef] [PubMed]
- Lee, B.C. Biochemistry and Function of Methionine Sulfoxide Reductase. In Selenium: Its Molecular Biology and Role in Human Health, 4th ed.; Springer International Publishing: Cham, Switzerland, 2016; pp. 287–292. [Google Scholar] [CrossRef]
- Yin, J.; Li, T.; Yin, Y. Methionine and Antioxidant Potential. J. Antioxid. Act. 2016, 1, 17–22. [Google Scholar] [CrossRef]
- Henry, Y. Swine Production and Nutrition. Livest. Prod. Sci. 1986, 14, 306–307. [Google Scholar] [CrossRef]
- Babazadeh, D.; Ahmadi Simab, P. Methionine in Poultry Nutrition: A Review. J. World’s Poult. Sci. 2022, 1, 1–11. [Google Scholar] [CrossRef]
- da Silva, C.A.; Dias, C.P.; Callegari, M.A.; de Souza, K.L.; Barbi, J.H.; Fagundes, N.S.; Batonon-Alavo, D.I.; Foppa, L. Increased Sulphur Amino Acids Consumption as OH-Methionine or DL-Methionine Improves Growth Performance and Carcass Traits of Growing-Finishing Pigs Fed under Hot Conditions. Animals 2022, 12, 2159. [Google Scholar] [CrossRef]
- Abdelrahman, M.M.; Hunaiti, D.A. The Effect of Dietary Yeast and Protected Methionine on Performance and Trace Minerals Status of Growing Awassi Lambs. Livest. Sci. 2008, 115, 235–241. [Google Scholar] [CrossRef]
- Yang, Z.; Htoo, J.K.; Liao, S.F. Methionine Nutrition in Swine and Related Monogastric Animals: Beyond Protein Biosynthesis. Anim. Feed Sci. Technol. 2020, 268, 114608. [Google Scholar] [CrossRef]
- Brosnan, J.T.; Brosnan, M.E.; Bertolo, R.F.P.; Brunton, J.A. Methionine: A Metabolically Unique Amino Acid. Livest. Sci. 2007, 112, 2–7. [Google Scholar] [CrossRef]
- Columbus, D.A. 34 DPP Lecture: Evidence of Methionine Effects on Health and Immune Response of Animals. J. Anim. Sci. 2024, 102, 16. [Google Scholar] [CrossRef]
- Stange, K.; Schumacher, T.; Miersch, C.; Whelan, R.; Klünemann, M.; Röntgen, M. Methionine Sources Differently Affect Production of Reactive Oxygen Species, Mitochondrial Bioenergetics, and Growth of Murine and Quail Myoblasts In Vitro. Curr. Issues Mol. Biol. 2023, 45, 2661–2680. [Google Scholar] [CrossRef]
- Richard, L.; Vachot, C.; Surget, A.; Rigolet, V.; Kaushik, S.J.; Geurden, I. The Effect of Choline and Cystine on the Utilisation of Methionine for Protein Accretion, Remethylation and Trans-Sulfuration in Juvenile Shrimp Penaeus Monodon. Br. J. Nutr. 2011, 106, 825–835. [Google Scholar] [CrossRef]
- Niu, J.; Lemme, A.; He, J.Y.; Li, H.Y.; Xie, S.W.; Liu, Y.J.; Yang, H.J.; Figueiredo-Silva, C.; Tian, L.X. Assessing the Bioavailability of the Novel Met-Met Product (AQUAVI® Met-Met) Compared to DL-Methionine (DL-Met) in White Shrimp (Litopenaeus vannamei). Aquaculture 2018, 484, 322–332. [Google Scholar] [CrossRef]
- Ruby, P.; Athithan, B.; Sugumar, G. Evaluation of Aquavi Met-Met Supplements on the Growth Performance of Pacific White Shrimp, Litipenaeus vannamei (Boone, 1931). J. Exp. Zool. India 2017, 20, 819–825. [Google Scholar]
- Allen, K.; Awapara, J. Metabolism of Sulfur Amino Acids in Mytilus edulis and Rangia cuneata. Biol. Bull. 1960, 118, 173–182. [Google Scholar] [CrossRef]
- Nell, J.A.; Gibbs, P.J. Salinity Tolerance and Absorption of L-Methionine by Some Australian Bivalve Molluscs. Mar. Freshw. Res. 1986, 37, 721–727. [Google Scholar] [CrossRef]
- Chen, H.; Fan, W.; Zhang, H.; Yue, P.; Wang, R.; Zhang, W.; Mai, K. Effects of Dietary Methionine on Growth and Body Composition, Indicators of Digestion, Protein Metabolism and Immunity, and Resistance to Heat Stress of Abalone Haliotis Discus Hannai. Aquaculture 2023, 563, 738978. [Google Scholar] [CrossRef]
- Wang, X.; Lei, X.; Guo, Z.; Wang, S.; Wan, J.; Liu, H.; Chen, Y.; Wang, G.; Wang, Q.; Zhang, D. The Immuneoreaction and Antioxidant Status of Chinese Mitten Crab (Eriocheir sinensis) Involve Protein Metabolism and the Response of MTOR Signaling Pathway to Dietary Methionine Levels. Fish Shellfish Immunol. 2022, 127, 703–714. [Google Scholar] [CrossRef]
- Kintsu, H.; Nishimura, R.; Negishi, L.; Kuriyama, I.; Tsuchihashi, Y.; Zhu, L.; Nagata, K.; Suzuki, M. Identification of Methionine -Rich Insoluble Proteins in the Shell of the Pearl Oyster, Pinctada fucata. Sci. Rep. 2020, 10, 18335. [Google Scholar] [CrossRef]
- Hunt, S. The Structure and Composition of the Love Dart (Gypsobelum) in Helix pomatia. Tissue Cell 1979, 1, 51–61. [Google Scholar] [CrossRef]
- Xie, J.J.; Lemme, A.; He, J.Y.; Yin, P.; Figueiredo-Silva, C.; Liu, Y.J.; Xie, S.W.; Niu, J.; Tian, L.X. Fishmeal Levels Can Be Successfully Reduced in White Shrimp (Litopenaeus vannamei) If Supplemented with DL-Methionine (DL-Met) or DL-Methionyl-DL-Methionine (Met-Met). Aquac. Nutr. 2018, 24, 1144–1152. [Google Scholar] [CrossRef]
- Ligaszewski, M.; Pol, P. Wybrane Zagadnienia z Dziedziny Helikultury; Zespół Wydawnictw i Poligrafii IZ PIB: Kraków, Poland, 2019; ISBN 9788376073927. [Google Scholar]
- Rygało-Galewska, A.; Zglińska, K.; Roguski, M.; Roman, K.; Bendowski, W.; Bień, D.; Niemiec, T. Effect of Different Levels of Calcium and Addition of Magnesium in the Diet on Garden Snails’ (Cornu aspersum) Condition, Production, and Nutritional Parameters. Agriculture 2023, 13, 2055. [Google Scholar] [CrossRef]
- Ireland, M.P. The Effect of Dietary Calcium on Growth, Shell Thickness and Tissue Calcium Distribution in the Snail Achatina Fulica. Comp. Biochem. Physiol. A Physiol. 1991, 98, 111–116. [Google Scholar] [CrossRef]
- García, A.; Perea, J.; Martín, R.; Acero, R.; Mayoral, A.; Peña, F.; Luque, M. Effect of Two Diets on the Growth of the Helix Aspersa Müller during the Juvenile Stage. In Proceedings of the 56th Annual Meeting EAAP, Uppsala, Sweden, 5–8 June 2005; pp. 1–9. [Google Scholar]
- Bunchasak, C.; Silapasorn, T. Effects of Adding Methionine in Low-Protein Diet on Production Performance, Reproductive Organs and Chemical Liver Composition of Laying Hens under Tropical Conditions. Int. J. Poult. Sci. 2005, 4, 301–308. [Google Scholar] [CrossRef]
- Garcia Neto, M.; Pesti, G.M.; Bakalli, R.I. Influence of Dietary Protein Level on the Broiler Chicken’s Response to Methionine and Betaine Supplements. Poult. Sci. 2000, 79, 1478–1484. [Google Scholar] [CrossRef]
- Wang, L.; Ye, L.; Hua, Y.; Zhang, G.; Li, Y.; Zhang, J.; He, J.; Liu, M.; Shao, Q. Effects of Dietary DL-Methionyl-DL-Methionine (Met-Met) on Growth Performance, Body Composition and Haematological Parameters of White Shrimp (Litopenaeus vannamei) Fed with Plant Protein–Based Diets. Aquac. Res. 2019, 50, 1718–1730. [Google Scholar] [CrossRef]
- Façanha, F.N.; Oliveira-Neto, A.R.; Figueiredo-Silva, C.; Nunes, A.J.P. Effect of Shrimp Stocking Density and Graded Levels of Dietary Methionine over the Growth Performance of Litopenaeus vannamei Reared in a Green-Water System. Aquaculture 2016, 463, 16–21. [Google Scholar] [CrossRef]
- AOAC. Official Methods of Analysis of the Association of Official Analytical Chemists; AOAC Intl.: Gaithersburg, MD, USA, 2005. [Google Scholar]
- Uchiyama, M.; Mihara, M. Determination of Malonaldehyde Precursor in Tissues by Thiobarbituric Acid Test. Anal. Biochem. 1978, 86, 271–278. [Google Scholar] [CrossRef]
- Ellman, G.L. Tissue Sulfhydryl Groups. Arch. Biochem. Biophys. 1959, 82, 70–77. [Google Scholar] [CrossRef]
- Matusiewicz, M.; Marczak, K.; Kwiecinska, B.; Kupis, J.; Zglinska, K.; Niemiec, T.; Kosieradzka, I. Effect of Extracts from Eggs of Helix Aspersa Maxima and Helix Aspersa Aspersa Snails on Caco-2 Colon Cancer Cells. PeerJ 2022, 10, e13217. [Google Scholar] [CrossRef]
- Jaworska, G.; Berna, E. Comparison of Amino Acid Content in Canned Pleurotus Ostreatus and Agaricus Bisporus Mushrooms. Veg. Crops Res. Bull. 2011, 74, 107–115. [Google Scholar] [CrossRef]
- Gientka, I.; Synowiec, A.; Roszko, M.; Nguyen, C.N.K.; Pobiega, K.; Kot, A.M. Comparison of Physicochemical Characteristics and Microbial Quality between Commercially Available Organic and Conventional Japanese Soy Sauces. Appl. Sci. 2024, 14, 3784. [Google Scholar] [CrossRef]
- Chevallier, H. La Variabilité de l’Escargot Petit-Gris Hélix Aspersa Muller. Bull. Muséum Natl. d’Histoibe Nat. 1977, 3, 425–442. [Google Scholar] [CrossRef]
- Cooke, A.S. Shell Thinning in Avian Eggs by Environmental Pollutants. Environ. Pollut. 1973, 4, 85–152. [Google Scholar] [CrossRef]
- Ligaszewski, M.; Surówka, K.; Stekla, J. The Shell Features of Cornu aspersum (Synonym Helix Aspersa) and Helix pomatia: Characteristics and Comparison. Am. Malacol. Bull. 2009, 27, 173–181. [Google Scholar] [CrossRef]
- Sowiński, G.; Wąsowski, R. Chów Ślimaków. Pielęgnacja, Żywienie, Zarys Chorób z Profilaktyką Oraz Kulinaria; Wydawnictwo Uniwersytetu Warmińsko-Mazurskiego: Olsztyn, Poland, 2000; ISBN 83-88343-40-8. [Google Scholar]
- Zhou, Y.; He, J.; Su, N.; Masagounder, K.; Xu, M.; Chen, L.; Liu, Q.; Ye, H.; Sun, Z.; Ye, C. Effects of DL-Methionine and a Methionine Hydroxy Analogue (MHA-Ca) on Growth, Amino Acid Profiles and the Expression of Genes Related to Taurine and Protein Synthesis in Common Carp (Cyprinus carpio). Aquaculture 2021, 532, 735962. [Google Scholar] [CrossRef]
- Li, B.S.; Han, X.J.; Wang, J.Y.; Song, Z.D.; Sun, Y.Z.; Wang, S.X.; Huang, B.S. Optimal Dietary Methionine Requirement for Juvenile Sea Cucumber Apostichopus japonicus Selenka. Aquac. Res. 2021, 52, 1348–1358. [Google Scholar] [CrossRef]
- Rotili, D.A.; Rossato, S.; de Freitas, I.L.; Martinelli, S.G.; Radünz Neto, J.; Lazzari, R. Determination of Methionine Requirement of Juvenile Silver Catfish (Rhamdia quelen) and Its Effects on Growth Performance, Plasma and Hepatic Metabolites at a Constant Cystine Level. Aquac. Res. 2018, 49, 858–866. [Google Scholar] [CrossRef]
- Guo, T.Y.; Zhao, W.; Liao, S.Y.; Xie, J.J.; Xie, S.W.; Masagounder, K.; Tian, L.X.; Niu, J.; He, J.Y.; Liu, Y.J. Dietary Dl-Methionyl-Dl-Methionine Supplementation Increased Growth Performance, Antioxidant Ability, the Content of Essential Amino Acids and Improved the Diversity of Intestinal Microbiota in Nile Tilapia (Oreochromis niloticus). Br. J. Nutr. 2020, 123, 72–83. [Google Scholar] [CrossRef]
- Lu, J.; Zhang, X.; Zhou, Q.; Cheng, Y.; Luo, J.; Masagounder, K.; He, S.; Zhu, T.; Yuan, Y.; Shi, B.; et al. Dietary DL-methionyl-DL-methionine Supplementation Could Improve Growth Performance under Low Fishmeal Strategies by Modulating TOR Signalling Pathway of Litopenaeus vannamei. Aquac. Nutr. 2021, 27, 1921–1933. [Google Scholar] [CrossRef]
- Wang, S.; Webb, K.E.; Akers, M.R. Peptide-Bound Methionine Can Be a Source of Methionine for the Synthesis of Secreted Proteins by Mammary Tissue Explants from Lactating Mice. J. Nutr. 1996, 126, 1662–1672. [Google Scholar] [CrossRef]
- Parkhitko, A.A.; Jouandin, P.; Mohr, S.E.; Perrimon, N. Methionine Metabolism and Methyltransferases in the Regulation of Aging and Lifespan Extension across Species. Aging Cell 2019, 18, e13034. [Google Scholar] [CrossRef] [PubMed]
- Espe, M.; Adam, A.C.; Saito, T.; Skjærven, K.H. Methionine: An Indispensable Amino Acid in Cellular Metabolism and Health of Atlantic Salmon. Aquac. Nutr. 2023, 2023, 5706177. [Google Scholar] [CrossRef] [PubMed]
- Bin, P.; Huang, R.; Zhou, X. Oxidation Resistance of the Sulfur Amino Acids: Methionine and Cysteine. Biomed. Res. Int. 2017, 2017, 9584932. [Google Scholar] [CrossRef] [PubMed]
- Nicolai, A.; Filser, J.; Lenz, R.; Bertrand, C.; Charrier, M. Adjustment of Metabolite Composition in the Haemolymph to Seasonal Variations in the Land Snail Helix pomatia. J. Comp. Physiol. B 2011, 181, 457–466. [Google Scholar] [CrossRef]
- Dimitriadis, V.K.; Domouhtsidou, G.P. Carbohydrate cytochemistry of the intestine and salivary glands of the snail Helix lucorum: Effect of starvation and hibernation. J. Molluscan Stud. 1995, 61, 215–224. [Google Scholar] [CrossRef]
- Yin, Z.; Shi, B.; Liang, X.; Wang, H.; Wang, J.; He, J.; Xue, M. Tolerance and Toxicity Assessment of a Novel Methionine Source, Dipeptide Met-Met on Common Carp Cyprinus carpio. Aquaculture 2025, 595, 741514. [Google Scholar] [CrossRef]
- Sadhu, M.J.; Guan, Q.; Li, F.; Sales-Lee, J.; Iavarone, A.T.; Hammond, M.C.; Zacheus Cande, W.; Rine, J. Nutritional Control of Epigenetic Processes in Yeast and Human Cells. Genetics 2013, 195, 831–844. [Google Scholar] [CrossRef]
- Ji, R.; Wang, Z.; He, J.; Masagounder, K.; Xu, W.; Mai, K.; Ai, Q. Effects of DL-Methionyl-DL-Methionine Supplementation on Growth Performance, Immune and Antioxidative Responses of White Leg Shrimp (Litopenaeus vannamei) Fed Low Fishmeal Diet. Aquac. Rep. 2021, 21, 100785. [Google Scholar] [CrossRef]
- Scislowski, P.W.; Hokland, B.M.; Davis-van Thienen, W.I.; Bremer, J.; Davis, E.J. Methionine Metabolism by Rat Muscle and Other Tissues. Occurrence of a New Carnitine Intermediate. Biochem. J. 1987, 247, 35–40. [Google Scholar] [CrossRef]
- Lee, M.S.; Lee, H.J.; Lee, H.S.; Kim, Y. L-Carnitine Stimulates Lipolysis via Induction of the Lipolytic Gene Expression and Suppression of the Adipogenic Gene Expression in 3T3-L1 Adipocytes. J. Med. Food 2007, 9, 468–473. [Google Scholar] [CrossRef] [PubMed]
- Peng, J.L.; Bai, S.P.; Wang, J.P.; Ding, X.M.; Zeng, Q.F.; Zhang, K.Y. Methionine Deficiency Decreases Hepatic Lipid Exportation and Induces Liver Lipid Accumulation in Broilers. Poult. Sci. 2018, 97, 4315–4323. [Google Scholar] [CrossRef] [PubMed]
- Ji, K.; Liang, H.; Ren, M.; Ge, X.; Pan, L.; Yu, H. Nutrient Metabolism in the Liver and Muscle of Juvenile Blunt Snout Bream (Megalobrama amblycephala) in Response to Dietary Methionine Levels. Sci. Rep. 2021, 11, 23843. [Google Scholar] [CrossRef] [PubMed]
- Zhou, X.; He, L.; Wan, D.; Yang, H.; Yao, K.; Wu, G.; Wu, X.; Yin, Y. Methionine Restriction on Lipid Metabolism and Its Possible Mechanisms. Amino Acids 2016, 48, 1533–1540. [Google Scholar] [CrossRef] [PubMed]
- Pal, D.T.; Gowda, N.K.S.; Prasad, C.S.; Amarnath, R.; Bharadwaj, U.; Suresh Babu, G.; Sampath, K.T. Effect of Copper- and Zinc-Methionine Supplementation on Bioavailability, Mineral Status and Tissue Concentrations of Copper and Zinc in Ewes. J. Trace Elem. Med. Biol. 2010, 24, 89–94. [Google Scholar] [CrossRef]
- Wang, Y.; Yi, L.; Zhao, M.L.; Wu, J.Q.; Wang, M.Y.; Cheng, X.C. Effects of Zinc-Methionine on Growth Performance, Intestinal Flora and Immune Function in Pigeon Squabs. Br. Poult. Sci. 2014, 55, 403–408. [Google Scholar] [CrossRef]
- Ekperigin, H.E.; Vohra, P. Influence of Dietary Excess Methionine on the Relationship between Dietary Copper and the Concentration of Copper and Iron in Organs of Broiler Chicks. J. Nutr. 1981, 111, 1630–1640. [Google Scholar] [CrossRef]
- Southern, L.L.; Baker, D.H. The Effect of Methionine or Cysteine on Cobalt Toxicity in the Chick. Poult. Sci. 1981, 60, 1303–1308. [Google Scholar] [CrossRef]
- Angelov, L.; Vrabcheva, V.; Petrichev, M.; Borisova, L. The Effect of Copper Complex of Methionine Compared with Copper Sulfate in Growing Pigs. Turk. J. Vet. Anim. Sci. 2010, 34, 1–5. [Google Scholar] [CrossRef]
- Hafez, Y.S.; Chavez, E.; Vohra, P.; Kratzer, F.H. Methionine Toxicity in Chicks and Poults. Poult. Sci. 1978, 57, 699–703. [Google Scholar] [CrossRef]
- Benevenga, N.J. Toxicities of Methionine and Other Amino Acids. J. Agric. Food Chem. 1974, 22, 2–9. [Google Scholar] [CrossRef]
- Gondret, F.; Le Floc’h, N.; Batonon-Alavo, D.I.; Perruchot, M.H.; Mercier, Y.; Lebret, B. Flash Dietary Methionine Supply over Growth Requirements in Pigs: Multi-Facetted Effects on Skeletal Muscle Metabolism. Animal 2021, 15, 100268. [Google Scholar] [CrossRef]
- Criscuolo, F.; Monaghan, P.; Nasir, L.; Metcalfe, N.B. Early Nutrition and Phenotypic Development: “Catch-up” Growth Leads to Elevated Metabolic Rate in Adulthood. Proc. R. Soc. B Biol. Sci. 2008, 275, 1565–1570. [Google Scholar] [CrossRef] [PubMed]
- Piwoni-Piórewicz, A.; Strekopytov, S.; Humphreys-Williams, E.; Kukliński, P. The Patterns of Elemental Concentration (Ca, Na, Sr, Mg, Mn, Ba, Cu, Pb, V, Y, U and Cd) in Shells of Invertebrates Representing Different CaCO3 Polymorphs: A Case Study from the Brackish Gulf of Gdańsk (the Baltic Sea). Biogeosciences 2021, 18, 707–728. [Google Scholar] [CrossRef]
- da Silva, P.S.C.; de Moura Farias, W.; Gomez, M.R.B.P.; Torrecilha, J.K.; Rocha, F.R.; Scapin, M.A.; Garcia, R.H.L.; de Simone, L.R.L.; de Amaral, V.S.; Vincent, M.; et al. Oyster Shell Element Composition as a Proxy for Environmental Studies. J. S. Am. Earth Sci. 2024, 134, 104749. [Google Scholar] [CrossRef]
- Richards, M.; Xu, W.; Mallozzi, A.; Errera, R.M.; Supan, J. Production of Calcium-Binding Proteins in Crassostrea Virginica in Response to Increased Environmental CO2 Concentration. Front. Mar. Sci. 2018, 5, 345015. [Google Scholar] [CrossRef]
- Beeby, A.; Richmond, L. Differential Growth Rates and Calcium-Allocation Strategies in the Garden Snail Cantareus aspersus. J. Molluscan Stud. 2007, 73, 105–112. [Google Scholar] [CrossRef]
- Mele, I.; McGill, R.A.R.; Thompson, J.; Fennell, J.; Fitzer, S. Ocean Acidification, Warming and Feeding Impacts on Biomineralization Pathways and Shell Material Properties of Magallana gigas and Mytilus spp. Mar. Environ. Res. 2023, 186, 105925. [Google Scholar] [CrossRef]
- Zadory, L. Freshwater Molluscs as Accumulation Indicators for Monitoring Heavy Metal Pollution. Fresenius’ Z. Anal. Chem. 1984, 317, 375–379. [Google Scholar] [CrossRef]
- Badillo-Gómez, J.I.; Suarez-Antuña, I.; Mazurenko, I.; Biaso, F.; Pécaut, J.; Lojou, E.; Delangle, P.; Hostachy, S. Biomimetic Pseudopeptides to Decipher the Interplay between Cu and Methionine-Rich Domains in Proteins. Chem.-A Eur. J. 2025, 31, e202403896. [Google Scholar] [CrossRef]
- Zhao, Y.; Feng, Y.; Zhang, H.; Kou, X.; Li, L.; Liu, X.; Zhang, P.; Cui, L.; Chu, M.; Shen, W.; et al. Inhibition of Peripubertal Sheep Mammary Gland Development by Cysteamine through Reducing Progesterone and Growth Factor Production. Theriogenology 2017, 89, 280–288. [Google Scholar] [CrossRef]
- Mu, T.; Yang, J.; Li, Z.; Wu, G.; Hu, J. Effect of Taurine on Reproductive Hormone Secretion in Female Rats. Adv. Exp. Med. Biol. 2015, 803, 449–456. [Google Scholar] [CrossRef]
- Mozanzadeh, M.T.; Bahabadi, M.N.; Morshedi, V.; Oujifard, A.; Agh, N.; Ghasemi, A.; Maneii, K.; Ebrahimi, H.; Hamedi, S.; Tamadoni, R. Effects of Dietary Taurine on Maturation Indices, Antioxidant Capacity, Ovaries Amino and Fatty Acids Profile, and Vitellogenin Gene Transcription Level in Penaeus vannamei Female Brooders. Aquac. Nutr. 2024, 2024, 5532545. [Google Scholar] [CrossRef]
- Yang, G.; Li, S.; Cai, S.; Zhou, J.; Ye, Q.; Zhang, S.; Chen, F.; Wang, F.; Zeng, X. Dietary Methionine Supplementation during the Estrous Cycle Improves Follicular Development and Estrogen Synthesis in Rats. Food Funct. 2024, 15, 704–715. [Google Scholar] [CrossRef]









| Ingredients (%) | Experiment I | Experiment II | |||||
|---|---|---|---|---|---|---|---|
| Control | L I | L II | L III | Control | FI | FII | |
| Corn meal | 43.80 | 43.80 | 43.80 | 43.79 | 43.79 | 43.79 | 43.79 |
| Soybean meal 460 | 21.00 | 21.00 | 21.00 | 21.00 | 21.00 | 21.00 | 21.00 |
| Wheat bran | 5.00 | 5.00 | 5.00 | 5.00 | 5.00 | 5.00 | 5.00 |
| Fodder yeast#break# Saccharomyces cerevisiae | 4.00 | 4.00 | 4.00 | 4.00 | 4.00 | 4.00 | 4.00 |
| Rapeseed oil | 2.00 | 2.00 | 2.00 | 2.00 | 2.00 | 2.00 | 2.00 |
| Monocalcium phosphate | 2.00 | 2.00 | 2.00 | 2.00 | 2.00 | 2.00 | 2.00 |
| Calcium carbonate | 20.00 | 20.00 | 20.00 | 20.00 | 20.00 | 20.00 | 20.00 |
| Sodium Chloride | 0.20 | 0.20 | 0.20 | 0.20 | 0.20 | 0.20 | 0.20 |
| Vitamin premix | 2.00 | 2.00 | 2.00 | 2.00 | 2.00 | 2.00 | 2.00 |
| Methionine (g) | - | 0.30 | 0.60 | 1.40 | 1.40 | - | 0.70 |
| Met-Met (g) | - | - | - | - | - | 1.40 | 0.70 |
| Composition (% DM) | |||||||
| Crude protein | 17.88 ± 0.58 | 18.40 ± 0.45 | 18.78 ± 0.61 | 19.15 ± 0.73 | 19.20 ± 0.55 | 18.94 ± 0.49 | 19.12 ± 0.51 |
| Ether extracts | 3.01 ± 0.10 | 3.16 ± 0.09 | 3.11 ± 0.11 | 2.97 ± 0.12 | 3.06 ± 0.11 | 3.07 ± 0.08 | 2.91 ± 0.10 |
| Crude fibre | 3.33 ± 0.09 | 3.50 ± 0.08 | 3.21 ± 0.08 | 3.22 ± 0.09 | 3.60 ± 0.10 | 3.39 ± 0.08 | 3.16 ± 0.09 |
| Crude ash | 27.24 ± 0.79 | 28.39 ± 0.57 | 27.76 ± 0.67 | 27.61 ± 0.52 | 28.32 ± 0.92 | 27.74 ± 0.83 | 27.22 ± 0.71 |
| Nitrogen-free extract | 48.02 ± 1.66 | 46.55 ± 1.33 | 47.14 ± 0.89 | 47.05 ± 1.20 | 45.82 ± 0.52 | 46.86 ± 0.61 | 47.59 ± 0.98 |
| Methionine (mg/g DM) | 2.94 ± 0.10 | 3.22 ± 0.20 | 3.51 ± 0.14 | 4.27 ± 0.15 | 4.31 ± 0.18 | 4.42 ± 0.36 | 4.26 ± 0.11 |
| Cysteine (mg/g DM) | 2.60 ± 0.05 | 2.55 ± 0.05 | 2.37 ± 0.07 | 2.14 ± 0.03 | 2.12 ± 0.07 | 2.96 ± 0.33 | 2.91 ± 0.14 |
| Calculated BE (MJ) | 12.17 | 12.07 | 12.21 | 12.21 | 12.04 | 12.18 | 12.27 |
| Experiment I | ||||||||
|---|---|---|---|---|---|---|---|---|
| Indicates | N | Control Group | Experimental Groups | SEM | p-Value | |||
| LI | LII | LIII | ||||||
| Carcass weight (g) | 50 | 6.11 ± 1.19 a | 5.65 ± 1.12 a | 5.99 ± 1.29 a | 6.62 ± 1.33 b | 0.18 | 0.0017 | |
| Shell weight (g) | 50 | 0.77 ± 0.20 a | 0.76 ± 0.19 a | 0.82 ± 0.21 a | 1.20 ± 0.30 b | 0.03 | <0.0001 | |
| Share of the carcass in total body weight (%) | 50 | 88.87 ± 1.51 c | 88.20 ± 1.91 bc | 88.01 b ± 1.67 | 84.72 ± 1.83 a | 0.00 | <0.0001 | |
| Shell shape index | 50 | 1.42 ± 0.09 c | 1.23 ± 0.12 b | 1.14 ± 0.11 a | 1.15 ± 0.06 a | 0.01 | <0.0001 | |
| Solidity index (g/cm2) × 100 | 50 | 12.22 ± 2.06 b | 10.63 ± 1.93 a | 11.01 ± 1.89 a | 14.13± 2.43 c | 0.30 | <0.0001 | |
| Crushing force of the shells (N) | 20 | 20.43 ± 7.87 a | 19.35 ± 5.08 a | 25.40± 10.15 a | 48.05 ± 13.96 b | 2.20 | <0.0001 | |
| Mature individuals (%) | 50 | 42.00 ± 4.99 | 32.00 ± 4.71 | 32.00 ± 4.71 | 54.00 ± 5.04 | 0.07 | 0.0775 | |
| Experiment II | ||||||||
| Indicates | N | Control Group | Experimental Groups | SEM | p-Value | |||
| FI | FII | |||||||
| Carcass weight (g) | 50 | 6.57 ± 1.29 a | 7.65 ± 1.17 b | 6.62 ± 1.39 a | 0.18 | <0.0001 | ||
| Shell weight (g) | 50 | 1.21 ± 0.31 | 1.22 ± 0.25 | 1.13 ± 0.36 | 0.04 | 0.2377 | ||
| Share of the carcass in total body weight (%) | 50 | 84.53 ± 2.02 a | 86.20 ± 2.28 b | 85.66 ± 2.81 b | 0.00 | 0.0024 | ||
| Shell shape index | 50 | 1.16 ± 0.06 a | 1.19 ± 0.08 a | 1.29 ± 0.10 b | 0.01 | <0.0001 | ||
| Solidity index (g/cm2) × 100 | 50 | 13.57 ± 2.51 | 14.62 ± 2.65 | 15.02 ± 3.81 | 0.43 | 0.0524 | ||
| Crushing force of the shells (N) | 20 | 49.73 ± 14.45 | 46.22 ± 18.45 | 42.45 ± 15.45 | 3.62 | 0.3702 | ||
| Mature individuals (%) | 50 | 52.00 ± 5.05 | 66.00 ± 4.79 | 62.00 ± 4.90 | 0.07 | 0.3432 | ||
| Experiment I | ||||||
|---|---|---|---|---|---|---|
| Item | Control Group | Experimental Groups | SEM | p-Value | ||
| LI | LII | LIII | ||||
| Crude protein | 64.42 ± 2.01 a | 71.18 ± 2.63 b | 69.83 ± 3.09 b | 63.05 ± 3.81 a | 1.21 | 0.0002 |
| Ether extracts | 2.55 ± 0.31 bc | 2.75± 0.16 c | 1.75± 0.20 a | 2.37 ± 0.07 b | 0.08 | <0.0001 |
| Crude ash | 8.79 ± 0.25 | 9.34 ± 0.51 | 9.04 ± 0.52 | 8.65 ± 0.64 | 0.20 | 0.1144 |
| Met (mg/g DM) | 9.30 ± 1.11 a | 10.37 ± 0.98 bc | 10.00 ± 0.30 ab | 11.03 ± 0.61 c | 0.33 | 0.0119 |
| Cys (mg/g DM) | 7.88 ± 1.54 | 7.36 ± 0.34 | 8.09 ± 0.68 | 7.23 ± 0.75 | 0.38 | 0.3516 |
| Experiment II | ||||||
| Item | Control Group | Experimental Groups | SEM | p-Value | ||
| FI | FII | |||||
| Crude protein | 64.22 ± 3.92 | 67.05 ± 2.79 | 64.60 ± 1.32 | 1.19 | 0.3077 | |
| Ether extracts | 2.40 ± 0.07 b | 1.71 ± 0.20 a | 1.86± 0.14 a | 0.07 | <0.0001 | |
| Crude ash | 9.01 ± 0.67 | 8.73 ± 0.54 | 8.90 ± 0.38 | 0.22 | 0.5504 | |
| Met (mg/g DM) | 11.05 ± 0.59 b | 11.92 ± 0.93 b | 9.70 ± 0.76 a | 0.32 | 0.0007 | |
| Cys (mg/g DM) | 7.24 ± 0.71 | 7.49 ± 0.59 | 7.77 ± 0.77 | 0.29 | 0.4370 | |
| Experiment I | |||||||
|---|---|---|---|---|---|---|---|
| Item | Control Group | Experimental Groups | SEM | p-Value | |||
| LI | LII | LIII | |||||
| Ca (%) | Carcass | 1.16 ± 0.05 a | 1.64 ± 0.04 c | 1.48 ± 0.01 b | 1.49 ± 0.11 b | 0.03 | <0.0001 |
| Shell | 34.71 ± 2.11 a | 36.07 ± 0.51 ab | 36.98 ± 1.44 b | 38.74 ± 1.38 c | 0.49 | <0.0001 | |
| Fe (mg/kg) | Carcass | 110.90 ± 10.45 d | 97.66 ± 4.53 c | 84.03 ± 5.10 b | 68.39 ± 3.79 a | 2.17 | <0.0001 |
| Shell | 41.05 ± 5.72 c | 20.41 ± 3.65 b | 16.75 ± 8.50 ab | 13.766 ± 3.58 a | 1.916 | <0.0001 | |
| Na (mg/kg) | Carcass | 8142.35 ± 175.21 d | 7806.86 ± 167.54 c | 6698.48 ± 173.70 b | 6454.36 ± 338.10 a | 75.14 | <0.0001 |
| Shell | 749.65 ± 51.02 a | 803.36 ± 29.38 c | 763.04 ± 28.59 ab | 792.36 ± 22.75 bc | 11.55 | 0.0080 | |
| P (mg/kg) | Carcass | 10,942.09 ± 621.02 a | 14,235.50 ± 886.21 b | 13,622.55 ± 1278.67 b | 11,287.65 ± 422.78 a | 287.94 | <0.0001 |
| Shell | 362.79 ± 24.36 a | 655.30 ± 79.13 c | 415.31 ± 21.63 b | 420.74 ± 55.15 b | 16.97 | <0.0001 | |
| Zn (mg/kg) | Carcass | 71.32 ± 2.62 a | 88.52 ± 6.15 c | 82.43 ± 4.96 b | 68.64 ± 3.23 a | 1.49 | <0.0001 |
| Shell | 2.60 ± 0.49 a | 4.57 ± 0.08 b | 3.84 ± 0.90 b | 4.86 ± 2.02 b | 0.38 | 0.0009 | |
| Cu (mg/kg) | Carcass | 63.64 ± 4.56 d | 60.56 ± 2.47 c | 56.96 ± 2.38 b | 51.77 ± 1.20 a | 0.97 | <0.0001 |
| Shell | 11.05 ± 0.55 b | 8.30 ± 1.58 a | 8.54 ± 1.49 a | 8.55 ± 2.52 a | 0.56 | 0.0042 | |
| Cr (mg/kg) | Carcass | ND | 0.33 ± 0.23 | ND | ND | - | - |
| Shell | ND | ND | ND | ND | - | - | |
| Co (mg/kg) | Carcass | 0.11 ± 0.01 | ND | ND | ND | - | - |
| Shell | ND | ND | ND | ND | - | - | |
| Cd (mg/kg) | Carcass | 0.96 ± 0.03 c | 0.59 ± 0.015 b | 0.52 ± 0.05 a | 0.57 ± 0.06 b | 0.01 | <0.0001 |
| Shell | ND | ND | ND | ND | - | - | |
| Pb (mg/kg) | Carcass | ND | ND | ND | ND | - | - |
| Shell | ND | ND | ND | ND | - | - | |
| Experiment II | |||||||
| Item | Control Group | Experimental Groups | SEM | p-Value | |||
| FI | FII | ||||||
| Ca (%) | Carcass | 1.50 ± 0.1 | 1.39 ± 0.18 | 1.45 ± 0.19 | 0.06 | 0.4066 | |
| Shell | 38.74 ± 1.38 b | 36.11 ± 1.97 a | 36.95 ± 0.56 a | 0.48 | 0.0022 | ||
| Fe (mg/kg) | Carcass | 68.19 ± 3.72 | 69.37 ± 10.06 | 65.39 ± 5.72 | 2.34 | 0.4686 | |
| Shell | 13.76 ± 3.58 a | 12.13 ± 1.81 a | 23.18 ± 4.39 b | 1.14 | <0.0001 | ||
| Na (mg/kg) | Carcass | 6452.32 ± 338.10 | 6362.59 ± 764.05 | 5917.78 ± 471.08 | 184.59 | 0.1106 | |
| Shell | 792.36 ± 22.75 a | 806.55 ± 18.50 a | 946.93 ± 31.67 b | 8.31 | <0.0001 | ||
| P (mg/kg) | Carcass | 11,237.61 ± 422.78 | 11,738.28 ± 653.38 | 11,121.29 ± 543.66 | 182.70 | 0.0659 | |
| Shell | 420.74 ± 55.15 | 456.50 ± 9.20 | 423.96 ± 12.01 | 11.01 | 0.0572 | ||
| Zn (mg/kg) | Carcass | 68.34 ± 3.23 | 72.17 ± 3.98 | 69.40 ± 3.43 | 1.19 | 0.1068 | |
| Shell | 4.86 ± 2.02 | 5.39 ± 1.05 | 4.28 ± 1.13 | 0.49 | 0.2918 | ||
| Cu (mg/kg) | Carcass | 51.97 ± 1.20 a | 61.87 ± 4.30 c | 57.46 ± 4.80 b | 1.26 | <0.0001 | |
| Shell | 8.55 ± 2.52 b | 8.72 ± 0.85 b | 6.77 ± 0.65 a | 0.53 | 0.0268 | ||
| Cr (mg/kg) | Carcass | ND | ND | ND | - | - | |
| Shell | 0.16 ± 0.22 a | ND | 0.91 ± 0.69 b | 0.17 | 0.0172 | ||
| Co (mg/kg) | Carcass | ND | ND | ND | - | - | |
| Shell | ND | ND | ND | - | - | ||
| Cd (mg/kg) | Carcass | 0.58 ± 0.06 | 0.61 ± 0.03 | 0.57 ± 0.02 | 0.01 | 0.0717 | |
| Shell | ND | ND | ND | - | - | ||
| Pb (mg/kg) | Carcass | ND | ND | ND | - | - | |
| Shell | ND | ND | ND | - | - | ||
Disclaimer/Publisher’s Note: The statements, opinions and data contained in all publications are solely those of the individual author(s) and contributor(s) and not of MDPI and/or the editor(s). MDPI and/or the editor(s) disclaim responsibility for any injury to people or property resulting from any ideas, methods, instructions or products referred to in the content. |
© 2025 by the authors. Licensee MDPI, Basel, Switzerland. This article is an open access article distributed under the terms and conditions of the Creative Commons Attribution (CC BY) license (https://creativecommons.org/licenses/by/4.0/).
Share and Cite
Rygało-Galewska, A.; Piotrowska, K.; Matusiewicz, M.; Bień, D.; Łukasiewicz-Mierzejewska, M.; Skibko, Z.; Borusiewicz, A.; Niemiec, T. Effects of Free and Conjugated Methionine on Growth, Meat Quality, Mineral Profile, and Shell Strength in Garden Snails (Cornu aspersum). Animals 2025, 15, 2922. https://doi.org/10.3390/ani15192922
Rygało-Galewska A, Piotrowska K, Matusiewicz M, Bień D, Łukasiewicz-Mierzejewska M, Skibko Z, Borusiewicz A, Niemiec T. Effects of Free and Conjugated Methionine on Growth, Meat Quality, Mineral Profile, and Shell Strength in Garden Snails (Cornu aspersum). Animals. 2025; 15(19):2922. https://doi.org/10.3390/ani15192922
Chicago/Turabian StyleRygało-Galewska, Anna, Klara Piotrowska, Magdalena Matusiewicz, Damian Bień, Monika Łukasiewicz-Mierzejewska, Zbigniew Skibko, Andrzej Borusiewicz, and Tomasz Niemiec. 2025. "Effects of Free and Conjugated Methionine on Growth, Meat Quality, Mineral Profile, and Shell Strength in Garden Snails (Cornu aspersum)" Animals 15, no. 19: 2922. https://doi.org/10.3390/ani15192922
APA StyleRygało-Galewska, A., Piotrowska, K., Matusiewicz, M., Bień, D., Łukasiewicz-Mierzejewska, M., Skibko, Z., Borusiewicz, A., & Niemiec, T. (2025). Effects of Free and Conjugated Methionine on Growth, Meat Quality, Mineral Profile, and Shell Strength in Garden Snails (Cornu aspersum). Animals, 15(19), 2922. https://doi.org/10.3390/ani15192922

