Describing the Reproductive Microbiome of Tritrichomonas foetus Chronically Infected Bulls and Diagnostic Collection Device Performance
Abstract
Simple Summary
Abstract
1. Introduction
2. Materials and Methods
2.1. Animals and Sample Collection
2.2. DNA Extraction and 16S Sequencing
2.3. Statistical Analysis
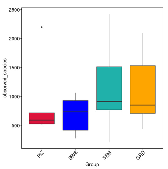
3. Results
4. Discussion
5. Conclusions
Author Contributions
Funding
Institutional Review Board Statement
Informed Consent Statement
Data Availability Statement
Acknowledgments
Conflicts of Interest
References
- BonDurant, R.H. Pathogenesis, Diagnosis, and Management of Trichomoniasis in Cattle. Vet. Clin. N. Am. Food Am. Pract. 1997, 13, 345–361. [Google Scholar] [CrossRef] [PubMed]
- Campero, C.M. Immunity in Bovine Tritrichomonas. Vet. Argent. 1990, 64, 261–265. [Google Scholar]
- Parsonson, I.M.; Clark, B.L.; Dufty, J. The Pathogenesis of Tritrichomonas Foetus Infection in the Bull. Aust. Vet. J. 1974, 10, 421–423. [Google Scholar] [CrossRef] [PubMed]
- Rowe, M.; Veerus, L.; Trosvik, P.; Buckling, A.; Pizzari, T. The Reproductive Microbiome: An Emerging Driver of Sexual Selection, Sexual Conflict, Mating Systems, and Reproductive Isolation. Trends Ecol. Evol. 2020, 35, 220–234. [Google Scholar] [CrossRef]
- Lewis, F.M.T.; Bernstein, K.T.; Aral, S.O. Vaginal Microbiome and Its Relationship to Behavior, Sexual Health, and Sexually Transmitted Diseases. Obstet. Gynecol. 2017, 129, 643–654. [Google Scholar] [CrossRef]
- Brotman, R.M.; Ravel, J.; Bavoil, P.M.; Gravitt, P.E.; Ghanem, K.G. Microbiome, Sex Hormones, and Immune Responses in the Reproductive Tract: Challenges for Vaccine Development against Sexually Transmitted Infections. Vaccine 2014, 32, 1543–1552. [Google Scholar] [CrossRef]
- Knight, R. USDA Economic Research Service: Sector at a Glance. Available online: https://www.ers.usda.gov/topics/animal-products/cattle-beef/sector-at-a-glance/ (accessed on 22 July 2024).
- Givens, M.D. A Clinical, Evidence Based approach to Infectious Causes of Infertility in Beef Cattle. Theriogenology 2006, 66, 645–654. [Google Scholar] [CrossRef]
- Ondrak, J. Bovine Trichomoniasis. Clin. Theriogenol. 2021, 13, 221–225. [Google Scholar]
- Microbiology Society. Unlocking the Microbiome: Opportunities and Challenges of Microbiome Research for Health, Agriculture, Environment and Biotechnology. Available online: https://microbiologysociety.org/our-work/the-microbiome/unlocking-the-microbiome-report.html (accessed on 22 July 2024).
- Swartz, J.D.; Lachman, M.; Westyeer, K.; O’Neill, T.; Geary, T.; Kott, R.W.; Berardinelli, J.G. Characterization of the Vaginal Microbiota of Ewes and Cows Reveals a Unique Microbiota with Low Levels of Lactobacilli and Near-Neutral PH. Front. Vet. Sci. 2014, 1, 19. [Google Scholar] [CrossRef]
- Laguardia-Nascimento, M.; Branco, K.; Gasparini, M.; Giannattasio-Ferraz, S.; Leite, L.R.; Araujo, F.; Salim, A.; Nicoli, J.R.; Oliveria, G.C.; Barbosa-Stancioli, E. Vaginal Microbiome Characterization of Nellore Cattle Using Metagenomic Analysis. PLoS ONE 2015, 10, e0143294. [Google Scholar] [CrossRef]
- Rodrigues, N.; Kastle, J.; Coutinho, T.; Amorim, A.; Campos, G.; Santos, V.; Marques, L.; Timenetsky, J.; De Farias, S. Qualitative Analysis of the Vaginal Microbiota of Healthy Cattle and Cattle with Genital-Tract. Genet. Mol. Res. 2015, 14, 6518–6528. [Google Scholar] [CrossRef] [PubMed]
- Machado, V.S.; Oikonomou, G.; Bicalho, M.L.S.; Knauer, W.A.; Gilbert, R.; Bicalho, R.C. Investigation of Postpartum Dairy Cows’ Uterine Microbial Diversity Using Metagenomic Pyrosequencing of the 16S RRNA Gene. Vet. Microbiol. 2012, 159, 460–469. [Google Scholar] [CrossRef] [PubMed]
- Peng, Y.; Wang, Y.; Hang, S.; Zhu, W. Microbial Diversity in Uterus of Healthy and Metritic Postpartum Holstein Dairy Cows. Folia Microbiol. 2013, 58, 593–600. [Google Scholar] [CrossRef] [PubMed]
- Wickware, C.L.; Johnson, T.A.; Koziol, J.H. Composition and Diversity of the Preputial Microbiota in Healthy Bulls. Theriogenology 2020, 145, 231–237. [Google Scholar] [CrossRef] [PubMed]
- Koziol, J.H.; Sheets, T.; Wickware, C.L.; Johnson, T.A. Composition and Diversity of the Seminal Microbiota in Bulls and Its Association with Semen Parameters. Theriogenology 2022, 182, 17–25. [Google Scholar] [CrossRef]
- McLaughlin, T. Use of Magnetic Bead Extraction to Increase Diagnostic Sensitivity of Downstream qPCR for Brucella Abortus. University of Wyoming. 2021. Available online: https://www.proquest.com/docview/2600479167?fromopenview=true&pq-origsite=gscholar&sourcetype=Dissertations%20&%20Theses (accessed on 27 August 2024).
- Kozich, J.J.; Westcott, S.L.; Baxter, N.T.; Highlander, S.K.; Schloss, P.D. Development of a Dual-Index Sequencing Strategy and Curation Pipeline for Analyzing Amplicon Sequence Data on the MiSeq Illumina Sequencing Platform. Appl. Environ. Microbiol. 2013, 79, 5112–5120. [Google Scholar] [CrossRef]
- Bolyen, E.; Rideout, J.R.; Dillon, M.R.; Bokulich, N.A.; Abnet, C.C.; Al-Ghalith, G.A.; Alexander, H.; Alm, E.J.; Arumugam, M.; Asnicar, F.; et al. Reproducible, Interactive, Scalable and Extensible Microbiome Data Science Using QIIME 2. Nat. Biotechnol. 2019, 37, 852–857. [Google Scholar] [CrossRef]
- Lozupone, C.; Knight, R. UniFrac: A New Phylogenetic Method for Comparing Microbial Communities. Appl. Environ. Microbiol. 2005, 71, 8228–8235. [Google Scholar] [CrossRef]
- Lozupone, C.; Lladser, M.E.; Knights, D.; Stombaugh, J.; Knight, R. UniFrac: An Effective Distance Metric for Microbial Community Comparison. ISME J. 2011, 5, 169–172. [Google Scholar] [CrossRef]
- Cojkic, A.; Niazi, A.; Guo, Y.; Hallap, T.; Padrik, P.; Morrell, J.M. Identification of Bull Semen Microbiome by 16S Sequencing and Possible Relationships with Fertility. Microorganisms 2021, 9, 2431. [Google Scholar] [CrossRef]
- Martin, K.; Henderson, J.; Brewer, M. Bovine Trichomonosis Cases in the United States 2015–2019. Front Vet Sci 2021, 8, 692199. [Google Scholar] [CrossRef] [PubMed]
- Salles-Martins, I. Effect of Tritrichomonas Foetus Infection on the Vaginal Bacterial Microbiota of Heifers. University of Pretoria. Available online: https://repository.up.ac.za/handle/2263/65510 (accessed on 22 July 2024).











| GRD-SWB | |||
|---|---|---|---|
| Species | GRD (Mean ± SD) | SWB (Mean ± SD) | p-Value | 
| Comamonas kerstersii | 0.0006 ± 0.0006 | 9.8552 ± 3.2686 | 0.019 | 
| Parabacteroides merdae | 0.0003 ± 0.0003 | 6.1102 ± 0.0001 | 0.011 | 
| Alistipes finegoldii | 0.0001 ± 9.6366 | 2.7594 ± 5.8049 | 0.046 | 
| Sphingobium xenophagum | 5.2233 ± 6.9890 | 3.9421 ± 8.7706 | 0.045 | 
| Alistipes indistinctus | 3.9421 ± 5.4694 | 0 ± 0 | 0.037 | 
| Selenomonadales bacterium Marseille-P2399 | 2.5623 ± 3.3333 | 9.8552 ± 3.2686 | 0.034 | 
| Alistipes shahi | 1.9710 ± 2.4152 | 1.9710 ± 6.5372 | 0.037 | 
| Streptosporangiaceae str. KACC 20141 | 0 ± 0 | 6.8986 ± 1.0021 | 0.045 | 
| Rhodococcus fascians | 0 ± 0 | 3.9421 ± 5.4694 | 0.037 | 
| Eubacterium sp. SN18 | 3.9421 ± 5.4694 | 0 ± 0 | 0.037 | 
| PIZ-GRD | |||
|---|---|---|---|
| Species | PIZ (Mean ± SD) | GRD (Mean ± SD) | p-Value | 
| Clostridiales bacterium FK041 | 0.0003 ± 0.0004 | 0.0023 ± 0.0028 | 0.041 | 
| Sphingomonas paucimobilis | 1.0840 ± 1.9218 | 0.0006 ± 0.0008 | 0.039 | 
| Campylobacter sputorum | 0.0002 ± 0.0002 | 0.0001 ± 9.5161 | 0.044 | 
| Arthrobacter citreus | 3.2522 ± 4.2581 | 0.0001 ± 0.0001 | 0.049 | 
| Bacteroides plebeius | 1.7616 ± 4.9826 | 0.0001 ± 0.0001 | 0.020 | 
| Brevundimonas vesicularis | 8.1306 ± 2.2996 | 0.0001 ± 0.0001 | 0.027 | 
| Campylobacter jejuni | 0 ± 0 | 3.2547 ± 4.0562 | 0.023 | 
| Paenibacillus hunanensis | 0 ± 0 | 7.6871 ± 9.5799 | 0.023 | 
| Aerococcus urinaehominis | 0 ± 0 | 2.4638 ± 3.6631 | 0.049 | 
| Sphingobium xenophagum | 4.0653 ± 5.6106 | 5.2233 ± 6.9890 | 0.045 | 
| Bacteroides helcogenes | 7.5885 ± 5.0183 | 7.8842 ± 1.0938 | 0.006 | 
| Selenomonadales bacterium Marseille-P2399 | 0 ± 0 | 2.5623 ± 3.3333 | 0.028 | 
| Anoxybacillus toebii | 0 ± 0 | 9.8552 ± 1.2317 | 0.024 | 
| Legionella sp. LHG-1BW4 | 1.3551 ± 3.8328 | 1.5768 ± 2.0775 | 0.046 | 
| Bacterium YE57 | 2.4391 ± 2.1487 | 2.9565 ± 7.0104 | 0.026 | 
| Eubacterium sp. SN18 | 0 ± 0 | 3.9421 ± 5.4694 | 0.037 | 
| SWB-PIZ | |||
|---|---|---|---|
| Species | SWB (Mean ± SD) | PIZ (Mean ± SD) | p-Value | 
| Cronobacter sakazakii | 0.0003 ± 0.0002 | 2.4391 ± 4.9424 | 0.002 | 
| Porphyromonas levii | 2.3652 ± 3.5566 | 0.0001 ± 0.0001 | 0.032 | 
| Dietzia maris | 9.6581 ± 9.8102 | 2.1681 ± 2.9547 | 0.033 | 
| Rugosibacter aromaticivorans | 3.2522 ± 3.0662 | 0 ± 0 | 0.005 | 
| Alistipes finegoldii | 2.7594 ± 5.8049 | 0.0001 ± 0.0001 | 0.036 | 
| Planococcus psychrotoleratus | 3.0551 ± 2.5106 | 5.4204 ± 1.1589 | 0.010 | 
| Georgenia deserti | 1.1826 ± 1.3236 | 1.3551 ± 3.8328 | 0.028 | 
| Bacteroides helcogenes | 4.9276 ± 1.3155 | 7.5885 ±5.0183 | 0.004 | 
| Rhodococcus coprophilus | 8.8697 ± 1.0641 | 0 ± 0 | 0.019 | 
| Stenotrophomonas chelatiphaga | 7.8842 ± 1.0938 | 0 ± 0 | 0.037 | 
| Bacterium YE57 | 3.9421 ± 1.0021 | 2.4391 ± 2.4187 | 0.033 | 
| Alkalibacterium iburiense | 1.0840 ± 1.1875 | 1.3551 ± 3.8328 | 0.028 | 
| Streptosporangiaceae str. KACC 2014 | 6.8986 ± 1.0021 | 0 ± 0 | 0.004 | 
| Rhodococcus fascians | 3.9421 ± 5.4694 | 0 ± 0 | 0.037 | 
| Disclaimer/Publisher’s Note: The statements, opinions and data contained in all publications are solely those of the individual author(s) and contributor(s) and not of MDPI and/or the editor(s). MDPI and/or the editor(s) disclaim responsibility for any injury to people or property resulting from any ideas, methods, instructions or products referred to in the content. | 
© 2024 by the authors. Licensee MDPI, Basel, Switzerland. This article is an open access article distributed under the terms and conditions of the Creative Commons Attribution (CC BY) license (https://creativecommons.org/licenses/by/4.0/).
Share and Cite
Boggan, S.; Awosile, B.; Koziol, J. Describing the Reproductive Microbiome of Tritrichomonas foetus Chronically Infected Bulls and Diagnostic Collection Device Performance. Animals 2024, 14, 2689. https://doi.org/10.3390/ani14182689
Boggan S, Awosile B, Koziol J. Describing the Reproductive Microbiome of Tritrichomonas foetus Chronically Infected Bulls and Diagnostic Collection Device Performance. Animals. 2024; 14(18):2689. https://doi.org/10.3390/ani14182689
Chicago/Turabian StyleBoggan, SaraBeth, Babafela Awosile, and Jennifer Koziol. 2024. "Describing the Reproductive Microbiome of Tritrichomonas foetus Chronically Infected Bulls and Diagnostic Collection Device Performance" Animals 14, no. 18: 2689. https://doi.org/10.3390/ani14182689
APA StyleBoggan, S., Awosile, B., & Koziol, J. (2024). Describing the Reproductive Microbiome of Tritrichomonas foetus Chronically Infected Bulls and Diagnostic Collection Device Performance. Animals, 14(18), 2689. https://doi.org/10.3390/ani14182689
 
        

 
       