Impact of Nutritional Strategies to Prevent Post-Weaning Diarrhoea on Performance, Behaviour, and Microbiota in Piglets from Organic Farming
Abstract
Simple Summary
Abstract
1. Introduction
2. Materials and Methods
2.1. Animals and Husbandry
2.2. Experimental Design
2.3. Diets
2.4. Measurements and Parameters Analysed
2.5. Microbiota Analysis
2.6. Statistical Analysis
3. Results
3.1. Diarrhoea at the Individual and Pen Level
3.2. Health Parameters
3.3. Average Daily Gain and Consumption
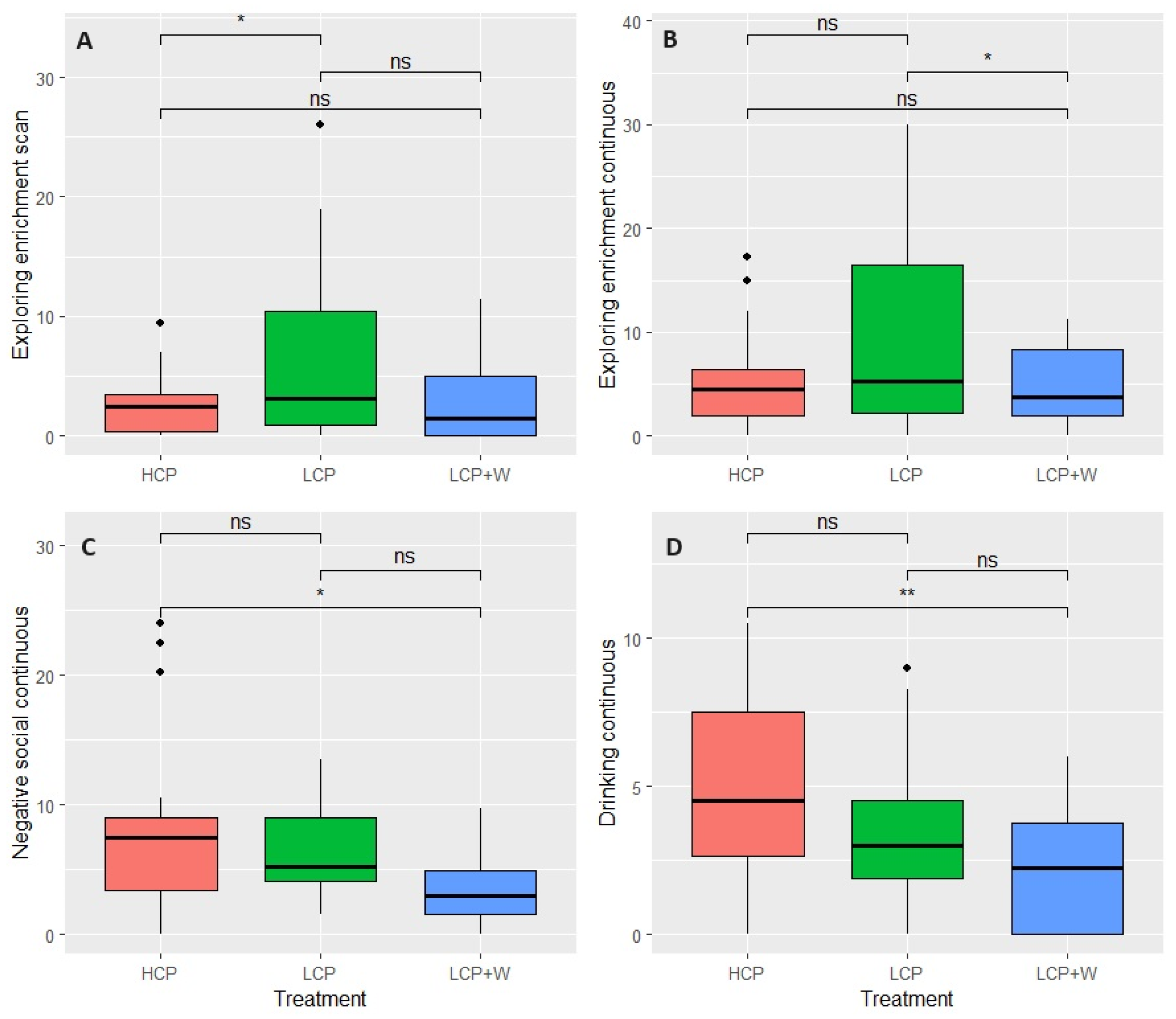
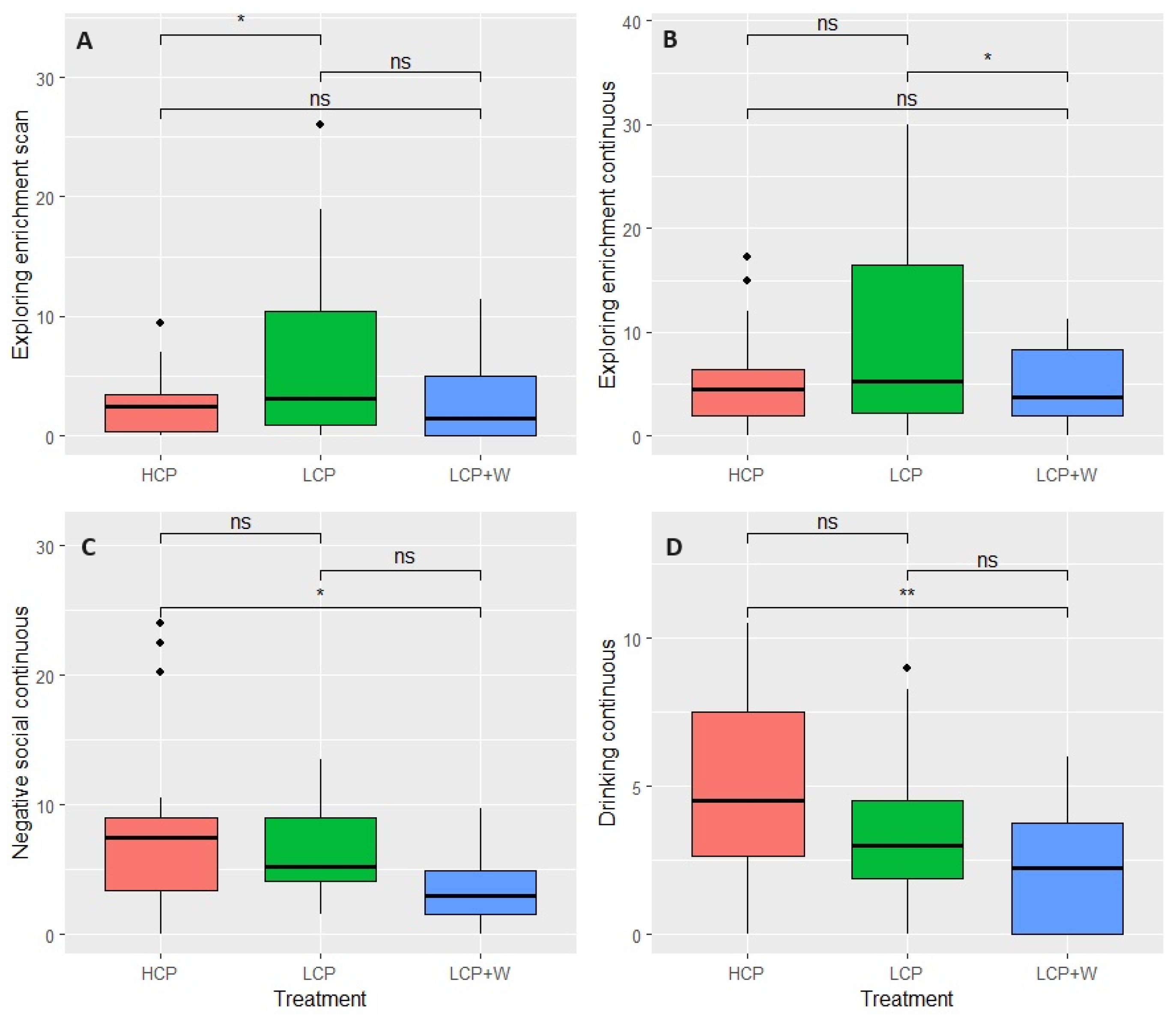
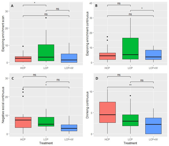
3.4. Behavioural Parameters
3.5. Intestinal Microbiota Composition
4. Discussion
4.1. Diarrhoea at Individual and Pen Level
4.2. Health Parameters
4.3. Average Daily Gain and Consumption
4.4. Behavioural Parameters
4.5. Intestinal Microbiota Composition
5. Conclusions
Supplementary Materials
Author Contributions
Funding
Institutional Review Board Statement
Informed Consent Statement
Data Availability Statement
Acknowledgments
Conflicts of Interest
References
- IFOAM. The IFOAM Basic Standards for Organic Production and Processing Version 2005; Ifoam: Bonn, Germany, 2007. [Google Scholar]
- European Parliament and Council Regulation (EU). No 2018/848 of 30 May 2018 on Organic Production and Labelling of Organic Products and Repealing Council Regulation (EC) No 834/2007; Council of the European Union: Brussels, Belgium, 2009. [Google Scholar]
- Sundrum, A. Organic livestock farming. A critical review. Livest. Prod. Sci. 2001, 67, 207–215. [Google Scholar] [CrossRef]
- Rhouma, M. Post weaning diarrhea in pigs: Risk factors and non-colistin-based control strategies. Acta Vet. Scand. 2017, 59, 31. [Google Scholar] [CrossRef]
- Canibe, N.; Højberg, O.; Kongsted, H.; Vodolazska, D.; Lauridsen, C.; Nielsen, T.S.; Schönherz, A.A. Review on Preventive Measures to Reduce Post-Weaning Diarrhoea in Piglets. Animals 2022, 12, 2585. [Google Scholar] [CrossRef]
- Hampson, D.J. Postweaning Escherichia coli diarrhoea in pigs. In Escherichia coli in Domestic Animals and Humans; Gyles, C.L., Ed.; CAB International: Wallingford, UK, 1994; pp. 171–191. [Google Scholar]
- Luppi, A.; Gibellini, M.; Gin, T.; Vangroenweghe, F.; Vandenbroucke, V.; Bauerfeind, R.; Bonilauri, P.; Labarque, G.; Hidalgo, A. Prevalence of virulence factors in enterotoxigenic Escherichia coli isolated from pigs with post-weaning diarrhoea in Europe. Porc. Health Manag. 2016, 2, 20. [Google Scholar] [CrossRef]
- Lallès, J.P.; Boudry, G.; Favier, C.; Le Floc’h, N.; Luron, I.; Montagne, L.; Oswald, I.P.; Pié, S.; Piel, C.; Sève, B. Gut function and dysfunction in young pigs: Physiology. Anim. Res. 2004, 53, 301–316. [Google Scholar] [CrossRef]
- Worobec, E.K.; Duncan, I.J.H.; Widowski, T.M. The effects of weaning at 7, 14 and 28 days on piglet behaviour. Appl. Anim. Behav. Sci. 1999, 62, 173–182. [Google Scholar] [CrossRef]
- Hakansson, F.; Bolhuis, J.E. Tail-biting behaviour pre-weaning: Association between other pig-directed and general behaviour in piglets. Appl. Anim. Behav. Sci. 2021, 241, 105385. [Google Scholar] [CrossRef]
- Kim, H.; Shin, H.; Kim, Y.Y. Effects of different levels of dietary crude protein on growth performance, blood profiles, diarrhea incidence, nutrient digestibility, and odor emission in weaning pigs. Anim. Biosci. 2023, 36, 1228–1240. [Google Scholar] [CrossRef]
- Cranwell, P.D. Development of the neonatal gut and enzyme systems. In The Neonatal Pig: Development and Survival; Varley, M.A., Ed.; CAB International: Wallingford, UK, 1995; pp. 99–154. [Google Scholar]
- Xia, J.; Fan, H.; Yang, J.; Song, T.; Pang, L.; Deng, H.; Ren, Z.; Deng, J. Research progress on diarrhoea and its mechanism in weaned piglets fed a high-protein diet. J. Anim. Physiol. Anim. Nutr. 2021, 106, 1277–1287. [Google Scholar] [CrossRef]
- Heo, J.M.; Kim, J.C.; Hansen, C.F.; Mullan, B.P.; Hampson, D.J.; Pluske, J.R. Feeding a diet with decreased protein content reduces indices of protein fermentation and the incidence of postweaning diarrhea in weaned pigs challenged with an enterotoxigenic strain of Escherichia coli. J. Anim. Sci. 2009, 87, 2833–2843. [Google Scholar] [CrossRef]
- Nyachoti, C.M.; Omogbenigun, F.O.; Rademacher, M.; Blank, G. Performance responses and indicators of gastrointestinal health in early-weaned pigs fed low-protein amino acid supplemented diets. J. Anim. Sci. 2006, 84, 125–134. [Google Scholar] [CrossRef] [PubMed]
- Wellock, I.J.; Fortomaris, P.D.; Houdijk, J.G.M.; Kyriazakis, I. Effects of dietary protein supply, weaning age and experimental enterotoxigenic Escherichia coli infection on newly weaned pigs: Health. Animal 2008, 2, 834–842. [Google Scholar] [CrossRef] [PubMed]
- Opapeju, F.O.; Krause, D.O.; Payne, R.L.; Rademacher, M.; Nyachoti, C.M. Effect of dietary protein level on growth performance, indicators of enteric health, and gastrointestinal microbial ecology of weaned pigs induced with postweaning colibacillosis. J. Anim. Sci. 2009, 87, 2635–2643. [Google Scholar] [CrossRef] [PubMed]
- Sadurní, M.; Barroeta, A.; Sol, C.; Puyalto, M.; Castillejos, L. Effects of dietary crude protein level and sodium butyrate protected by medium-chain fatty acid salts on performance and gut health in weaned piglets. J. Anim. Sci. 2023, 101, skad090. [Google Scholar] [CrossRef] [PubMed]
- Van der Meer, Y.; Gerrits, W.J.; Jansman, A.J.; Kemp, B.; Bolhuis, J.E. A link between damaging behaviour in pigs, sanitary conditions, and dietary protein and amino acid supply. PLoS ONE 2017, 12, e0174688. [Google Scholar]
- Sundrum, A.; Schneider, K.; Richter, U. Possibilities and limitations of protein supply in organic poultry and pig production. Org. Eprints 2006, 10983. [Google Scholar]
- Parra, R.A. Whey: Importance in the food industry. Rev. Fac. Nal. Agr. Medellín 2009, 62, 4967–4982. [Google Scholar]
- Macwan, S.R.; Dabhi, B.K.; Parmar, S.C.; Aparnathi, K.D. Whey and its utilization. Int. J. Curr. Microbiol. Appl. Sci. 2016, 5, 134–155. [Google Scholar] [CrossRef]
- Lepine, A.J.; Mahan, D.C.; Chung, Y.K. Growth perormance of weanling pigs fed corn-soybean meal diets with or without dried whey at various L-lysine- HCL levels. J. Anim. Sci. 1991, 69, 2026–2032. [Google Scholar] [CrossRef][Green Version]
- Heo, J.M.; Opapeju, F.O.; Pluske, J.R.; Kim, J.C.; Hampson, D.J.; Nyachoti, C.M. Gastrointestinal health and function in weaned pigs: A review of feeding strategies to control post-weaning diarrhoea without using in-feed antimicrobial compounds: Feeding strategies without using in-feed antibiotics. J. Anim. Physiol. Anim. Nutr. 2013, 97, 207–237. [Google Scholar] [CrossRef]
- Tsiloyiannis, V.K.; Kyriakis, S.C.; Vlemmas, J.; Sarris, K. The effect of organic acids on the control of porcine post-weaning diarrhoea. Res. J. Vet. Sci. 2001, 70, 287–293. [Google Scholar] [CrossRef] [PubMed]
- Zhao, J.B.; Bai, Y.; Tao, S.Y.; Zhang, G.; Liu, L.; Zhang, S. Fiber-rich foods affects gut bacterial community and short-chain fatty acids production in pig model. J. Funct. Foods 2019, 57, 266–274. [Google Scholar] [CrossRef]
- Zhang, C.J.; Yu, M.; Yang, Y.X.; Mu, C.L.; Su, Y.; Zhu, W.Y. Effect of early antibiotic intervention on specific bacterial communities and immune parameters in the small intestine of growing pigs fed different protein level diets. Animal 2020, 14, 2042–2053. [Google Scholar] [CrossRef] [PubMed]
- U.S. Department of Agriculture. Agricultural Research Service. Whey, Acid, Fluid. Available online: https://fdc.nal.usda.gov/fdc-app.html#/food-details/170885/nutrients (accessed on 4 June 2024).
- Oh, H.J.; Park, Y.J.; Cho, J.H.; Song, M.H.; Gu, B.H.; Yun, W.; Lee, J.H.; An, J.S.; Kim, Y.J.; Lee, J.S.; et al. Changes in Diarrhea Score, Nutrient Digestibility, Zinc Utilization, Intestinal Immune Profiles, and Fecal Microbiome in Weaned Piglets by Different Forms of Zinc. Animals 2021, 11, 1356. [Google Scholar] [CrossRef] [PubMed]
- Welfare Quality. Welfare QualityAssessment Protocolfor Pigs (Sows and Piglets, Growing and Finishing Pigs); Welfare Quality Consortium: Lelystad, The Netherlands, 2009. [Google Scholar]
- Martin, P.; Bateson, P.P.G. Measuring Behaviour: An Introductory Guide; Cambridge University Press: Cambridge, UK; New York, NY, USA, 1993. [Google Scholar]
- Andrews, S. FastQC: A Quality Control Tool for High Throughput Sequence Data. 2010. Available online: http://www.bioinformatics.babraham.ac.uk/projects/fastqc/ (accessed on 3 March 2024).
- Bolyen, E.; Rideout, J.R.; Dillon, M.R.; Bokulich, N.A.; Abnet, C.C.; Al-Ghalith, G.A.; Alexander, H.; Alm, E.J.; Arumugam, M.; Asnicar, F.; et al. Reproducible, interactive, scalable and extensible microbiome data science using QIIME 2. Nat. Biotechnol. 2019, 37, 852–857. [Google Scholar] [CrossRef] [PubMed]
- McDonald, D.; Jiang, Y.; Balaban, M.; Cantrell, K.; Zhu, Q.; Gonzalez, A.; Morton, J.T.; Nicolaou, G.; Parks, D.H.; Karst, S.M.; et al. Greengenes2 unifies microbial data in a single reference tree. Nat. Biotechnol. 2024, 42, 715–718. [Google Scholar] [CrossRef] [PubMed]
- Venables, W.N.; Ripley, B.D. Modern Applied Statistics with S, 4th ed.; Springer: New York, NY, USA, 2002; ISBN 0-387-95457-0. Available online: https://www.stats.ox.ac.uk/pub/MASS4/ (accessed on 3 March 2024).
- Bates, D.; Mächler, M.; Bolker, B.; Walker, S. Fitting Linear Mixed-Effects Models Using lme4. J. Stat. 2015, 67, 1–48. [Google Scholar]
- Liu, C.; Cui, Y.; Li, X.; Yao, M. microeco: An R package for data mining in microbial community ecology. FEMS Microbiol. Ecol. 2021, 97, fiaa255. [Google Scholar] [CrossRef]
- Lin, H.; Peddada, S.D. Multigroup analysis of compositions of microbiomes with covariate adjustments and repeated measures. Nat. Methods 2024, 21, 83–91. [Google Scholar] [CrossRef]
- Heo, J.M.; Kim, J.C.; Hansen, C.F.; Mullan, B.P.; Hampson, D.J.; Pluske, J.R. Effects of feeding low protein diets to piglets on plasma urea nitrogen, faecal ammonia nitrogen, the incidence of diarrhoea and performance after weaning. Arch. Anim. Nutr. 2008, 62, 343–358. [Google Scholar] [CrossRef]
- Van Krimpen, M.M.; Leenstra, F.; Maurer, V.; Bestman, M. How to fulfill EU requirements to feed organic laying hens 100% organic ingredients. J. Appl. Poult. Res. 2016, 25, 129–138. [Google Scholar] [CrossRef]
- Le Huërou-Luron, I.; Bouzerzour, K.; Ferret-Bernard, S.; Ménard, O.; Le Normand, L.; Perrier, C.; Le Bourgot, C.; Jardin, J.; Bourlieu, C.; Carton, T.; et al. A mixture of milk and vegetable lipids in infant formula changes gut digestion, mucosal immunity and microbiota composition in neonatal piglets. Eur. J. Nutr. 2018, 57, 463–476. [Google Scholar] [CrossRef] [PubMed]
- Shu, Q.; Qu, F.; Gill, H.S. Probiotic Treatment using Bifidobacterium Lactis HN019 Reduces Weanling Diarrhea Associated with Rotavirus and Escherichia Coli Infection in a Piglet Model. J. Pediatr. Gastroenterol. Nutr. 2001, 33, 171–177. [Google Scholar] [PubMed]
- Quander-Stoll, N.; Bautze, D.; Zollitsch, W.; Leiber, F.; Früh, B. Effects of 100% organic feeding on performance, carcass composition and fat quality of fattening pigs. Biol. Agric. Hortic. 2022, 38, 271–284. [Google Scholar] [CrossRef]
- Minussi, I.; Gerrits, W.J.; Jansman, A.J.; Gerritsen, R.; Zonderland, J.J.; Lambert, W.; Bolhuis, J.E. Supplementation of amino acids at requirements for optimal growth largely counteracts the negative effects of low protein diets on tail biting in pigs, while extra enrichment is less effective. In Proceedings of the 55th Congress of the ISAE; STV Prizma: Skopje, Macedonia, 2022. [Google Scholar]
- Leeb, C.; Hegelund, L.; Edwards, S.; Mejer, H.; Roepstorff, A.; Rousing, T.; Sundrum, A.; Bonde, M. Animal health, welfare and production problems in organic weaner pigs. Org. Agric. 2014, 4, 123–133. [Google Scholar] [CrossRef]
- Lordelo, M.M.; Gaspar, A.M.; Le Bellego, L.; Freire, J.P.B. Isoleucine and valine supplementation of a low-protein corn-wheat-soybean meal-based diet for piglets: Growth performance and nitrogen balance. J. Anim. Sci. 2008, 86, 2936–2941. [Google Scholar] [CrossRef] [PubMed]
- Schingoethe, D.J. Whey Utilization in animal feeding: A summary and evaluation. J. Dairy Sci. 1976, 59, 556–570. [Google Scholar] [CrossRef]
- Mahan, D. Efficacy of Dried Whey and its Lactalbumin and Lactose Components at 2 Dietary Lysine Levels on Postweaning Pig Performance and Nitrogen-Balance. J. Anim. Sci. 1992, 70, 2182–2187. [Google Scholar] [CrossRef] [PubMed]
- McCracken, B.A.; Spurlock, M.E.; Roos, M.A.; Zuckermann, F.A.; Gaskins, H.R. Weaning Anorexia May Contribute to Local Inflammation in the Piglet Small Intestine. J. Nutr. 1999, 129, 613–619. [Google Scholar] [CrossRef]
- Ertl, P.; Knaus, W.; Steinwidder, A. Comparison of zero concentrate supplementation with different quantities of concentrates in terms of production, animal health, and profitability of organic dairy farms in Austria. Org. Agric. 2014, 4, 233–242. [Google Scholar] [CrossRef]
- Araujo, A.V.; Monsalve, L.M.; Tovar, A.L. Utilization of whey as a source of nutritional energy to minimize the problem of environmental pollution. Rev. Investig. Agrar. Ambient. 2013, 4, 55. [Google Scholar]
- Studnitz, M.; Jensen, M.B.; Pedersen, L.J. Why do pigs root and in what will they root? Appl. Anim. Behav. Sci. 2007, 107, 183–197. [Google Scholar] [CrossRef]
- Valors, A. Review: The tale of the Finnish pig tail—How to manage non-docked pigs? Animal 2022, 16, 100353. [Google Scholar] [CrossRef] [PubMed]
- Amezcua, R.; Friendship, R.M.; Dewey, C.E.; Gyles, C.; Fairbrother, J.M. Presentation of postweaning Escherichia coli diarrhea in southern Ontario, prevalence of hemolytic E. coli serogroups involved, and their antimicrobial resistance patterns. Can. J. Vet. Res. 2022, 66, 73–78. [Google Scholar]
- Phillips, P.A.; Phillips, M.H. Technical notes: Effect of dispenser on water intake of pigs at weaning. Trans. ASAE 1999, 42, 1471–1473. [Google Scholar] [CrossRef]
- Hillmann, E.; von Hollen, F.; Bunger, B.; Todt, D.; Schrader, L. Farrowing conditions affect the reactions of piglets towards novel environment and social confrontation at weaning. Appl. Anim. Behav. Sci. 2003, 81, 99–109. [Google Scholar] [CrossRef]
- Rault, J.L. Be kind to others: Prosocial behaviours and their implications for animal welfare. Appl. Anim. Behav. Sci. 2019, 210, 113–123. [Google Scholar] [CrossRef]
- Niu, Q.; Li, P.; Hao, S.; Zhang, Y.; Kim, S.W.; Li, H.; Ma, X.; Gao, S.; He, L.; Wu, W.; et al. Dynamic Distribution of the Gut Microbiota and the Relationship with Apparent Crude Fiber Digestibility and Growth Stages in Pigs. Sci. Rep. 2015, 5, 9938. [Google Scholar] [CrossRef]
- Schierack, P.; Nordhoff, M.; Pollmann, M.; Weyrauch, K.D.; Amasheh, S.; Lodemann, U.; Jores, J.; Tachu, B.; Kleta, S.; Blikslager, A.; et al. Characterization of a porcine intestinal epithelial cell line for in vitro studies of microbial pathogenesis in swine. Histochem. Cell Biol. 2006, 125, 293–305. [Google Scholar] [CrossRef]
- Lin, X.; Hu, T.; Wu, Z.; Li, L.; Wang, Y.; Wen, D.; Liu, X.; Li, W.; Liang, H.; Jin, X.; et al. Isolation of potentially novel species expands the genomic and functional diversity of Lachnospiraceae. iMeta 2024, 3, e174. [Google Scholar] [CrossRef]
- Lan, Q.; Lian, Y.; Peng, P.; Yang, L.; Zhao, H.; Huang, P.; Ma, H.; Wei, H.; Yin, Y.; Liu, M. Association of gut microbiota and SCFAs with finishing weight of Diannan small ear pigs. Front. Microbiol. 2023, 14, 1117965. [Google Scholar] [CrossRef] [PubMed]
- Hao, Y.; Ouyang, T.; Wang, W.; Wang, Y.; Cao, Z.; Yang, H.; Guan, L.L.; Li, S. Competitive Analysis of Rumen and Hindgut Microbiota Composition and Fermentation Function in Diarrheic and Non-Diarrheic Postpartum Dairy Cows. Microorganisms 2024, 12, 23. [Google Scholar] [CrossRef] [PubMed]
- Xu, S.; Yu, Z.; Li, Z.; Wang, Z.; Shi, C.; Li, J.; Wang, F.; Liu, H. Wheat bran inclusion level impacts its net energy by shaping gut microbiota and regulating heat production in gestating sows. Anim. Nutr. 2023, 15, 45–57. [Google Scholar] [CrossRef]
- Liao, S.F.; Ji, F.; Fan, P.; Denryter, K. Swine Gastrointestinal Microbiota and the Effects of Dietary Amino Acids of Its Composition and Metabolism. Int. J. Mol. Sci. 2024, 25, 1237. [Google Scholar] [CrossRef] [PubMed]





| HCP | LCP | LCP+W | |
|---|---|---|---|
| Energy (kcal/Kg) | 3400 | 2900 | 2900 + 240 * |
| Protein | 17.80 | 16.80 | 17.67 |
| Lactose | - | - | 4.07 |
| Fiber | 2.40 | 4.70 | 4.70 |
| Oil and fat | 4.60 | 3.10 | 4.23 |
| Ashes | 4.80 | 6.20 | 6.71 |
| Lysine | 0.57 | 0.81 | 0.81 |
| Methionine | 0.32 | 0.26 | 0.26 |
| Calcium | 0.83 | 1.12 | 1.12 |
| Sodium | 0.20 | 0.21 | 0.26 |
| Phosphorus | 0.65 | 0.70 | 0.70 |
| Salt | - | - | 0.10 |
| Health Parameter | Description/Scores | Individual or Group Level |
|---|---|---|
| Coughing | The pig cough | Group |
| Sneezing | The pig sneeze | Group |
| Pumping | The pig’s breathing is heavy and laboured and its chest is raising and falling with each breath | Group |
| Huddling | A pig is lying with more than half of its body in contact with another pig | Group |
| Shivering | A slow and irregular vibration of any body part or the whole body | Group |
| Panting | Breathing rapidly in short gasps carried out with the mouth | Group |
| Body condition score | 0 = good condition; 1 = lean animal: visible spin, hip, or pin bones | Individual |
| Skin condition | 0 = no skin inflammation or discolouration; 1 = up to 10% of the skin is inflamed, discoloured, or spotted; 2 = more than 10% of the skin is inflamed, discoloured, or spotted | Individual |
| Tail lesions | 0 = no lesions on the tail; 1= superficial biting but no fresh blood or swelling; 2 = fresh blood and swelling | Individual |
| Manure on the body | 0 = up to 20% of the body is soiled; 1= more than 20% but less than 50% of the body is soiled; 2 = over 50% of the body is soled | Individual |
| Behaviour | Description | Sampling Method |
|---|---|---|
| Positive social | An affiliative interaction including sniffing, nosing, licking, or any social behaviour without a response from the receiver animal | Scan and continuous |
| Negative social | An aggressive interaction including biting, knocking, or any social behaviour with a flight or reaction response from the receiver animal | Scan and continuous |
| Exploring enrichment | Play or investigate by sniffing, nosing, licking, or chewing the straw or other enrichment material | Scan and continuous |
| Pen investigation | Sniffing, nosing, licking, or chewing all features of the pen | Scan |
| Resting | Animals lying ventrally or laterally and not showing any exploratory, positive, or negative social behaviour | Scan |
| Other | Other active behaviours, such as eating, drinking, or air sniffing | Scan |
| Eating | Ingestion of feed from the feeder | Continuous |
| Drinking | Ingestion of water from the drinking supply | Continuous |
| Tail biting | Having the tail of another pig in its mouth biting, chewing, or pulling it | Continuous |
| Ear biting | Having the ear of another pig in its mouth biting, chewing, or pulling it | Continuous |
| Diet | Initial BW (kg) | Final BW (kg) | ADG (g/day) | Feed Intake (kg/Individual) * |
|---|---|---|---|---|
| HCP (n = 44) | 12.88 (3.49) | 16.39 (4.99) | 162.92 (142.18) | 15.1 |
| LCP (n = 43) | 12.56 (3.72) | 15.98 (5.08) | 131.87 (112.65) | 14.1 |
| LCP+W (n = 47) | 12.04 (4.11) | 16.87 (6.39) | 226.21 (172.44) | 13.6 + 13.3 L/individual of liquid whey |
| GENUS | W | PVAL | QVAL |
|---|---|---|---|
| UBA2810 | 39 | 0.00001 | 0.002 |
| FRISINGICOCCUS | 32 | 0.00002 | 0.004 |
| F0058 | 26 | 0.00002 | 0.004 |
| LIGILACTOBACILLUS | 25 | 0.00020 | 0.050 |
Disclaimer/Publisher’s Note: The statements, opinions and data contained in all publications are solely those of the individual author(s) and contributor(s) and not of MDPI and/or the editor(s). MDPI and/or the editor(s) disclaim responsibility for any injury to people or property resulting from any ideas, methods, instructions or products referred to in the content. |
© 2024 by the authors. Licensee MDPI, Basel, Switzerland. This article is an open access article distributed under the terms and conditions of the Creative Commons Attribution (CC BY) license (https://creativecommons.org/licenses/by/4.0/).
Share and Cite
Bagaria, M.; Ramayo-Caldas, Y.; González-Rodríguez, O.; Vila, L.; Delàs, P.; Fàbrega, E. Impact of Nutritional Strategies to Prevent Post-Weaning Diarrhoea on Performance, Behaviour, and Microbiota in Piglets from Organic Farming. Animals 2024, 14, 1730. https://doi.org/10.3390/ani14121730
Bagaria M, Ramayo-Caldas Y, González-Rodríguez O, Vila L, Delàs P, Fàbrega E. Impact of Nutritional Strategies to Prevent Post-Weaning Diarrhoea on Performance, Behaviour, and Microbiota in Piglets from Organic Farming. Animals. 2024; 14(12):1730. https://doi.org/10.3390/ani14121730
Chicago/Turabian StyleBagaria, Marc, Yuliaxis Ramayo-Caldas, Olga González-Rodríguez, Lluís Vila, Pino Delàs, and Emma Fàbrega. 2024. "Impact of Nutritional Strategies to Prevent Post-Weaning Diarrhoea on Performance, Behaviour, and Microbiota in Piglets from Organic Farming" Animals 14, no. 12: 1730. https://doi.org/10.3390/ani14121730
APA StyleBagaria, M., Ramayo-Caldas, Y., González-Rodríguez, O., Vila, L., Delàs, P., & Fàbrega, E. (2024). Impact of Nutritional Strategies to Prevent Post-Weaning Diarrhoea on Performance, Behaviour, and Microbiota in Piglets from Organic Farming. Animals, 14(12), 1730. https://doi.org/10.3390/ani14121730

