Exploring Compassion towards Laboratory Animals in UK- and China-Based Undergraduate Biomedical Sciences Students
Abstract
Simple Summary
Abstract
1. Introduction
2. Materials and Methods
3. Results
3.1. Participant Demographics
3.2. Survey Validity
3.3. Effect of Year of Study, Experience, Gender, and Site
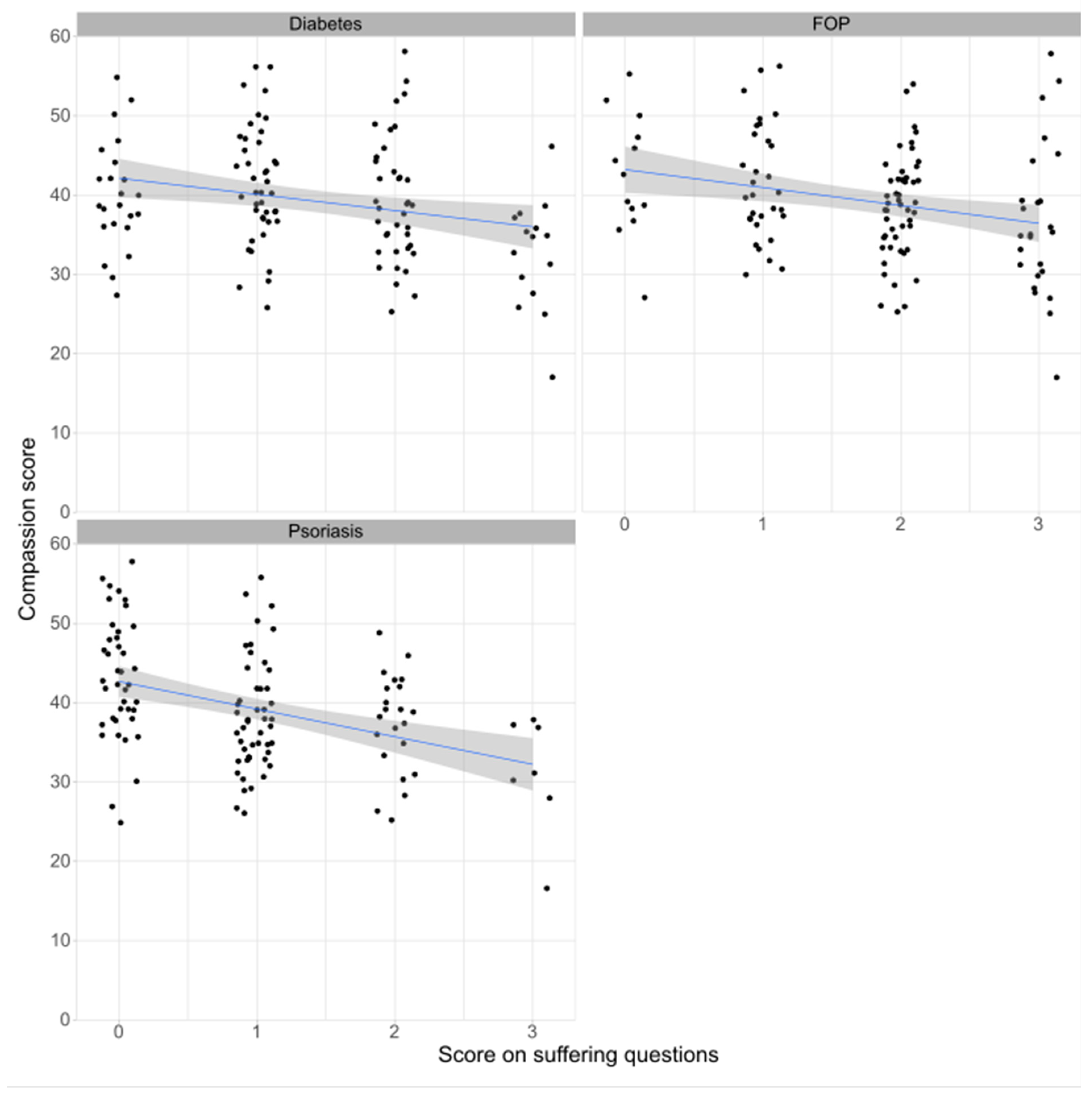
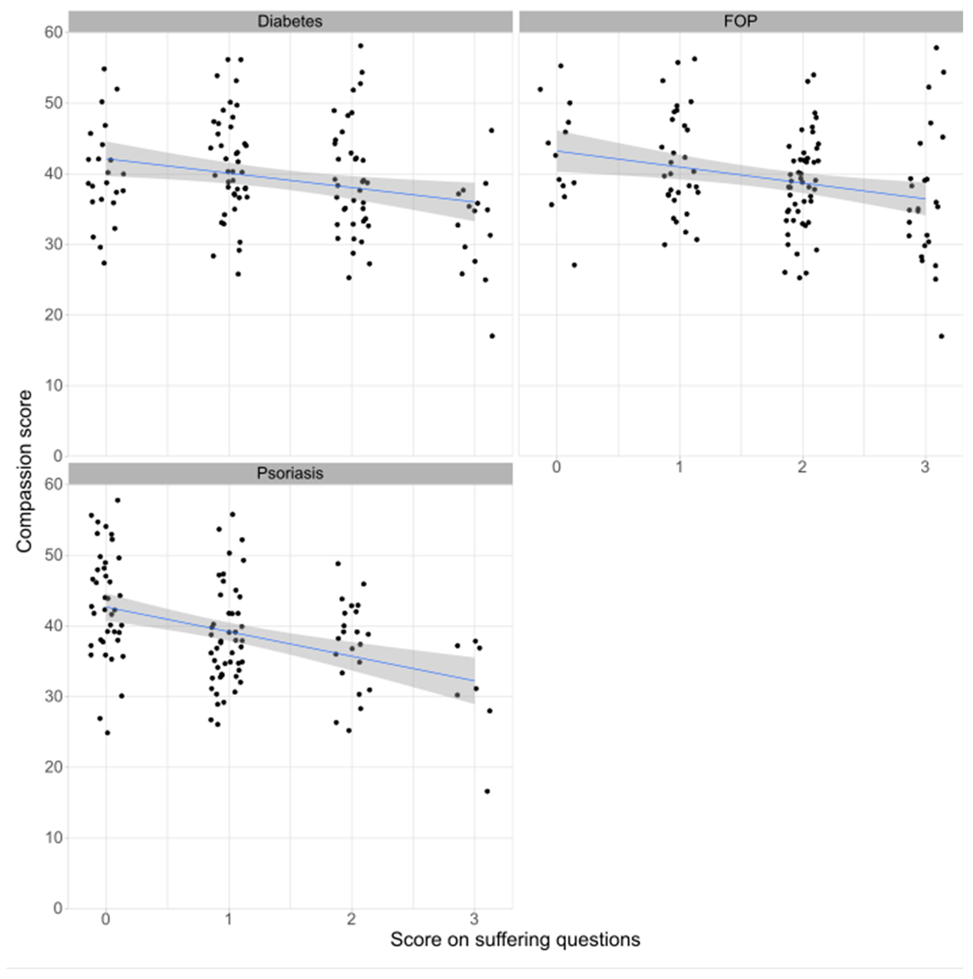
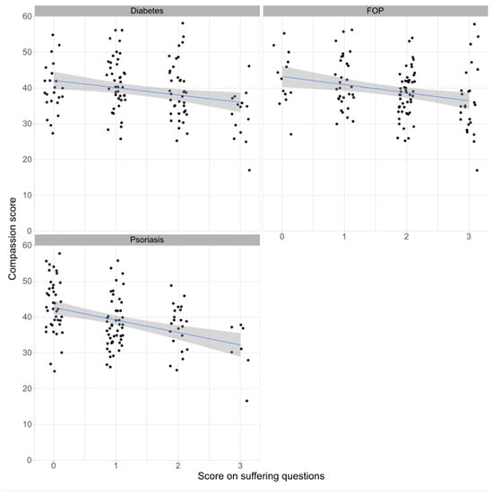
3.4. Harm–Benefit Analysis Task
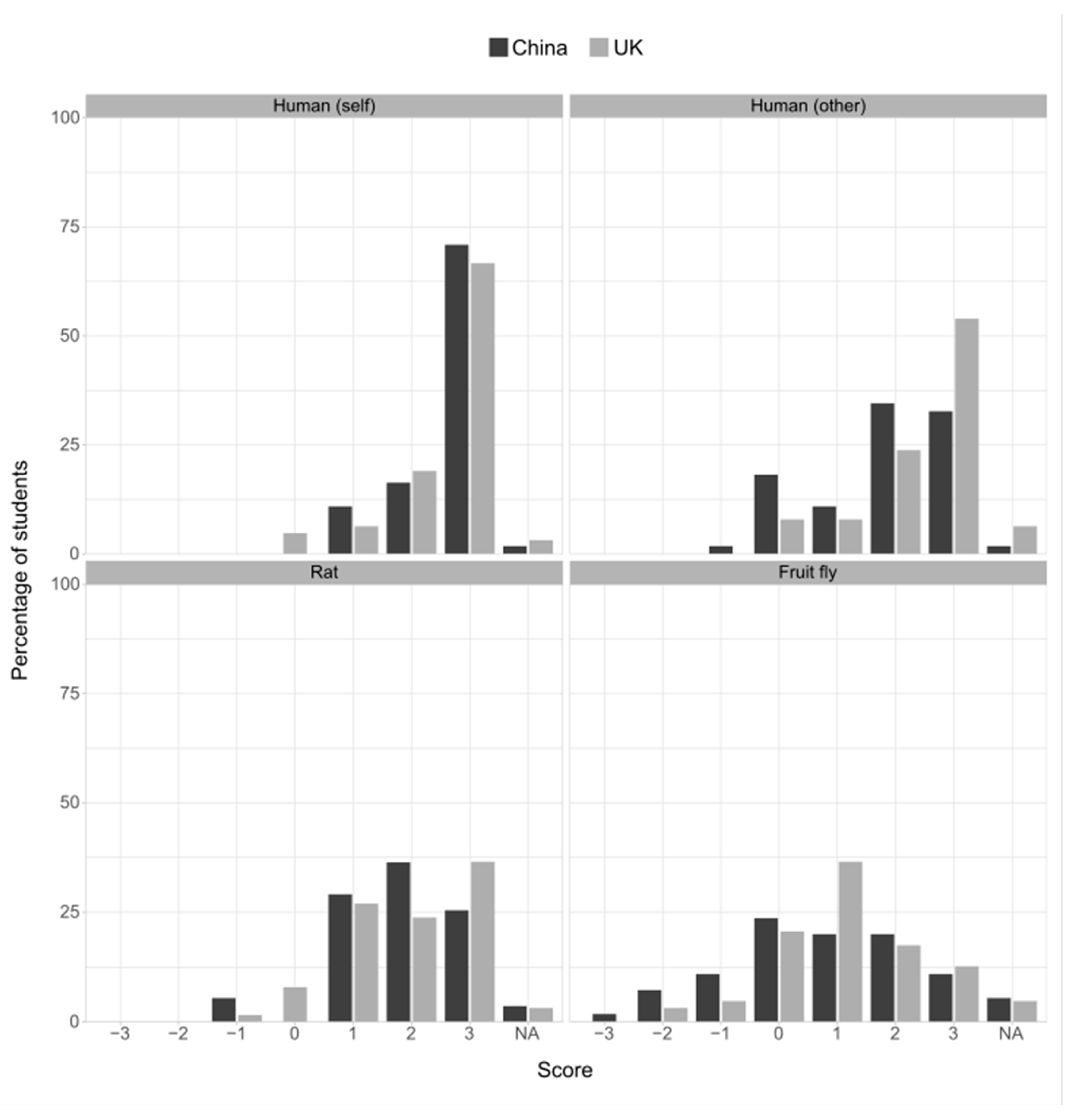
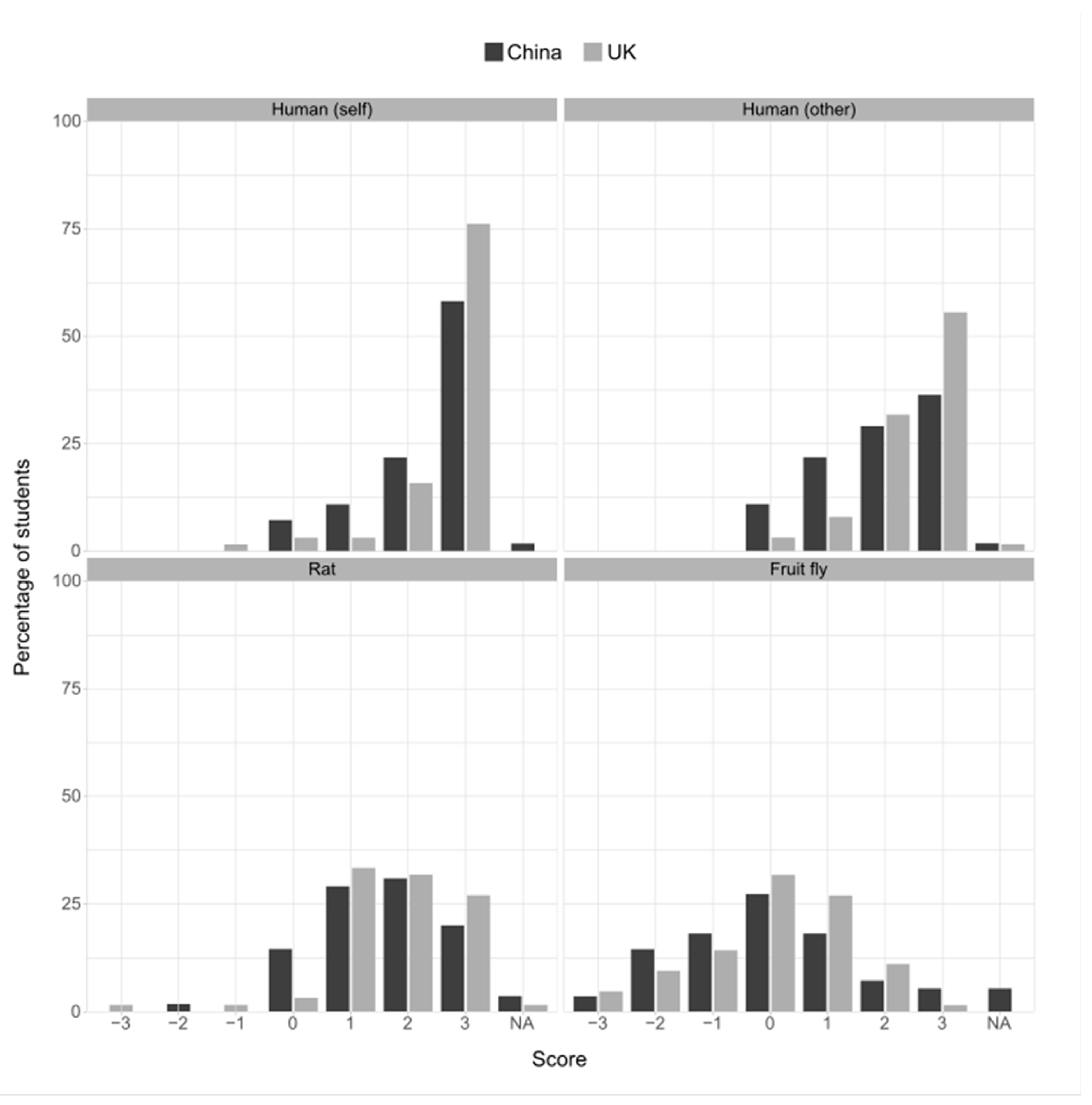
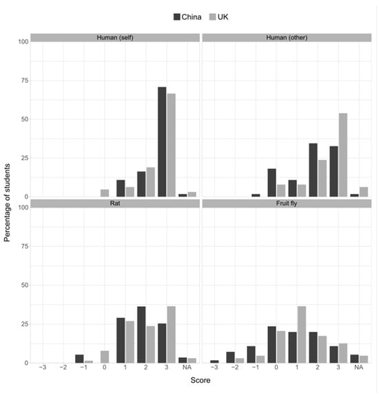
3.5. Beliefs about Animal Consciousness and Animals’ Emotional Capabilities
4. Discussion
5. Conclusions
Supplementary Materials
Author Contributions
Funding
Institutional Review Board Statement
Informed Consent Statement
Data Availability Statement
Acknowledgments
Conflicts of Interest
Correction Statement
References
- Taylor, K.; Gordon, N.; Langley, G.; Higgins, W. Estimates for Worldwide Laboratory Animal Use in 2005. Altern. Lab. Anim. 2008, 36, 327–342. [Google Scholar] [CrossRef]
- Nussbaum, M.C.; Faralli, C. On the New Frontiers of Justice. A Dialogue. Ratio Juris 2007, 20, 145–161. [Google Scholar] [CrossRef]
- Von Roten, F.C. Public Perceptions of Animal Experimentation across Europe. Public Underst. Sci. 2013, 22, 691–703. [Google Scholar] [CrossRef] [PubMed]
- Cressey, D. Animal Research: Battle Scars. Nature 2011, 470, 452–453. [Google Scholar] [CrossRef] [PubMed]
- Caviola, L.; Everett, J.A.C.; Faber, N.S. The Moral Standing of Animals: Towards a Psychology of Speciesism. J. Personal. Soc. Psychol. 2019, 116, 1011–1029. [Google Scholar] [CrossRef]
- Lafollette, H.; Shanks, N. The Origin of Speciesism. Philosophy 1996, 71, 41–61. [Google Scholar] [CrossRef]
- Singer, P. Animal Liberation; Penguin Random House: New York, NY, USA, 2015. [Google Scholar]
- Midgley, M. Animals and Why They Matter; University of Georgia Press: Athens, GA, USA, 1938. [Google Scholar]
- Miralles, A.; Raymond, M.; Lecointre, G. Empathy and Compassion toward Other Species Decrease with Evolutionary Divergence Time. Sci. Rep. 2019, 9, 19555. [Google Scholar] [CrossRef]
- Bradley, A.; Mennie, N.; Bibby, P.A.; Cassaday, H.J. Some Animals Are More Equal than Others: Validation of a New Scale to Measure How Attitudes to Animals Depend on Species and Human Purpose of Use. PLoS ONE 2020, 15, e0227948. [Google Scholar] [CrossRef]
- Marriott, S.; Cassaday, H.J. Attitudes to Animal Use of Named Species for Different Purposes: Effects of Speciesism, Individualising Morality, Likeability and Demographic Factors. Humanit. Soc. Sci. Commun. 2022, 9, 138. [Google Scholar] [CrossRef]
- Tannenbaum, J. The Pursuit and Advancement of Knowledge as a Justification for the Use of Animals in Research. ILAR J. 2019, 60, 347–365. [Google Scholar] [CrossRef]
- Goñi-Balentziaga, O.; Vila, S.; Ortega-Saez, I.; Vegas, O.; Azkona, G. Professional Quality of Life in Research Involving Laboratory Animals. Animals 2021, 11, 2639. [Google Scholar] [CrossRef] [PubMed]
- Cait, J.; Cait, A.; Scott, R.W.; Winder, C.B.; Mason, G.J. Conventional Laboratory Housing Increases Morbidity and Mortality in Research Rodents: Results of a Meta-Analysis. BMC Biol. 2022, 20, 15. [Google Scholar] [CrossRef] [PubMed]
- Hawkins, P.; Golledge, H.D.R. The 9 to 5 Rodent−Time for Change? Scientific and Animal Welfare Implications of Circadian and Light Effects on Laboratory Mice and Rats. J. Neurosci. Methods 2018, 300, 20–25. [Google Scholar] [CrossRef] [PubMed]
- Crawford, D.R. Compassion and Empathy in Basic Medical Science Teaching: A Suggested Model. Cureus 2021, 13, e20205. [Google Scholar] [CrossRef]
- Benz-Schwarzburg, J.; Wrage, B. Caring Animals and the Ways We Wrong Them. Biol. Philos. 2023, 38, 25. [Google Scholar] [CrossRef]
- Walker, R.L. Virtue Ethics and Laboratory Animal Research. ILAR J. 2020, 60, 415–423. [Google Scholar] [CrossRef]
- Gruen, L. Entangled Empathy; Lantern Books: New York, NY, USA, 2015. [Google Scholar]
- Parry, J. Sentimentality and the Enemies of Animal Protection. Anthrozoös 2011, 24, 117–133. [Google Scholar] [CrossRef]
- Robinson, S.; Sparrow, S.; Williams, B.; Decelle, T.; Bertelsen, T.; Reid, K.; Chlebus, M. The European Federation of the Pharmaceutical Industry and Associations’ Research and Animal Welfare Group: Assessing and Benchmarking ‘Culture of Care’ in the Context of Using Animals for Scientific Purpose. Lab. Anim. 2020, 54, 421–432. [Google Scholar] [CrossRef]
- Ratuski, A.S.; Weary, D.M. Environmental Enrichment for Rats and Mice Housed in Laboratories: A Metareview. Animals 2022, 12, 414. [Google Scholar] [CrossRef]
- Henderson, L.J.; Dani, B.; Serrano, E.M.N.; Smulders, T.V.; Roughan, J.V. Benefits of Tunnel Handling Persist after Repeated Restraint, Injection and Anaesthesia. Sci. Rep. 2020, 10, 14562. [Google Scholar] [CrossRef]
- Lawrence, A.B.; Vigors, B.; Sandøe, P. What Is so Positive about Positive Animal Welfare?—A Critical Review of the Literature. Animals 2019, 9, 783. [Google Scholar] [CrossRef] [PubMed]
- Grimm, D. Suffering in Silence. Science 2023, 379, 974–977. [Google Scholar] [CrossRef] [PubMed]
- Makowska, I.J.; Weary, D.M. A Good Life for Laboratory Rodents? ILAR J. 2019, 60, 373–388. [Google Scholar] [CrossRef] [PubMed]
- Strauss, C.; Lever Taylor, B.; Gu, J.; Kuyken, W.; Baer, R.; Jones, F.; Cavanagh, K. What Is Compassion and How Can We Measure It? A Review of Definitions and Measures. Clin. Psychol. Rev. 2016, 47, 15–27. [Google Scholar] [CrossRef]
- Calderón-Amor, J.; Luna-Fernández, D.; Tadich, T. Study of the Levels of Human–Human and Human–Animal Empathy in Veterinary Medical Students from Chile. J. Vet. Med. Educ. 2017, 44, 179–186. [Google Scholar] [CrossRef]
- Machado, G.F.; Melo, G.D.; Perri, S.H.V.; Fernandes, F.V.; Moraes, O.C.; Souza, M.S.; Grano, F.G.; Silva, J.E.S.; Nunes, C.M. Perceptions of Animal Experimentation: A Longitudinal Survey with Veterinary Students in Araçatuba, São Paulo, Brazil. J. Biol. Educ. 2017, 51, 391–398. [Google Scholar] [CrossRef]
- Paul, E.S.; Podberscek, A.L. Veterinary Education and Students’ Attitudes towards Animal Welfare. Vet. Rec. 2000, 146, 269–272. [Google Scholar] [CrossRef]
- Clarke, N.; Main, D.C.J.; Paul, E.S. Students’ Beliefs in Animal Sentience: No Decline across Veterinary Education. Vet. Rec. 2017, 180, 378. [Google Scholar] [CrossRef]
- Luño, I.; Palacio, J.; García-Belenguer, S.; González-Martínez, Á.; Rosado, B. Perception of Canine Welfare Concerns among Veterinary Students, Practitioners, and Behavior Specialists in Spain. J. Vet. Med. Educ. 2017, 44, 217–222. [Google Scholar] [CrossRef]
- Paul, E.S. Empathy with Animals and with Humans: Are They Linked? Anthrozoös 2000, 13, 194–202. [Google Scholar] [CrossRef]
- Kaplan, F.S.; Le Merrer, M.; Glaser, D.L.; Pignolo, R.J.; Goldsby, R.E.; Kitterman, J.A.; Groppe, J.; Shore, E.M. Fibrodysplasia Ossificans Progressiva. Best Pract. Res. Clin. Rheumatol. 2008, 22, 191–205. [Google Scholar] [CrossRef] [PubMed]
- Van Gulick, R. Consciousness. In The Stanford Encyclopedia of Philosophy; Zalta, E.N., Nodelman, U., Eds.; Metaphysics Research Lab, Stanford University: Stanford, CA, USA, 2022. [Google Scholar]
- Apostol, L.; Rebega, O.L.; Miclea, M. Psychological and Socio-Demographic Predictors of Attitudes toward Animals. Procedia-Soc. Behav. Sci. 2013, 78, 521–525. [Google Scholar] [CrossRef]
- Colombo, E.S.; Crippa, F.; Calderari, T.; Prato-Previde, E. Empathy toward Animals and People: The Role of Gender and Length of Service in a Sample of Italian Veterinarians. J. Vet. Behav. 2017, 17, 32–37. [Google Scholar] [CrossRef]
- Phillips, C.J.C.; McCulloch, S. Student Attitudes on Animal Sentience and Use of Animals in Society. J. Biol. Educ. 2005, 40, 17–24. [Google Scholar] [CrossRef]
- Su, B.; Zhang, C.; Martens, P. Attitudes in China, Japan, and the Netherlands toward the Use of Animals in Medical Research. Anthrozoös 2022, 35, 409–422. [Google Scholar] [CrossRef]
- Phillips, C.; Izmirli, S.; Aldavood, S.; Alonso, M.; Choe, B.; Hanlon, A.; Handziska, A.; Illmann, G.; Keeling, L.; Kennedy, M.; et al. Students’ Attitudes to Animal Welfare and Rights in Europe and Asia. Anim. Welf. 2012, 21, 87–100. [Google Scholar] [CrossRef]
- O’Malley, C.I.; Moody, C.M.; Foster, A.; Turner, P.V. Compassion Fatigue and Coping Mechanisms of Laboratory Animal Professionals from Europe, China, and Japan. J. Am. Assoc. Lab. Anim. Sci. 2022, 61, 634–643. [Google Scholar] [CrossRef]
- Knight, S.; Vrij, A.; Cherryman, J.; Nunkoosing, K. Attitudes towards Animal Use and Belief in Animal Mind. Anthrozoös 2004, 17, 43–62. [Google Scholar] [CrossRef]
- Platto, S.; Serres, A.; Jingyi, A. Chinese College Students’ Attitudes towards Animal Welfare. Animals 2022, 12, 156. [Google Scholar] [CrossRef]
- Neldner, K.; Wilks, M. How Do Children Value Animals? A Developmental Review. Psychol. Hum.-Anim. Intergr. Relat. 2022, 1, e9907. [Google Scholar] [CrossRef]
- Menezes, P.; Guraya, S.Y.; Guraya, S.S. A Systematic Review of Educational Interventions and Their Impact on Empathy and Compassion of Undergraduate Medical Students. Front. Med. 2021, 8, 758377. [Google Scholar] [CrossRef] [PubMed]
- Casas-Roma, J.; Conesa, J.; Caballé, S. Teaching Ethics in Online Environments: A Prototype for Interactive Narrative Approaches. In Proceedings of the Innovative Approaches to Technology-Enhanced Learning for the Workplace and Higher Education; Springer: Cham, Switzerland, 2023; pp. 496–509. [Google Scholar]
- Toh, W.; Kirschner, D. Developing Social-Emotional Concepts for Learning with Video Games. Comput. Educ. 2023, 194, 104708. [Google Scholar] [CrossRef]
- Toh, W.; Kirschner, D. Self-Directed Learning in Video Games, Affordances and Pedagogical Implications for Teaching and Learning. Comput. Educ. 2020, 154, 103912. [Google Scholar] [CrossRef]
- Kipnis, A. Communication through Playful Systems: Presenting Scientific Worlds the Way a Game Might Do. Integr. Comp. Biol. 2018, 58, 1235–1246. [Google Scholar] [CrossRef] [PubMed]
- Gee, J.P. Learning by Design: Good Video Games as Learning Machines. E-Learn. Digit. Media 2005, 2, 5–16. [Google Scholar] [CrossRef]
- Developing a Digital Game to Explore Compassion towards Laboratory Animals–Teaching Matters Blog. Available online: https://www.teaching-matters-blog.ed.ac.uk/developing-a-digital-game-to-explore-compassion-towards-laboratory-animals/ (accessed on 10 October 2023).







| Variable | Odds Ratio | CI 2.5% | CI 97.5% | p Value |
|---|---|---|---|---|
| Site (ref = UK) | ||||
| China | 0.718 | 0.575 | 0.897 | 0.004 |
| Gender (ref = Female) | ||||
| Male | 0.768 | 0.613 | 0.962 | 0.023 |
| Year of study | 0.950 | 0.861 | 1.048 | 0.306 |
| Experience | 1.103 | 1 | 1.216 | 0.052 |
| Variable | Odds Ratio | CI 2.5% | CI 97.5% | p Value |
|---|---|---|---|---|
| Num people affected | 1.09 | 0.81 | 1.47 | 0.567 |
| Severity | 3.20 | 2.28 | 4.49 | 0.000 |
| Site (ref = UK) | ||||
| China | 4.89 | 2.08 | 11.50 | 0.000 |
| Year of study | 1.29 | 0.88 | 1.88 | 0.186 |
| Experience | 0.72 | 0.50 | 1.04 | 0.079 |
| Gender (ref = Female) | ||||
| Male | 2.02 | 0.85 | 4.81 | 0.112 |
| Consciousness | ||||
|---|---|---|---|---|
| Variable | Odds Ratio | CI 2.5% | CI 97.5% | p Value |
| Species (ref = self) | ||||
| Other humans | 0.183 | 0.098 | 0.341 | 9.13 × 10−8 |
| Rat | 0.098 | 0.052 | 0.184 | 3.83 × 10−13 |
| Fruit fly | 0.012 | 0.006 | 0.025 | 8.98 × 10−32 |
| Site (ref = UK) | ||||
| China | 0.456 | 0.179 | 1.160 | 0.099 |
| Year | 1.537 | 1.003 | 2.356 | 0.049 |
| Experience | 0.958 | 0.638 | 1.439 | 0.836 |
| Gender (ref = Female) | ||||
| Male | 1.114 | 0.419 | 2.964 | 0.828 |
| Emotion | ||||
| Variable | Odds Ratio | CI 2.5% | CI 97.5% | p value |
| Species (ref = self) | ||||
| Other humans | 0.355 | 0.202 | 0.623 | 3.09 × 10−4 |
| Rat | 0.110 | 0.062 | 0.195 | 6.32 × 10−14 |
| Fruit fly | 0.006 | 0.003 | 0.013 | 8.41 × 10−41 |
| Site (ref = UK) | ||||
| China | 0.418 | 0.220 | 0.795 | 0.008 |
| Year | 1.425 | 1.059 | 1.917 | 0.019 |
| Experience | 1.072 | 0.806 | 1.424 | 0.634 |
| Gender (ref = Female) | ||||
| Male | 0.891 | 0.460 | 1.724 | 0.732 |
Disclaimer/Publisher’s Note: The statements, opinions and data contained in all publications are solely those of the individual author(s) and contributor(s) and not of MDPI and/or the editor(s). MDPI and/or the editor(s) disclaim responsibility for any injury to people or property resulting from any ideas, methods, instructions or products referred to in the content. |
© 2023 by the authors. Licensee MDPI, Basel, Switzerland. This article is an open access article distributed under the terms and conditions of the Creative Commons Attribution (CC BY) license (https://creativecommons.org/licenses/by/4.0/).
Share and Cite
Fitzpatrick, R.; Romanò, N.; Menzies, J. Exploring Compassion towards Laboratory Animals in UK- and China-Based Undergraduate Biomedical Sciences Students. Animals 2023, 13, 3584. https://doi.org/10.3390/ani13223584
Fitzpatrick R, Romanò N, Menzies J. Exploring Compassion towards Laboratory Animals in UK- and China-Based Undergraduate Biomedical Sciences Students. Animals. 2023; 13(22):3584. https://doi.org/10.3390/ani13223584
Chicago/Turabian StyleFitzpatrick, Richard, Nicola Romanò, and John Menzies. 2023. "Exploring Compassion towards Laboratory Animals in UK- and China-Based Undergraduate Biomedical Sciences Students" Animals 13, no. 22: 3584. https://doi.org/10.3390/ani13223584
APA StyleFitzpatrick, R., Romanò, N., & Menzies, J. (2023). Exploring Compassion towards Laboratory Animals in UK- and China-Based Undergraduate Biomedical Sciences Students. Animals, 13(22), 3584. https://doi.org/10.3390/ani13223584

