Do Hens Use Enrichments Provided in Free-Range Systems?
Abstract
:Simple Summary
Abstract
1. Introduction
2. Materials and Methods
2.1. Housing and Birds
2.2. Enrichment Treatments
- Lucerne (alfalfa) hay bales. Analysed content: 16.7% crude protein, 90.4% dry matter. Four bales provided per quarter (1 per 1000 hens), which were placed into hay nets and suspended over the litter (some farms placed them on the floor initially, and hung them up after approximately 3 days). Bales weighed approximately 15 kg and measured 65 × 45 × 35 cm or 102,375 cm3 per bale. Cost: from GBP 6.50 per bale. Estimated to last 3 weeks.
- Pecking blocks (PickblockTM medium, Crystalyx® Products GmbH, Münster, Germany), compact hard edible blocks made of grains (rye, maize, wheat), calcium carbonate, oyster shells, dextrose, molasses, wheat gluten feed, and lucerne meal; crude protein 5.8%; weight 5 kg; dimensions 23 × 16.5 × 13 cm, or 4934 cm3 per block. Provided at 1 block per 500 hens, thus 8 blocks per quarter, which were placed in pairs onto slats or plastic bucket lids (to stop them from getting damp) on top of the litter. Cost: approximately GBP 7 per block. Estimated to deteriorate at 1 g/hen/day, and thus expected to last approximately 10 days.
- Pelleted feed formulated for layers (Farmgate Layers Pellets, ForFarmers UK Ltd., Dumfriesshire, UK). Analysed content: 16.0% protein, 86.2% dry matter. Provided 2 kg twice a day, scattered from side-to-side covering a roughly 0.5 m width, down the centre of the litter area (Figure 1), thus providing 1 g pellets/hen/day. Staff were provided with plastic jugs marked with a ‘fill’ line to the correct weight, and feed was stored in plastic bins within the shed quarter for ease of use and rodent control. The timing of scattering was arranged to coincide with staff inspections/collections of floor eggs, and ranged from farm-to-farm between 09:00–11:30 (scatter 1), and 13:00–16:30 (scatter 2). Cost: GBP 8.38 per 20 kg bag, or GBP 419/tonne. Estimated to last up to a few hours.
- Jute ropes (Ropes Direct, Norfolk, UK). Four ropes (8 mm diameter, cut into 30 cm lengths and looped in half; approximately 15.1 cm3 in volume per rope) were attached initially by polypropylene string (flocks A, B), and then cable ties (all flocks) to the first platform or alighting rails of the multitier structure, evenly spread along the structure. Cost: just over GBP 0.08 per 30 cm, or GBP 0.33 for 4 rope pieces. Estimated to last 6 months.
- 4 bales and 4 ropes (B);
- 4 pairs of pecking blocks and 4 ropes (PB);
- 4 kg pelleted feed and 4 ropes (PF);
- 8 ropes (R).
2.3. Behaviour Observations and Feather Scores
2.4. Statistical Analyses
- Total counts of birds in each location (ControlR, Enrich, Away) at a scan engaged in all behaviours (because total birds in a particular location might indicate a desire to be there);
- Counts of birds engaged in each particular behaviour in each location at a scan;
- Proportions of birds engaged in each behaviour (i.e., counts of birds performing a behaviour/total birds in that location per scan).
3. Results
3.1. Counts of Birds (Over All Behaviours)
3.2. Behaviour
3.2.1. Interacting with Enrichments (ControlR and Enrich Locations Only)
3.2.2. At (but Not Interacting with) Enrichments (ControlR and Enrich Locations Only)
3.2.3. Stand/Sit
3.2.4. Forage
3.2.5. Walk/Run
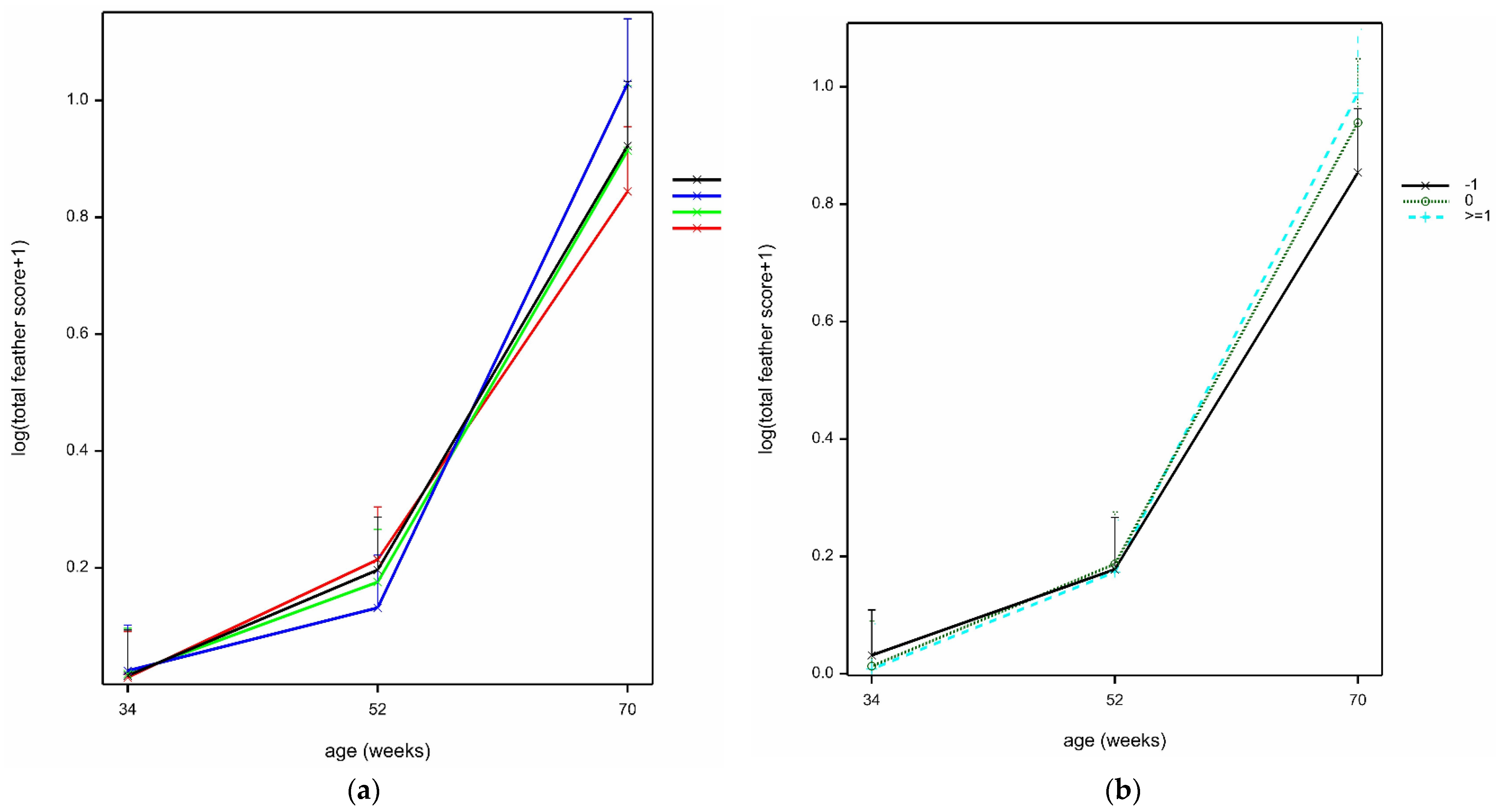
3.3. Feather Scores
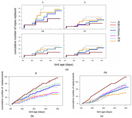
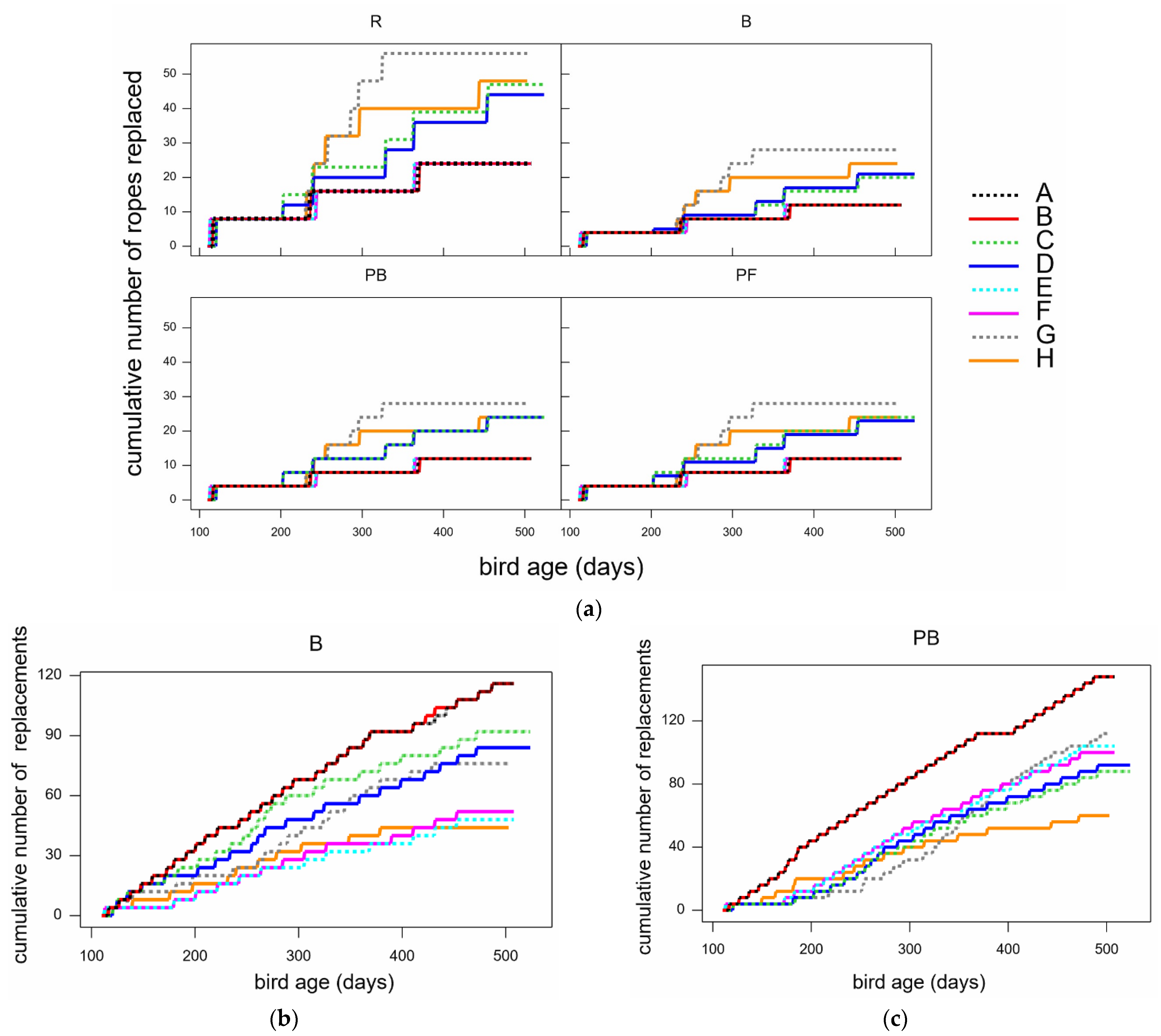
3.4. Replacement Frequency and Cost
4. Discussion
5. Conclusions
Author Contributions
Funding
Institutional Review Board Statement
Informed Consent Statement
Data Availability Statement
Acknowledgments
Conflicts of Interest
References
- Newberry, R.C. Environmental enrichment: Increasing the biological relevance of captive environments. Appl. Anim. Behav. Sci. 1995, 44, 229–243. [Google Scholar] [CrossRef]
- Lambton, S.L.; Nicol, C.J.; Friel, M.; Main, D.C.J.; McKinstry, J.L.; Sherwin, C.M.; Walton, J.; Weeks, C.A. A bespoke management package can reduce levels of injurious pecking in loose-housed laying hen flocks. Vet. Rec. 2013, 172, 423. [Google Scholar] [CrossRef] [PubMed]
- Lambton, S.L.; Knowles, T.G.; Yorke, C.; Nicol, C.J. The risk factors affecting the development of gentle and severe feather pecking in loose housed laying hens. Appl. Anim. Behav. Sci. 2010, 123, 32–42. [Google Scholar] [CrossRef]
- Blokhuis, H.J.; Arkes, J.G. Some observations on the development of feather-pecking in poultry. Appl. Anim. Behav. Sci. 1984, 12, 145–157. [Google Scholar] [CrossRef]
- Rodenburg, T.B.; Koene, P. Feather pecking and feather loss. In Welfare of the Laying Hen; Perry, G.C., Ed.; CABI Publishing: Cambridge, UK, 2004; pp. 227–238. [Google Scholar]
- Dixon, L.M.; Duncan, I.J.H.; Mason, G. What’s in a peck? Using fixed action pattern morphology to identify the motivational basis of abnormal feather-pecking behaviour. Anim. Behav. 2008, 76, 1035–1042. [Google Scholar] [CrossRef] [Green Version]
- European Union. Council Directive 1999/74/EC of 19 July 1999 Laying Down Minimum Standards for the Protection of Laying Hens; European Union: Brussels, Belgium, 1999; pp. 1–5. [Google Scholar]
- Rodenburg, T.B.; Van Krimpen, M.M.; De Jong, I.C.; De Haas, E.N.; Kops, M.S.; Riedstra, B.J.; Nordquist, R.E.; Wagenaar, J.P.; Bestman, M.; Nicol, C.J. The prevention and control of feather pecking in laying hens: Identifying the underlying principles. Worlds Poult. Sci. J. 2013, 69, 361–374. [Google Scholar] [CrossRef] [Green Version]
- Schreiter, R.; Damme, K.; Borell, E.; Vogt, I.; Klunker, M.; Freick, M. Effects of litter and additional enrichment elements on the occurrence of feather pecking in pullets and laying hens—A focused review. Vet. Med. Sci. 2019, 5, 500–507. [Google Scholar] [CrossRef] [Green Version]
- Coton, J.; Guinebretière, M.; Guesdon, V.; Chiron, G.; Mindus, C.; Laravoire, A.; Pauthier, G.; Balaine, L.; Descamps, M.; Bignon, L.; et al. Feather pecking in laying hens housed in free-range or furnished-cage systems on French farms. Br. Poult. Sci. 2019, 60, 617–627. [Google Scholar] [CrossRef]
- McAdie, T.M.; Keeling, L.J.; Blokhuis, H.J.; Jones, R.B. Reduction in feather pecking and improvement of feather condition with the presentation of a string device to chickens. Appl. Anim. Behav. Sci. 2005, 93, 67–80. [Google Scholar] [CrossRef]
- Hartcher, K.M.; Tran, K.T.N.; Wilkinson, S.J.; Hemsworth, P.H.; Thomson, P.C.; Cronin, G.M. The effects of environmental enrichment and beak-trimming during the rearing period on subsequent feather damage due to feather-pecking in laying hens. Poult. Sci. 2015, 94, 852–859. [Google Scholar] [CrossRef]
- D’Eath, R.B.; Arnott, G.; Turner, S.P.; Jensen, T.; Lahrmann, H.P.; Busch, M.E.; Niemi, J.K.; Lawrence, A.B.; Sandøe, P. Injurious tail biting in pigs: How can it be controlled in existing systems without tail docking? Animal 2014, 8, 1479–1497. [Google Scholar] [CrossRef] [Green Version]
- Schreiter, R.; Damme, K.; Freick, M. Edible environmental enrichments in littered housing systems: Do their effects on integument condition differ between commercial laying hen strains? Animals 2020, 10, 2434. [Google Scholar] [CrossRef] [PubMed]
- Rudkin, C. Feather pecking and foraging uncorrelated–the redirection hypothesis revisited. Br. Poult. Sci. 2021, 1–9. [Google Scholar] [CrossRef] [PubMed]
- Iqbal, Z.; Drake, K.; Swick, R.A.; Taylor, P.S.; Perez-Maldonado, R.A.; Ruhnke, I. Effect of pecking stones and age on feather cover, hen mortality, and performance in free-range laying hens. Poult. Sci. 2020, 99, 2307–2314. [Google Scholar] [CrossRef] [PubMed]
- Steenfeldt, S.; Kjaer, J.B.; Engberg, R.M. Effect of feeding silages or carrots as supplements to laying hens on production performance, nutrient digestibility, gut structure, gut microflora and feather pecking behaviour. Br. Poult. Sci. 2007, 48, 454–468. [Google Scholar] [CrossRef] [Green Version]
- Aerni, V.; El-Lethey, H.; Wechsler, B. Effect of foraging material and food form on feather pecking in laying hens. Br. Poult. Sci. 2000, 41, 16–21. [Google Scholar] [CrossRef]
- Cronin, G.M.; Hopcroft, R.L.; Groves, P.J.; Hall, E.J.S.; Phalen, D.N.; Hemsworth, P.H. Why did severe feather pecking and cannibalism outbreaks occur? An unintended case study while investigating the effects of forage and stress on pullets during rearing. Poult. Sci. 2018, 97, 1484–1502. [Google Scholar] [CrossRef]
- Savory, C.J.; Mann, J.S. Feather pecking in groups of growing bantams in relation to floor litter substrate and plumage colour. Br. Poult. Sci. 1999, 40, 565–572. [Google Scholar] [CrossRef]
- Bright, A.; Jones, T.A.; Dawkins, M.S. A non-intrusive method of assessing plumage condition in commercial flocks of laying hens. Anim. Welf. 2006, 15, 113–118. [Google Scholar]
- RSPCA. RSPCA Welfare Standards for Laying Hens; RSPCA: Horsham, UK, 2017. [Google Scholar]
- Bubier, N.E.; Bradshaw, R.H. Movement of flocks of laying hens in and out of the hen house in four free range systems. Br. Poult. Sci. Suppl. 1998, 39, S5–S6. [Google Scholar] [CrossRef]
- Gebhardt-Henrich, S.G.; Toscano, M.J.; Fröhlich, E.K.F. Use of outdoor ranges by laying hens in different sized flocks. Appl. Anim. Behav. Sci. 2014, 155, 74–81. [Google Scholar] [CrossRef] [Green Version]
- Heerkens, J.L.T.; Delezie, E.; Kempen, I.; Zoons, J.; Ampe, B.; Rodenburg, T.B.; Tuyttens, F.A.M. Specific characteristics of the aviary housing system affect plumage condition, mortality and production in laying hens. Poult. Sci. 2015, 94, 2008–2017. [Google Scholar] [CrossRef] [PubMed]
- Nicol, C.J.; Potzsch, C.; Lewis, K.; Green, L.E. Matched concurrent case-control study of risk factors for feather pecking in hens on free-range commercial farms in the UK. Br. Poult. Sci. 2003, 44, 515–523. [Google Scholar] [CrossRef] [PubMed]
- Blokhuis, H.J.; van der Haar, J.W. Effects of pecking incentives during rearing on feather pecking of laying hens. Br. Poult. Sci. 1992, 33, 17–24. [Google Scholar] [CrossRef] [PubMed]
- Jones, R.B. Environmental enrichment: The need for practical strategies to improve poultry welfare. In Welfare of the Laying Hen. Poultry Science Symposium Series; No. 27; Perry, G.C., Ed.; CABI: Wallingford, UK, 2004; pp. 215–226. [Google Scholar]










| Flock | Bales and Ropes (B) | Pecking Blocks and Ropes (PB) | Pelleted Feed and Ropes (PF) | Ropes Only (R) |
|---|---|---|---|---|
| A | Q1 | Q2 | Q3 | Q4 |
| B | Q3 | Q1 | Q4 | Q2 |
| C | Q2 | Q4 | Q1 | Q3 |
| D | Q4 | Q3 | Q2 | Q1 |
| E | Q3 | Q4 | Q1 | Q2 |
| F | Q2 | Q1 | Q4 | Q3 |
| G | Q1 | Q3 | Q2 | Q4 |
| H | Q4 | Q2 | Q3 | Q1 |
| Behaviour |
|---|
| * Interacting with (e.g., peck, pull, scratch at) enrichment (or in litter where feed was scattered, PF treatment), |
| * At, but not interacting with, enrichment: birds were located within 1 m diameter of the enrichment, but were not in contact with it |
| Stand/sit: birds were holding still and performing no other behaviour |
| Forage: peck/scratch at litter (but not at location where feed is scattered, PF treatment) |
| Walk/run: birds were in locomotion |
| Dustbathe: birds were in a prone position, while raking litter with their beaks, or tossing/rubbing litter onto the plumage |
| Feather peck: gentle or vigorous pecks at the plumage of other birds, often repetitive until the target bird withdrew |
| Aggressive peck: forceful, downward pecks directed towards the head or neck |
| Perch: birds standing or sitting on perch rails |
| Other: any other behaviour |
| Location | Treatment | Behaviour | |||||||||
|---|---|---|---|---|---|---|---|---|---|---|---|
| Interacting * | At But Not Interacting * | Stand/Sit | Forage | Walk/Run | Dustbathe | Feather Peck | Aggressive Peck | Perch | Other | ||
| ControlR | R | 0.052 | 0.000 | 0.509 | 0.180 | 0.170 | 0.009 | 0.006 | 0.000 | 0.004 | 0.070 |
| B | 0.033 | 0.000 | 0.525 | 0.203 | 0.141 | 0.010 | 0.004 | 0.000 | 0.015 | 0.069 | |
| PB | 0.060 | 0.000 | 0.552 | 0.153 | 0.147 | 0.006 | 0.005 | 0.000 | 0.006 | 0.071 | |
| PF | 0.032 | 0.005 | 0.564 | 0.143 | 0.184 | 0.004 | 0.006 | 0.001 | 0.006 | 0.055 | |
| Enrich | R | 0.048 | 0.000 | 0.517 | 0.166 | 0.182 | 0.009 | 0.003 | 0.000 | 0.009 | 0.066 |
| B | 0.370 | 0.094 | 0.218 | 0.235 | 0.047 | 0.002 | 0.004 | 0.000 | 0.000 | 0.030 | |
| PB | 0.599 | 0.111 | 0.083 | 0.169 | 0.020 | 0.000 | 0.001 | 0.001 | 0.000 | 0.016 | |
| PF | 0.378 | 0.437 | 0.063 | 0.027 | 0.038 | 0.001 | 0.002 | 0.001 | 0.000 | 0.053 | |
| Away | R | NA | NA | 0.452 | 0.238 | 0.197 | 0.017 | 0.012 | 0.000 | 0.000 | 0.085 |
| B | NA | NA | 0.445 | 0.266 | 0.170 | 0.023 | 0.011 | 0.001 | 0.003 | 0.082 | |
| PB | NA | NA | 0.489 | 0.217 | 0.191 | 0.008 | 0.005 | 0.002 | 0.000 | 0.088 | |
| PF | NA | NA | 0.512 | 0.218 | 0.190 | 0.019 | 0.001 | 0.002 | 0.000 | 0.058 | |
| Location | |||
|---|---|---|---|
| Treatment | ControlR | Enrich | Away |
| R | 7.4 ± 3.6 (6.6) | 6.8 ± 3.1 (6.0) | 8.2 ± 3.1 (7.2) |
| B | 7.1 ± 3.4 (6.4) | 13.1 ± 4.4 (12.0) | 8.7 ± 3.3 (7.8) |
| PB | 7.2 ± 3.6 (6.4) | 17.2 ± 4.0 (17.2) | 8.3 ± 3.1 (7.6) |
| PF | 6.8 ± 3.4 (6.1) | 10.8 ± 3.4 (10.1) | 7.3 ± 3.0 (6.5) |
| 34 Weeks | 52 Weeks | 70 Weeks | |
|---|---|---|---|
| ControlR | 1.94 ± 0.10 (7.0) | 1.90 ± 0.11 (6.7) | 1.73 ± 0.12 (5.6) |
| Enrich | 2.47 ± 0.10 (11.9) | 2.33 ± 0.10 (10.2) | 2.27 ± 0.11 (9.7) |
| Away | 2.25 ± 0.10 (9.5) | 1.91 ± 0.11 (6.7) | 1.79 ± 0.12 (6.0) |
| 34 Weeks | 52 Weeks | 70 Weeks | |
|---|---|---|---|
| Neck | 0.000 ± 0.000 | 0.003 ± 0.053 | 0.398 ± 0.536 |
| Back | 0.000 ± 0.000 | 0.001 ± 0.037 | 0.362 ± 0.520 |
| Tail | 0.024 ± 0.153 | 0.257 ± 0.444 | 0.664 ± 0.495 |
| Breast | 0.000 ± 0.000 | 0.000 ± 0.000 | 0.145 ± 0.358 |
| Wings | 0.000 ± 0.000 | 0.000 ± 0.000 | 0.436 ± 0.580 |
| Total FS | 0.024 ± 0.153 | 0.261 ± 0.452 | 2.004 ± 1.790 |
| Bales | Pecking Blocks | Pelleted Feed | Rope | |
|---|---|---|---|---|
| Estimated replacement | 21 days | 10 days | Twice a day | 180 days |
| Mean replacement (n = 8) | 21.9 days | 14.9 days | Twice a day | 96.6 days |
| SD (n = 8) | 8.8 | 4.9 | 0 | 36.3 |
| Cost of 1 item (GBP) | GBP 6.50/bale | GBP 7.00/block | GBP 8.38/20 kg bag (GBP 419/tonne) | 8.295 p/30 cm (GBP 27.65/100 m reel) |
| No. required for 16,000 hens | 16 | 32 | 16 kg | 16 |
| Cost as 1 enrichment for 16,000 hens | GBP 104.00 | GBP 224 | GBP 6.70 | GBP 1.33 |
| Number of times item would need replacing in 64 weeks | 20 | 30 | 448 | 5 |
| Total cost | GBP 2080 | GBP 6720 | GBP 3008 * | GBP 6.64 |
Publisher’s Note: MDPI stays neutral with regard to jurisdictional claims in published maps and institutional affiliations. |
© 2022 by the authors. Licensee MDPI, Basel, Switzerland. This article is an open access article distributed under the terms and conditions of the Creative Commons Attribution (CC BY) license (https://creativecommons.org/licenses/by/4.0/).
Share and Cite
Sandilands, V.; Baker, L.; Donbavand, J.; Brocklehurst, S. Do Hens Use Enrichments Provided in Free-Range Systems? Animals 2022, 12, 995. https://doi.org/10.3390/ani12080995
Sandilands V, Baker L, Donbavand J, Brocklehurst S. Do Hens Use Enrichments Provided in Free-Range Systems? Animals. 2022; 12(8):995. https://doi.org/10.3390/ani12080995
Chicago/Turabian StyleSandilands, Victoria, Laurence Baker, Jo Donbavand, and Sarah Brocklehurst. 2022. "Do Hens Use Enrichments Provided in Free-Range Systems?" Animals 12, no. 8: 995. https://doi.org/10.3390/ani12080995
APA StyleSandilands, V., Baker, L., Donbavand, J., & Brocklehurst, S. (2022). Do Hens Use Enrichments Provided in Free-Range Systems? Animals, 12(8), 995. https://doi.org/10.3390/ani12080995

