Application of Bioelectrical Impedance Analysis (BIA) to Assess Carcass Composition and Nutrient Retention in Rabbits from 25 to 77 Days of Age
Abstract
Simple Summary
Abstract
1. Introduction
2. Materials and Methods
2.1. Animals and Housing
2.2. Diets
2.3. Bioelectrical Impedance Analysis Measurements
2.4. Carcass Composition Measurement
2.5. Digestible Energy and Protein Carcass Retention
2.6. Chemical Analysis
2.7. Statistical Analysis
2.7.1. Repeatability of BIA Measurements and Correlation between Variables
2.7.2. Selection of Variables and Validation of Equations
2.7.3. Nutrient Retention Analysis
3. Results
3.1. Impedance Measurements and Repeatability
3.2. Carcass Composition
3.3. Correlation between Variables
3.4. Regression Equations
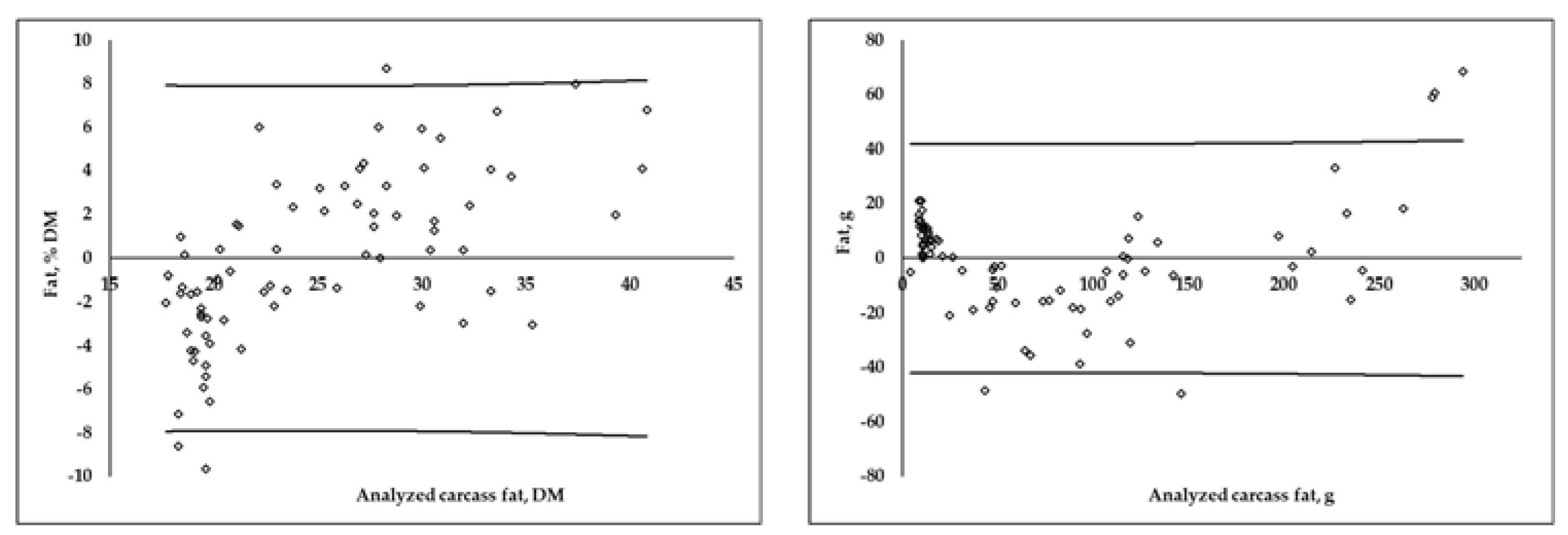
3.5. Validation of Prediction Equations
3.6. Energy and Nitrogen Carcass Retention
4. Discussion
4.1. Impedance Measurements and Repeatability
4.2. Carcass Composition Measurement
4.3. Correlation between Variables
4.4. Validation of Prediction Equations
4.5. Carcass Energy and Nitrogen Retention
5. Conclusions
Supplementary Materials
Author Contributions
Funding
Institutional Review Board Statement
Informed Consent Statement
Data Availability Statement
Acknowledgments
Conflicts of Interest
References
- Partridge, G.G.; Garthwaite, P.H.; Findlay, M. Protein and energy retention by growing rabbits offered diets with increasing proportions of fibre. J. Agric. Sci. 1989, 112, 171–178. [Google Scholar] [CrossRef]
- Maertens, L.; Luzr, F.; De Groote, G. Effect of dietary protein and amino acids on the performance, carcass composition and N-excretion of growing rabbits. Ann. Zootech. 1997, 46, 255–268. [Google Scholar] [CrossRef][Green Version]
- Xiccato, G.; Trocino, A.; Sartori, A.; Queaque, P.I. Effect of weaning diet and weaning age on growth, body composition and caecal fermentation of young rabbits. Anim. Sci. 2003, 77, 101–111. [Google Scholar] [CrossRef]
- Pla, M.; Pascual, M.; Ariño, B. Protein, Fat and moisture content of retail cuts of rabbit meat evaluated with the NIRS Methods. World Rabbit Sci. 2004, 12, 149–158. [Google Scholar]
- De Blas, J.C.; Fraga, M.J.; Rodríguez, M. Units for feed evaluation and requirements for commercially grown rabbits. J. Anim. Sci. 1985, 60, 1021–1028. [Google Scholar] [CrossRef]
- García, G.; Gálvez, J.F.; De Blas, J.C. Effect of substitution of sugarbeet pulp for barley in diets for finishing rabbits on growth performance and on energy and nitrogen efficiency. J. Anim. Sci. 1993, 47, 1823–1830. [Google Scholar] [CrossRef]
- Fernández, C.; Fraga, M.J. Effect of fat inclusion in diets for rabbits on the efficiency of digestible energy and protein utilization. World Rabbit Sci. 1996, 4, 19–23. [Google Scholar] [CrossRef][Green Version]
- Fraga, M.J.; Torres, A.; Pérez, E.; Gálvez, J.F.; De Blas, J.C. Body Composition in Suckling Rabbits. J. Anim. Sci. 1978, 47, 166–175. [Google Scholar] [CrossRef]
- Szendrö, Z.S.; Horn, P.; Köver, G.I.; Berényl, E.; Radnai, I.; Biro-Nemeth, E. In Vivo measurement of the carcass traits of meat type rabbits by X-ray computerised tomography. J. Appl. Rabbit Res. 1992, 15, 799–809. [Google Scholar]
- Köver, G.I.; Sorensen, P.; Szendrö, Z.S.; Milisits, G. In Vivo Measurement of Perirrenal Fat by Magnetic Tomography. In Proceedings of the 6th World Rabbit Cong, Toulouse, France, 9–12 July 1996; pp. 191–194. [Google Scholar]
- Köver, G.I.; Sorensen, P.; Szendrö, Z.S.; Romvari, R.; Jensen, J.F.; Sorensen, P.; Milisits, G. In vivo measurement of body parts and fat deposition in rabbit by MRI. World Rabbit Sci. 1998, 6, 231–234. [Google Scholar] [CrossRef][Green Version]
- Milisits, G.; Szendrö, Z.S.; Mihálovics, G.; Biró-Németh, E.; Radna, I.; Lévai, A. Use of the TOBEC method for predicting the body composition of growing rabbits. In Proceedings of the 7th World Rabbit Cong, Valencia, Spain, 4–7 July 2000; pp. 637–642. [Google Scholar]
- Fekete, S.; Brown, D.L. The major chemical components of the rabbit whole body measured by direct chemical analysis, deuterium oxide dilution and total body electrical conductivity. J. Vet. Nutr. 1993, 2, 23–29. [Google Scholar]
- Milisits, G.; Gyarmati, T.; Szendrö, Z.S. In vivo estimation of body fat of new-born rabbits using the TOBEC method. World Rabbit Sci. 1999, 7, 151–154. [Google Scholar] [CrossRef][Green Version]
- Swantek, P.M.; Crenshaw, J.D.; Marchello, M.J.; Lukaski, H.C. Bioelectrical impedance: A non-destructive method to determine fat-free mass of live market swine and pork carcasses. J. Anim. Sci. 1992, 70, 169–177. [Google Scholar] [CrossRef] [PubMed]
- Swantek, P.M.; Marchello, M.J.; Tilton, J.E.; Crenshaw, J.D. Prediction of fat-free mass pigs from 50 to 130 kg live weight. J. Anim. Sci. 1999, 77, 893–897. [Google Scholar] [CrossRef]
- Berg, E.P.; Marchello, M.J. Bioelectrical Impedance Analysis for the prediction of fat–free mass in lambs and lamb carcasses. J. Anim. Sci. 1994, 72, 322–329. [Google Scholar] [CrossRef]
- Marchello, M.J.; Slanger, W.D. Bioelectrical Impedance can predict skeletal muscle and fat-free skeletal muscle of beef cows and their carcass. J. Anim. Sci. 1994, 72, 3118–3123. [Google Scholar] [CrossRef][Green Version]
- Benítez-Puñal, S.; Nicodemus, N.; Saiz del Barrio, A.; García-Ruiz, A.I. Bioelectrical Impendance (BIA) to predict in vivo body composition in broiler chickens from 29 to 42 days. In Proceedings of the 26th World Poultry Cong, Paris, France, 7–11 August 2022; p. 420. [Google Scholar]
- Benítez-Puñal, S.; Nicodemus, N.; Saiz del Barrio, A.; García-Ruiz, A.I. Bioelectrical Impendance (BIA) to predict in vivo carcass composition in broiler chickens from 29 to 42 days. In Proceedings of the 26th World Poultry Cong, Paris, France, 7–11 August 2022; p. 423. [Google Scholar]
- Nicodemus, N.; Pereda, N.; Romero, C.; Rebollar, P.G. Évaluation de la technique d'impedance bioélectrique (IBE) pour estimer la composition corporelle de lapines reproductives. In Proceedings of the 13èmes Journ. Rech. Cuni, París, France, 17–18 November 2009; pp. 109–112. [Google Scholar]
- Pereda, N. Evaluación De La Técnica Del Análisis De Impedancia Bioeléctrica Para Predecir La Composición Corporal: Aplicación En Conejas Sometidas A Diferentes Sistemas De Alimentación Durante La Recría. Ph.D. Thesis, Universidad Politécnica de Madrid, Madrid, Spain, 2010. [Google Scholar]
- Saiz, A.; García-Ruiz, A.I.; Fuentes-Pila, J.; Nicodemus, N. Application of bioelectrical impedance analysis to assess rabbit’s body composition from 25 to 77 days of age. J. Anim. Sci. 2017, 95, 2782–2793. [Google Scholar] [CrossRef]
- Government of Spain. Real Decreto 53/2013, De 1 De Febrero, Por El Que Se Establecen Las Normas Básicas Aplicables Para La Protección De Los Animales Utilizados En Experimentación Y Otros Fines Científicos, Incluyendo La Docencia; Boletin Oficial del Estado, 34: 11370-11421BOE-A-2013-1337; Government of Spain: Madrid, Spain, 2013.
- De Blas, C.; Mateos, G.G. Feed Formulation. In Nutrition of the Rabbit; de Blas, C., Wiseman, J., Eds.; CABI Publ.; CAB Int.: Wallingford, UK, 2010; pp. 222–232. [Google Scholar]
- Maertens, L.; Pérez, J.M.; Villamide, M.J.; Cervera, C.; Gidenne, T.; Xiccato, G. Nutritive value of raw materials for rabbits: EGRAN tables 2002. World Rabbit Sci. 2002, 10, 157–166. [Google Scholar]
- Lukaski, H.C.; Bolonchuck, W.W.; Hall, C.B.; Siders, W.A. Validation of tetrapolar bioelectrical impedance method to assess human body composition. J. Appl. Physiol. 1985, 60, 1327–1332. [Google Scholar] [CrossRef]
- ISO. Meat and Meat Products—Determination of Moisture Content (Reference Method). Method 1442:1997. 1997. Available online: https://www.iso.org/standard/6037.html (accessed on 1 January 2010).
- AOAC. Official Methods of Analysis, 17th ed.; AOAC: Washington, DC, USA, 2000. [Google Scholar]
- Mallows, C.L. Some comments on Cp. Technometrics 1973, 15, 661–675. [Google Scholar]
- Hocking, R.R. The analysis and selection of variables in linear regression. Biometrics 1976, 32, 1–49. [Google Scholar] [CrossRef]
- Judge, G.G.; Griffiths, W.E.; Hill, R.C.; Lee, T. The Theory and Practice of Econometrics, 1st ed.; John Wiley and Sons Canada, Limited: New York, NY, USA, 1980; p. 810. [Google Scholar]
- Amemiya, T. Advanced Econometrics, 1st ed.; Harvard University Press: Cambridge, UK, 1985; p. 521. [Google Scholar]
- Akaike, H. Fitting autoregressive models for prediction. Ann. Inst. Stat. Math. 1969, 21, 243–247. [Google Scholar] [CrossRef]
- Altmann, M.; Pliquett, U.; Suess, R.; Von Borell, E. Prediction of carcass composition by impedance spectroscopy in lambs of similar weight. Meat Sci. 2005, 70, 319–327. [Google Scholar] [CrossRef]
- Kushner, R.F.; Schoeller, D.A. Estimation of total body water in bioelectrical impedance analysis. Am. J. Clin. Nutr. 1986, 44, 417–424. [Google Scholar] [CrossRef] [PubMed]
- Deurenberg, P.; Weststrate, J.A.; Paymans, I.; Van der Kooy, K. Factors affecting bioelectrical impedance measurements for assessing body composition. J. Clin. Nutr. 1988, 42, 1017–1022. [Google Scholar]
- Kushner, R.F. Bioelectrical impedance analysis: A review of principles and applications. Am. J. Clin. Nutr. 1992, 11, 199–209. [Google Scholar] [CrossRef]
- Fraga, M.J.; De Blas, J.C.; Pérez, E.; Rodríguez, J.M.; Pérez, C.J.; Gálvez, J.F. Effect of diet on chemical composition of rabbits slaughtered at fixed body weights. J. Anim. Sci. 1983, 56, 1097–1104. [Google Scholar] [CrossRef]
- Ouhayoun, J. La composition corporelle du lapin. Facteurs de variation. INRA Prod. Anim. 1989, 2, 215–226.20. [Google Scholar] [CrossRef]
- Cantier, J.; Vezinhet, A.; Rouvier, R.; Dauzier, L. Allométrie de croissance chez le lapin (Oryctolagus cuniculus). Ann. Biol. Anim. Biochim. Biophys. 1969, 1, 5–39. [Google Scholar] [CrossRef]
- Ouhayoun, J. La croissance et le developpement du lapin de chair. Cuni Sci. 1984, 1, 1–5. [Google Scholar]
- Deltoro, J.; Lopez, A.M. Allometric changes during growth in rabbits. J. Agric. Sci. 1985, 105, 339–346. [Google Scholar] [CrossRef]
- Parigi Bini, R.; Xiccato, G.; Cinetto, M.; Dalle Zotte, A. Effetto dell’eta e peso di macellazione e del sesso sulla qualita della carcassa e della carne cunicola. 2. Composizione chimica e qualitil della carne. Zoot. Nutr. Anim. 1992, 18, 173–190. [Google Scholar]
- Daza, A.; Mateos, A.; Ovejero, I.; López Bote, C.J. Prediction of body composition in Iberian pig by means of bioelectrical impedance. Meat Sci. 2006, 72, 43–46. [Google Scholar] [CrossRef] [PubMed]
- Carabaño, R.; Motta-Ferreira, W.; De Blas, J.C.; Fraga, M.J. Substitution of sugarbeet pulp for alfalfa hay in diets for growing rabbits. Anim. Feed Sci. Tech. 1997, 65, 249–256. [Google Scholar] [CrossRef]
- Motta-Ferreira, W.; Fraga, M.J.; Carabaño, R. Inclusion of grape pomace, in substitution for lucerne hay, in diets for growing rabbits. Anim. Sci. 1996, 63, 167–174. [Google Scholar] [CrossRef]
- Parigi Bini, R.; Xiccato, G. Energy metabolism and requirements. In Nutrition of the Rabbit; de Blas, C., Wiseman, J., Eds.; CABI Publ.; CAB Int.: Wallingford, UK, 1998; pp. 103–131. [Google Scholar]
- Xiccato, G.; Trocino, A. Energy and Protein Metabolism and Requirements. In Nutrition of the Rabbit; de Blas, C., Wiseman, J., Eds.; CABI Publ.; CAB Int.: Wallingford, UK, 2010; pp. 83–118. [Google Scholar]




| Diet | CLS | CON |
|---|---|---|
| Ingredient, % as-fed basis | ||
| Wheat bran | 30 | 30 |
| Barley | 16.6 | 24.3 |
| Sunflower meal | - | 11.7 |
| Alfalfa | 29.2 | 20 |
| Cereal straw | 2 | 10 |
| Soybean oil | 0.68 | 1 |
| Soybean meal 47 | 0.77 | - |
| Molasses | 4 | - |
| Whole-grain sunflower | 15 | - |
| L-Threonine | - | 0.11 |
| L-Lysine | 0.18 | 0 |
| Sodium Chloride | 0.3 | 0.6 |
| Monocalcium phosphate | 0.41 | - |
| Calcium carbonate | - | 1.5 |
| Sepiolite | - | 0.25 |
| Mineral and Vitamin premix A 1 | 0.86 | - |
| Mineral and Vitamin premix B 2 | - | 0.54 |
| Analyzed chemical composition, % | ||
| DM | 89.7 | 91.2 |
| CP | 17.1 | 15.0 |
| NDF | 32.0 | 36.3 |
| ADF | 17.6 | 19.8 |
| ADL | 4.47 | 4.74 |
| Starch | 16.9 | 16.9 |
| Fat | 3.30 | 3.30 |
| Ash | 7.31 | 7.21 |
| Digestible energy, Kcal/kg 3 | 2450 | 2354 |
| Digestible nitrogen 3 | 1.84 | 1.74 |
| SR, Ω | CVR, % | |
|---|---|---|
| Rs, Ω | 15.3 | 15.9 |
| Xc, Ω | 3.44 | 17.6 |
| Period | ADFI, g/d | ADG g/d | FCR | |
|---|---|---|---|---|
| 35–49 d | Mean | 89.1 | 44.0 | 2.02 |
| SD | 13.6 | 9.86 | 0.222 | |
| No. | 45 | 45 | 45 | |
| 49–63 d | Mean | 128 | 41.8 | 3.06 |
| SD | 20.2 | 11.6 | 1.85 | |
| No. | 30 | 30 | 30 | |
| 63–77 d | Mean | 147 | 43.0 | 3.41 |
| SD | 25.0 | 8.50 | 0.836 | |
| No. | 15 | 15 | 15 | |
| 35–77 d | Mean | 121 | 42.9 | 2.83 |
| SD | 19.6 | 5.80 | 0.267 | |
| No. | 15 | 15 | 15 |
| Age, d | SEM | p-Value Linear 1 | p-Value Quadratic 2 | |||||
|---|---|---|---|---|---|---|---|---|
| 25 | 35 | 49 | 63 | 77 | ||||
| BW, g | 370 | 634 | 1219 | 1912 | 2930 | 53.2 | 0.21 | <0.001 |
| CW, g | 228 | 292 | 588 | 1025 | 1838 | 7.80 | <0.001 | <0.001 |
| CY, % | 64.3 | 45.7 | 48.1 | 53.6 | 62.8 | 2.81 | <0.001 | <0.001 |
| Carcass chemical composition, %DM | ||||||||
| Water, % | 71.6 | 72.1 | 70.0 | 67.5 | 64.1 | 0.47 | 0.087 | <0.001 |
| Protein | 59.7 | 61.5 | 61.3 | 57.5 | 49.4 | 0.90 | <0.001 | <0.001 |
| Fat | 19.6 | 19.0 | 23.0 | 28.3 | 34.3 | 1.10 | 0.20 | 0.005 |
| Ash | 16.8 | 18.5 | 15.8 | 14.2 | 11.5 | 0.53 | 0.033 | 0.001 |
| GE 3, kJ/100 g DM | 2054 | 1980 | 2117 | 2333 | 2557 | 30.7 | 0.006 | <0.001 |
| Carcass chemical composition, g | ||||||||
| Water | 164 | 210 | 411 | 691 | 1176 | 18.7 | <0.001 | <0.001 |
| Protein | 38.4 | 50.5 | 108 | 191 | 325 | 5.78 | <0.001 | <0.001 |
| Fat | 12.7 | 15.9 | 41.5 | 96.5 | 230 | 7.88 | <0.001 | <0.001 |
| Ash | 10.6 | 14.9 | 27.5 | 47.1 | 75.0 | 1.36 | <0.001 | <0.001 |
| GE 3, MJ | 1.32 | 1.63 | 3.78 | 7.84 | 17.0 | 0.40 | <0.001 | <0.001 |
| MLR | |||
|---|---|---|---|
| R2 | MPE 1 | RMPE 1, % | |
| Chemical carcass composition, %DM | |||
| Water | 0.79 | 1.14 | 1.66 |
| Protein | 0.68 | 1.85 | 3.22 |
| Ash | 0.66 | 0.89 | 5.82 |
| Fat | 0.75 | 2.60 | 10.5 |
| Energy, kJ/100 g DM | 0.82 | 56.1 | 2.54 |
| Chemical carcass composition, g | |||
| Water | 0.99 | 21.9 | 4.20 |
| Protein | 0.99 | 1.83 | 5.48 |
| Ash | 0.96 | 3.33 | 9.10 |
| Fat | 0.95 | 16.2 | 21.9 |
| Energy, MJ | 0.98 | 0.47 | 6.77 |
| Carcass yield, % | 0.50 | 5.46 | 10.0 |
| Analyzed | Predicted by MLR | p-Value | |
|---|---|---|---|
| Chemical carcass composition, %DM | |||
| Water, % | 68.7 (3.32) | 69.1 (3.58) | 0.42 |
| Protein | 57.6 (4.96) | 57.4 (5.08) | 0.87 |
| Ash | 15.4 (2.38) | 15.3 (2.53 | 0.88 |
| Fat | 24.7 (5.63) | 25.5 (6.97) | 0.44 |
| Energy, kJ/100 g DM | 2206 (210) | 2215 (219) | 0.70 |
| Chemical carcass composition, g | |||
| Water | 523 (3.96) | 520 (382) | 0.74 |
| Protein | 143 (114) | 139 (108) | 0.26 |
| Ash | 36.6 (27.9) | 34.3 (23.9) | 0.08 |
| Fat | 74.1 (73.4) | 82.1 (90.9) | 0.24 |
| Energy, MJ | 6.16 (5.73) | 6.29 (6.04) | 0.49 |
| Carcass yield, % | 54.3 (6.73) | 54.3 (5.47) | 0.88 |
| Period | ||||
|---|---|---|---|---|
| Digestible N intake, g/d | 35−49 d | 1.44 (0.22) | ||
| 49−63 d | 2.57 (0.43) | |||
| 35−63 d | 1.97 (0.32) | |||
| Digestible E intake, kcal/d | 35−49 d | 196 (29.8) | ||
| 49−63 d | 340 (57.5) | |||
| 35−63 d | 268 (43.6) | |||
| Average daily gain, g/d | 35−49 d | 41.1 (9.21) | ||
| 49−63 d | 51.1 (10.2) | |||
| 35−63 d | 45.5 (9.70) | |||
| Parameter | Period | Analyzed 1 | Predicted 2 | p |
| Nitrogen retention, g/d | 35−49 d | 0.654 (0.13) | 0.675 (0.13) | 0.30 |
| 49−63 d | 0.896 (0.15) | 0.867 (0.12) | 0.25 | |
| 35−63 d | 0.770 (0.14) | 0.771 (0.13) | 0.10 | |
| Fat retention, g/d | 35−49 d | 2.73 (0.50) | 1.93 (0.72) | 0.10 |
| 49−63 d | 4.51 (0.48) | 4.33 (1.66) | 0.21 | |
| 35−63 d | 3.62 (0.49) | 3.13 (1.19) | 0.15 | |
| Energy retention, kcal/d | 35−49 d | 35.8 (6.85) | 40.1 (10.3) | 0.45 |
| 49−63 d | 75.6 (9.35) | 71.4 (12.9) | 0.36 | |
| 35−63 d | 55.7 (8.10) | 55.8 (11.6 | 0.15 | |
| NRE, % 3 | 35−49 d | 45.4 (13.9) | 46.9 (11.7) | 0.13 |
| 49−63 d | 35.7 (7.63) | 34.5 (7.32) | 0.35 | |
| 35−63 d | 39.1 (4.11) | 39.1 (3.23) | 0.20 | |
| ERE, % 3 | 35−49 d | 18.2 (5.35) | 20.4 (7.29) | 0.15 |
| 49−63 d | 22.2 (3.51) | 21.0 (4.18) | 0.22 | |
| 35−63 d | 20.7 (1.85) | 20.8 (2.79) | 0.19 |
Publisher’s Note: MDPI stays neutral with regard to jurisdictional claims in published maps and institutional affiliations. |
© 2022 by the authors. Licensee MDPI, Basel, Switzerland. This article is an open access article distributed under the terms and conditions of the Creative Commons Attribution (CC BY) license (https://creativecommons.org/licenses/by/4.0/).
Share and Cite
Saiz del Barrio, A.; García-Ruiz, A.I.; Fuentes-Pila, J.; Nicodemus, N. Application of Bioelectrical Impedance Analysis (BIA) to Assess Carcass Composition and Nutrient Retention in Rabbits from 25 to 77 Days of Age. Animals 2022, 12, 2926. https://doi.org/10.3390/ani12212926
Saiz del Barrio A, García-Ruiz AI, Fuentes-Pila J, Nicodemus N. Application of Bioelectrical Impedance Analysis (BIA) to Assess Carcass Composition and Nutrient Retention in Rabbits from 25 to 77 Days of Age. Animals. 2022; 12(21):2926. https://doi.org/10.3390/ani12212926
Chicago/Turabian StyleSaiz del Barrio, Alejandro, Ana Isabel García-Ruiz, Joaquín Fuentes-Pila, and Nuria Nicodemus. 2022. "Application of Bioelectrical Impedance Analysis (BIA) to Assess Carcass Composition and Nutrient Retention in Rabbits from 25 to 77 Days of Age" Animals 12, no. 21: 2926. https://doi.org/10.3390/ani12212926
APA StyleSaiz del Barrio, A., García-Ruiz, A. I., Fuentes-Pila, J., & Nicodemus, N. (2022). Application of Bioelectrical Impedance Analysis (BIA) to Assess Carcass Composition and Nutrient Retention in Rabbits from 25 to 77 Days of Age. Animals, 12(21), 2926. https://doi.org/10.3390/ani12212926

