A Comparison of Methods to Maintain the Equine Cecal Microbial Environment In Vitro Utilizing Cecal and Fecal Material
Abstract
Simple Summary
Abstract
1. Introduction
2. Materials and Methods
2.1. Sample Collection
2.2. Chemostat and Anaerobic Vessel Establishment and Sampling
2.3. Microbiome and Metabolite Sample and Data Preparation
2.4. Statistical Analysis
2.5. Microbiome Analysis
2.6. Metabolite Analysis
3. Results
3.1. pH
3.2. Microbiome
3.2.1. Sequence Analysis
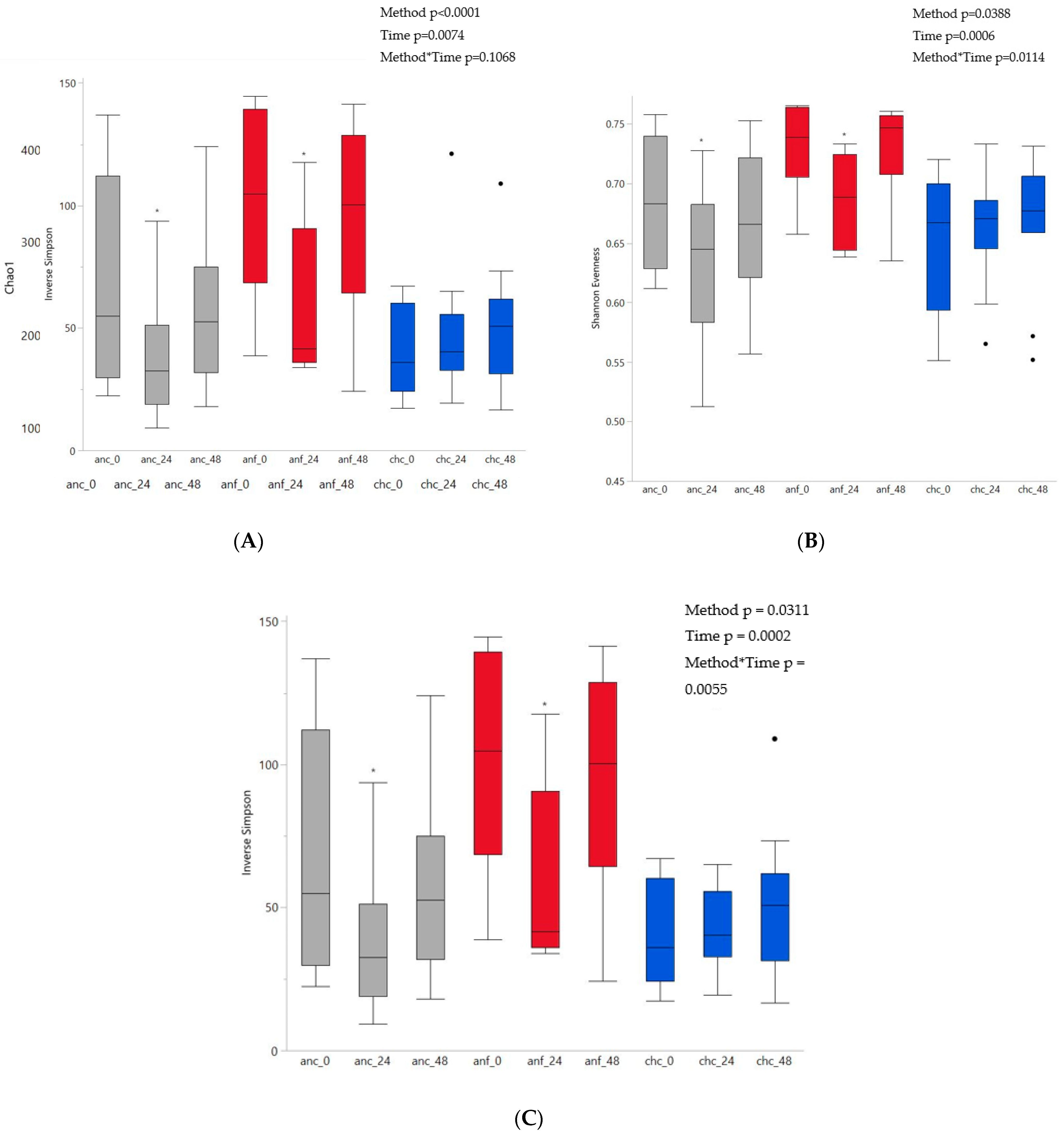
3.2.2. Alpha Diversity
3.2.3. Beta Diversity
3.2.4. Taxonomic Data
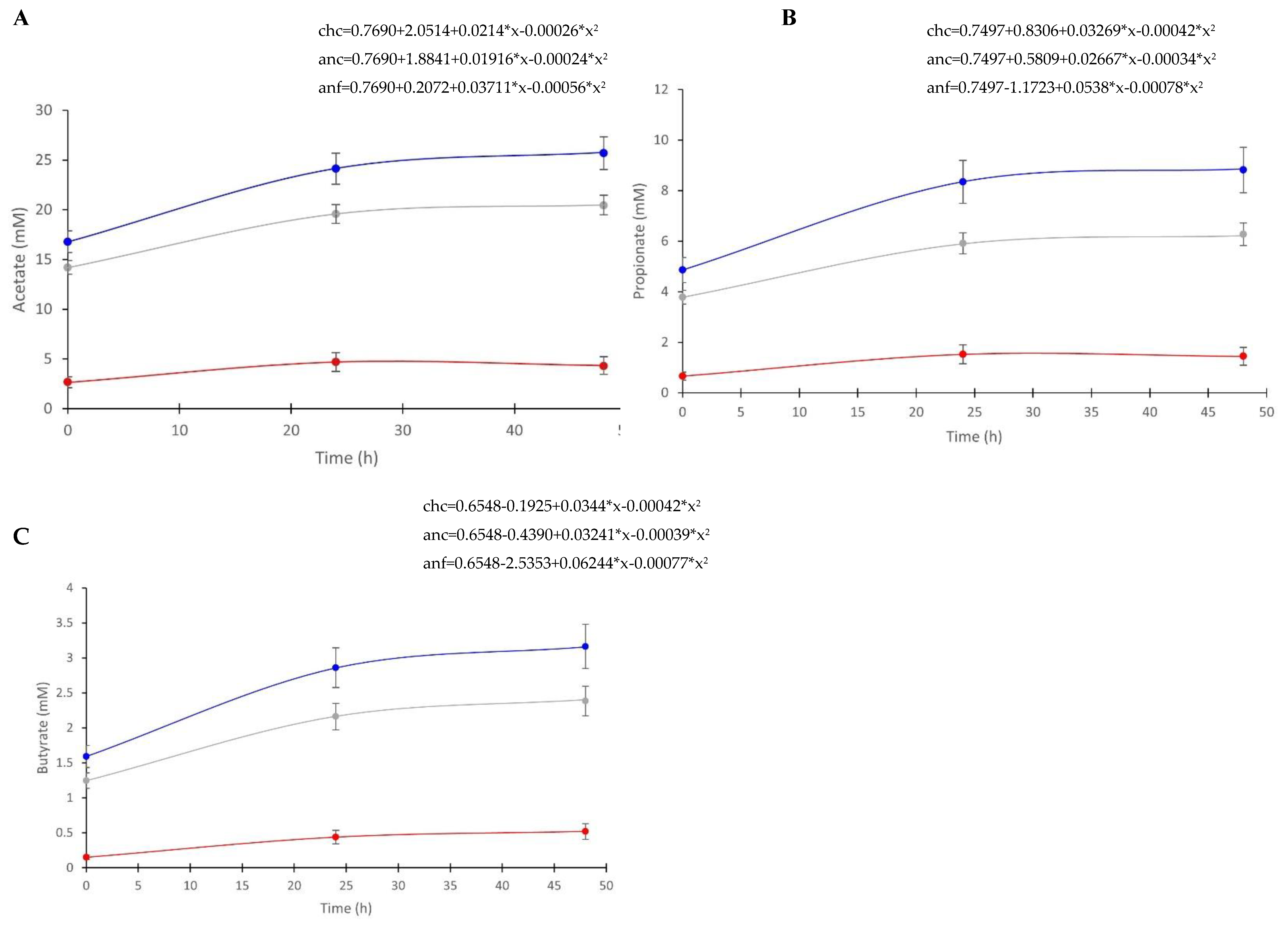
3.3. Metabolites
4. Discussion
5. Conclusions
Author Contributions
Funding
Data Availability Statement
Acknowledgments
Conflicts of Interest
References
- Geor, R.J.; Harris, P.A.; Coenen, M. Equine Applied and Clinical Nutrition: Health, Welfare and Performance; Saunder: Philadelphia, PA, USA, 2013; ISBN 9780702034220. [Google Scholar]
- Glinsky, M.J.; Smith, R.M.; Spires, H.R.; Davis, C.L. Measurement of Volatile Fatty Acid Production Rates in the Cecum of the Pony. J. Anim. Sci. 1976, 42, 1465–1470. [Google Scholar] [CrossRef] [PubMed]
- Firouzabadi, M.S.S.; Hajikolaei, M.R.H.; Baniadam, A.; Mashhadi, A.R.G.; Ghorbanpoor, M. Cecal Cannulation in Horse; An Experimental Study. Iran. J. Vet. Med. 2017, 11, 353–360. [Google Scholar]
- Lowe, J.E.; Hintz, H.F.; Schryver, H.F. A New Technique for Long-Term Cecal Fistulation in Ponies. Am. J. Vet. Res. 1970, 31, 1109–1111. [Google Scholar] [PubMed]
- Venable, E.B.; Reed, S.K.; Jacobs, R.D.; Jerina, M.L.; Gordon, M.E. Development and Management of a Cannulated Horse Herd. J. Equine Vet. Sci. 2017, 52, 55–56. [Google Scholar] [CrossRef]
- Beard, W.L.; Slough, T.L.; Gunkel, C.D. Technical Note: A 2-Stage Cecal Cannulation Technique in Standing Horses. J. Anim. Sci. 2011, 89, 2425–2429. [Google Scholar] [CrossRef] [PubMed]
- Dunkley, K.D.; Dunkley, C.S.; Njongmeta, N.L.; Callaway, T.R.; Hume, M.E.; Kubena, L.F.; Nisbet, D.J.; Ricke, S.C. Comparison of In Vitro Fermentation and Molecular Microbial Profiles of High-Fiber Feed Substrates Incubated with Chicken Cecal Inocula. Poult. Sci. 2007, 86, 801–810. [Google Scholar] [CrossRef]
- Donalson, L.M.; Kim, W.K.; Chalova, V.I.; Herrera, P.; McReynolds, J.L.; Gotcheva, V.G.; Vidanović, D.; Woodward, C.L.; Kubena, L.F.; Nisbet, D.J.; et al. In Vitro Fermentation Response of Laying Hen Cecal Bacteria to Combinations of Fructooligosaccharide Prebiotics with Alfalfa or a Layer Ration. Poult. Sci. 2008, 87, 1263–1275. [Google Scholar] [CrossRef]
- Busquet, M.; Calsamiglia, S.; Ferret, A.; Kamel, C. Plant Extracts Affect In Vitro Rumen Microbial Fermentation. J. Dairy Sci. 2006, 89, 761–771. [Google Scholar] [CrossRef]
- Cardozo, P.W.; Calsamiglia, S.; Ferret, A.; Kamel, C. Screening for the Effects of Natural Plant Extracts at Different PH on in Vitro Rumen Microbial Fermentation of a High-Concentrate Diet for Beef Cattle. J. Anim. Sci. 2005, 83, 2572–2579. [Google Scholar] [CrossRef]
- Lowman, R.S.; Theodorou, M.K.; Hyslop, J.J.; Dhanoa, M.S.; Cuddeford, D. Evulation of an in Vitro Batch Culture Technique for Estimating the in Vivo Digestibility and Digestible Energy Content of Equine Feeds Using Equine Faeces as the Source of Microbial Inoculum. Anim. Feed Sci. Technol. 1999, 80, 11–27. [Google Scholar] [CrossRef]
- Abdouli, H.; Attia, S. Ben Evaluation of a Two-Stage in Vitro Technique for Estimating Digestibility of Equine Feeds Using Horse Faeces as the Source of Microbial Inoculum. Anim. Feed Sci. Technol. 2007, 132, 155–162. [Google Scholar] [CrossRef]
- Deneka, N.; Canb, A. Use of Faecel Fluid for Dry Matter Digestibility of Ruminant Feeds. J. Appl. Anim. Res. 2007, 31, 29–32. [Google Scholar] [CrossRef]
- O’donnell, D.; Sukovaty, L.; Webb, G. Impact of Storage Conditions on Equine Fecal Inoculum for Estimating In Vitro Digestibility. Animals 2021, 11, 3195. [Google Scholar] [CrossRef] [PubMed]
- Lester, G.D.; Merritt, A.M.; Neuwirth, L.; Vetro-Widenhouse, T.; Steible, C.; Rice, B.; Mauragis, D.F.; Madison, J.B. Myoelectric Activity of the Ileum, Cecum, and Right Ventral Colon, and Cecal Emptying of Radiolabeled Markers in Clinically Normal Ponies. Am. J. Vet. Res. 1998, 59, 313–319. [Google Scholar]
- Argenzio, R.A.; Southworth, M.; Stevens, C.E. Sites of Organic Acid Production and Absorption in the Equine Gastrointestinal Tract. Am. J. Physiol. 1974, 226, 1043–1050. [Google Scholar] [CrossRef]
- Argenzio, R.; Lowe, J.; Pickard, D.; Stevens, C. Digesta Passage and Water Exchange in the Equine Large Intestine. Am. J. Physiol. 1974, 226, 1035–1042. [Google Scholar] [CrossRef]
- Argenzio, R.A.; Southworth, M.; Lowe, J.E.; Stevens, C.E. Interrelationship of Na, HCO3, and Volatile Fatty Acid Transport by Equine Large Intestine. Am. J. Physiol. Endocrinol. Metab. Gastrointest. Physiol. 1977, 2, e469. [Google Scholar] [CrossRef]
- Ericsson, A.C.; Johnson, P.J.; Lopes, M.A.; Perry, S.C.; Lanter, H.R. A Microbiological Map of the Healthy Equine Gastrointestinal Tract. PLoS ONE 2016, 11, e0166523. [Google Scholar] [CrossRef]
- Costa, M.C.; Silva, G.; Ramos, R.V.; Staempfli, H.R.; Arroyo, L.G.; Kim, P.; Weese, J.S. Characterization and Comparison of the Bacterial Microbiota in Different Gastrointestinal Tract Compartments in Horses. Vet. J. 2015, 205, 74–80. [Google Scholar] [CrossRef]
- Fliegerova, K.; Mura, E.; Mrázek, J.; Moniello, G. A Comparison of Microbial Profiles of Different Regions of the Equine Hindgut. Livest. Sci. 2016, 190, 16–19. [Google Scholar] [CrossRef]
- Ganobis, C.M.; Al-Abdul-Wahid, M.S.; Renwick, S.; Yen, S.; Carriero, C.; Aucoin, M.G.; Allen-Vercoe, E. 1D 1 H NMR as a Tool for Fecal Metabolomics. Curr. Protoc. Chem. Biol. 2020, 12, e83. [Google Scholar] [CrossRef] [PubMed]
- Song, S.J.; Amir, A.; Metcalf, J.L.; Amato, K.R.; Xu, Z.Z.; Humphrey, G.; Knight, R. Preservation Methods Differ in Fecal Microbiome Stability, Affecting Suitability for Field Studies. mSystems 2016, 1, e00021-16. [Google Scholar] [CrossRef] [PubMed]
- Vogtmann, E.; Chen, J.; Amir, A.; Shi, J.; Abnet, C.C.; Nelson, H.; Knight, R.; Chia, N.; Sinha, R. Comparison of Collection Methods for Fecal Samples in Microbiome Studies. In Proceedings of the American Journal of Epidemiology; Oxford University Press: New York, NY, USA, 2017; Volume 185, pp. 115–123. [Google Scholar]
- Hale, V.L.; Tan, C.L.; Knight, R.; Amato, K.R. Effect of Preservation Method on Spider Monkey (Ateles Geoffroyi) Fecal Microbiota over 8 Weeks. J. Microbiol. Methods 2015, 113, 16–26. [Google Scholar] [CrossRef] [PubMed]
- Walters, W.; Hyde, E.R.; Berg-Lyons, D.; Ackermann, G.; Humphrey, G.; Parada, A.; Gilbert, J.A.; Jansson, J.K.; Caporaso, J.G.; Fuhrman, J.A.; et al. Improved Bacterial 16S RRNA Gene (V4 and V4-5) and Fungal Internal Transcribed Spacer Marker Gene Primers for Microbial Community Surveys. mSystems 2016, 1, e00009-15. [Google Scholar] [CrossRef]
- Schloss, P.D.; Westcott, S.L.; Ryabin, T.; Hall, J.R.; Hartmann, M.; Hollister, E.B.; Lesniewski, R.A.; Oakley, B.B.; Parks, D.H.; Robinson, C.J.; et al. Introducing Mothur: Open-Source, Platform-Independent, Community-Supported Software for Describing and Comparing Microbial Communities. Appl. Environ. Microbiol. 2009, 75, 7537–7541. [Google Scholar] [CrossRef]
- Kozich, J.J.; Westcott, S.L.; Baxter, N.T.; Highlander, S.K.; Schloss, P.D. Development of a Dual-Index Sequencing Strategy and Curation Pipeline for Analyzing Amplicon Sequence Data on the Miseq Illumina Sequencing Platform. Appl. Environ. Microbiol. 2013, 79, 5112–5120. [Google Scholar] [CrossRef]
- Wang, Q.; Garrity, G.M.; Tiedje, J.M.; Cole, J.R. Naïve Bayesian Classifier for Rapid Assignment of RRNA Sequences into the New Bacterial Taxonomy. Appl. Environ. Microbiol. 2007, 73, 5261–5267. [Google Scholar] [CrossRef]
- Earing, J.E.; Cassill, B.D.; Hayes, S.H.; Vanzant, E.S.; Lawrence, L.M. Comparison of in Vitro Digestibility Estimates Using the DaisyII Incubator with in Vivo Digestibility Estimates in Horses. J. Anim. Sci. 2010, 88, 3954–3963. [Google Scholar] [CrossRef]
- Moya, A.; Ferrer, M. Functional Redundancy-Induced Stability of Gut Microbiota Subjected to Disturbance. Trends Microbiol. 2016, 24, 402–413. [Google Scholar] [CrossRef]
- Bailey, S.R.; Baillon, M.L.; Rycroft, A.N.; Harris, P.A.; Elliott, J. Identification of Equine Cecal Bacteria Producing Amines in an in Vitro Model of Carbohydrate Overload. Appl. Environ. Microbiol. 2003, 69, 2087–2093. [Google Scholar] [CrossRef]
- Biddle, A.S.; Black, S.J.; Blanchard, J.L. An In Vitro Model of the Horse Gut Microbiome Enables Identification of Lactate-Utilizing Bacteria That Differentially Respond to Starch Induction. PLoS ONE 2013, 8, e77599. [Google Scholar] [CrossRef] [PubMed]
- Salem, S.E.; Maddox, T.W.; Berg, A.; Antczak, P.; Ketley, J.M.; Williams, N.J.; Archer, D.C. Variation in Faecal Microbiota in a Group of Horses Managed at Pasture over a 12-Month Period. Sci. Rep. 2018, 8, 1–10. [Google Scholar] [CrossRef] [PubMed]
- Garber, A.; Hastie, P.; Murray, J.A. Factors Influencing Equine Gut Microbiota: Current Knowledge. J. Equine Vet. Sci. 2020, 88, 102943. [Google Scholar] [CrossRef] [PubMed]
- Blackmore, T.M.; Dugdale, A.; Argo, C.M.G.; Curtis, G.; Pinloche, E.; Harris, P.A.; Worgan, H.J.; Girdwood, S.E.; Dougal, K.; Newbold, C.J.; et al. Strong Stability and Host Specific Bacterial Community in Faeces of Ponies. PLoS ONE 2013, 8, e75079. [Google Scholar] [CrossRef][Green Version]
- Proudman, C.J.; Hunter, J.O.; Darby, A.C.; Escalona, E.E.; Batty, C.; Turner, C. Characterisation of the Faecal Metabolome and Microbiome of Thoroughbred Racehorses. Equine Vet. J. 2015, 47, 580–586. [Google Scholar] [CrossRef]
- Bailey, S.R.; Rycroft, A.; Elliott, J. Production of Amines in Equine Cecal Contents in an in Vitro Model of Carbohydrate Overload. J. Anim. Sci. 2002, 80, 2656–2662. [Google Scholar] [CrossRef]
- Poeikhampha, T.; Bunchasak, C. Effect of Sodium Gluconate on PH Value, Ammonia and Short Chain Fatty Acids Concentration in Batch Culture of Porcine Cecal Digesta. J. Appl. Sci. 2010, 10, 1471–1475. [Google Scholar] [CrossRef][Green Version]
- Sakata, T.; Kojima, T.; Fujieda, M.; Miyakozawa, M.; Takahashi, M.; Ushida, K. Probiotic Preparations Dose-Dependently Increase Net Production Rates of Organic Acids and Decrease That of Ammonia by Pig Cecal Bacteria in Batch Culture. Dig. Dis. Sci. 1999, 44, 1485–1493. [Google Scholar] [CrossRef]
- Murray, J.A.M.D.; McMullin, P.; Handel, I.; Hastie, P.M. The Effect of Freezing on the Fermentative Activity of Equine Faecal Inocula for Use in an in Vitro Gas Production Technique. Anim. Feed Sci. Technol. 2012, 178, 175–182. [Google Scholar] [CrossRef]
- Penfold, W.J. On the Nature of Bacterial Lag. Epidemiol. Infect. 1914, 14, 215–241. [Google Scholar] [CrossRef]
- Duncan, S.H.; Louis, P.; Thomson, J.M.; Flint, H.J. The Role of PH in Determining the Species Composition of the Human Colonic Microbiota. Environ. Microbiol. 2009, 11, 2112–2122. [Google Scholar] [CrossRef] [PubMed]
- Walker, A.W.; Duncan, S.H.; Carol McWilliam Leitch, E.; Child, M.W.; Flint, H.J. PH and Peptide Supply Can Radically Alter Bacterial Populations and Short-Chain Fatty Acid Ratios within Microbial Communities from the Human Colon. Appl. Environ. Microbiol. 2005, 71, 3692. [Google Scholar] [CrossRef] [PubMed]
- Busquet, M.; Calsamiglia, S.; Ferret, A.; Kamel, C. Screening for Effects of Plant Extracts and Active Compounds of Plants on Dairy Cattle Rumen Microbial Fermentation in a Continuous Culture System. Anim. Feed Sci. Technol. 2005, 123, 597–613. [Google Scholar] [CrossRef]
- Hoover, W.H.; Knowlton, P.H.; Stern, M.D.; Sniffen, C.J. Effects of Differential Solid-Liquid Removal Rates on Fermentation Parameters in Continuous Cultures of Rumen Contents. J. Anim. Sci. 1976, 43, 535–542. [Google Scholar] [CrossRef]
- Ale, M.T.; Pinelo, M.; Meyer, A.S. Assessing Effects and Interactions among Key Variables Affecting the Growth of Mixotrophic Microalgae: PH, Inoculum Volume, and Growth Medium Composition. Prep. Biochem. Biotechnol. 2014, 44, 242–256. [Google Scholar] [CrossRef]
- Moorhead, K.K.; Nordstedt, R.A. Batch Anaerobic Digestion of Water Hyacinth: Effects of Particle Size, Plant Nitrogen Content, and Inoculum Volume. Bioresour. Technol. 1993, 44, 71–76. [Google Scholar] [CrossRef]
- Bonhomme, A. Attachment of Horse Cecal Bacteria to Forage Cell Walls. Nihon Juigaku Zasshi. 1986, 48, 313–322. [Google Scholar] [CrossRef]




| Method | Anaerobic Cecal | Anaerobic Fecal | Chemostat Cecal | ||||||||
|---|---|---|---|---|---|---|---|---|---|---|---|
| Time | 0 h | 24 h | 48 h | 0 h | 24 h | 48 h | 0 h | 24 h | 48 h | ||
| % Relative abundance | |||||||||||
| Phyla | Order | Genera | |||||||||
| Actinobacteria | 0.54 | 1.31 | 1.28 | 0.33 | 0.71 | 0.71 | 0.90 | 1.02 | 1.32 | ||
| Bacteroidetes | |||||||||||
| Bacteroidales | 20.66 | 15.71 | 16.67 | 8.83 | 6.9 | 7.47 | 19.33 | 15.44 | 13.08 | ||
| Bacteroides | 0.09 | 0.22 | 0.82 | 0.13 | 0.93 | 1.40 | 0.08 | 0.32 | 0.78 | ||
| Prevotella | 2.63 | 1.60 | 1.39 | 0.69 | 0.56 | 0.35 | 1.87 | 0.99 | 0.33 | ||
| Prevotellaceae_unclassified | 3.6 | 0.62 | 0.62 | 0.8 | 0.24 | 0.50 | 2.21 | 0.49 | 0.28 | ||
| Firmicutes | 34.18 | 38.03 | 39.88 | 29.36 | 38.68 | 43.77 | 38.2 | 40.66 | 43.97 | ||
| Lactobacillales | 0.16 | 0.3 | 0.30 | 0.09 | 1.32 | 0.67 | 0.23 | 0.21 | 0.26 | ||
| Selenomonadales | 3.04 | 4.26 | 3.61 | 1.65 | 4.00 | 3.17 | 4.28 | 2.76 | 2.56 | ||
| Phascolarctobacterium | 2.63 | 3.55 | 3.03 | 1.23 | 2.33 | 2.38 | 3.52 | 2.33 | 2.21 | ||
| Clostridiales | |||||||||||
| Lachnospiraceae_unclassified | 8.94 | 7.81 | 8.21 | 5.92 | 9.05 | 12.86 | 10.6 | 10.95 | 11.01 | ||
| Fibrobacteria | |||||||||||
| Fibrobacterales | 0.44 | 0.12 | 0.34 | 1.29 | 0.04 | 0.15 | 0.16 | 0.69 | 0.33 | ||
| Fusobacteria | 0.04 | 0.34 | 0.43 | 0.05 | 2.39 | 1.80 | 0.05 A | 0.22 | 0.26 | ||
| Proteobacteria | 3.11 | 6.17 | 3.78 | 1.77 | 7.95 | 3.45 | 3.59 | 2.54 | 2.6 | ||
| Enterobacterales | 0.04 | 0.20 | 0.26 | 0.02 | 3.01 | 0.82 | 0.04 | 0.09 | 0.13 | ||
| Pasteurellales | 0.07 | 0.16 | 0.10 | 0.01 | 0.54 | 0.12 | 0.07 | 0.07 | 0.05 | ||
| Subdivision5 | |||||||||||
| Subdivision5_unclassified | 0.30 | 0.33 | 0.33 | 5.17 | 4.76 | 2.80 | 0.47 | 0.30 | 0.30 | ||
| Spirochaetes | |||||||||||
| Spirochaetales | 1.08 | 0.64 | 1.37 | 1.51 | 0.86 | 2.20 | 1.06 | 2.98 | 3.86 | ||
| Treponema | 1.03 | 0.62 | 1.32 | 1.46 | 0.83 | 2.11 | 1.00 | 2.91 | 3.76 | ||
| Verrucomicrobia | |||||||||||
| Verrucomicrobiales | 3.95 | 5.42 | 2.37 | 1.61 | 5.98 | 2.75 | 5.12 | 2.54 | 2.12 | ||
| Akkermansia | 3.79 | 5.29 | 2.3 | 0.26 | 0.66 | 0.44 | 4.98 | 2.46 | 2.05 | ||
| Metabolite (mM) | Time (h) | ||
|---|---|---|---|
| 0 | 24 | 48 | |
| Acetate | |||
| anaerobic cecal | 14.20 ± 0.7 aA | 19.57 ± 0.9 bA | 20.42 ± 1.0 bA |
| chemostat cecal | 16.78 ± 1.1 aB | 24.13 ± 1.6 bB | 25.69 ± 1.7 bB |
| anaerobic fecal | 2.65 ± 0.5 aC | 4.67 ± 1.0 bC | 4.3 ± 0.9 bC |
| Butyrate | |||
| anaerobic cecal | 1.25 ± 0.1 aA | 2.16 ± 0.2 bA | 2.38 ± 0.2 bA |
| chemostat cecal | 1.59 ± 0.2 aB | 2.86 ± 0.3 bB | 3.16 ± 0.3 bB |
| anaerobic fecal | 0.15 ± 0.03 aC | 0.44 ± 0.10 bC | 0.52 ± 0.11 bC |
| Propionate | |||
| anaerobic cecal | 3.78 ± 0.3 aA | 5.91 ± 0.4 bA | 6.3 ± 0.4 bA |
| chemostat cecal | 4.86 ± 0.5 aB | 8.35 ± 0.9 bB | 8.82 ± 0.9 bB |
| anaerobic fecal | 0.66 ± 0.2 aC | 1.52 ± 0.4 bC | 1.44 ± 0.3 bC |
| Valerate | |||
| anaerobic cecal | 0.327 ± 0.03 aA | 0.560 ± 0.06 bA | 0.581 ± 0.06 bA |
| chemostat cecal | 0.410 ± 0.05 aA | 0.753 ± 0.10 bB | 0.814 ± 0.10 bB |
| anaerobic fecal | 0.056 ± 0.02 aB | 0.090 ± 0.03 bC | 0.124 ± 0.05 cC |
| Isovalerate | |||
| anaerobic cecal | 0.294 ± 0.02 aA | 0.501 ± 0.04 bA | 0.539 ± 0.04 bA |
| chemostat cecal | 0.374 ± 0.03 aB | 0.636 ± 0.06 bB | 0.678 ± 0.06 bB |
| anaerobic fecal | 0.027 ± 0.009 aC | 0.046 ± 0.02 bC | 0.061 ± 0.02 cC |
| Isobutyrate | |||
| anaerobic cecal | 0.431 ± 0.04 aA | 0.734 ± 0.07 bA | 0.795 ± 0.07 bA |
| chemostat cecal | 0.508 ± 0.05 aA | 0.882 ± 0.08 bA | 0.950 ± 0.09 bA |
| anaerobic fecal | 0.051 ± 0.01 aB | 0.056 ± 0.01 aB | 0.091 ± 0.02 bB |
| Phenylacetate | |||
| anaerobic cecal | 0.147 ± 0.02 aA | 0.264 ± 0.03 bA | 0.265 ± 0.03 bA |
| chemostat cecal | 0.197 ± 0.03 aA | 0.308 ± 0.04 bA | 0.329 ± 0.04 bA |
| anaerobic fecal | 0.024 ± 0.006 aB | 0.023 ± 0.006 aB | 0.034 ± 0.008 aB |
| 3-phenylpropionate | |||
| anaerobic cecal | 0.062 ± 0.01 aA | 0.127 ± 0.02 bA | 0.151 ± 0.02 bA |
| chemostat cecal | 0.080 ± 0.02 aA | 0.200 ± 0.04 bA | 0.208 ± 0.04 bA |
| anaerobic fecal | 0.017 ± 0.006 aB | 0.018 ± 0.007 aB | 0.019 ± 0.007 aB |
Publisher’s Note: MDPI stays neutral with regard to jurisdictional claims in published maps and institutional affiliations. |
© 2022 by the authors. Licensee MDPI, Basel, Switzerland. This article is an open access article distributed under the terms and conditions of the Creative Commons Attribution (CC BY) license (https://creativecommons.org/licenses/by/4.0/).
Share and Cite
MacNicol, J.L.; Renwick, S.; Ganobis, C.M.; Allen-Vercoe, E.; Weese, J.S.; Pearson, W. A Comparison of Methods to Maintain the Equine Cecal Microbial Environment In Vitro Utilizing Cecal and Fecal Material. Animals 2022, 12, 2009. https://doi.org/10.3390/ani12152009
MacNicol JL, Renwick S, Ganobis CM, Allen-Vercoe E, Weese JS, Pearson W. A Comparison of Methods to Maintain the Equine Cecal Microbial Environment In Vitro Utilizing Cecal and Fecal Material. Animals. 2022; 12(15):2009. https://doi.org/10.3390/ani12152009
Chicago/Turabian StyleMacNicol, Jennifer L., Simone Renwick, Caroline M. Ganobis, Emma Allen-Vercoe, Jeffery Scott Weese, and Wendy Pearson. 2022. "A Comparison of Methods to Maintain the Equine Cecal Microbial Environment In Vitro Utilizing Cecal and Fecal Material" Animals 12, no. 15: 2009. https://doi.org/10.3390/ani12152009
APA StyleMacNicol, J. L., Renwick, S., Ganobis, C. M., Allen-Vercoe, E., Weese, J. S., & Pearson, W. (2022). A Comparison of Methods to Maintain the Equine Cecal Microbial Environment In Vitro Utilizing Cecal and Fecal Material. Animals, 12(15), 2009. https://doi.org/10.3390/ani12152009

