Concentrations of Fat, Protein, Lactose, Macro and Trace Minerals in Alpaca Colostrum and Milk at Different Lactation Stages
Abstract
:Simple Summary
Abstract
1. Introduction
- The composition of colostrum from alpacas changes within the four day colostral period after parturition.
- The composition of milk changes according to the lactation status in alpaca mares.
- The composition of alpaca colostrum and milk differs in certain indicators from ruminant milk which supports the development of species specific colostrum and milk replacers.
2. Materials and Methods
2.1. Animals and Sampling Procedures
2.1.1. Alpacas for Colostrum Sampling
2.1.2. Alpacas for Milk Sampling
2.1.3. Sample Preparation
2.2. Laboratory Analyses
2.2.1. Analyses of Milk Fat, Protein, and Lactose Concentration
2.2.2. Analyses of Macro and Trace Minerals
2.3. Statistical Analyses
3. Results
3.1. Colostrum and Milk Volume
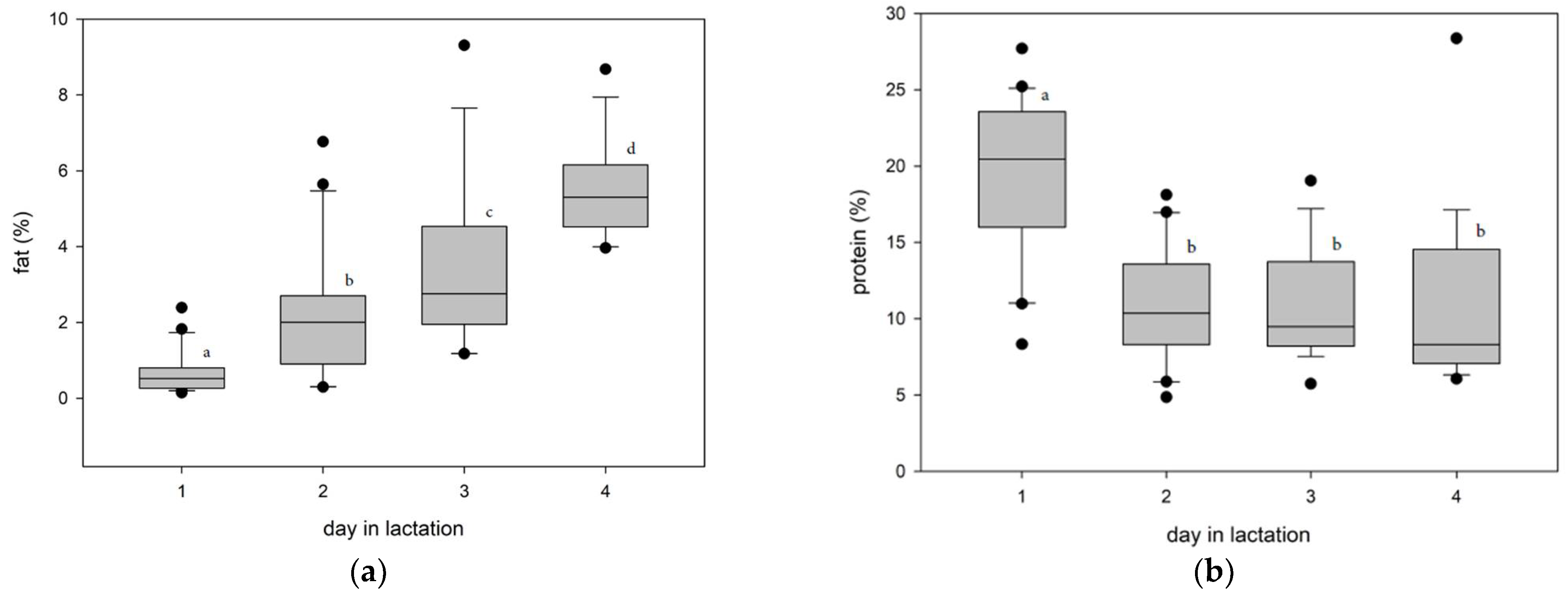
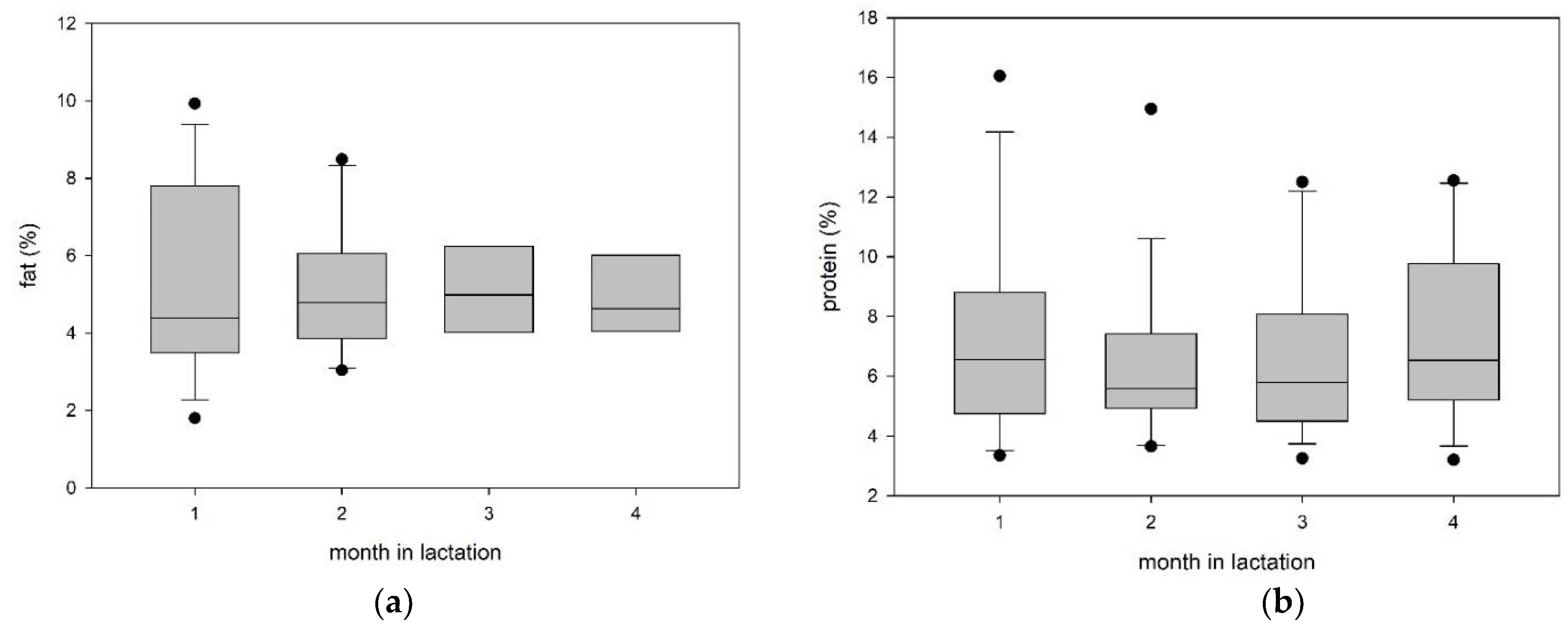
3.2. Fat, Protein, and Lactose Concentrations in Colostrum and Milk
3.3. Mineral Concentrations in Colostrum and Milk
4. Discussion
5. Conclusions
Author Contributions
Funding
Institutional Review Board Statement
Data Availability Statement
Acknowledgments
Conflicts of Interest
References
- Wheeler, J. South American Camelids-past, present and future. J. Camelid Sci. 2012, 5, 1–24. [Google Scholar]
- Zarrin, M.; Riveros, J.L.; Ahmadpour, A.; de Almeida, A.M.; Konuspayeva, G.; Vargas-Bello-Pérez, E.; Faye, B.; Hernández-Castellano, L.E. Camelids: New players in the international animal production context. Trop. Anim. Health Prod. 2020, 52, 903–913. [Google Scholar] [CrossRef]
- Whitehead, C.E. Management of neonatal llamas and alpacas. Vet. Clin. N. Am. Food Anim. Pract. 2009, 25, 353–366. [Google Scholar] [CrossRef]
- Medina, M.A.; van Nieuwenhove, G.A.; Pizarro, P.L.; van Nieuwenhove, C.P. Comparison of the nutritional value and fatty acid composition of milk from four South American camelid species. Can. J. Zool. 2019, 97, 203–209. [Google Scholar] [CrossRef]
- Larico, H.M.; Fernández, E.R.; Olarte, C.D.; Rodrigo, Y.V.; Machaca, P.T.; Sumari, R.M.; Heber, C.B.; Bernardo, R.H. Cheese from milk alpaca: A new alternative. Rev. Investig. Vet. Perú 2018, 29, 848–857. (In Spanish) [Google Scholar]
- Ormachea, E.V.; Olarte, U.D.; Zanabria, V.H.; Melo, M.A.; Masias, Y.G. Milk composition in Huacaya alpaca (Vicugna pacos) and llama (Lama glama). Rev. Investig. Vet. Perú 2021, 32, e17800. (In Spanish) [Google Scholar] [CrossRef]
- Morin, D.E.; Rowan, L.L.; Hurley, W.L.; Braselton, W.E. Composition of Milk from Llamas in the United States. J. Dairy Sci. 1995, 78, 1713–1720. [Google Scholar] [CrossRef]
- Riek, A.; Gerken, M. Changes in Llama (Lama glama) Milk Composition During Lactation. J. Dairy Sci. 2006, 89, 3484–3493. [Google Scholar] [CrossRef] [Green Version]
- Schoos, V.; Medina, M.; Saad, S.; Nieuwenhove, C. Chemical and microbiological characteristics of Llama’s (Lama glama) milk from Argentina. Milchwissenschaft 2008, 63, 398–401. [Google Scholar]
- Bravo, P.W.; Garnica, J.; Fowler, M.E. Immunoglobulin G concentrations in periparturient llamas, alpacas and their crias. Small Rumin. Res. 1997, 26, 145–149. [Google Scholar] [CrossRef]
- Daley-Bauer, L.P.; Purdy, S.R.; Smith, M.C.; Gagliardo, L.F.; Davis, W.C.; Appleton, J.A. Contributions of conventional and heavy-chain IgG to immunity in fetal, neonatal, and adult alpacas. Clin. Vaccine Immunol. 2010, 17, 2007–2015. [Google Scholar] [CrossRef] [Green Version]
- Flodr, H.; Wheeler, J.C.; Krüger, P.; Olazábal, J.L.; Raúl, R.A. Field tests to evaluate colostrum quality in alpaca. Rev. Investig. Vet. Perú 2012, 23, 307–316. (In Spanish) [Google Scholar]
- D'Alterio, G.L.; Knowles, T.G.; Eknaes, E.I.; Loevland, I.E.; Foster, A.P. Postal survey of the population of South American camelids in the United Kingdom in 2000/01. Vet. Rec. 2006, 158, 86–90. [Google Scholar] [CrossRef]
- Neubert, S.; von Altrock, A.; Wendt, M.; Wagener, M.G. Llama and Alpaca Management in Germany-Results of an Online Survey among Owners on Farm Structure, Health Problems and Self-Reflection. Animals 2021, 11, 102. [Google Scholar] [CrossRef] [PubMed]
- Wolfthaler, J.; Franz, S.; Dadak, A.; Steiner, K.; Drillich, M. A survey among breeders of South American camelids concerning breeding and reproduction management. Tierarztl. Prax. Ausg. G Grosstiere Nutztiere 2020, 48, 386–397. [Google Scholar] [PubMed]
- Parraguez, V.H.; Thénot, M.; Latorre, E.; Ferrando, G.; Raggi, L.A. Milk composition in alpaca (Lama Pacos): Comparative study in two regions of Chile. Arch. Zootec. 2003, 52, 431–439. [Google Scholar]
- Martini, M.; Altomonte, I.; da Silva Sant’ana, A.M.; Del Plavignano, G.; Salari, F. Gross, mineral and fatty acid composition of alpaca (Vicugna pacos) milk at 30 and 60 days of lactation. Small Rumin. Res. 2015, 132, 50–54. [Google Scholar] [CrossRef]
- Chad, E.K.; DePeters, E.J.; Puschner, B.; Taylor, S.J.; Robison, J. Preliminary investigation of the composition of alpaca (Vicugna pacos) milk in California. Small Rumin. Res. 2014, 117, 165–168. [Google Scholar] [CrossRef]
- DIN 10342:1992-09 Bestimmung des Fettgehaltes von Milch und Milchprodukten Nach Dem Gravimetrischen Weibull-Berntrop-Verfahren (Determination of Fat Content of Milk and Milk Products by the Weibull-Berntrop Gravimetric Method); Beuth Verlag: Berlin, Germany, 1992. (In German)
- DIN EN ISO 8968-1:2014-06 Milch und Milcherzeugnisse-Bestimmung des Stickstoffgehaltes-Teil 1: Kjeldahl-Verfahren und Berechnung des Rohproteingehaltes (Milk and Milk Products-Determination of Nitrogen Content-Part 1: Kjeldahl Principle and Crude Protein Calculation); Beuth Verlag: Berlin, Germany, 2014. (In German)
- Patoo, R.A.; Singh, D.V.; Singh, S.K.; Singh, M.K.; Singh, A.K.; Kaushal, S. Colostrum and milk composition during postpartum period in Hill cow, sahiwal and crossbreds cow. Indian J. Anim. Res. 2016, 50, 211–214. [Google Scholar] [CrossRef]
- Rolinec, M.; Bíro, D.; Šimko, M.; Juráček, M.; Hanušovský, O.; Schubertová, Z.; Chadimová, L.; Gálik, B. Grape Pomace Ingestion by Dry Cows Does Not Affect the Colostrum Nutrient and Fatty Acid Composition. Animals 2021, 11, 1633. [Google Scholar] [CrossRef]
- Segura, M.; Martínez-Miró, S.; López, M.J.; Madrid, J.; Hernández, F. Effect of Parity on Reproductive Performance and Composition of Sow Colostrum during First 24 h Postpartum. Animals 2020, 10, 1853. [Google Scholar] [CrossRef] [PubMed]
- Mößler, M.; Kober-Rychli, K.; Wittek, T. Immunglobulin G concentrations in alpaca colostrum over four days postpartum. 2021. In preparation. [Google Scholar]
- Sánchez-Macías, D.; Moreno-Indias, I.; Castro, N.; Morales-Delanuez, A.; Argüello, A. From goat colostrum to milk: Physical, chemical, and immune evolution from partum to 90 days postpartum. J. Dairy Sci. 2014, 97, 10–16. [Google Scholar] [CrossRef] [PubMed] [Green Version]
- Alves, A.C.; Alves, N.G.; Ascari, I.J.; Junqueira, F.B.; Coutinho, A.S.; Lima, R.R.; Pérez, J.R.O.; de Paula, S.O.; Furusho-Garcia, I.F.; Abreu, L.R. Colostrum composition of Santa Inês sheep and passive transfer of immunity to lambs. J. Dairy Sci. 2015, 98, 3706–3716. [Google Scholar] [CrossRef] [PubMed] [Green Version]
- Erkılıç, E.E.; Erdoğan, H.M. Relationship among some colostral immune parameters and hepcidin in neonatal calves. J. Adv. VetBio Sci. Tech. 2019, 4, 51–58. [Google Scholar] [CrossRef]
- Miciński, J.; Pogorzelska, J.; Shaikamal, G.I.; Sobczuk-Szul, M.; Beisenov, A.; Aitzhanova, I.; Dzięgelewska-Kuzmińska, D.; Miciński, B. Basic and mineral composition of colostrum from cows in different ages and calving period. J. Elem. 2017, 22, 259–269. [Google Scholar] [CrossRef]
- Mi, J.D.; Zhou, J.W.; Ding, L.M.; Wang, L.; Long, R.J. Short communication: Changes in the composition of yak colostrum during the first week of lactation. J. Dairy Sci. 2016, 99, 818–824. [Google Scholar] [CrossRef] [PubMed] [Green Version]
- Pecka, E.; Dobrzański, Z.; Zachwieja, A.; Szulc, T.; Czyż, K. Studies of composition and major protein level in milk and colostrum of mares. Anim. Sci. J. 2012, 83, 162–168. [Google Scholar] [CrossRef]
- Park, Y.W. Goat Milk: Composition, Characteristics. In Encyclopedia of Animal Science, 2nd ed.; Pond, W.G., Bell, N., Eds.; CRC Press: Boca Raton, FL, USA, 2010. [Google Scholar]




| Mineral | P [%] | Ca [%] | Mg [%] | Na [%] | K [%] | S [%] | Fe [%] | Cu [%] | Zn [%] | Se [%] | Sr [%] | Mo [%] | |
| CV | 4.7 | 4.7 | 3.9 | 12.0 | 1.0 | 11.0 | 3.4 | 8.0 | 6.2 | 11.0 | 4.2 | 5.2 | |
| Mineral | Ba [%] | Al [%] | Co [%] | Ni [%] | Tl [%] | Pb [%] | U [%] | Cd [%] | Sn [%] | As [%] | Mn [%] | B [%] | Li [%] |
| CV | 3.6 | 8.5 | 2.6 | 3.6 | 2.8 | 3.2 | 11.7 | 5.9 | 12.4 | 5.2 | 3.0 | 3.9 | 9.9 |
| Colostrum | Day 1 | Day 2 | Day 3 | Day 4 |
|---|---|---|---|---|
| (n = 20) | (n = 20) | (n = 19) | (n = 18) | |
| Fat [%] | 0.51 (0.29/0.77)a | 2.01 (0.95/2.53)b | 2.78 (2.03/4.52)c | 5.31 (4.57/5.95)d |
| Protein [%] | 20.4 (16.6/23.3)a | 10.4 (8.50/13.4)b | 9.48 (8.24/13.6)b | 8.30 (4.13/13.5)b |
| Lactose [%] | 3.95 (3.78/4.49)a | 5.23 (4.92/5.46)b | 4.84 (4.17/5.31)b | 5.01 (4.13/5.51)b |
| Milk | Day 6–30 (n = 17) | Day 31–60 (n = 16) | Day 61–90 (n = 16) | Day 91–120 (n = 12) | |
|---|---|---|---|---|---|
| Fat [%] | 4.39 (3.57/7.33) | 4.78 (3.92/5.76) | 4.98 (4.25/5.89) | 4.64 (4.08/6.05) | |
| Protein [%] | 6.55 (4.86/8.36) | 5.59 (4.94/7.21) | 5.79 (4.75/7.38) | 6.53 (5.34/9.68) | |
| Lactose [%] | 4.62 (3.32/5.47) | 5.02 (4.31/5.73) | 4.88 (3.74/5.78) | 4.45 (3.45/5.39) | |
| Colostrum | Day 1 (n = 20) | Day 2 (n = 20) | Day 3 (n = 19) | Day 4 (n = 18) |
|---|---|---|---|---|
| P [g/L] | 2.51 (2.01/2.96)a | 1.94 (1.77/2.01)b | 1.80 (1.63/1.91)b,c | 1.64 (1.55/1.75)c |
| Ca [g/L] | 1.96 (1.74/2.34)a | 1.55 (1.35/1.76)b | 1.60 (1.43/1.86)b | 1.48 (1.29/1.89)b |
| Mg [g/L] | 0.60 (0.47/0.66)a | 0.19 (0.17/0.32)b | 0.21 (0.15/0.27)b | 0.36 (0.29/0.39)b |
| Na [g/L] | 0.36 (0.29/0.39) | 0.37 (0.32/0.43) | 0.43 (0.36/0.64) | 0.40 (0.32/0.55) |
| K [g/L] | 1.28 (1.19/1.45) | 1.26 (1.10/1.52) | 1.34 (0.86/1.46) | 1.20 (0.93/1.32) |
| S [g/L] | 2.10 (1.86/2.34)a | 1.10 (0.92/1.45)b | 1.04 (0.92/1.54)b | 0.87 (0.74/1.45)b |
| Fe [mg/L] | 0.88 (0,74/1.03)a | 0.68 (0.58/0.81)b | 0.72 (0.59/0.90)a,b | 0.79 (0.64/0.95)a,b |
| Cu [mg/L] | 0.48 (0.43/0.62)a | 0.49 (0.41/0.73)a | 0.64 (0.49/0.73)a,b | 0.78 (0.51/1.15)b |
| Zn [mg/L] | 7.20 (5.76/9.43)a | 5.62 (4.90/6.20)b | 3.83 (3.12/5.32)b | 3.41 (2.70/3.86)c |
| Se [µg/L] | 189 (125/304)a | 104 (80.8/129)b | 113 (78.6/158)b | 87.1 (69.1/127)b |
| Sr [mg/L] | 1.78 (1.14/1.97)a | 1.12 (1.02/1.42)a,b | 1.14 (1.01/1.48)a,b | 1.07 (0.81/1.45)b |
| Mo [µg/L] | 9.35 (6.55/13.4) | 7.40 (5.00/12.2) | 8.70 (6.8/18.4) | 7.50 (3.50/14.8) |
| Ba [µg/L] | 1006 (594/1255)a | 658 (417/788)a,b | 661 (434/885)a,b | 431 (349/985)b |
| Al [µg/L] | 29.0 (23.1/60.6) | 44.2 (34.5/75.7) | 52.8 (33.9/69.3) | 38.6 (24.4/57.4) |
| Co [µg/L] | 6.76 (4.08/9.66)a | 1.92 (1.61/3.30)b | 2.12 (0.93/3.12)b | 0.85 (0.66/2.88)b |
| Ni [µg/L] | 8.42 (7.51/9.74)a | 6.53 (5.60/7.58)b | 6.86 (6.60/8.31)a,b | 6.12 (5.59/8.14)b |
| Tl [µg/L] | 0.14 (0.13/0.21) | 0.12 (0.09/0.19) | 0.09 (0.06/0.14) | 0.08 (0.05/0.11) |
| Pb [µg/L] | 0.97 (0.48/2.01) | 1.23 (0.82/1.56) | 0.98 (0.74/1.43) | 1.00 (0.78/1.60) |
| U [µg/L] | 0.01 (0.01/ 0.04) | 0.08 (0.04/0.13) | 0.06 (0.01/0.23) | 0.04 (0.02/0.10) |
| Cd [µg/L] | 0.10 (0.00/0.16) | 0.07 (0.00/0.17) | 0.06 (0.01/0.23) | 0.05 (0.00/0.15) |
| Sn [µg/L] | 0.80 (0.40/1.39) | 0.60 (0.42/1.11) | 0.83 (0.51/1.93) | 0.82 (0.49/1.54) |
| As [µg/L] | 0.65 (0.48/0.81) | 0.60 (0.48/0.75) | 0.70 (0.55/0.95) | 0.55 (0.45/0.85) |
| Mn [µg/L] | 15.2 (8.93/22.1) | 19.3 (12.5/27.7) | 17.7 (11.6/24.2) | 17.3 (10.8/28.3) |
| B [µg/L] | 171 (139/213) | 147 (105/194) | 143 (116/187) | 164 (128/197) |
| Li [µg/L] | 1.64 (0.82/3.24) | 1.48 (0.78/2.87) | 1.33 (0.71/1.96) | 1.35 (0.49/2.56) |
| Milk | Day 6–30 (n = 17) | Day 31–60 (n = 16) | Day 61–90 (n = 16) | Day 91–120 (n = 12) |
|---|---|---|---|---|
| P [g/L] | 1.21 (1.00/1.42) | 1.15 (0.86/1.34) | 1.15 (0.98/1.45) | 1.11 (0.73/1.41) |
| Ca [g/L] | 1.40 (1.23/1.55)a | 1.33 (1.18/1.49)a | 1.24 (1.02/1.55)a,b | 1.11 (0.90/1.35)b |
| Mg [g/L] | 0.16 (0.14/0.22) | 0.15 (0.14/1.17) | 0.15 (0.14/0.16) | 0.13 (0.11/0.17) |
| Na [g/L] | 0.50 (0.27/1.29) | 0.42 (0.28/0.85) | 0.46 (0.31/1.00) | 0.52 (0.33/1.36) |
| K [g/L] | 0.84 (0.78/1.11)a | 0.96 (0.88/1.13)a,b | 1.16 (1.13/1.28)b | 0.98 (0.79/1.34)a,b |
| S [g/L] | 0.60 (0.47/0.93) | 0.50 (0.41/0.67) | 0.49 (0.45/0.65) | 0.54 (0.50/0.70) |
| Fe [mg/L] | 1.16 (0.88/1.69) | 1.59 (0.76/3.25) | 1.33 (0.81/2.01) | 1.08 (0.67/2.65) |
| Cu [mg/L] | 0.25 (0.15/0.56)a | 0.15 (0.13/0.17)b | 0.13 (0.14/0.16)b | 0.11 (0.08/0.14)b |
| Zn [mg/L] | 3.16 (2.71/3.74) | 3.07 (2.90/3.85) | 2.94 (2.59/3.37) | 3.19 (2.81/3.57) |
| Se [µg/L] | 31.0 (19.9/43.6)a | 20.2 (14.8/26.7)b | 14.5 (8.68/26.3) b | 18.0 (11.9/33.4)b |
| Sr [mg/L] | 0.77 (0.61/0.88)a | 0.70 (0.66/0.84)a | 0.61 (0.58/0.75)a,b | 0.56 (0.41/0.63)b |
| Mo [µg/L] | 6.50 (4.55/9.00)a | 4.50 (3.50/7.65)b | 2.80 (1.92/3.50)c | 4.60 (2.80/5.98)b |
| Ba [µg/L] | 514 (399/611) | 753 (493/923) | 641 (439/905) | 449 (349/602) |
| Al [µg/L] | 750 (204/950) | 918 (698/1947) | 1114 (560/1635) | 607 (468/707) |
| Co [µg/L] | 0.75 (0.40/1.15) | 0.50 (0.30/1.10) | 0.65 (0.40/1.10) | 0.50 (0.30/0.70) |
| Ni [µg/L] | 4.65 (3.58/5.92) | 5.40 (4.50/8.70) | 5.85 (4.65/8.00) | 4.55 (3.65/6.05) |
| Tl [µg/L] | 0.13 (0.11/0.17) | 0.11 (0.08/0.17) | 0.10 (0.08/0.16) | 0.11 (0.08/0.14) |
| Pb [µg/L] | 5.40 (2.02/7.85)a | 9.80 (4.82/19.3)b | 4.98 (3.24/10.1)a | 3.00 (2.58/4.13)c |
| U [µg/L] | 0.12 (0.09/0.14) | 0.17 (0.14/0.19) | 0.15 (0.13/0.19) | 0.14 (0.12/0.20) |
| Cd [µg/L] | 0.25 (0.08/0.40) | 0.31 (0.12/0.44) | 0.25 (0.13/0.39) | 0.24 (0.18/0.32) |
| Sn [µg/L] | 1.45 (0.78/3.45)a | 3.10 (1.80/5.44)b | 3.10 (1.88/3.70)b | 3.40 (2.78/4.78)b |
| As [µg/L] | 1.65 (0.98/1.90)a | 1.80 (1.10/3.20)a | 0.85 (0.70/2.05)b | 0.60 (0.50/0.88)b |
| Mn [µg/L] | 82.1 (46.2/118)a | 131 (73.8/305)b | 129 (77.6/257)b | 76.5 (59.8/104)a |
| B [µg/L] | 168 (147/200) | 144 (129/180) | 155 (122/185) | 142 (135/167) |
| Li [µg/L] | 12.8 (7.05/36.2) | 15.6 (6.15/27.9) | 11.9 (6.60/12.95) | 12.60 (9.70/13.2) |
| Mineral | Colostrum (n = 77) | Milk (n = 61) | Water 1 | Milk Llama (L) and Alpaca (A) |
|---|---|---|---|---|
| P [g/L] | 1.85 (1.64/2.15)a | 1.16 (0.92/1.38)b | A: 1.13 ± 0.16 2, 0.98 ± 0.15 3 L: 1.13 ± 0.16 4 | |
| Ca [g/L] | 1.71 (1.36/2.00)a | 1.23 (1.07/1.35)b | A: 1.20 ± 0.16 2, 1.38 ± 0.22 3 L: 1.70 ± 0.18 4 | |
| Mg [g/L] | 0.29 (0.17/0.33)a | 0.15 (0.14/0.17)b | 0.05 | A: 0.10 ± 0.02 2, 0.13 ± 0.02 3 |
| Na [g/L] | 0.37 (0.31/0.47) | 0.42 (0.30/0.93) | 0.20 | A: 0.58 ± 0.28 2, 0.20 ± 0.10 3 L: 0.27 ± 0.18 4 |
| K [g/L] | 1.26 (1.08/1452)a | 0.98 (0.81/1.12)b | A: 1.61 ± 0.28 2, 1.30 ± 0.19 3 L: 1.20 ± 0.20 4 | |
| S [g/L] | 1.31 (0.92/1.83)a | 5.40 (0.46/0.70)b | 2501 | A: 476 ± 112 3, L: 425 ± 48.0 4 |
| Fe [mg/L] | 0.79 (0,61/0.92)a | 1.28 (0.77/2.01)b | 0.20 | L: 0.65 4 |
| Cu [mg/L] | 0.48 (0.43/0.62)a | 0.14 (0.11/0.19)b | 2.00 | L: 0.11 4 |
| Zn [mg/L] | 5.12 (3.44/6.37)a | 3.07 (2.80/3.57)b | L: 4.19 ± 0.95 4 | |
| Se [µg/L] | 117 (81.1/173)a | 21.4 (13,3/33.5)b | 10.0 | |
| Sr [mg/L] | 1.15 (0.94/1.62)a | 0.66 (0.58/0.80)b | ||
| Mo [µg/L] | 8.60 (5.30/14.8)a | 4.50 (2.90/6.86)b | ||
| Ba [µg/L] | 656 (410/969) | 582 (418/783) | L: 278 4 | |
| Al [µg/L] | 42.0 (26.1/62.8)a | 762 (598/1362)b | 200 | L: 416 4 |
| Co [µg/L] | 2.59 (0.99/4.34)a | 0.50 (0.33/1.10)b | ||
| Ni [µg/L] | 7.30 (5.94/8.47)a | 5.25 (4.35/6.84) | 20.0 | |
| Tl [µg/L] | 0.11 (0.07/0.16) | 0.12 (0.10/0.19) | ||
| Pb [µg/L] | 1.00 (0.69/1.62)a | 4.81 (3.00/9.77)b | 40.0 | |
| U [µg/L] | 0.04 (0.01/ 0.10)a | 0.17 (0.10/0.50)b | 15.0 1 | |
| Cd [µg/L] | 0.06 (0.00/0.16)a | 0.30 (0.10/0.35)b | 5.00 1 | |
| Sn [µg/L] | 0.80 (0.40/1.39)a | 2.93 (1.49/4.33)b | ||
| As [µg/L] | 0.60 (0.49/0.82)a | 1.11 (0.75/1.88)b | ||
| Mn [µg/L] | 17.2 (11.6/24.4)a | 93.7 (69.2/209)b | 50.0 1 | L: 71.0 4 |
| B [µg/L] | 159 (126/186) | 150 (132/180) | 1000 1 | |
| Li [µg/L] | 1.31 (0.78/1.86)a | 12.5 (6.85/20.0)b |
Publisher’s Note: MDPI stays neutral with regard to jurisdictional claims in published maps and institutional affiliations. |
© 2021 by the authors. Licensee MDPI, Basel, Switzerland. This article is an open access article distributed under the terms and conditions of the Creative Commons Attribution (CC BY) license (https://creativecommons.org/licenses/by/4.0/).
Share and Cite
Mößler, M.; Aichner, J.; Müller, A.; Albert, T.; Wittek, T. Concentrations of Fat, Protein, Lactose, Macro and Trace Minerals in Alpaca Colostrum and Milk at Different Lactation Stages. Animals 2021, 11, 1955. https://doi.org/10.3390/ani11071955
Mößler M, Aichner J, Müller A, Albert T, Wittek T. Concentrations of Fat, Protein, Lactose, Macro and Trace Minerals in Alpaca Colostrum and Milk at Different Lactation Stages. Animals. 2021; 11(7):1955. https://doi.org/10.3390/ani11071955
Chicago/Turabian StyleMößler, Maria, Janina Aichner, Anja Müller, Thiemo Albert, and Thomas Wittek. 2021. "Concentrations of Fat, Protein, Lactose, Macro and Trace Minerals in Alpaca Colostrum and Milk at Different Lactation Stages" Animals 11, no. 7: 1955. https://doi.org/10.3390/ani11071955
APA StyleMößler, M., Aichner, J., Müller, A., Albert, T., & Wittek, T. (2021). Concentrations of Fat, Protein, Lactose, Macro and Trace Minerals in Alpaca Colostrum and Milk at Different Lactation Stages. Animals, 11(7), 1955. https://doi.org/10.3390/ani11071955

