A Cow–Calf Farming System Fully Adapted to Elevation and Harsh Conditions in Andorra (Europe)
Abstract
Simple Summary
Abstract
1. Introduction
2. Material and Methods
2.1. Cow–Calf System in Andorra
2.2. Co-Working Government Farmers
2.3. The Breed
2.4. Genetic Improvement of the Breed
2.5. Health Program
2.6. Slaughter and Meat Products
2.7. Data Compilation and Statistical Analysis
3. Results and Discussion
3.1. Bruna d’Andorra Population Census
3.2. Productive Improvement of the Breed
3.3. Calving Ease and Reproductive Characteristics of the Breed
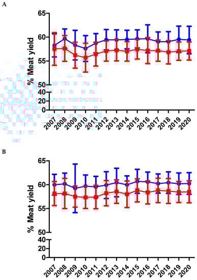
3.4. Slaughter and Meat Products
4. Conclusions
Supplementary Materials
Author Contributions
Funding
Acknowledgments
Conflicts of Interest
References
- O’Rourke, E.; Charbonneau, M.; Poinsot, Y. High nature value mountain farming systems in Europe: Case studies from the Atlantic Pyrenees, France and the Kerry Uplands, Ireland. J. Rural Stud. 2016, 46, 47–59. [Google Scholar] [CrossRef]
- Zuliani, A.; Contiero, B.; Schneider, M.K.; Arsenos, G.; Bernués, A.; Dovc, P.; Gauly, M.; Holand, Ø.; Martin, B.; Morgan-Davies, C.; et al. Topics and trends in Mountain Livestock Farming research: A text mining approach. Animal 2020, 15, 100058. [Google Scholar] [CrossRef]
- Rouzaud, F.; Martin, J.; Gallet, P.F.; Delourme, D.; Goulemote-Leger, V.; Amigues, Y.; Ménissier, F.; Levéziel, H.; Julien, R.; Oulmouden, A. A first genotyping assay of French cattle breeds based on a new allele of the extension gene encoding the melanocortin-1 receptor (Mc1r). Genet Sel. Evol. 2000, 32, 511–520. [Google Scholar] [CrossRef]
- Piedrafita, J.; Quintanilla, R.; Sañudo, C.; Olleta, J.L.; Campo, M.M.; Panea, B.; Renand, G.; Turin, F.; Jabet, S.; Osoro, K.; et al. Carcass quality of 10 beef cattle breeds of the Southwest of Europe in their typical production systems. Livest. Prod. Sci. 2003, 82, 1–13. [Google Scholar] [CrossRef]
- Serra, X.; Gil, M.; Gispert, M.; Guerrero, L.; Oliver, M.A.; Sañudo, C.; Campo, M.M.; Panea, B.; Olleta, J.L.; Quintanilla, R.; et al. Characterisation of young bulls of the Bruna dels Pirineus cattle breed (selected from old Brown Swiss) in relation to carcass, meat quality and biochemical traits. Mea tSci. 2004, 66, 425–436. [Google Scholar] [CrossRef]
- Tarrés, J.; Casellas, J.; Piedrafita, J. Genetic and environmental factors influencing mortality up to weaning of Bruna dels Pirineus beef calves in mountain areas. A survival analysis. J. Anim. Sci. 2005, 83, 543–551. [Google Scholar] [CrossRef] [PubMed]
- Guerrero, A.; Sanudo, C.; Mateas, J.A.; Caillaud, S.; Sepulveda, W.S.; Toustou, J.; Gajan, J.P.; Santolaria, P. Gasconne Beef Breed, an Explorative Study of Trans-Border Differences in Management and Commercialization. Iran. J. Appl. Anim. Sci. 2012, 3, 257–364. [Google Scholar]
- Servei Meteorològic Nacional d’Andorra. Available online: https://www.meteo.ad/climatologia (accessed on 29 September 2020).
- Servei d’Estadística Nacional d’Andorra. Available online: http://www.estadistica.ad/serveiestudis/publicacions/Publicacions/Andorra%20en%20Xifres_cat.pdf (accessed on 29 September 2020).
- APRA. Associació de Pagesos i Ramaders d’Andorra. Available online: https://www.apra.ad (accessed on 7 September 2020).
- BOPA. Butlletí Oficial del Principat d’Andorra. Available online: https://www.bopa.ad (accessed on 29 September 2020).
- Asociación de criadores de la raza Parda de Montaña. Available online: https://pardademontana.com/produccion (accessed on 16 December 2020).
- Jordi Carreras, J.; Carrillo, E.; Font, X.; Guardiola, M.; Ninot, J.M.; Masalles, R.M.; Mercadal, G.; Salvat, A.; Vilar, L.L. Volum V 3 Vegetació arbustiva i herbàcia (Prats i pastures). In Manual dels hàbitats de Catalunya; 2016 Revised; Carreras, J., Ferré, A., Vigo, J., Eds.; Departament de Territori i Sostenibilitat: Generalitat de Catalunya, Barcelona, 2016; Volume 3, pp. 1–234. [Google Scholar]
- Komac, B.; de la Parte, I.; Riba, L.; Pladevall, C.; Fanlo, R.; Roquet, M. Pastures Comunes i Ramaderia a Andorra: Usos, gestió i perpectives. In Monografies del CENMA; Komac, B., Pladevall, C., Eds.; Institut d’Estudis Andorrans- Govern d’Andorra: Andorra la Vella, Andorra, 2020. [Google Scholar]
- Departament d’Agricultura, Ministeri de Medi Ambient, Agricultura i Sostenibilitat, Govern d’Andorra. Available online: https://www.agricultura.ad/igp (accessed on 3 September 2020).
- FEBRUPI. Federació Raça Bruna dels Pirineus. Available online: http://www.brunadelspirineus.org (accessed on 7 September 2020).
- Armengol, R.; Pabón, M.; Santolaria, P.; Cabezón, O.; Adelantado, C.; Yániz, J.; López-Gatius, F.; Almería, S. Low seroprevalence of Neospora caninum infection associated with the Limousin breed in cow-calf herds in Andorra, Europe. J. Parasitol. 2007, 95, 1029–1032. [Google Scholar] [CrossRef]
- Classification of Carcasses of Bovine Animals Aged Eight Months or More, European Comission. Available online: https://ec.europa.eu/info/sites/info/files/food-farming-fisheries/farming/documents/methodology-carcase-remainders_en.pdf (accessed on 20 October 2020).
- Fina, M.; Ibáñez-Escriche, N.; Piedrafita, J.; Casellas, J. Canalization analysis of birth weight in Bruna dels Pirineus beef cattle. J. Anim. Sci. 2013, 91, 3070–3078. [Google Scholar] [CrossRef] [PubMed]
- Cañas-Álvarez, J.J.; Gónzalez-Rodríguez, A.; Martín-Collado, D.; Avilés, C.; Altarriba, J.; Baro, J.A.; De la Fuente, L.F.; Díaz, C.; Molina, A.; Varona, L.; et al. Monitoring changes in the demographic and genealogical structure of the main Spanish local beef breeds. J. Anim. Sci. 2014, 92, 4364–4374. [Google Scholar] [CrossRef]
- Villalba, D.; Casasús, I.; Sanz, A.; Estany, J.; Revilla, R. Preweaning growth curves in Brown Swiss and Pirenaica calves with emphasis on individual variability. J. Anim. Sci. 2000, 78, 1132–1140. [Google Scholar] [CrossRef]
- Bureš, D.; Bartoň, L.; Zahrádková, R.; Teslík, V.; Fiedlerová, M. Calving difficulty as related to body weights and measurements of cows and calves in a herd of Gascon breed. Czech J. Anim. Sci. 2008, 53, 187–194. [Google Scholar] [CrossRef]
- Krupa, E.; Oravcová, M.; Polák, P.; Huba, J.; Krupová, Z. Factors affecting growth traits of beef cattle breeds raised in Slovakia. Czech J. Anim. Sci. 2005, 50, 14–21. [Google Scholar] [CrossRef]
- Pilarczyk, R.; Wójcik, J. Comparison of calf rearing results and nursing cow performance in various beef breeds managed under the same conditions in north-western Poland. Czech J. Anim. Sci. 2007, 52, 325–333. [Google Scholar] [CrossRef]
- Comerford, J.W.; Bertrand, J.K.; Benyshek, L.L.; Johnson, M.H. Reproductive rates, birth weight, calving ease and 24-h calf survival in a four-breed diallel among Simental, Limousin, Polled Hereford and Brahman beef cattle. J. Anim. Sci. 1987, 64, 65–76. [Google Scholar] [CrossRef]
- The Beef Site. Available online: https://www.thebeefsite.com/breeds/beef/39/limousin/ (accessed on 16 November 2020).
- Miranda-de la Lama, G.C.; Pascual-Alonso, M.; Guerrero, A.; Alberti, P.; Alierta, S.; Sans, P.; Gajan, J.P.; Villarroel, M.; Dalmau, A.A.; Velarde, A.; et al. Influence of social dominance on production, welfare and the quality of meat from beef bulls. Meat Sci. 2013, 94, 432–437. [Google Scholar] [CrossRef]
- Gil, M.; Serra, X.; Gispert, M.; Oliver, M.A.; Sañudo, C.; Panea, B.; Olleta, J.L.; Campo, M.; Oliván, M.; Osoro, K.; et al. The effect of breed-production in the myosin heavy chain 1, the biochemical characteristics and the colour variables of Longissimus thoracis from seven Spanish beef cattle breeds. Meat Sci. 2001, 58, 181–188. [Google Scholar] [CrossRef]
- Tarres, J.; Fina, M.; Piedrafita, J. Parametric bootstrap for testing model fitting of threshold and grouped data models: An application to the analysis of calving ease of Bruna dels Pirineus beef cattle. J. Anim. Sci. 2010, 88, 2920–2931. [Google Scholar] [CrossRef]
- Fiems, O. Double muscling in cattle: Genes, Husbandry, Carcasses and Meat. Animals 2012, 2, 472–506. [Google Scholar] [CrossRef]
- Larsson, B.; Berglund, B. Reproductive performance in cows with extended calving interval. Reprod. Domest. Anim. 2000, 35, 277–279. [Google Scholar] [CrossRef]
- La vaca Bruna dels Pirineus. Available online: http://agricultura.gencat.cat/web/.content/07-ramaderia/produccio-ramadera/races-autoctones/enllacos-documents/fitxers-binaris/vaca-bruna-pirineus.pdf (accessed on 16 December 2020).
- Dákay, I.; Márton, D.; Bene, S.; Kiss, B.; Zsuppán, Z.; Szabo, F. The age at first calving and the longevity of beef cows in Hungary. Arch. Tierz. 2006, 49, 417–425. [Google Scholar] [CrossRef]











Publisher’s Note: MDPI stays neutral with regard to jurisdictional claims in published maps and institutional affiliations. |
© 2021 by the authors. Licensee MDPI, Basel, Switzerland. This article is an open access article distributed under the terms and conditions of the Creative Commons Attribution (CC BY) license (http://creativecommons.org/licenses/by/4.0/).
Share and Cite
Armengol, R.; Bassols, M.; Fraile, L. A Cow–Calf Farming System Fully Adapted to Elevation and Harsh Conditions in Andorra (Europe). Animals 2021, 11, 611. https://doi.org/10.3390/ani11030611
Armengol R, Bassols M, Fraile L. A Cow–Calf Farming System Fully Adapted to Elevation and Harsh Conditions in Andorra (Europe). Animals. 2021; 11(3):611. https://doi.org/10.3390/ani11030611
Chicago/Turabian StyleArmengol, Ramon, Marta Bassols, and Lorenzo Fraile. 2021. "A Cow–Calf Farming System Fully Adapted to Elevation and Harsh Conditions in Andorra (Europe)" Animals 11, no. 3: 611. https://doi.org/10.3390/ani11030611
APA StyleArmengol, R., Bassols, M., & Fraile, L. (2021). A Cow–Calf Farming System Fully Adapted to Elevation and Harsh Conditions in Andorra (Europe). Animals, 11(3), 611. https://doi.org/10.3390/ani11030611

