Large-Scale Genome Scanning within Exonic Regions Revealed the Contributions of Selective Sweep Prone Genes to Host Divergence and Adaptation in Magnaporthe oryzae Species Complex
Abstract
1. Introduction
2. Materials and Methods
2.1. Identification of Single Nucleotide Polymorphisms (SNPs)
2.2. Phylogeny and Population Structure of the M. oryzae Species Complex
2.3. Population Selective Sweep Detection
2.4. Candidate Genes and Functional Annotation
2.5. Effector Candidate Prediction
2.6. Host Directional Mutation
3. Results
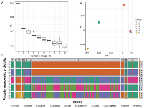
3.1. Population Genomic Divergence Driven by Host Adaptation in the M. oryzae Species Complex
3.2. Selective Sweep Signatures in the Genomic Sequences of M. oryzae Populations
3.3. Selective Genes Associated with Host Speciation—Functional Annotation
3.4. Candidate Effectors Experiencing Positive Selection
3.5. MGG_13871 Experienced Host Directional Mutation
4. Discussion
Supplementary Materials
Author Contributions
Funding
Acknowledgments
Conflicts of Interest
References
- Garris, A.J.; Tai, T.H.; Coburn, J.; Kresovich, S.; McCouch, S. Genetic Structure and Diversity in Oryza sativa L. Genetics 2005, 169, 1631–1638. [Google Scholar] [CrossRef] [PubMed]
- Talbot, N.J. On the Trail of a Cereal Killer: Exploring the Biology of Magnaporthe grisea. Annu. Rev. Microbiol. 2003, 57, 177–202. [Google Scholar] [CrossRef] [PubMed]
- Greer, C.A.; Webster, R.K. Occurrence, Distribution, Epidemiology, Cultivar Reaction, and Management of Rice Blast Disease in California. Plant. Dis. 2001, 85, 1096–1102. [Google Scholar] [CrossRef]
- Kato, H.; Yamamoto, M.; Yamaguchi-Ozaki, T.; Kadouchi, H.; Iwamoto, Y.; Nakayashiki, H.; Tosa, Y.; Mayama, S.; Mori, N. Pathogenicity, Mating Ability and DNA Restriction Fragment Length Polymorphisms of Pyricularia Populations Isolated from Gramineae, Bambusideae and Zingiberaceae Plants. J. Gen. Plant. Pathol. 2000, 66, 30–47. [Google Scholar] [CrossRef]
- Kupferschmidt, K. Attack of the Clones. Science 2012, 337, 636. [Google Scholar] [CrossRef]
- Fisher, M.C.; Henk, D.A.; Briggs, C.J.; Brownstein, J.S.; Madoff, L.C.; McCraw, S.L.; Gurr, S.J. Emerging fungal threats to animal, plant and ecosystem health. Nature 2012, 484, 186–194. [Google Scholar] [CrossRef]
- Dean, R.A.; Talbot, N.J.; Ebbole, D.J.; Farman, M.L.; Mitchell, T.K.; Orbach, M.J.; Thon, M.; Kulkarni, R.; Xu, J.-R.; Pan, H.; et al. The genome sequence of the rice blast fungus Magnaporthe grisea. Nature 2005, 434, 980–986. [Google Scholar] [CrossRef]
- Gladieux, P.; Condon, B.; Ravel, S.; Soanes, D.; Maciel, J.L.N.; Nhani, A.; Chen, L.; Terauchi, R.; Lebrun, M.-H.; Tharreau, D.; et al. Gene Flow between Divergent Cereal- and Grass-Specific Lineages of the Rice Blast Fungus Magnaporthe oryzae. Mbio 2018, 9, e01219-17. [Google Scholar] [CrossRef]
- Fraser, H.B.; Levy, S.; Chavan, A.; Shah, H.B.; Perez, J.C.; Zhou, Y.; Siegal, M.L.; Sinha, H. Polygenic cis-regulatory adaptation in the evolution of yeast pathogenicity. Genome Res. 2012, 22, 1930–1939. [Google Scholar] [CrossRef] [PubMed][Green Version]
- Saleh, D.; Xu, P.; Shen, Y.; Li, C.; Adreit, H.; Milazzo, J.; RavignÉ, V.; Bazin, E.; NottÉGhem, J.-L.; Fournier, E.; et al. Sex at the origin: An Asian population of the rice blast fungus Magnaporthe oryzae reproduces sexually. Mol. Ecol. 2012, 21, 1330–1344. [Google Scholar] [CrossRef]
- Saleh, D.; Milazzo, J.; Adreit, H.; Fournier, E.; Tharreau, D. South-East Asia is the center of origin, diversity and dispersion of the rice blast fungus, Magnaporthe oryzae. New Phytol. 2014, 201, 1440–1456. [Google Scholar] [CrossRef]
- Igarashi, S. Update on wheat blast (Pyricularia oryzae) in Brazil. In Proceedings of the International Conference-Wheat for the Nontaditional Warm Areas, Foz Do Iguaçu, Brazil, 29 July–3 August 1990; pp. 480–483. [Google Scholar]
- Zaffarano, P.L.; McDonald, B.A.; Linde, C.C. Rapid speciation following recent host shifts in the plant pathogenic fungus Rhynchosporium. Evolution 2008, 62, 1418–1436. [Google Scholar] [CrossRef] [PubMed]
- Silva, D.N.; Talhinhas, P.; Cai, L.E.I.; Manuel, L.; Gichuru, E.K.; Loureiro, A.; VÁRzea, V.; Paulo, O.S.; Batista, D. Host-jump drives rapid and recent ecological speciation of the emergent fungal pathogen Colletotrichum kahawae. Mol. Ecol. 2012, 21, 2655–2670. [Google Scholar] [CrossRef] [PubMed]
- Frenkel, O.; Peever, T.L.; Chilvers, M.I.; Özkilinc, H.; Can, C.; Abbo, S.; Shtienberg, D.; Sherman, A. Ecological Genetic Divergence of the Fungal Pathogen Didymella rabiei on Sympatric Wild and Domesticated Cicer spp. (Chickpea). Appl. Environ. Microbiol. 2010, 76, 30. [Google Scholar] [CrossRef]
- Stukenbrock, E.H.; Banke, S.; Javan-Nikkhah, M.; McDonald, B.A. Origin and Domestication of the Fungal Wheat Pathogen Mycosphaerella graminicola via Sympatric Speciation. Mol. Biol. Evol. 2007, 24, 398–411. [Google Scholar] [CrossRef] [PubMed]
- Couch, B.C.; Fudal, I.; Lebrun, M.H.; Tharreau, D.; Valent, B.; van Kim, P.; Notteghem, J.L.; Kohn, L.M. Origins of host-specific populations of the blast pathogen Magnaporthe oryzae in crop domestication with subsequent expansion of pandemic clones on rice and weeds of rice. Genetics 2005, 170, 613–630. [Google Scholar] [CrossRef]
- Hirata, K.; Kusaba, M.; Chuma, I.; Osue, J.; Nakayashiki, H.; Mayama, S.; Tosa, Y. Speciation in Pyricularia inferred from multilocus phylogenetic analysis. Mycol. Res. 2007, 111, 799–808. [Google Scholar] [CrossRef] [PubMed]
- Yamagashira, A.; Iwai, C.; Misaka, M.; Hirata, K.; Fujita, Y.; Tosa, Y.; Kusaba, M. Taxonomic characterization of Pyricularia isolates from green foxtail and giant foxtail, wild foxtails in Japan. J. Gen. Plant. Pathol. 2008, 74, 230–241. [Google Scholar] [CrossRef]
- Yoshida, K.; Saunders, D.G.O.; Mitsuoka, C.; Natsume, S.; Kosugi, S.; Saitoh, H.; Inoue, Y.; Chuma, I.; Tosa, Y.; Cano, L.M.; et al. Host specialization of the blast fungus Magnaporthe oryzae is associated with dynamic gain and loss of genes linked to transposable elements. BMC Genom. 2016, 17, 370. [Google Scholar] [CrossRef]
- Chiapello, H.; Mallet, L.; Guérin, C.; Aguileta, G.; Amselem, J.; Kroj, T.; Ortega-Abboud, E.; Lebrun, M.-H.; Henrissat, B.; Gendrault, A.; et al. Deciphering Genome Content and Evolutionary Relationships of Isolates from the Fungus Magnaporthe oryzae Attacking Different Host Plants. Genome Biol. Evol. 2015, 7, 2896–2912. [Google Scholar] [CrossRef]
- Wicker, T.; Oberhaensli, S.; Parlange, F.; Buchmann, J.P.; Shatalina, M.; Roffler, S.; Ben-David, R.; Doležel, J.; Šimková, H.; Schulze-Lefert, P.; et al. The wheat powdery mildew genome shows the unique evolution of an obligate biotroph. Nat. Genet. 2013, 45, 1092–1096. [Google Scholar] [CrossRef]
- Latorre, S.M.; Reyes-Avila, C.S.; Malmgren, A.; Win, J.; Kamoun, S.; Burbano, H.A. Differential loss of effector genes in three recently expanded pandemic clonal lineages of the rice blast fungus. BMC Biol. 2020, 18, 88. [Google Scholar] [CrossRef]
- Hyon, G.-S.; Nga, N.T.T.; Chuma, I.; Inoue, Y.; Asano, H.; Murata, N.; Kusaba, M.; Tosa, Y. Characterization of interactions between barley and various host-specific subgroups of Magnaporthe oryzae and M. grisea. J. Gen. Plant. Pathol. 2012, 78, 237–246. [Google Scholar] [CrossRef]
- Kohli, M.M.; Mehta, Y.R.; Guzman, E.; De Viedma, L.; Cubilla, L.E. Pyricularia Blast—A Threat to Wheat Cultivation. Czech. J. Genet. Plant. 2011, 47, S130–S134. [Google Scholar] [CrossRef]
- Zheng, Y.; Zheng, W.; Lin, F.; Zhang, Y.; Yi, Y.; Wang, B.; Lu, G.; Wang, Z.; Wu, W. AVR1-CO39 Is a Predominant Locus Governing the Broad Avirulence of Magnaporthe oryzae 2539 on Cultivated Rice (Oryza sativa L.). Mol. Plant.-Microbe Interact. 2010, 24, 13–17. [Google Scholar] [CrossRef] [PubMed][Green Version]
- Leong, S.A. The Ins and Outs of Host Recognition of Magnaporthe oryzae. In Genomics of Disease; Gustafson, J.P., Taylor, J., Stacey, G., Eds.; Springer: New York, NY, USA, 2008; pp. 199–216. [Google Scholar] [CrossRef]
- Tosa, Y.; Osue, J.; Eto, Y.; Oh, H.-S.; Nakayashiki, H.; Mayama, S.; Leong, S.A. Evolution of an Avirulence Gene, AVR1-CO39, Concomitant with the Evolution and Differentiation of Magnaporthe oryzae. Mol. Plant.Microbe Interact. 2005, 18, 1148–1160. [Google Scholar] [CrossRef] [PubMed]
- Zhong, Z.; Norvienyeku, J.; Chen, M.; Bao, J.; Lin, L.; Chen, L.; Lin, Y.; Wu, X.; Cai, Z.; Zhang, Q.; et al. Directional Selection from Host Plants Is a Major Force Driving Host Specificity in Magnaporthe Species. Sci. Rep. 2016, 6, 25591. [Google Scholar] [CrossRef] [PubMed]
- Zheng, H.; Zhong, Z.; Shi, M.; Zhang, L.; Lin, L.; Hong, Y.; Fang, T.; Zhu, Y.; Guo, J.; Zhang, L.; et al. Comparative genomic analysis revealed rapid differentiation in the pathogenicity-related gene repertoires between Pyricularia oryzae and Pyricularia penniseti isolated from a Pennisetum grass. BMC Genom. 2018, 19, 927. [Google Scholar] [CrossRef]
- Wright, S. The genetical structure of populations. Ann. Eugen 2012, 15, 323–354. [Google Scholar] [CrossRef]
- Tajima, F. Statistical method for testing the neutral mutation hypothesis by DNA polymorphism. Genetics 1989, 123, 585–595. [Google Scholar] [CrossRef]
- Chen, H.; Patterson, N.; Reich, D. Population differentiation as a test for selective sweeps. Genome Res. 2010, 20, 393–402. [Google Scholar] [CrossRef] [PubMed]
- Gross, L. Clues to Our Past: Mining the Human Genome for Signs of Recent Selection. PLoS Biol. 2006, 4, e94. [Google Scholar] [CrossRef][Green Version]
- Sabeti, P.C.; Varilly, P.; Fry, B.; Lohmueller, J.; Hostetter, E.; Cotsapas, C.; Xie, X.; Byrne, E.H.; McCarroll, S.A.; Gaudet, R.; et al. Genome-wide detection and characterization of positive selection in human populations. Nature 2007, 449, 913–918. [Google Scholar] [CrossRef] [PubMed]
- Voight, B.F.; Kudaravalli, S.; Wen, X.Q.; Pritchard, J.K. Correction: A map of recent positive selection in the human genome (vol 4, pg 446, 2006). PLoS Biol. 2007, 5, 1382. [Google Scholar] [CrossRef]
- Hartmann, F.E.; McDonald, B.A.; Croll, D. Genome-wide evidence for divergent selection between populations of a major agricultural pathogen. Mol. Ecol. 2018, 27, 2725–2741. [Google Scholar] [CrossRef]
- Mohd-Assaad, N.; McDonald, B.A.; Croll, D. Genome-Wide Detection of Genes Under Positive Selection in Worldwide Populations of the Barley Scald Pathogen. Genome Biol. Evol. 2018, 10, 1315–1332. [Google Scholar] [CrossRef]
- Derbyshire, M.C.; Denton-Giles, M.; Hane, J.K.; Chang, S.; Mousavi-Derazmahalleh, M.; Raffaele, S.; Buchwaldt, L.; Kamphuis, L.G. Selective sweeps in populations of the broad host range plant pathogenic fungus Sclerotinia sclerotiorum. bioRxiv 2018, 352930. [Google Scholar] [CrossRef]
- Ma, Y.; Zhang, H.; Zhang, Q.; Ding, X. Identification of Selection Footprints on the X Chromosome in Pig. PLoS ONE 2014, 9, e94911. [Google Scholar] [CrossRef]
- Taye, M.; Lee, W.; Caetano-Anolles, K.; Dessie, T.; Hanotte, O.; Mwai, O.A.; Kemp, S.; Cho, S.; Oh, S.J.; Lee, H.-K.; et al. Whole genome detection of signature of positive selection in African cattle reveals selection for thermotolerance. Anim. Sci. J. 2017, 88, 1889–1901. [Google Scholar] [CrossRef]
- He, Q.; Kim, K.-W.; Park, Y.-J. Population genomics identifies the origin and signatures of selection of Korean weedy rice. Plant. Biotechnol. J. 2017, 15, 357–366. [Google Scholar] [CrossRef] [PubMed]
- Marçais, G.; Delcher, A.L.; Phillippy, A.M.; Coston, R.; Salzberg, S.L.; Zimin, A. MUMmer4: A fast and versatile genome alignment system. PLoS Comput. Biol. 2018, 14, e1005944. [Google Scholar] [CrossRef]
- Cingolani, P.; Platts, A.; Wang, L.L.; Coon, M.; Nguyen, T.; Wang, L.; Land, S.J.; Lu, X.; Ruden, D.M. A program for annotating and predicting the effects of single nucleotide polymorphisms, SnpEff. Fly 2012, 6, 80–92. [Google Scholar] [CrossRef]
- Danecek, P.; Auton, A.; Abecasis, G.; Albers, C.A.; Banks, E.; DePristo, M.A.; Handsaker, R.E.; Lunter, G.; Marth, G.T.; Sherry, S.T.; et al. The variant call format and VCFtools. Bioinformatics 2011, 27, 2156–2158. [Google Scholar] [CrossRef]
- Prevosti, A.; Ocaña, J.; Alonso, G. Distances between populations ofDrosophila subobscura, based on chromosome arrangement frequencies. Theor. Appl. Genet. 1975, 45, 231–241. [Google Scholar] [CrossRef]
- Kamvar, Z.N.; Tabima, J.F.; Grünwald, N.J. Poppr: An R package for genetic analysis of populations with clonal, partially clonal, and/or sexual reproduction. PeerJ 2014, 2, e281. [Google Scholar] [CrossRef]
- Yu, G.; Smith, D.K.; Zhu, H.; Guan, Y.; Lam, T.T.-Y. ggtree: An r package for visualization and annotation of phylogenetic trees with their covariates and other associated data. Methods Ecol. Evol. 2017, 8, 28–36. [Google Scholar] [CrossRef]
- Jombart, T. adegenet: A R package for the multivariate analysis of genetic markers. Bioinformatics 2008, 24, 1403–1405. [Google Scholar] [CrossRef]
- Sabeti, P.C.; Reich, D.E.; Higgins, J.M.; Levine, H.Z.P.; Richter, D.J.; Schaffner, S.F.; Gabriel, S.B.; Platko, J.V.; Patterson, N.J.; McDonald, G.J.; et al. Detecting recent positive selection in the human genome from haplotype structure. Nature 2002, 419, 832–837. [Google Scholar] [CrossRef]
- Gautier, M.; Klassmann, A.; Vitalis, R. REHH 2.0: A reimplementation of the R package REHH to detect positive selection from haplotype structure. Mol. Ecol. Resour. 2016, 17, 78–90. [Google Scholar] [CrossRef] [PubMed]
- Gautier, M.; Naves, M. Footprints of selection in the ancestral admixture of a New World Creole cattle breed. Mol. Ecol. 2011, 20, 3128–3143. [Google Scholar] [CrossRef]
- Winnenburg, R.; Urban, M.; Beacham, A.; Baldwin, T.K.; Holland, S.; Lindeberg, M.; Hansen, H.; Rawlings, C.; Hammond-Kosack, K.E.; Köhler, J. PHI-base update: Additions to the pathogen host interaction database. Nucleic Acids Res. 2008, 36, D572–D576. [Google Scholar] [CrossRef]
- Almagro Armenteros, J.J.; Tsirigos, K.D.; Sønderby, C.K.; Petersen, T.N.; Winther, O.; Brunak, S.; von Heijne, G.; Nielsen, H. SignalP 5.0 improves signal peptide predictions using deep neural networks. Nat. Biotechnol. 2019, 37, 420–423. [Google Scholar] [CrossRef] [PubMed]
- Almagro Armenteros, J.J.; Salvatore, M.; Emanuelsson, O.; Winther, O.; von Heijne, G.; Elofsson, A.; Nielsen, H. Detecting sequence signals in targeting peptides using deep learning. Life Sci. Alliance 2019, 2, e201900429. [Google Scholar] [CrossRef] [PubMed]
- Sperschneider, J.; Gardiner, D.M.; Dodds, P.N.; Tini, F.; Covarelli, L.; Singh, K.B.; Manners, J.M.; Taylor, J.M. EffectorP: Predicting fungal effector proteins from secretomes using machine learning. New Phytol. 2016, 210, 743–761. [Google Scholar] [CrossRef]
- Kumar, S.; Stecher, G.; Li, M.; Knyaz, C.; Tamura, K. MEGA X: Molecular Evolutionary Genetics Analysis across Computing Platforms. Mol. Biol. Evol. 2018, 35, 1547–1549. [Google Scholar] [CrossRef] [PubMed]
- Jombart, T.; Devillard, S.; Balloux, F. Discriminant analysis of principal components: A new method for the analysis of genetically structured populations. BMC Genet. 2010, 11, 94. [Google Scholar] [CrossRef] [PubMed]
- Chuma, I.; Isobe, C.; Hotta, Y.; Ibaragi, K.; Futamata, N.; Kusaba, M.; Yoshida, K.; Terauchi, R.; Fujita, Y.; Nakayashiki, H.; et al. Multiple Translocation of the AVR-Pita Effector Gene among Chromosomes of the Rice Blast Fungus Magnaporthe oryzae and Related Species. PLoS Pathog. 2011, 7, e1002147. [Google Scholar] [CrossRef]
- Martin, K.; McDougall, B.M.; McIlroy, S.; Chen, J.; Seviour, R.J. Biochemistry and molecular biology of exocellular fungal β-(1,3)- and β-(1,6)-glucanases. Fems Microbiol. Rev. 2007, 31, 168–192. [Google Scholar] [CrossRef]
- Mouyna, I.; Hartl, L.; Latgé, J.-P. β-1,3-glucan modifying enzymes in Aspergillus fumigatus. Front. Microbiol. 2013, 4, 81. [Google Scholar] [CrossRef]
- Vermassen, A.; Leroy, S.; Talon, R.; Provot, C.; Popowska, M.; Desvaux, M. Cell Wall Hydrolases in Bacteria: Insight on the Diversity of Cell Wall Amidases, Glycosidases and Peptidases Toward Peptidoglycan. Front. Microbiol. 2019, 10, 331. [Google Scholar] [CrossRef]
- Sweigard, J.A.; Chumley, F.G.; Valent, B. Cloning and analysis of CUT1, a cutinase gene from Magnaporthe grisea. Mol. Gen. Genet. Mgg 1992, 232, 174–182. [Google Scholar] [CrossRef]
- Zhong, Z.; Chen, M.; Lin, L.; Han, Y.; Bao, J.; Tang, W.; Lin, L.; Lin, Y.; Somai, R.; Lu, L.; et al. Population genomic analysis of the rice blast fungus reveals specific events associated with expansion of three main clades. ISME J. 2018, 12, 1867–1878. [Google Scholar] [CrossRef] [PubMed]
- Gutaker, R.M.; Groen, S.C.; Bellis, E.S.; Choi, J.Y.; Pires, I.S.; Bocinsky, R.K.; Slayton, E.R.; Wilkins, O.; Castillo, C.C.; Negrão, S.; et al. Genomic history and ecology of the geographic spread of rice. Nat. Plants 2020, 6, 492–502. [Google Scholar] [CrossRef]
- Tiffin, P.; Moeller, D.A. Molecular evolution of plant immune system genes. Trends Genet. Tig. 2006, 22, 662–670. [Google Scholar] [CrossRef]
- Sánchez-Vallet, A.; Fouché, S.; Fudal, I.; Hartmann, F.E.; Soyer, J.L.; Tellier, A.; Croll, D. The Genome Biology of Effector Gene Evolution in Filamentous Plant Pathogens. Annu. Rev. Phytopathol. 2018, 56, 21–40. [Google Scholar] [CrossRef] [PubMed]
- Kim, K.-T.; Ko, J.; Song, H.; Choi, G.; Kim, H.; Jeon, J.; Cheong, K.; Kang, S.; Lee, Y.-H. Evolution of the Genes Encoding Effector Candidates Within Multiple Pathotypes of Magnaporthe oryzae. Front. Microbiol. 2019, 10, 2575. [Google Scholar] [CrossRef] [PubMed]
- Quibod, I.L.; Perez-Quintero, A.; Booher, N.J.; Dossa, G.S.; Grande, G.; Szurek, B.; Vera Cruz, C.; Bogdanove, A.J.; Oliva, R. Effector Diversification Contributes to Xanthomonas oryzae pv. oryzae Phenotypic Adaptation in a Semi-Isolated Environment. Sci. Rep. 2016, 6, 34137. [Google Scholar] [CrossRef]




| Gene | iHS (Non-Rice) | iHS (Rice) | XPEHH | XPCLR | PHI | Description | Identity (%) | |||
|---|---|---|---|---|---|---|---|---|---|---|
| Score | −log p | Score | −log p | Score | −log p | |||||
| MGG_15370 | −2.77 | 2.25 | PHI:2150 | effector | 99.5 | |||||
| MGG_07528 | 2.83 | 2.34 | PHI:121 | Lost pathogenicity | 100.0 | |||||
| MGG_04842 | 2.92 | 2.45 | PHI:362 /PHI:2520 | Lost pathogenicity /lethal | 68.9 | |||||
| MGG_07312 | 3.19 | 2.85 | PHI:2200 /PHI:3163 | Lost pathogenicity /reduced_virulence | 100.0 | |||||
| MGG_02916 | 3.03 | 2.61 | 2.81 | 2.31 | PHI:4962 | reduced_virulence | 100.0 | |||
| MGG_02986 | 2.69 | 2.15 | PHI:893 | reduced_virulence | 100.0 | |||||
| MGG_03087 | 2.62 | 2.06 | PHI:6409 | reduced_virulence | 91.3 | |||||
| MGG_07514 | 2.73 | 2.20 | PHI:5440 | reduced_virulence | 100.0 | |||||
| MGG_09396 | 7.01 | 11.62 | PHI:1097 | reduced_virulence | 67.5 | |||||
| MGG_14061 | 2.73 | 2.19 | PHI:4509 | reduced_virulence | 66.1 | |||||
| MGG_05464 | 3.60 | PHI:2208 | reduced_virulence | 100.0 | ||||||
| MGG_10730 | 2.82 | PHI:2095 | reduced_virulence | 100.0 | ||||||
| MGG_14767 | 2.94 | PHI:2049 | reduced_virulence | 100.0 | ||||||
| MGG_17278 | 2.29 | PHI:200 | reduced_virulence | 67.1 | ||||||
| Gene | iHS (Non-Rice) | iHS (Rice) | XPEHH | xpclr_norm | SignalP | Subcellular Localization | EffectorP (%) | |||
|---|---|---|---|---|---|---|---|---|---|---|
| Score | −log p | Score | −log p | Score | −log p | |||||
| MGG_15370 | −2.77 | 2.25 | + | extracellular | 96.7 | |||||
| MGG_07993 | 2.26 | + | extracellular | 94.0 | ||||||
| MGG_00230 | 3.19 | 2.84 | + | extracellular | 91.7 | |||||
| MGG_07352 | 3.13 | 2.75 | + | extracellular | 90.2 | |||||
| MGG_06231 | 2.71 | + | extracellular | 88.2 | ||||||
| MGG_06234 | 2.97 | 2.53 | 2.25 | + | extracellular | 88.1 | ||||
| MGG_17666 | 2.63 | 2.06 | + | extracellular | 85.7 | |||||
| MGG_15458 | 3.10 | 2.71 | + | extracellular | 79.1 | |||||
| MGG_05538 | 3.91 | 4.03 | + | extracellular | 78.1 | |||||
| MGG_14374 | 3.08 | 2.68 | + | extracellular | 77.9 | |||||
| MGG_08214 | 5.15 | 6.57 | + | extracellular | 76.2 | |||||
| MGG_16925 | 2.70 | + | extracellular | 73.9 | ||||||
| MGG_15106 | 3.45 | + | extracellular | 73.3 | ||||||
| MGG_16938 | 3.80 | 3.85 | 6.23 | + | extracellular | 72.8 | ||||
| MGG_07311 | 3.17 | 2.82 | 2.84 | + | extracellular | 69.1 | ||||
| MGG_07246 | 2.73 | + | extracellular | 67.7 | ||||||
| MGG_16953 | 2.31 | + | extracellular | 60.8 | ||||||
| Publisher’s Note: MDPI stays neutral with regard to jurisdictional claims in published maps and institutional affiliations. | 
© 2021 by the authors. Licensee MDPI, Basel, Switzerland. This article is an open access article distributed under the terms and conditions of the Creative Commons Attribution (CC BY) license (http://creativecommons.org/licenses/by/4.0/).
Share and Cite
Duan, G.; Bao, J.; Chen, X.; Xie, J.; Liu, Y.; Chen, H.; Zheng, H.; Tang, W.; Wang, Z. Large-Scale Genome Scanning within Exonic Regions Revealed the Contributions of Selective Sweep Prone Genes to Host Divergence and Adaptation in Magnaporthe oryzae Species Complex. Microorganisms 2021, 9, 562. https://doi.org/10.3390/microorganisms9030562
Duan G, Bao J, Chen X, Xie J, Liu Y, Chen H, Zheng H, Tang W, Wang Z. Large-Scale Genome Scanning within Exonic Regions Revealed the Contributions of Selective Sweep Prone Genes to Host Divergence and Adaptation in Magnaporthe oryzae Species Complex. Microorganisms. 2021; 9(3):562. https://doi.org/10.3390/microorganisms9030562
Chicago/Turabian StyleDuan, Guohua, Jiandong Bao, Xiaomin Chen, Jiahui Xie, Yuchan Liu, Huiquan Chen, Huakun Zheng, Wei Tang, and Zonghua Wang. 2021. "Large-Scale Genome Scanning within Exonic Regions Revealed the Contributions of Selective Sweep Prone Genes to Host Divergence and Adaptation in Magnaporthe oryzae Species Complex" Microorganisms 9, no. 3: 562. https://doi.org/10.3390/microorganisms9030562
APA StyleDuan, G., Bao, J., Chen, X., Xie, J., Liu, Y., Chen, H., Zheng, H., Tang, W., & Wang, Z. (2021). Large-Scale Genome Scanning within Exonic Regions Revealed the Contributions of Selective Sweep Prone Genes to Host Divergence and Adaptation in Magnaporthe oryzae Species Complex. Microorganisms, 9(3), 562. https://doi.org/10.3390/microorganisms9030562
 
         
                                                


 
       