Abstract
Concerns about microplastic pollution have risen as numerous studies have reported detection of microplastics in foods, including seafood. One emerging concern is the ability of microplastics to vector pathogens that can adhere to biofilms on microplastic surfaces. Here, we investigated whether microplastics can facilitate zoonotic protozoan parasite contamination in shellfish. Oysters were selected for this study because they are commonly eaten raw and can harbor zoonotic protozoan pathogens. Acclimated live oysters were exposed in closed aquaria to Cryptosporidium, Giardia, and Toxoplasma (oo)cysts that had been incubated in seawater either as protozoa alone (P treatment) or with preconditioned polyester microfibers (P + M treatment). After overnight exposure, oysters were transferred to clean seawater flow-through aquaria for depuration. Over the experimental period, oysters exposed to both protozoa and microfibers had significantly higher numbers of protozoan pathogens than oysters exposed to protozoa alone. Our study provides experimental evidence that microplastics may facilitate protozoan pathogen contamination in shellfish. These results demonstrate how anthropogenic pollution may have unintended consequences on infectious disease transmission in coastal ecosystems, with potential risk to wildlife populations and human public health.
1. Introduction
Plastic pollution is recognized as a globally pervasive phenomenon, reaching every continent on earth [1,2]. Microplastics, defined as plastics < 5 mm in size, are either manufactured for various industrial purposes (primary microplastics) or derived from larger pieces of plastics that break down in the environment over time (secondary microplastics). Both types of microplastics are found in marine ecosystems worldwide [3]. Microplastics have garnered increased attention as numerous studies have reported detection of microplastics in marine biota, including those for human consumption [4,5,6].
Recent reports have shown that exposure to microplastic particles can negatively impact the growth, reproduction and survival of aquatic organisms and cause toxic and inflammatory lesions in humans (direct effects) [7,8]. Additional studies suggest that microplastics may act as vectors, increasing the uptake of pathogens and/or chemical pollutants that accumulate on their surfaces (indirect effects) [9,10,11]. Of particular relevance to microbial pathogens, when microplastics enter aquatic environments, biofilm readily develops on plastic surfaces, beginning with the rapid accumulation of organic matter and bacteria that form a conditioning layer [9]. Early bacterial colonizers then produce an extracellular polymeric substance (EPS) matrix that establishes the structural foundation of the biofilm [9]. A wide range of microorganisms, including fungi, viruses and protozoa, can adhere to–or become embedded within–this established matrix to form the complex community known as “Plastisphere” [10,11,12,13,14]. This community of microbial hitchhikers can then be transported by plastic particles throughout marine ecosystems [9,14]. Zettler et al. reported that the plastisphere contained diverse microbial communities that were distinct from the microbial diversity in the surrounding seawater [12]. Unlike bacteria that can proliferate in the environment (such as Vibrio spp.), the transmission of terrestrial protozoan parasites in the aquatic environment is mainly a function of their transport and survival. We have previously reported that zoonotic protozoan parasites can concentrate on the biofilms on the surfaces of microplastics when suspended in seawater [15]. While these findings raise concerns about microplastics serving as vectors for pathogenic microorganisms in marine ecosystems, there have been no studies to date that evaluate whether pathogens that “hitchhike” on plastic surfaces are more likely to enter marine food webs than pathogens in plastic-free waters.
To investigate whether microplastics facilitate the entry and retention of zoonotic protozoa in shellfish, we performed a laboratory spiking and depuration experiment using live oysters in tanks with or without microplastic co-contamination. In this study, we focused on three terrestrially derived zoonotic protozoan pathogens that have been reported to contaminate shellfish worldwide: Cryptosporidium parvum, Giardia duodenalis, and Toxoplasma gondii [16]. These parasite (oo)cysts are remarkably robust in the environment, can survive months to years in seawater, and their infectious dose can be as low as 1–10 (oo)cysts [17,18,19]. Cryptosporidium and Giardia spp. (oo)cysts are shed in feces from warm-blooded animals including humans, and they can cause acute gastroenteritis with potential for severe disease [17,18]. Toxoplasma gondii has a unique feature in that felids are the only definitive hosts that can shed oocysts in feces to the environment [20]. Toxoplasma gondii infections can result in asymptomatic to severe disease, abortion, and death in humans and susceptible animal hosts, including marine wildlife [21,22]. Oysters were selected for this study because they are commonly eaten raw and are known to harbor zoonotic protozoan pathogens [16]. Previous study has shown that consumption of raw oysters, clams, or mussels is a significant risk factor for T. gondii infection in humans [23]. For microplastics, polyester microplastic fibers (hereinafter referred to as microfibers) were selected as target microplastics in this study because of their abundance in the marine environment [24] and a previous report demonstrating the higher level of association of protozoan pathogens with microfibers compared to microplastic beads [15].
Our present study provides novel experimental insights into whether pathogens that are associated with biofilms on plastic surfaces are more likely to enter marine food webs than pathogens in plastic-free water. This question has not been addressed previously, with published tank-based studies focusing on either pathogens or microplastics separately. By integrating these two pollutants within a single experimental design, our work fills an important gap and offers new data relevant to understanding the interactions between pathogen and microplastic pollution in marine ecosystems.
2. Materials and Methods
2.1. Oysters
Pacific oysters (Magallana gigas; also known as Crassostrea gigas) were collected from an oyster farm in October 2022 (end of the dry season and before seasonal rainfall began, which can increase the risk of pathogen contamination [25]). “Extra-small” oysters that people commonly eat raw were chosen for the experiments. The mean ± standard deviation of oyster size was 7.7 ± 0.7 cm in length and 4.4 ± 0.4 cm in width. A subset of ten oysters was analyzed for background protozoan pathogen contamination using the same analytical methods applied in the experiment, and no target protozoan parasites were detected. The remaining oysters (n = 150) were randomly placed in six 38 L aquaria (hereinafter referred to as tanks) containing a total of 37 L seawater with a total of 25 oysters per tank. The tanks were covered with acrylic lids to reduce airborne microfiber contamination. The oysters were acclimated at 12 °C for two weeks in the tanks, which were equipped with aeration and a flow-through seawater system in quarantine at the California Department of Fish and Wildlife (CDFW) Shellfish Health Laboratory at the University of California, Davis (UC Davis) Bodega Marine Laboratory. The seawater entering the tanks was filtered (20 μm pore size) and UV-sterilized; outgoing seawater was also double UV-sterilized. The oysters were fed in-house-grown algae (Isochrysis sp.) two to three times per week by suspending flow for approximately one hour, during which the oysters cleared the algae from the water, throughout the acclimation and experimental periods (Figure 1A).
Figure 1.
(A) Timeline and (B) flow diagram of the experimental design. (A) Microfibers were conditioned in seawater for 14 days to allow microbial biofilms to develop (preconditioning). Biofilm-established microfibers were then incubated with target protozoan parasites for 5 days to facilitate their adhesion to the established biofilms. The same numbers of protozoa were incubated for 5 days in seawater without preconditioned microfibers. Oysters were acclimated for 14 days before exposure to a cocktail of Cryptosporidium parvum, Giardia duodenalis, and Toxoplasma gondii (oo)cysts, either as protozoa alone (P) or protozoa with microfibers (P + M). (B) After exposure in static tanks, oysters were transferred to flow-through tanks for depuration and sampled over 6 days. Oyster whole tissues and their biodeposits collected from the bottom of each tank were analyzed using epifluorescence microscopy. Negative control tanks (N) containing live oysters but without target parasites or microfibers were included to assess cross-contamination during the experiments.
2.2. Microplastics
Polyester microfibers were selected as model microplastic particles due to their reported prevalence in marine ecosystems, including shellfish [24,26,27]. The type and size of microplastics were chosen based on a previous study showing that more protozoan pathogens were associated with polyester microfibers as compared to polystyrene microspheres [15]. A 777 Spun Polyester Type 54 (disperse dyeable) fabric (Item No. 1414005) was purchased from Testfabrics Inc. (West Pittston, PA, USA). The fabric is composed of 100% Dacron polyester, a polyethylene terephthalate (PET)-based fiber known for its chemical stability and mechanical resilience. To produce microfibers, the threads of the fabrics were separated and manually cut to approximately 1 mm length using fabric scissors, a dissecting microscope, and millimeter graph papers. The mean length of a random subsample of one hundred microfiber particles, measured using an Olympus BX43 epifluorescence microscope (Olympus corporation, Tokyo, Japan) and the cellSense Standard software Ver. 3.1, was 998 ± 195 μm (mean ± standard deviation), confirming an average size of approximately 1 mm. Microfibers were dyed pink to facilitate the detection of spiked microfibers and to discriminate our artificially spiked particles from background presence of microfibers that may have contaminated oysters prior to their collection under natural environmental conditions. The dyeing approach was performed as previously described [28] with slight modification. In brief, 0.1 g microfibers were added in 40 mL of 100 mg/mL iDye Poly PINK synthetic fabric dye solution (Jacquard Products, Healdsburg, CA, USA) and heated at 90 °C for 2 h in the dark with gentle stirring every 30 min. After incubation, the mixture was poured through a 100 μm cell strainer, and then the fibers on the strainer were resuspended and rinsed in 40 mL Milli-Q water. After three rinses, the fibers were stored in 25 mL Milli-Q water. Dyed microfibers were observed to be pink under a UV emission filter and red under a Texas Red emission filter of an Olympus BX43 fluorescence microscope (Figure S1).
To induce biofilm formation on the microfiber surfaces, microfibers were preconditioned in 1 L glass flasks containing 500 mL of raw seawater collected from Bodega Bay, California, and placed on a shaker at room temperature with ambient lighting for 14 days [15]. The mouth of the flask was covered with aluminum foil to reduce deposition of atmospheric microplastics. Aeration was provided using glass pipette tips and an air pump to prevent anoxic conditions in the flasks during biofilm formation. Following the biofilm formation period, subsamples from the flasks were filtered through 25 mm 0.4 μm pore size HTTP membrane filters (MilliporeSigma, Burlington, MA, USA) and stained with Alcian blue solution to observe biofilm formation [15,29,30]. Biofilm formation on the microfibers was confirmed by visualization of extracellular polymeric substances (EPS) around the microfibers (Figure 2A). Microfibers in the flasks were gently recovered to minimize disruption of formed biofilms using 100 μm cell strainers and resuspended with 100 mL of new raw seawater. The concentrations of microfiber particles in the mixture were quantified using membrane filtration and an Olympus BX43 epifluorescence microscope.
Figure 2.
Micrographs showing (A) biofilm formation on polyester microfibers following seawater preconditioning (brightfield), and (B) association of Cryptosporidium parvum (arrow), Giardia duodenalis (arrowhead), and Toxoplasma gondii (double arrowhead) with biofilm formed on the microfiber surface (brightfield and UV epifluorescence). Biofilm was visualized using Alcian blue, which stains extracellular polymeric substances (EPS) and appears as a bluish irregular matrix. Cryptosporidium parvum and G. duodenalis were stained using direct fluorescent antibody staining (EasyStain™ kit (BioPoint Pty Ltd, Belrose, NSW, Australia)). Toxoplasma gondii exhibits autofluorescence under UV excitation. Protozoan pathogens recovered from pepsin-digested oyster tissue were also visualized: (C) C. parvum and G. duodenalis (FITC epifluorescence), and (D) Toxoplasma gondii (UV epifluorescence). Scale bars = 50 µm.
2.3. Protozoan Parasites
Live C. parvum oocysts (Iowa isolate subtype IIa) and G. duodenalis cysts (human isolate H3, Assemblage B) were purchased from the Cryptosporidium Production Laboratory at the University of Arizona (Tucson, AZ, USA) and Waterborne™ Inc. (New Orleans, LA, USA), respectively. Toxoplasma gondii oocysts (Type II strain M4) were generously provided by Dr. Jeroen Saeij’s laboratory at the University of California, Davis (Davis, CA, USA). Parasite (oo)cysts were heat-inactivated as described previously [31] to reduce exposure risk to laboratory personnel and inadvertent environmental contamination during the experiments. To prepare protozoa plus microplastic spikes, 400,000 (oo)cysts each of C. parvum, G. duodenalis and T. gondii were added to duplicate glass bottles containing 40 mL of seawater and preconditioned microfibers (100,000 particles ≈ 0.032 g). These bottles were incubated at 4 °C for 5 days on a shaker to promote the association of protozoa and microfibers (Figure 1A and Figure 2B). Maintaining the bottles under cold conditions during this incubation step helped reduce water fouling while allowing association of protozoa on sticky biofilms that had formed on microfibers during the preconditioning period. For spikes containing only protozoa, the same quantity of protozoa was added to two separate bottles containing 40 mL of seawater but without preconditioned microfibers, and these were also incubated at 4 °C for 5 days to maintain consistency with the spikes containing both protozoa and microfibers.
2.4. Aquaria Experiment
An experiment was performed at the CDFW Shellfish Health Laboratory at UC Davis Bodega Marine Laboratory to test the hypothesis that microplastics can facilitate protozoan pathogen contamination in shellfish. Six tanks containing oysters were categorized in three experimental groups (2 tanks per treatment; 25 oysters per tank) as follows: (1) clean seawater (negative control, N); (2) seawater spiked with protozoa alone (treatment 1, hereinafter referred to as P); and (3) seawater spiked with protozoa and microfibers (treatment 2, hereinafter referred to as P + M) (Figure 1B). On the day of exposure, the flow-through system was paused, and the water volume was reduced to approximately half the height of the tanks to prevent water splashing during the exposure period. Spikes were mixed with algae to promote active feeding and poured into their corresponding tanks. The total volume of water after spiking was adjusted to 30 L in each tank, resulting in approximately 1.3 × 104 (oo)cysts/L with or without 3.3 × 103 microfiber particles/L. During the 18 h overnight exposure period, static oyster tanks were partially submerged in flowing water (i.e., water jacket effect) to minimize temperature fluctuation. During the exposure period, water temperature ranged between 11.4 and 13.5 °C (mean 12.4 °C), which was similar to the flow-through system temperature during acclimation of 11.2–14.3 °C (mean 12.2 °C). Following exposure (Day 0), all oysters in each tank were removed, and five oysters from each tank were collected (10 oysters per treatment group). As many feces and pseudofeces particles as possible were collected from the bottom of each tank to assess for oyster ingestion of protozoan pathogens and microplastics. Feces are defined as particles that go through the oyster digestive tract while pseudofeces are organic floc-like particles that are concentrated by the oysters but expelled without passing through their digestive tract [32,33]. After the tanks were decanted and rinsed thoroughly with filtered seawater, the remaining oysters were returned to their respective tanks, and a depuration period was initiated with flow-through conditions using filtered clean seawater. Subsets of oysters (5 oysters per tank, 10 oysters per treatment group) were collected on Days 1, 2, 3, and 6. A six-day depuration period was selected based on previous studies [34,35] and on our preliminary trials, which showed that protozoa such as Cryptosporidium, Giardia, and Toxoplasma were substantially depurated from oysters within the first few days. In addition, commercial depuration systems in the United States typically operate for only 1–2 days [36]. Therefore, a six-day depuration period allowed us to focus on the time window that is biologically meaningful and reflective of real-world shellfish handling practices. Oyster feces and pseudofeces were also collected on each sampling day to assess the presence of microplastics and protozoan pathogens. Over the 2 weeks of acclimation and 1 week of experimental period, only one oyster died out of 150 oysters housed in the flow-through tanks. Cotton (100%) laboratory coats were worn throughout the experiments to minimize possible microplastic contamination from synthetic microfiber clothing.
2.5. Oyster Processing
Oyster whole tissue was homogenized and digested using pepsin-HCl as previously described [31,37]. In brief, each oyster was shucked, placed in a 50 mL conical tube, and homogenized using an Omni tissue homogenizer (Omni International, Kennesaw, GA, USA). The homogenate was digested using pepsin-HCl solution for 75 min at 35 °C with vortex mixing every 25 min. After three washes alternating between Milli-Q water and PBS washing solution and centrifugation at 900× g for 5 min, the pellet was reserved for enumeration of (oo)cysts and microfibers. Procedural laboratory blanks containing digestion and washing reagents without oysters were included in every pepsin-HCl digestion to account for any possible contamination with either pathogens or background/aerosolized microplastics in the laboratory space. In this study, pepsin-HCl digestion was chosen to digest oyster tissues because this method allows detection of both parasites and microfibers in oyster pellets. In preliminary tests, we evaluated the potassium hydroxide (KOH) digestion method, which is commonly applied for microplastic detection in fish and bivalves. However, treatment with 20% KOH at 45 °C for 24 h led to degradation of the target protozoan pathogens in oysters; consequently, this method was not employed in subsequent analyses.
The mixture of biodeposits collected from the bottom of each tank was visually inspected and separated as feces vs. pseudofeces within 24 h of collection. Tightly clumped, string-shaped particles were considered to be feces produced during digestion, while lightly packed, floc-like biodeposits were classified to be pseudofeces [32]. The feces were stored in separate 5 mL tubes for visualizing protozoa and microfibers.
2.6. Enumeration of Parasites and Microplastics
Recovery of C. parvum and G. duodenalis (oo)cysts in pepsin-digested oyster pellets was performed using Immunomagnetic separation (IMS) with the Dynabeads™ GC-Combo kit (IDEXX Laboratories Inc., Westbrook, ME, USA). Subsequently, C. parvum and G. duodenalis were stained using an immunofluorescence reagent included in the EasyStain™ kit (Biopoint Pty Ltd, Belrose, NSW, Australia), which is specifically formulated for the detection of these protozoa. This staining procedure is referred to as a direct fluorescent antibody (DFA) test [31,38]. The IMS-DFA technique, as outlined in EPA Method 1623.1, is a validated protocol designed for sensitive and specific detection and quantification of Cryptosporidium and Giardia from environmental matrices, including shellfish [31,38,39]. Cryptosporidium parvum and G. duodenalis were quantified using an Olympus BX43 fluorescence microscope equipped with a Fluorescein isothiocyanate (FITC) filter set (Figure 2C). To quantify T. gondii, the initial supernatant from the IMS procedure (collected after the separation of C. parvum and G. duodenalis (oo)cysts from oyster matrix) was recovered and filtered [31]. Membrane filtration was performed by filtering the supernatant through 25 mm 5 μm pore size mixed cellulose membrane filters (MilliporeSigma, Burlington, MA, USA). The numbers of T. gondii oocysts were enumerated using an Olympus BX43 fluorescence microscope under UV using a UV/DAPI long-pass filter set (Figure 2D). Microfibers in oysters were also quantified on the same membrane filters under UV (Figure S1d).
To evaluate oyster ingestion of pathogens and microfibers, subsamples of feces collected from each tank and date were loaded on a microscopic slide using transfer pipettes, and excess water was aspirated using micropipette tips. To stain C. parvum and G. duodenalis (oo)cysts in feces, one or two drops of an immunofluorescence reagent in the EasyStain™ kit were added to ensure complete coverage of the samples, and then the slide was incubated at room temperature in the dark for 20 min. Without washing, a cover slip was applied, and pathogens and microfibers were observed using the same microscope filter sets as described above.
2.7. Data Analysis
Mixed-effects negative binomial regression models were used to evaluate the effect of treatment (P vs. P + M) on protozoan counts in oysters over the duration of the experiment. The tank was included as a random effect to account for repeated sampling within study systems, and the sampling day was treated as a categorical covariate. Models were fitted in R (version 4.5.0) using the glmmTMB package (family = nbinom2, default log link). Separate models were evaluated for the combined protozoa count (“all protozoa,” representing the total number of C. parvum, G. duodenalis, and T. gondii (oo)cysts) and for each protozoan species individually. Model-based expected counts were visualized by generating marginal predictions across sampling days and treatments using the ggeffects package and plotting them alongside observed counts. Model coefficients were exponentiated to obtain incidence rate ratios (IRRs) with 95% confidence intervals (CIs). To visually illustrate treatment effects for each protozoan pathogen, IRRs for the treatment term were summarized in a forest plot.
3. Results
On each sampling day, five oysters were sampled from each tank, resulting in 10 oysters tested per day for each experimental condition. All ten oysters from the P (protozoa alone) or the P + M (protozoa and microfibers) tanks that were sampled on D0 contained the three spiked protozoan parasites, except for one oyster from a P tank that did not harbor G. duodenalis cysts. No parasites were detected in the ten oysters from the negative control tanks on D0, nor in any negative control oysters during the remainder of the experiment. The procedural laboratory blanks were completely free of target protozoa and microfibers.
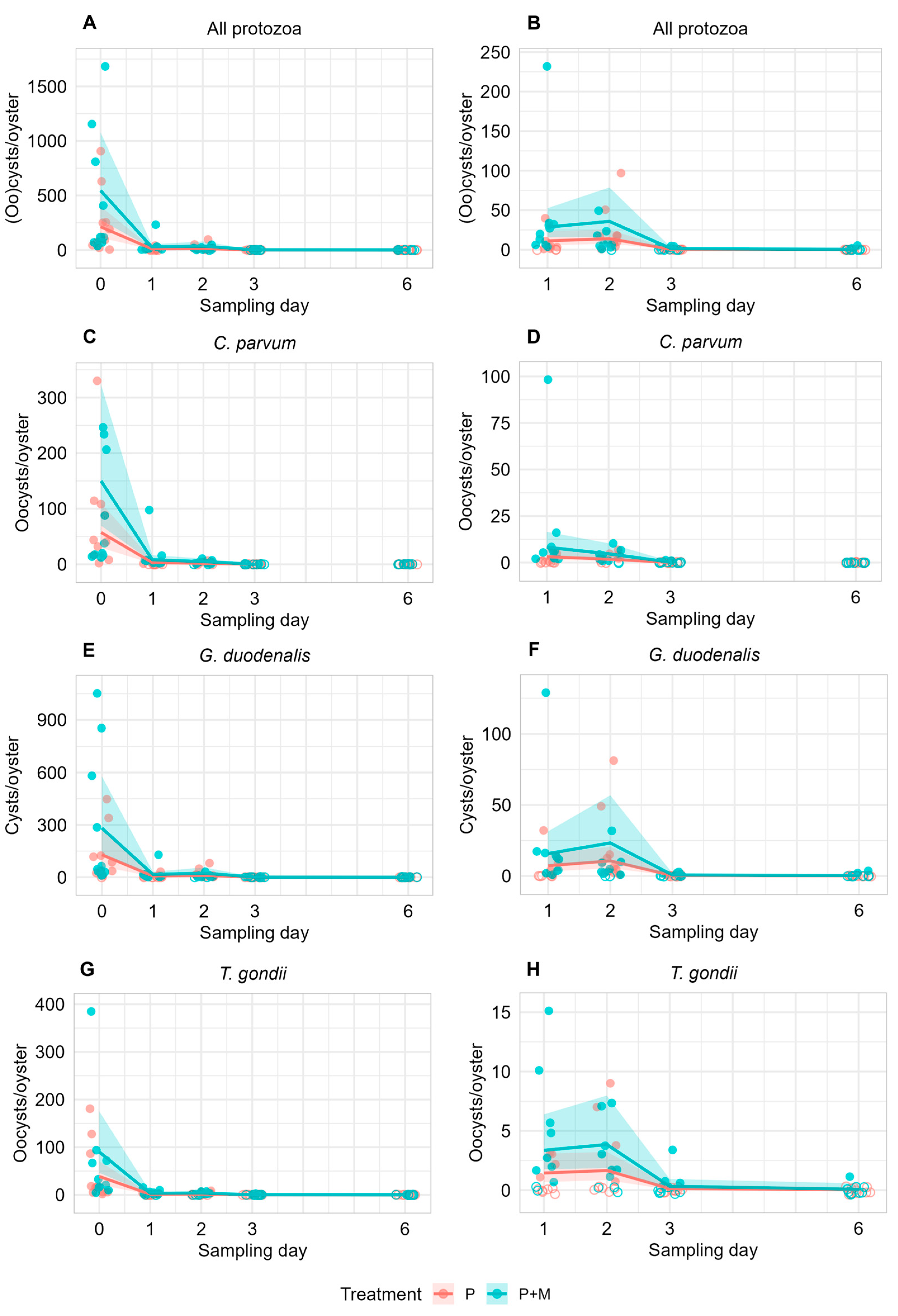
When the numbers of protozoan pathogens recovered from oysters over the entire duration of the experiment were evaluated using mixed-effects negative binomial regression, oysters exposed to both protozoa and microfibers (P + M) harbored significantly higher numbers of protozoan (oo)cysts as compared to oysters exposed to protozoan alone (P) following the acute exposure period (Figure 3). After depuration in the clean seawater flow-through tanks, protozoa counts in oysters quickly decreased in both treatments. All three protozoan parasites were detected in oysters for 2 days of depuration in the P tanks and for 3 days in the P + M tanks (Figure 3B,D,F,H; Table S1). After 6 days of depuration, no protozoa were observed in oysters from the P tanks, while low numbers of G. duodenalis and T. gondii were still found in oysters from the P + M tanks (Figure 3B,D,F,H; Table S1).
Figure 3.
Recovered protozoan (oo)cysts per oyster (10 oysters per treatment group) across the full experimental period (A,C,E,G) and during the depuration period (B,D,F,H; excluding Day 0). Oysters were sampled from tanks spiked with protozoa alone (P) or with protozoa and microfibers (P + M). Filled circles indicate detection of protozoan (oo)cysts; open circles indicate no detection. Day 0 represents sampling immediately after overnight exposure, while Days 1, 2, 3, and 6 correspond to days of depuration. Solid lines show predictions from mixed-effects negative binomial regression models, with shaded ribbons indicating 95% confidence intervals. “All protozoa” refers to the combined counts of Cryptosporidium parvum, Giardia duodenalis and Toxoplasma gondii. Due to the relatively higher parasite concentrations observed on Day 0, a separate visualization of recovered parasites is provided across Days 1–6 (B,D,F,H) to better illustrate pathogen concentrations during the depuration period.
After adjusting for sampling day, negative binomial regression models indicated that the number of all protozoan pathogens (combined) detected in oysters from the P + M tanks was significantly higher than the number of protozoan pathogens detected in oysters from the P tanks (Figure 4). Expected counts for all protozoan pathogens (combined) were 2.6 times greater in oysters exposed to microplastics (P + M tanks) relative to oysters from the P tanks (incidence rate ratio (IRR) = 2.6, 95% confidence interval (CI): 1.3–4.9, p < 0.01, Figure 4). Pathogen-specific IRRs similarly demonstrated that oysters exposed to both protozoa and microfibers (P + M) contained significantly higher numbers of each protozoan when evaluated separately: C. parvum (IRR = 2.6, 95% CI: 1.2–5.9, p = 0.02), G. duodenalis (IRR = 2.2, 95% CI: 1.1–4.5, p = 0.03) and T. gondii (IRR = 2.3, 95% CI: 1.2–4.5, p = 0.01) (Figure 4).
Figure 4.
Incidence rate ratios (IRRs) representing the treatment effect of P + M (protozoa and microfibers) compared with P (protozoa alone) on protozoan pathogen counts in oysters. IRRs were obtained from separate mixed-effects negative binomial regression models fitted for each protozoan outcome. Each point represents the estimated IRR for the treatment term, and error bars indicate 95% confidence intervals (CIs). The dashed vertical line at IRR = 1 denotes no difference between treatments; IRRs and 95% CIs greater than 1 indicate that pathogen counts in oysters from the P + M treatment were significantly greater than pathogen counts in oysters from the P treatment.
Presence of microplastic fibers in exposed oysters was also assessed throughout the experiment (Table S1). While microplastic quantification data were not central to the primary objective of our study, spiked microfibers were visualized in all ten oysters collected on D0 from the P + M tanks and then declined during the depuration period (Table S1). One single particle of spiked microfibers was observed in one of the oysters collected from a P tank on D0. However, no additional microfibers were found in oysters from the P tanks for the rest of the experimental period. No spiked microfibers were identified in oysters from negative control tanks (N).
All three parasites were observed in oyster feces collected from the P and P + M tanks (Figure S2). Spiked microfibers were observed in feces collected from the P + M tanks but not from the P tanks (Figure S2c). No parasites or microfibers were found in oyster feces collected from the negative control tanks (N).
4. Discussion
Findings from this study suggest that microplastics can facilitate protozoan pathogen contamination in shellfish by passively transporting pathogens entrained in the biofilms that coat their surfaces. Over the 6-day duration of our experiment, significantly higher numbers of parasites were found in oysters that were exposed to both microfibers and protozoa, suggesting that the association between pathogens and microplastics can lead to a higher burden of waterborne pathogens in seafood (Figure 4). The majority of protozoa in sampled oysters in both treatments were detected on Days 0–2, indicating that the impact on pathogen exposure to oyster consumers by microplastic contamination may be most substantial immediately following contamination events (such as heavy runoff). However, it appeared that oysters co-exposed to microfibers (P + M treatment) retained protozoan (oo)cysts longer than oysters exposed to protozoa alone (P treatment) during the depuration period (Figure 3). From a management perspective, longer depuration periods may be needed to reduce the risk of protozoan pathogen exposure to oyster consumers when microplastics are present in nearshore waters.
It is noteworthy that in our experiment, newly purchased cloth was cut and conditioned indoors to form biofilms in raw seawater for two weeks. In the marine environment, microplastics can undergo long-term aging from biological and physicochemical degradation, which can increase the adsorption of pollutants and pathogens with increased surface roughness. A recent study found that significantly more microbial biofilms were formed on UV-degraded microplastics compared to intact microplastic controls [40]. Another study demonstrated that pathogens could associate with microplastics in contaminated seawater, with more parasites adhering to microplastics over time [15]. In the current experiment, pathogens and preconditioned microfibers were incubated for 5 days before spiking into oysters. This is because our previous study has shown that the number of protozoan pathogens associated within biofilms on microfibers generally increased over time, with the amount of pathogens on microfibers exceeding that of the surrounding water from the third day of incubation [15]. In the natural environment, more pathogens may become associated with microplastics with increased contact time, which may further increase the uptake of pathogens by marine species.
The relatively rapid depuration of the parasites was surprising, especially because T. gondii is known to persist for months in oysters [41]. Faster protozoa clearance from oysters in our study may have been due to the depuration conditions. We employed a flow-through system during the depuration to prevent recontamination by protozoa released from oysters, a risk inherent in closed (static-flow) systems. In a prior study reporting long persistence of T. gondii in oysters over time [41], the authors did not indicate whether water was exchanged in the aquaria throughout the experiment period of 85 days following artificial contamination with T. gondii oocysts. If this study was conducted in a closed system, T. gondii oocysts initially concentrated in oysters may have been released into the water and subsequently re-ingested. Gomez-Couso et al. demonstrated that transmission of protozoan pathogens (C. parvum) can occur from experimentally contaminated shellfish to uncontaminated shellfish placed in a static tank (closed system) [42]. Other studies investigating the depuration of T. gondii by mussels with partial or total water exchange systems have reported relatively faster depuration of parasites with rapid reductions in oocyst numbers in the first week [43,44]. In addition, the use of heat-inactivated protozoan parasites may have contributed to the rapid depuration observed in our study, since viable infectious protozoa may interact differently with oyster tissues. For our experiment, protozoa were heat-inactivated to protect laboratory personnel and to prevent inadvertent environmental contamination during large aquaria work, particularly given the risk of T. gondii exposure that can cause life-long infection with potential for severe illness. Future studies on the persistence of viable protozoan pathogens associated with microplastics and the depuration of viable protozoa in oysters with or without microplastics will provide additional insight into how microplastics may mediate infectious disease transmission.
Oysters are often eaten raw by seafood consumers; therefore, pathogens that contaminate oysters pose a significant risk to human health as they are more likely to be ingested in viable or infectious form as compared to pathogens in shellfish that are cooked [45]. Zoonotic protozoan pathogens can also accumulate in other aquatic invertebrates, including crustaceans such as crabs [46] and bivalves such as clams, mussels and scallops [16]. Although these species are not commonly consumed raw by humans, they may still pose a risk of disease transmission when consumed raw or undercooked. Much less is known about whether other crustaceans (such as shrimp or prawns) or small aquatic organisms (such as Daphnia or cypris larvae) can concentrate environmentally derived protozoan pathogens, and thus whether these organisms might vector these pathogens through the marine food webs. Cryptosporidium parvum, G. duodenalis, and T. gondii have been identified by the World Health Organization (WHO) as emerging foodborne pathogens that are likely underestimated as causes of illness through shellfish consumption [47]. Cryptosporidium and Giardia are implicated in a significant global burden of diarrheal disease in humans, especially in young children [17,18]. Toxoplasma gondii is a common zoonotic parasite worldwide, and while infection can be asymptomatic, congenital infection can result in severe sequelae including neurologic and visual impairment [19]. In addition to impacts on human health, the parasites we investigated can affect wildlife health. Whilst less is known about the health effects of Cryptosporidium and Giardia infections on wildlife hosts [48], T. gondii is recognized as an important cause of disease and mortality in endangered marine wildlife. One example of mortality in wildlife was described recently for T. gondii in sea otters [49] where the COUG strain of T. gondii caused deaths in otherwise healthy sea otters and was associated with a particularly severe form of fatal toxoplasmosis. It is possible that virulent strains of T. gondii and other terrestrially derived protozoan pathogens can be carried via microplastics to shellfish and can then be consumed by sea otters and other vulnerable wildlife hosts. Increased pathogen contamination due to microplastics demonstrates the consequences of microplastic pollution as a threat to safe seafood consumption as well as the health of marine wildlife.
Detection of spiked microfibers in oyster tissues in this study demonstrates that Pacific oysters can concentrate 1 mm polyester microfibers from surrounding water. A previous study reported that eastern oysters selectively ingested smaller microspheres (19–1000 µm), while similar proportions of nylon microfibers ranging from 75 to 1075 µm were ingested regardless of lengths [50]. Microfibers have high aspect ratios (i.e., long width and short height) and are less likely constrained by their sizes when ingested by shellfish. Additionally, detection of spiked microfibers in feces in the current study suggests that 1 mm polyester microfibers associated with target protozoan pathogens can pass through the digestive system of Pacific oysters.
We selected microfibers in this study because of their abundance in the marine environment and the potential for protozoa to become associated with biofilms on microfiber surfaces under experimental conditions [15,24]. The concentration of spiked microfibers employed in the current study (3.3 × 103 particles per L) was higher than concentrations reported from environmental field studies. The mean concentration of microplastic contamination in marine surface waters reported in one global study was 11.8 particles per L, with a range of 0 to 220 particles per L [24]. The decision to use higher than environmentally realistic microplastic concentrations was based on logistical constraints that met the methodological detection threshold and allowed for quantifying depuration of particles over time. Surveillance studies on microplastics in shellfish have typically reported 1–10 microfiber particles per individual [4,9,51,52]. Although the number of microfibers recovered after exposure in our study (i.e., a mean of 52 particles per oyster (Table S1)) appeared to be higher than the numbers commonly found in bivalve surveillance studies, there was at least one study that had reported as many as 178 microfibers per farmed mussel [53].
One limitation of the current investigation is that it was conducted with a simplified approach in the presence or absence of microfibers in controlled laboratory conditions. In natural environments, filter-feeding oysters encounter a complex mixture of particulate matter, including diverse plastic types and organic debris that may act as pathogen carriers. Previous studies have demonstrated that protozoan pathogens can also become enriched in marine snow (organic macroaggregates > 0.5 mm), which also serve as a food source for invertebrates [54,55]. Additional limitations, including the use of heat-inactivated protozoa and elevated spiking concentrations, should also be considered when interpreting our findings. Using elevated spike concentrations was necessary to generate detectable and quantifiable parasite and microfiber numbers under the controlled conditions, and the results should be interpreted as a proof-of-concept study rather than as a predictive assessment of real-world exposure or risk. Future laboratory studies incorporating a broader range of plastic types, varying concentrations, and environmentally relevant particles could provide deeper insight into the mechanisms underlying microplastic and pathogen interactions. Additionally, field-based investigations are needed to assess whether the presence of microplastics in shellfish correlates with elevated pathogen loads under environmental conditions.
5. Conclusions
In summary, we demonstrated that microplastics can facilitate pathogen contamination in shellfish under the present experimental conditions. More C. parvum, G. duodenalis, and T. gondii (oo)cysts were found in oysters when these shellfish were co-contaminated with microfibers in seawater, and these pathogens were retained in oysters over an extended duration. Our findings provide proof-of-concept evidence that microplastics may serve as vectors of pathogens into seafood species and potentially prolong their depuration from shellfish. Future research conducted under environmentally relevant conditions as well as field investigations will lead to better understanding on how anthropogenic pollutants such as microplastics can alter the ecology of infectious disease organisms in the nearshore, with cascading impacts on coastal ecosystem sustainability, wildlife populations, and human health.
Supplementary Materials
The following supporting information can be downloaded at https://www.mdpi.com/article/10.3390/microorganisms14020468/s1. Table S1. Mean and standard deviation (SD) of protozoa and microfibers detected per oyster in the P tanks (oysters exposed to protozoa alone) and P+M tanks (oysters exposed to protozoa and microfibers). ND = not detected. Figure S1. Micrographs of polyester microfibers stained with iDye Poly PINK synthetic fabric dye, and imaged under (a) brightfield, (b) UV epifluorescence, and (c) Texas Red epifluorescence. Panel (d) shows spiked microfibers within a pepsin-digested oyster pellet, visualized under brightfield and UV epifluorescence. Scale bars = 100 µm. Figure S2. Micrographs showing Cryptosporidium parvum (arrow), Giardia duodenalis (arrowhead), Toxoplasma gondii (double arrowhead) and microfibers (star) found in oyster feces collected from P tanks spiked with protozoa alone (a,b) or P+M tanks spiked with protozoa and microfibers (c,d). Cryptosporidium parvum and G. duodenalis (oo)cysts were observed under FITC epifluorescence (a) and T. gondii oocysts were visualized under UV epifluorescence (b,d). To show protozoa and microfibers in single images, micrographs taken under FITC and UV epifluorescence were merged (c). Scale bars = 50 µm.
Author Contributions
Conceptualization, M.K., C.M.R., E.V., J.M. and K.S.; methodology, M.K., C.M.R., E.V. and K.S.; software, M.K., E.V. and K.S.; validation, M.K., C.A.B. and C.M.R.; formal analysis, M.K., E.V. and K.S.; investigation, M.K., C.R., L.R., B.M., D.W. and K.S.; resources, C.A.B. and B.M.; data curation, M.K.; writing—original draft preparation, M.K. and C.R.; writing—review and editing, M.K., C.A.B., C.M.R., E.V., C.R. and K.S.; visualization, C.R. and K.S.; supervision, C.A.B. and K.S.; project administration, M.K.; funding acquisition, C.M.R., J.M. and K.S. All authors have read and agreed to the published version of the manuscript.
Funding
This research was funded by the Ocean Protection Council and California Sea Grant Program (19-0592).
Institutional Review Board Statement
Cryptosporidium parvum and Giardia duodenalis (oo)cysts used in this study were purchased from the Cryptosporidium Production Laboratory at the University of Arizona and Waterborne™, Inc., respectively. Production of the C. parvum oocysts involves propagation in calves, and G. duodenalis cysts are generated from infected gerbils. These suppliers produce (oo)cysts using established animal infection models conducted under institutional oversight. Toxoplasma gondii oocysts were obtained from infected cats through a collaborating laboratory at the University of California, Davis (UC Davis), and all associated animal procedures were conducted with the approval and oversight of the Institutional Animal Care and Use Committee at the UC Davis, which is accredited by the Association for Assessment and Accreditation of Laboratory Animal Care, International (assurance no. A-3433-01, Approval Date: 8 June 2018). All aquaria exposures in this study used heat-inactivated protozoa, rendering the (oo)cysts non-infectious. As a result, the experiments posed no risk of disease transmission to laboratory personnel. All experimental work in this study was conducted under UC Davis institutional oversight and authorization.
Informed Consent Statement
Not applicable.
Data Availability Statement
The original contributions presented in this study are included in the article and its Supplementary Materials. Additional inquiries may be directed to the corresponding author.
Acknowledgments
We extend our gratitude to Michael Tsortos and Priya Sehdev from the University of California, Davis for their assistance with microscopy analysis, as well as to the anonymous shellfish farmers for providing oysters and valuable insights into laboratory aquaria experiments. During the preparation of this manuscript, the authors used an AI tool (Microsoft Copilot (Microsoft Corporation, assessed 1 October 2025)) to assist with portions of the R code troubleshooting for graph generation. The authors have reviewed and edited the output and take full responsibility for the content of this publication.
Conflicts of Interest
The authors declare no conflicts of interest.
Abbreviations
The following abbreviations are used in this manuscript:
| EPS | Extracellular polymeric substances |
| UV | Ultraviolet |
| PBS | Phosphate-buffered saline |
| IMS | Immunomagnetic separation |
| DFA | Direct fluorescent antibody |
| FITC | Fluorescein isothiocyanate |
| DAPI | 4′,6-diamidino-2-phenylindole |
| IRR | Incidence rate ratio |
| CI | Confidence interval |
References
- Jambeck, J.R.; Geyer, R.; Wilcox, C.; Siegler, T.R.; Perryman, M.; Andrady, A.; Narayan, R.; Law, K.L. Plastic Waste Inputs from Land into the Ocean. Science 2015, 347, 768–771. [Google Scholar] [CrossRef]
- Avio, C.G.; Gorbi, S.; Regoli, F. Plastics and Microplastics in the Oceans: From Emerging Pollutants to Emerged Threat. Mar. Environ. Res. 2017, 128, 2–11. [Google Scholar] [CrossRef]
- Andrady, A.L. Microplastics in the Marine Environment. Mar. Pollut. Bull. 2011, 62, 1596–1605. [Google Scholar] [CrossRef]
- Barboza, L.G.A.; Dick Vethaak, A.; Lavorante, B.R.B.O.; Lundebye, A.-K.; Guilhermino, L. Marine Microplastic Debris: An Emerging Issue for Food Security, Food Safety and Human Health. Mar. Pollut. Bull. 2018, 133, 336–348. [Google Scholar] [CrossRef] [PubMed]
- Van Cauwenberghe, L.; Janssen, C.R. Microplastics in Bivalves Cultured for Human Consumption. Environ. Pollut. 2014, 193, 65–70. [Google Scholar] [CrossRef] [PubMed]
- Rochman, C.M.; Brookson, C.; Bikker, J.; Djuric, N.; Earn, A.; Bucci, K.; Athey, S.; Huntington, A.; McIlwraith, H.; Munno, K.; et al. Rethinking Microplastics as a Diverse Contaminant Suite. Environ. Toxicol. Chem. 2019, 38, 703–711. [Google Scholar] [CrossRef]
- Prata, J.C.; da Costa, J.P.; Lopes, I.; Duarte, A.C.; Rocha-Santos, T. Environmental Exposure to Microplastics: An Overview on Possible Human Health Effects. Sci. Total Environ. 2020, 702, 134455. [Google Scholar] [CrossRef] [PubMed]
- Xu, S.; Ma, J.; Ji, R.; Pan, K.; Miao, A.-J. Microplastics in Aquatic Environments: Occurrence, Accumulation, and Biological Effects. Sci. Total Environ. 2020, 703, 134699. [Google Scholar] [CrossRef]
- Bowley, J.; Baker-Austin, C.; Porter, A.; Hartnell, R.; Lewis, C. Oceanic Hitchhikers—Assessing Pathogen Risks from Marine Microplastic. Trends Microbiol. 2021, 29, 107–116. [Google Scholar] [CrossRef]
- Amelia, T.S.M.; Khalik, W.M.A.W.M.; Ong, M.C.; Shao, Y.T.; Pan, H.-J.; Bhubalan, K. Marine Microplastics as Vectors of Major Ocean Pollutants and Its Hazards to the Marine Ecosystem and Humans. Prog. Earth Planet. Sci. 2021, 8, 12. [Google Scholar] [CrossRef]
- Kirstein, I.V.; Kirmizi, S.; Wichels, A.; Garin-Fernandez, A.; Erler, R.; Löder, M.; Gerdts, G. Dangerous Hitchhikers? Evidence for Potentially Pathogenic Vibrio Spp. on Microplastic Particles. Mar. Environ. Res. 2016, 120, 1–8. [Google Scholar] [CrossRef] [PubMed]
- Zettler, E.R.; Mincer, T.J.; Amaral-Zettler, L.A. Life in the “Plastisphere”: Microbial Communities on Plastic Marine Debris. Environ. Sci. Technol. 2013, 47, 7137–7146. [Google Scholar] [CrossRef] [PubMed]
- Meng, J.; Zhang, Q.; Zheng, Y.; He, G.; Shi, H. Plastic Waste as the Potential Carriers of Pathogens. Curr. Opin. Food Sci. 2021, 41, 224–230. [Google Scholar] [CrossRef]
- Kaur, K.; Reddy, S.; Barathe, P.; Oak, U.; Shriram, V.; Kharat, S.S.; Govarthanan, M.; Kumar, V. Microplastic-Associated Pathogens and Antimicrobial Resistance in Environment. Chemosphere 2022, 291, 133005. [Google Scholar] [CrossRef]
- Zhang, E.; Kim, M.; Rueda, L.; Rochman, C.; VanWormer, E.; Moore, J.; Shapiro, K. Association of Zoonotic Protozoan Parasites with Microplastics in Seawater and Implications for Human and Wildlife Health. Sci. Rep. 2022, 12, 6532. [Google Scholar] [CrossRef]
- Kim, M.; Rueda, L.; Shapiro, K. Protozoa in Bivalve Shellfish: Gaps and Opportunities to Better Understand Risk to Consumers. Curr. Opin. Food Sci. 2024, 55, 101104. [Google Scholar] [CrossRef]
- Boarato-David, É.; Guimarães, S.; Cacciò, S. Giardia duodenalis. In Water and Sanitation for the 21st Century: Health and Microbiological Aspects of Excreta and Wastewater Management (Global Water Pathogen Project); Part 3: Specific Excreted Pathogens: Environmental and Epidemiology Aspects—Section 3: Protists; Rose, J.B., Jiménez-Cisneros, B., Fayer, R., Jakubowski, W., Eds.; UNESCO; Michigan State University: East Lansing, MI, USA, 2017. [Google Scholar] [CrossRef]
- Betancourt, W. Cryptosporidium spp. In Water and Sanitation for the 21st Century: Health and Microbiological Aspects of Excreta and Wastewater Management (Global Water Pathogen Project); Part 3: Specific Excreted Pathogens: Environmental and Epidemiology Aspects—Section 3: Protists; Rose, J.B., Jiménez-Cisneros, B., Fayer, R., Jakubowski, W., Eds.; UNESCO; Michigan State University: East Lansing, MI, USA, 2019. [Google Scholar] [CrossRef]
- Bahia-Oliveira, L.; Gomez-Marin, J.; Shapiro, K. Toxoplasma gondii. In Water and Sanitation for the 21st Century: Health and Microbiological Aspects of Excreta and Wastewater Management (Global Water Pathogen Project); Part 3: Specific Excreted Pathogens: Environmental and Epidemiology Aspects—Section 3: Protists; Rose, J.B., Jiménez-Cisneros, B., Fayer, R., Jakubowski, W., Eds.; UNESCO; Michigan State University: East Lansing, MI, USA, 2017. [Google Scholar] [CrossRef]
- Hutchison, W.M.; Dunachie, J.F.; Work, K.; Siim, J.C. The Life Cycle of the Coccidian Parasite, Toxoplasma gondii, in the Domestic Cat. Trans. R. Soc. Trop. Med. Hyg. 1971, 65, 380–399. [Google Scholar] [CrossRef]
- Tenter, A.M.; Heckeroth, A.R.; Weiss, L.M. Toxoplasma gondii: From Animals to Humans. Int. J. Parasitol. 2000, 30, 1217–1258. [Google Scholar] [CrossRef]
- Miller, M.; Shapiro, K.; Murray, M.J.; Haulena, M.; Raverty, S. Protozoan Parasites of Marine Mammals. In CRC Handbook of Marine Mammal Medicine; Gulland, F., Dierauf, L.A., Whitman, K.L., Eds.; CRC Press: Boca Raton, FL, USA, 2018; pp. 425–470. [Google Scholar]
- Jones, J.L.; Dargelas, V.; Roberts, J.; Press, C.; Remington, J.S.; Montoya, J.G. Risk Factors for Toxoplasma gondii Infection in the United States. Clin. Infect. Dis. 2009, 49, 878–884. [Google Scholar] [CrossRef] [PubMed]
- Barrows, A.P.W.; Cathey, S.E.; Petersen, C.W. Marine Environment Microfiber Contamination: Global Patterns and the Diversity of Microparticle Origins. Environ. Pollut. 2018, 237, 275–284. [Google Scholar] [CrossRef]
- Shapiro, K.; VanWormer, E.; Aguilar, B.; Conrad, P.A. Surveillance for Toxoplasma gondii in California Mussels (Mytilus californianus) Reveals Transmission of Atypical Genotypes from Land to Sea. Environ. Microbiol. 2015, 17, 4177–4188. [Google Scholar] [CrossRef]
- Fernández Severini, M.D.; Villagran, D.M.; Buzzi, N.S.; Sartor, G.C. Microplastics in Oysters (Crassostrea gigas) and Water at the Bahía Blanca Estuary (Southwestern Atlantic): An Emerging Issue of Global Concern. Reg. Stud. Mar. Sci. 2019, 32, 100829. [Google Scholar] [CrossRef]
- Lozano-Hernández, E.A.; Ramírez-Álvarez, N.; Rios Mendoza, L.M.; Macías-Zamora, J.V.; Sánchez-Osorio, J.L.; Hernández-Guzmán, F.A. Microplastic Concentrations in Cultured Oysters in Two Seasons from Two Bays of Baja California, Mexico. Environ. Pollut. 2021, 290, 118031. [Google Scholar] [CrossRef]
- Karakolis, E.G.; Nguyen, B.; You, J.B.; Rochman, C.M.; Sinton, D. Fluorescent Dyes for Visualizing Microplastic Particles and Fibers in Laboratory-Based Studies. Environ. Sci. Technol. Lett. 2019, 6, 334–340. [Google Scholar] [CrossRef]
- Alldredge, A.L.; Passow, U.; Logan, B.E. The Abundance and Significance of a Class of Large, Transparent Organic Particles in the Ocean. Deep Sea Res. Part I 1993, 40, 1131–1140. [Google Scholar] [CrossRef]
- Shapiro, K.; Krusor, C.; Mazzillo, F.F.M.; Conrad, P.A.; Largier, J.L.; Mazet, J.A.K.; Silver, M.W. Aquatic Polymers Can Drive Pathogen Transmission in Coastal Ecosystems. Proc. Biol. Sci. 2014, 281, 1287. [Google Scholar] [CrossRef] [PubMed]
- Kim, M.; Rueda, L.; Packham, A.; Moore, J.; Wuertz, S.; Shapiro, K. Molecular Detection and Viability Discrimination of Zoonotic Protozoan Pathogens in Oysters and Seawater. Int. J. Food Microbiol. 2023, 407, 110391. [Google Scholar] [CrossRef]
- Galimany, E.; Rose, J.M.; Dixon, M.S.; Alix, R.; Li, Y.; Wikfors, G.H. Design and Use of an Apparatus for Quantifying Bivalve Suspension Feeding at Sea. J. Vis. Exp. 2018, 139, 58213. [Google Scholar] [CrossRef]
- Hieb, E.E.; Snow, S.; Carmichael, R.H. Identifying Microdebris in Biodeposits of the Eastern Oyster, Crassostrea virginica. Gulf Caribb. Res. 2023, 34, SC35–SC39. [Google Scholar] [CrossRef]
- Willis, J.E.; McClure, J.T.; McClure, C.; Spears, J.; Davidson, J.; Greenwood, S.J. Bioaccumulation and Elimination of Cryptosporidium parvum Oocysts in Experimentally Exposed Eastern Oysters (Crassostrea virginica) Held in Static Tank Aquaria. Int. J. Food Microbiol. 2014, 173, 72–80. [Google Scholar] [CrossRef]
- Willis, J.E.; McClure, J.T.; McClure, C.; Spears, J.; Davidson, J.; Greenwood, S.J. Static Tank Depuration and Chronic Short-Term Experimental Contamination of Eastern Oysters (Crassostrea virginica) with Giardia duodenalis Cysts. Int. J. Food Microbiol. 2015, 192, 13–19. [Google Scholar] [CrossRef] [PubMed]
- U.S. Food and Drug Administration National Shellfish Sanitation Program (NSSP). Guide for the Control of Molluscan Shellfish: 2023 Revision; U.S. Food and Drug Administration National Shellfish Sanitation Program (NSSP): College Park, MD, USA, 2023.
- Kim, M.; Shapiro, K. Detection of Toxoplasma gondii and Cyclospora cayetanensis in Oysters. In Detection and Enumeration of Bacteria, Yeast, Viruses, and Protozoan in Foods and Freshwater; Magnani, M., Ed.; Springer: New York, NY, USA, 2021; pp. 225–239. [Google Scholar] [CrossRef]
- Shapiro, K.; Kim, M.; Rajal, V.B.; Arrowood, M.J.; Packham, A.; Aguilar, B.; Wuertz, S. Simultaneous Detection of Four Protozoan Parasites on Leafy Greens Using a Novel Multiplex PCR Assay. Food Microbiol. 2019, 84, 103252. [Google Scholar] [CrossRef]
- USEPA Method 1623.1; Cryptosporidium and Giardia in Water by Filtration/IMS/FA, EPA 816-R-12-001. Office of Water, U.S. Environmental Protection Agency: Washington, DC, USA, 2012.
- Lim, J.-H.; Kang, J.-W. Assessing Biofilm Formation and Resistance of Vibrio parahaemolyticus on UV-Aged Microplastics in Aquatic Environments. Water Res. 2024, 254, 121379. [Google Scholar] [CrossRef]
- Lindsay, D.S.; Collins, M.V.; Mitchell, S.M.; Wetch, C.N.; Rosypal, A.C.; Flick, G.J.; Zajac, A.M.; Lindquist, A.; Dubey, J.P. Survival of Toxoplasma gondii Oocysts in Eastern Oysters (Crassostrea virginica). J. Parasitol. 2004, 90, 1054–1057. [Google Scholar] [CrossRef]
- Gómez-Couso, H.; Freire-Santos, F.; Ortega-Iñarrea, M.R.; Castro-Hermida, J.A.; Ares-Mazás, M.E. Environmental Dispersal of Cryptosporidium parvum Oocysts and Cross Transmission in Cultured Bivalve Molluscs. Parasitol. Res. 2003, 90, 140–142. [Google Scholar] [CrossRef] [PubMed]
- Arkush, K.D.; Miller, M.A.; Leutenegger, C.M.; Gardner, I.A.; Packham, A.E.; Heckeroth, A.R.; Tenter, A.M.; Barr, B.C.; Conrad, P.A. Molecular and Bioassay-Based Detection of Toxoplasma gondii Oocyst Uptake by Mussels (Mytilus galloprovincialis). Int. J. Parasitol. 2003, 33, 1087–1097. [Google Scholar] [CrossRef]
- Palos Ladeiro, M.; Bigot-Clivot, A.; Aubert, D.; Villena, I.; Geffard, A. Assessment of Toxoplasma gondii Levels in Zebra Mussel (Dreissena polymorpha) by Real-Time PCR: An Organotropism Study. Environ. Sci. Pollut. Res. Int. 2015, 22, 13693–13701. [Google Scholar] [CrossRef]
- Iwamoto, M.; Ayers, T.; Mahon, B.E.; Swerdlow, D.L. Epidemiology of Seafood-Associated Infections in the United States. Clin. Microbiol. Rev. 2010, 23, 399–411. [Google Scholar] [CrossRef]
- Graczyk, T.K.; McOliver, C.; Silbergeld, E.K.; Tamang, L.; Roberts, J.D. Risk of Handling as a Route of Exposure to Infectious Waterborne Cryptosporidium parvum Oocysts via Atlantic Blue Crabs (Callinectes sapidus). Appl. Environ. Microbiol. 2007, 73, 4069–4070. [Google Scholar] [CrossRef]
- World Health Organization (WHO). Safe Management of Shellfish and Harvest Waters; Rees, G., Pond, K., Kay, D., Bartram, J., Santo Domingo, J., Cho, J., Eds.; WHO Water Series; IWA Publishing: London, UK, 2010. [Google Scholar]
- Appelbee, A.J.; Thompson, R.C.A.; Olson, M.E. Giardia and Cryptosporidium in Mammalian Wildlife—Current Status and Future Needs. Trends Parasitol. 2005, 21, 370–376. [Google Scholar] [CrossRef] [PubMed]
- Miller, M.A.; Newberry, C.A.; Sinnott, D.M.; Batac, F.I.; Greenwald, K.; Reed, A.; Young, C.; Harris, M.D.; Packham, A.E.; Shapiro, K. Newly Detected, Virulent Toxoplasma gondii COUG Strain Causing Fatal Steatitis and Toxoplasmosis in Southern Sea Otters (Enhydra Lutris Nereis). Front. Mar. Sci. 2023, 10, 1116899. [Google Scholar] [CrossRef]
- Ward, J.E.; Zhao, S.; Holohan, B.A.; Mladinich, K.M.; Griffin, T.W.; Wozniak, J.; Shumway, S.E. Selective Ingestion and Egestion of Plastic Particles by the Blue Mussel (Mytilus edulis) and Eastern Oyster (Crassostrea virginica): Implications for Using Bivalves as Bioindicators of Microplastic Pollution. Environ. Sci. Technol. 2019, 53, 8776–8784. [Google Scholar] [CrossRef]
- Shumway, S.E.; Mladinich, K.; Blaschik, N.; Holohan, B.A.; Ward, J.E. A Critical Assessment of Microplastics in Molluscan Shellfish with Recommendations for Experimental Protocols, Animal Husbandry, Publication, and Future Research. Rev. Fish. Sci. Aquac. 2023, 1–133. [Google Scholar] [CrossRef]
- Li, Q.; Ma, C.; Zhang, Q.; Shi, H. Microplastics in Shellfish and Implications for Food Safety. Curr. Opin. Food Sci. 2021, 40, 192–197. [Google Scholar] [CrossRef]
- Mathalon, A.; Hill, P. Microplastic Fibers in the Intertidal Ecosystem Surrounding Halifax Harbor, Nova Scotia. Mar. Pollut. Bull. 2014, 81, 69–79. [Google Scholar] [CrossRef] [PubMed]
- Shapiro, K.; Silver, M.; Byrne, B.A.; Berardi, T.; Aguilar, B.; Melli, A.; Smith, W.A. Fecal Indicator Bacteria and Zoonotic Pathogens in Marine Snow and California Mussels (Mytilus californianus). FEMS Microbiol. Ecol. 2018, 94, fiy172. [Google Scholar] [CrossRef]
- Shapiro, K.; Silver, M.W.; Largier, J.L.; Conrad, P.A.; Mazet, J.A.K. Association of Toxoplasma gondii Oocysts with Fresh, Estuarine, and Marine Macroaggregates. Limnol. Oceanogr. 2012, 57, 449–456. [Google Scholar] [CrossRef]
Disclaimer/Publisher’s Note: The statements, opinions and data contained in all publications are solely those of the individual author(s) and contributor(s) and not of MDPI and/or the editor(s). MDPI and/or the editor(s) disclaim responsibility for any injury to people or property resulting from any ideas, methods, instructions or products referred to in the content. |
© 2026 by the authors. Licensee MDPI, Basel, Switzerland. This article is an open access article distributed under the terms and conditions of the Creative Commons Attribution (CC BY) license.



