Effects of Different Crop Rotations on Microbial Diversity and Enzyme Activities in Brassica napus Rhizosphere Soil
Abstract
1. Introduction
2. Materials and Methods
2.1. Overview of the Experimental Site
2.2. Experimental Design
2.3. Determination of Soil Enzyme Activity
2.4. Determination of Soil Physicochemical Properties
2.5. Metagenomic Sequencing
2.6. Data Analysis
3. Results
3.1. The Effects of Different Preceding Crop on Rapeseed Soil Physicochemical Properties and Enzyme Activities
3.2. Statistical Analysis of OTUs Under Different Preceding Crops
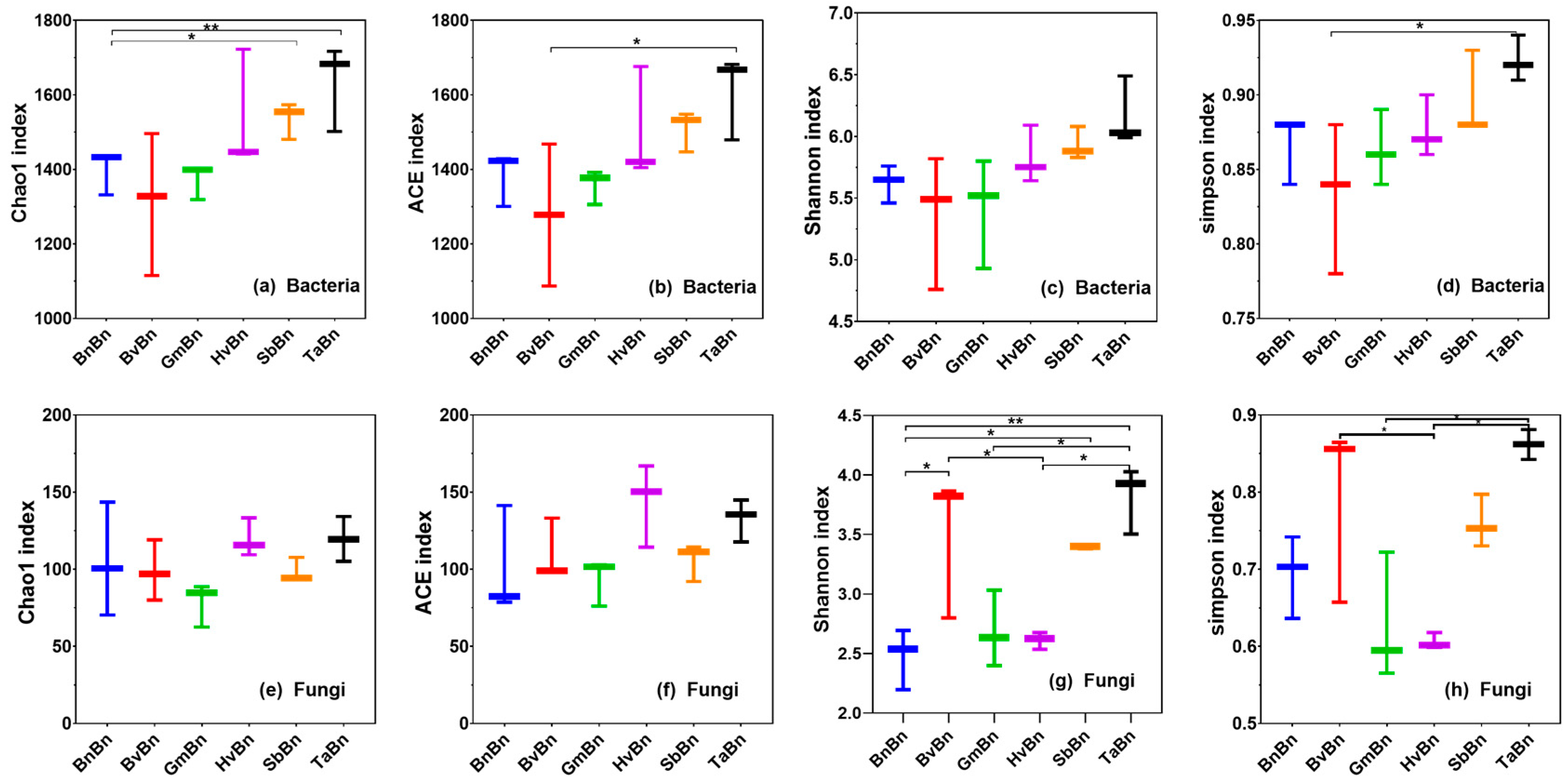
3.3. Alpha-Diversity Indices Analysis
3.4. Beta-Diversity Indices Analysis
3.5. Relative Abundance of Bacteria and Fungi
3.6. Soil Drivers of Microbial Community Change
3.7. Functional Prediction of Root-Associated Fungal Communities
3.8. Functional Prediction of Root-Associated Bacteria Communities
4. Discussion
4.1. Synergistic Changes in Soil Chemical and Biological Fertility
4.2. Response and Remodeling of Soil Microbial Community Structure and Function
4.3. Key Soil Drivers and Their Association with Crop Performance
4.4. Limitations of the Study
5. Conclusions
Supplementary Materials
Author Contributions
Funding
Institutional Review Board Statement
Informed Consent Statement
Data Availability Statement
Acknowledgments
Conflicts of Interest
References
- O’Sullivan, C.A.; Belt, K.; Thatcher, L.F. Tackling control of a cosmopolitan phytopathogen: Sclerotinia. Front. Plant Sci. 2021, 12, 707509. [Google Scholar] [CrossRef]
- Bandara, A.Y.; Weerasooriya, D.K.; A Bradley, C.; Allen, T.W.; Esker, P.D. Dissecting the economic impact of soybean diseases in the United States over two decades. PLoS ONE 2020, 15, e0231141. [Google Scholar] [CrossRef]
- Bolton, M.D.; Thomma, B.P.H.J.; Nelson, B.D. Sclerotinia sclerotiorum (Lib.) de Bary: Biology and molecular traits of a cosmopolitan pathogen. Mol. Plant Pathol. 2006, 7, 1–16. [Google Scholar] [CrossRef]
- Wu, Q. Application of high-yield cultivation techniques in rapeseed planting. Seed Sci. Technol. 2025, 43, 73–75. [Google Scholar] [CrossRef]
- Dou, Y.; Yu, S.; Liu, S.; Cui, T.; Huang, R.; Wang, Y.; Wang, J.; Tan, K.; Li, X. Crop rotations reduce pathogenic fungi compared to continuous cropping. Rhizosphere 2025, 34, 101074. [Google Scholar] [CrossRef]
- Mooshammer, M.; Grandy, A.S.; Calderón, F.; Culman, S.; Deen, B.; Drijber, R.A.; Dunfield, K.; Jin, V.L.; Lehman, R.M.; Osborne, S.L.; et al. Microbial feedbacks on soil organic matter dynamics underlying the legacy effect of diversified cropping systems. Soil Biol. Biochem. 2022, 167, 108584. [Google Scholar] [CrossRef]
- Woo, S.L.; De Filippis, F.; Zotti, M.; Vandenberg, A.; Hucl, P.; Bonanomi, G. Pea-Wheat rotation affects soil microbiota diversity, community structure, and soilborne pathogens. Microorganisms 2022, 10, 370. [Google Scholar] [CrossRef] [PubMed]
- Liu, G.Y.; He, A.L.; Du, J.; Xue, G.; Yang, H.; Yang, Z.; Pan, X.; Xu, J.; Zhang, Y. Effects of Stropharia rugosoannulata-corn rotation on straw degradation, soil physical and chemical properties, crop yield, and economic benefits. J. Henan Agric. Sci. 2021, 50, 60–68. [Google Scholar] [CrossRef]
- Li, Y.; Shi, C.; Wei, D.; Gu, X.; Wang, Y.; Sun, L.; Cai, S.; Hu, Y.; Jin, L.; Wang, W. Effects of crop rotation on crop yield and soil physicochemical properties in black soil region. Bull. Agric. Sci. Technol. 2022, 13, 1083736. [Google Scholar] [CrossRef]
- Liu, J.L.; Wu, J.; Jia, K.; Liao, W.H.; Lv, Y.H.; Ma, J.Y. Changes of soil phosphorus and yield response to phosphorus fertilizer in winter wheat-summer maize rotation system. Acta Agric. Boreali-Sin. 2022, 37, 104–111. [Google Scholar]
- Li, Z.J.; Zhu, W.Q.; Huang, K.; Ji, X.W.; Wang, C.; Zhao, T.; Chen, J.T.; Ye, X.K.; Ma, L.; Pan, Y.H. Effects of continuous cropping on agronomic traits, root morphology, and soil nutrients of flue-cured tobacco. Jiangsu Agric. Sci. 2022, 50, 67–72. [Google Scholar] [CrossRef]
- Zhang, F. Nitrogen, phosphorus, and potassium cycling and yield sustainability under winter crop-double cropping rice rotation. Chin. J. Eco-Agric. 2019, 27, 705–716. [Google Scholar] [CrossRef]
- Town, J.R.; Dumonceaux, T.; Tidemann, B.; Helgason, B.L. Crop rotation significantly influences the composition of soil, rhizosphere, and root microbiota in canola (Brassica napus L.). Environ. Microbiome 2023, 18, 40. [Google Scholar] [CrossRef]
- Yun, P.; Gao, X.; Chen, L.; Lu, C.; Zhang, J.; Liu, R.; Wang, H.; Lin, G. Plant nitrogen utilization and soil nitrogen status in rhizosphere of maize as affected by various nitrogen rates in wheat-maize rotation system. J. Plant Nutr. Fertil. 2010, 16, 567–574. [Google Scholar] [CrossRef]
- Lu, R.K. Soil and Agro-Chemistry Analytical Methods; China Agricultural Press: Beijing, China, 1999; pp. 96, 126, 179, 193. [Google Scholar]
- Bao, S.D. Soil Agricultural Chemical Analysis, 3rd ed.; China Agricultural Press: Beijing, China, 2000; pp. 47–49. [Google Scholar]
- Wood, D.; Salzberg, S.L. Kraken: Ultrafast metagenomic sequence classification using exact alignments. Genome Biol. 2014, 15, R46. [Google Scholar] [CrossRef] [PubMed]
- Lu, J.; Breitwieser, F.P.; Thielen, P.; Salzberg, S.L. Bracken: Estimating species abundance in metagenomics data. PeerJ Comput. Sci. 2017, 3, e104. [Google Scholar] [CrossRef]
- Wickham, H. ggplot2: Elegant Graphics for Data Analysis, 1st ed.; Springer Publishing Company: New York, NY, USA, 2009; pp. 11–31. [Google Scholar]
- Segata, N.; Izard, J.; Waldron, L.; Gevers, D.; Miropolsky, L.; Garrett, W.S.; Huttenhower, C. Metagenomic biomarker discovery and explanation. Genome Biol. 2011, 12, R60. [Google Scholar] [CrossRef] [PubMed]
- dunn.test: Dunn’s Test of Multiple Comparisons Using Rank Sums. Available online: https://CRAN.R-project.org/package=dunn.test (accessed on 12 April 2024).
- ggpubr: ‘ggplot2’ Based Publication Ready Plots. Available online: https://CRAN.R-project.org/package=ggpubr (accessed on 17 October 2025).
- Guo, C.; Yang, C.; Fu, J.; Song, Y.; Chen, S.; Li, H.; Ma, C. Effects of crop rotation on sugar beet growth through improving soil physicochemical properties and microbiome. Ind. Crops Prod. 2024, 212, 118331. [Google Scholar] [CrossRef]
- Wang, W.; Yu, Z.; Cui, J.J.; Song, B.; Wang, Q. Effect of Nitrogen application on chemical properties of sugar beet rhizosphere soil and correlation analysis. Chin. Agric. Sci. Bull. 2024, 40, 88–93. [Google Scholar]
- He, B.; Xue, C.; Sun, Z.; Ji, Q.; Wei, J.; Ma, W. Effect of different long-term potassium dosages on crop yield and potassium use efficiency in the maize–wheat rotation system. Agronomy 2022, 12, 2565. [Google Scholar] [CrossRef]
- Teng, P.J.; Lei, W.Y.; Wang, B.; Li, J.Y.; Li, N. Influences of different crop root systems on physical properties and rhizosphere soil properties in black soil. Soils Crops 2024, 13, 391−403. [Google Scholar] [CrossRef]
- Wang, Z.Y.; Han, W.; Jin, H.B.; Huang, X.; Zhang, F.; Yang, Z. Effects of different rotation patterns on the structure and function of fungal communities in potato rhizosphere soil in an alpine black soil region. Crops 2025, 41, 221–232. [Google Scholar]
- Lu, G.D. Effect of Different Fertilization Schemes on Soil Fertility and Fruit Quality of Kiwifruit. Master’s Thesis, Huazhong Agricultural University, Wuhan, China, 2023. [Google Scholar] [CrossRef]
- Sorouri, B.; Rodriguez, C.I.; Gaut, B.S.; Allison, S.D. Variation in Sphingomonas traits across habitats and phylogenetic clades. Front. Microbiol. 2023, 14, 1146165. [Google Scholar] [CrossRef]
- Cai, R.; Li, R.; Cao, X.; Xu, C. Carbon and nitrogen transformation mechanism and functional microorganisms of sheep manure composting on the Qinghai-Tibet Plateau under different moisture content. J. Environ. Chem. Eng. 2023, 11, 111341. [Google Scholar] [CrossRef]
- Rawat, S.R.; Männistö, M.K.; Bromberg, Y.; Häggblom, M.M. Comparative genomic and physiological analysis provides insights into the role of Acidobacteria in organic carbon utilization in Arctic tundra soils. Fed. Eur. Microbiol. Soc. 2012, 82, 341–355. [Google Scholar] [CrossRef]
- Bianucci, E.; Godoy, A.; Furlan, A.; Peralta, J.M.; Hernández, L.E.; Carpena-Ruiz, R.O.; Castro, S. Arsenic toxicity in soybean alleviated by a symbiotic species of Bradyrhizobium. Symbiosis 2018, 74, 167–176. [Google Scholar] [CrossRef]
- Chen, Q.-L.; An, X.-L.; Zheng, B.-X.; Gillings, M.; Peñuelas, J.; Cui, L.; Su, J.-Q.; Zhu, Y.-G. Loss of soil microbial diversity exacerbates spread of antibiotic resistance. Soil Ecol. Lett. 2019, 1, 3–13. [Google Scholar] [CrossRef]
- Cui, R.; Geng, G.; Wang, G.; Stevanato, P.; Dong, Y.; Li, T.; Yu, L.; Wang, Y. The response of sugar beet rhizosphere micro-ecological environment to continuous cropping. Front. Microbiol. 2022, 13, 956785. [Google Scholar] [CrossRef]
- Gao, D.; Gao, X.; Wang, Y.; Huo, H.; Wu, Y.; Yang, Z.; Zhang, H.; Yang, X.; Li, F.; Li, X. Effects of long-term continuous cultivation on the structure and function of soil bacterial and fungal communities of Fritillaria Cirrhosa on the Qinghai-Tibetan Plateau. Sci. Rep. 2024, 14, 21291. [Google Scholar] [CrossRef] [PubMed]
- Jie, C.; Wenxiao, W.; Jahan, M.S.; Guo, S.; Sun, J.; Shu, S. Improvement effects of conditioners on properties of acidified-salinized soils and lettuce growth. J. Plant Nutr. 2021, 45, 937–950. [Google Scholar] [CrossRef]
- Cline, L.C.; Schilling, J.S.; Menke, J.; Groenhof, E.; Kennedy, P.G. Ecological and functional effects of fungal endophytes on wood decomposition. Funct. Ecol. 2018, 32, 181–191. [Google Scholar] [CrossRef]
- Ferraz, H.G.M.; Badel, J.L.; Guimarães, L.M.d.S.; Reis, B.P.; Tótola, M.R.; Gonçalves, R.C.; Alfenas, A.C. Xanthomonas species causing leaf blight on eucalypt plants in Brazil and transfer of Xanthomonas axonopodis pv. eucalyptorum to Xanthomonas citri pv. eucalyptorum comb. nov. Plant Pathol. 2024, 73, 677–691. [Google Scholar] [CrossRef]
- Chen, Y.; Yin, S.; Shao, Y.; Zhang, K. Soil bacteria are more sensitive than fungi in response to nitrogen and phosphorus enrichment. Front. Microbiol. 2022, 13, 999385. [Google Scholar] [CrossRef] [PubMed]
- Guo, Q.; Vitro, C.N.; Crawford, D.M.; Li, B. A diazeniumdiolate signal in pseudomonas syringae upregulates virulence factors and promotes survival in plants. Mol. Plant-Microbe Interact. 2024, 37, 776–783. [Google Scholar] [CrossRef]
- Lindström, K.; Mousavi, S.A. Effectiveness of nitrogen fixation in rhizobia. Microb. Biotechnol. 2020, 13, 1314–1335. [Google Scholar] [CrossRef]
- Zhang, Y.; Chen, J.; Du, M.; Ruan, Y.; Wang, Y.; Guo, J.; Yang, Q.; Shao, R.; Wang, H. Metagenomic insights into microbial variation and carbon cycling function in crop rotation systems. Sci. Total Environ. 2024, 947, 174529. [Google Scholar] [CrossRef]
- Fei, Z.; Lijuan, Y.; Xi, Y.; Wei, W.; Jing, Z.; Miao, D.; Shuwen, H. Gut microbiome associated with chemotherapy-induced diarrhea from the CapeOX regimen as adjuvant chemotherapy in resected stage III colorectal cancer. Gut Pathog. 2019, 11, 18. [Google Scholar] [CrossRef]
- Haridas, S.; Albert, R.; Binder, M.; Bloem, J.; LaButti, K.; Salamov, A.; Andreopoulos, B.; Baker, S.; Barry, K.; Bills, G.; et al. 101 Dothideomycetes genomes: A test case for predicting lifestyles and emergence of pathogens. Stud. Mycol. 2020, 96, 141–153. [Google Scholar] [CrossRef]










| pH | TN (g/kg) | TP (g/kg) | TK (g/kg) | AP (mg/kg) | AK (mg/kg) | OM (%) | |
|---|---|---|---|---|---|---|---|
| BnBn | 6.67 ± 0.07 ab * | 1.71 ± 0.01 b | 1.06 ± 0.02 a | 20.23 ± 0.38 b | 68.38 ± 0.93 a | 192.48 ± 3.56 d | 5.29 ± 0.09 b |
| BvBn | 6.68 ± 0.11 ab | 1.94 ± 0.05 a | 1.01 ± 0.03 a | 22.35 ± 0.27 a | 65.65 ± 0.5 b | 245.72 ± 2.59 a | 5.88 ± 0.05 a |
| HvBn | 6.84 ± 0.03 a | 1.43 ± 0.05 d | 1.05 ± 0.04 a | 20.25 ± 0.72 b | 47.75 ± 0.8 e | 194.45 ± 3.18 d | 3.68 ± 0.04 e |
| SbBn | 6.67 ± 0.03 ab | 1.66 ± 0.06 b | 0.91 ± 0.03 b | 19.64 ± 0.41 b | 64.28 ± 0.46 bc | 212.22 ± 4.69 c | 4.78 ± 0.04 c |
| TaBn | 6.69 ± 0.06 ab | 1.54 ± 0.04 c | 0.91 ± 0.02 b | 20.35 ± 0.54 b | 63.37 ± 1.13 c | 229.00 ± 5.27 b | 4.92 ± 0.11 c |
| GmBn | 6.56 ± 0.13 b | 1.71 ± 0.03 d | 0.91 ± 0.01 b | 20.30 ± 0.49 b | 60.50 ± 0.61 d | 195.95 ± 2.24 d | 4.42 ± 0.02 d |
Disclaimer/Publisher’s Note: The statements, opinions and data contained in all publications are solely those of the individual author(s) and contributor(s) and not of MDPI and/or the editor(s). MDPI and/or the editor(s) disclaim responsibility for any injury to people or property resulting from any ideas, methods, instructions or products referred to in the content. |
© 2025 by the authors. Licensee MDPI, Basel, Switzerland. This article is an open access article distributed under the terms and conditions of the Creative Commons Attribution (CC BY) license.
Share and Cite
Tian, X.; Duan, J.; Huo, H.; Huangfu, J.; Yan, M.; Lu, H.; Li, Z.; Song, P. Effects of Different Crop Rotations on Microbial Diversity and Enzyme Activities in Brassica napus Rhizosphere Soil. Microorganisms 2026, 14, 91. https://doi.org/10.3390/microorganisms14010091
Tian X, Duan J, Huo H, Huangfu J, Yan M, Lu H, Li Z, Song P. Effects of Different Crop Rotations on Microbial Diversity and Enzyme Activities in Brassica napus Rhizosphere Soil. Microorganisms. 2026; 14(1):91. https://doi.org/10.3390/microorganisms14010091
Chicago/Turabian StyleTian, Xiaona, Jia Duan, Hongli Huo, Jiuru Huangfu, Mengjiao Yan, Huilin Lu, Ziqin Li, and Peiling Song. 2026. "Effects of Different Crop Rotations on Microbial Diversity and Enzyme Activities in Brassica napus Rhizosphere Soil" Microorganisms 14, no. 1: 91. https://doi.org/10.3390/microorganisms14010091
APA StyleTian, X., Duan, J., Huo, H., Huangfu, J., Yan, M., Lu, H., Li, Z., & Song, P. (2026). Effects of Different Crop Rotations on Microbial Diversity and Enzyme Activities in Brassica napus Rhizosphere Soil. Microorganisms, 14(1), 91. https://doi.org/10.3390/microorganisms14010091

