Synthesis and Antifungal Evaluation Against Candida spp. of 5-Arylfuran-2-Carboxamide Derivatives
Abstract
1. Introduction
2. Materials and Methods
2.1. Chemistry
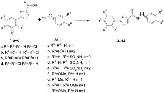
General Procedure to Synthesize the 5-Arylfuran-2-Carboxamide Derivatives 3–14
2.2. Lipophilicity and Chemical Stability
2.3. Microbial Strains and Culture Conditions
2.4. Susceptibility Studies
2.5. Differential Staining via LIVE/DEAD BacLight Kit (Molecular Probes)
2.6. Erythrocytes Isolation
2.7. Cellular Internalization and Cytotoxic Effects
2.8. Statistical Analysis
3. Results and Discussion
3.1. Chemistry
3.2. Antifungal Effects
3.3. Cytotoxicity Assay
4. Conclusions
Supplementary Materials
Author Contributions
Funding
Institutional Review Board Statement
Informed Consent Statement
Data Availability Statement
Conflicts of Interest
Abbreviations
| ATCC | American-Type Culture Collection |
| CDCl3 | Deuterated chloroform |
| CLSI | Clinical and Laboratory Standards Institute |
| ESOL | Estimated solubility |
| DIPEA | N,N-Diisopropylethylamine |
| DMF | N,N-Dimethylformamide |
| DMSO-d6 | Deuterated dimethyl sulfoxide |
| FIC | Fractional inhibitory concentration |
| HBTU | Hexafluorophosphate benzotriazole tetramethyl uronium |
| HPTLC | High-performance thin-layer chromatography |
| LDH | Lactate dehydrogenase |
| MFC | Minimum fungicidal concentration |
| MIC | Minimum inhibitory concentration |
| NMR | Nuclear magnetic resonance |
| PBS | Phosphate buffer solution |
| RP-TLC | Reversed-phase thin-layer chromatography |
| TPSA | Topological polar surface area |
References
- Denning, D.W. Global incidence and mortality of severe fungal disease. Lancet Infect. Dis. 2024, 24, e428–e438. [Google Scholar] [CrossRef]
- Pappas, P.G.; Lionakis, M.S.; Arendrup, M.C.; Ostrosky-Zeichner, L.; Kullberg, B.J. Invasive candidiasis. Nat. Rev. Dis. Primers 2018, 4, 18026. [Google Scholar] [CrossRef]
- Soriano, A.; Honore, P.M.; Puerta-Alcalde, P.; Garcia-Vidal, C.; Pagotto, A.; Goncalves-Bradley, D.C.; Verweij, P.E. Invasive candidiasis: Current clinical challenges and unmet needs in adult populations. J. Antimicrob. Chemother. 2023, 78, 1569–1585. [Google Scholar] [CrossRef]
- Lockhart, S.R.; Chowdhary, A.; Gold, J.A.W. The rapid emergence of antifungal-resistant human-pathogenic fungi. Nat. Rev. Microbiol. 2023, 21, 818–832. [Google Scholar] [CrossRef]
- Lopes, J.P.; Lionakis, M.S. Pathogenesis and virulence of Candida albicans. Virulence 2022, 13, 89–121. [Google Scholar] [CrossRef]
- Daneshnia, F.; de Almeida Junior, J.N.; Ilkit, M.; Lombardi, L.; Perry, A.M.; Gao, M.; Nobile, C.J.; Egger, M.; Perlin, D.S.; Zhai, B.; et al. Worldwide emergence of fluconazole-resistant Candida parapsilosis: Current framework and future research roadmap. Lancet Microbe 2023, 4, e470–e480. [Google Scholar] [CrossRef] [PubMed]
- Czajka, K.M.; Venkataraman, K.; Brabant-Kirwan, D.; Santi, S.A.; Verschoor, C.; Appanna, V.D.; Singh, R.; Saunders, D.P.; Tharmalingam, S. Molecular Mechanisms Associated with Antifungal Resistance in Pathogenic Candida Species. Cells 2023, 12, 2655. [Google Scholar] [CrossRef]
- Askari, F.; Kaur, R. Candida glabrata: A Tale of Stealth and Endurance. ACS Infect. Dis. 2025, 11, 4–20. [Google Scholar] [CrossRef] [PubMed]
- Ahmadipour, S.; Field, R.A.; Miller, G.J. Prospects for anti-Candida therapy through targeting the cell wall: A mini-review. Cell Surf. 2021, 7, 100063. [Google Scholar] [CrossRef] [PubMed]
- Xiong, J.; Lu, H.; Jiang, Y. Mechanisms of Azole Potentiation: Insights from Drug Repurposing Approaches. ACS Infect. Dis. 2025, 11, 305–322. [Google Scholar] [CrossRef]
- Shekhawat, D.; Gouthami, K.; Santra, A.; Maity, S.; Nagajyothi, P.C.; Shim, J.; Reddy, V.D. A Comprehensive Review of Antimicrobial Drugs: Mechanisms of Action and Specific Targets in Microorganisms. J. Basic. Microbiol. 2025, e70057. [Google Scholar] [CrossRef] [PubMed]
- Dickwella Widanage, M.C.; Singh, K.; Li, J.; Yarava, J.R.; Scott, F.J.; Xu, Y.; Gow, N.A.R.; Mentink-Vigier, F.; Wang, P.; Lamoth, F.; et al. Distinct echinocandin responses of Candida albicans and Candida auris cell walls revealed by solid-state NMR. Nat. Commun. 2025, 16, 6295. [Google Scholar] [CrossRef]
- Hoenigl, M.; Sprute, R.; Egger, M.; Arastehfar, A.; Cornely, O.A.; Krause, R.; Lass-Florl, C.; Prattes, J.; Spec, A.; Thompson, G.R., 3rd; et al. The Antifungal Pipeline: Fosmanogepix, Ibrexafungerp, Olorofim, Opelconazole, and Rezafungin. Drugs 2021, 81, 1703–1729. [Google Scholar] [CrossRef]
- Liu, W.; Yuan, L.; Wang, S. Recent Progress in the Discovery of Antifungal Agents Targeting the Cell Wall. J. Med. Chem. 2020, 63, 12429–12459. [Google Scholar] [CrossRef]
- Saini, V.; Safwan, S.M.; Mehta, D.; Das, E.E.; Bajaj, A. Recent Advances in the Development of Antifungal Agents: Beyond Azoles, Polyenes, and Echinocandins. ACS Infect. Dis. 2025, 11, 1271–1295. [Google Scholar] [CrossRef]
- Lee, Y.; Puumala, E.; Robbins, N.; Cowen, L.E. Antifungal Drug Resistance: Molecular Mechanisms in Candida albicans and Beyond. Chem. Rev. 2021, 121, 3390–3411. [Google Scholar] [CrossRef]
- Ginestra, G.; Gervasi, T.; Mancuso, F.; Bucolo, F.; De Luca, L.; Gitto, R.; Barreca, D.; Mandalari, G. Evaluation of the In Vitro Antifungal Activity of Novel Arylsulfonamides against Candida spp. Microorganisms 2023, 11, 1522. Microorganisms 2023, 11, 1522. [Google Scholar] [CrossRef]
- Gervasi, T.; Ginestra, G.; Mancuso, F.; Barreca, D.; De Luca, L.; Mandalari, G. The In Vitro Potential of 1-(1H-indol-3-yl) Derivatives against Candida spp. and Aspergillus niger as Tyrosinase Inhibitors. Microorganisms 2021, 9, 2070. [Google Scholar] [CrossRef] [PubMed]
- CLSI. Reference Method for Broth Dilution Antifungal Susceptibility Testing of Yeasts; M27-A3; Clinical and Laboratory Standards Institute (CLSI): Wayne, PA, USA, 2017. [Google Scholar]
- White, R.L.; Burgess, D.S.; Manduru, M.; Bosso, J.A. Comparison of three different in vitro methods of detecting synergy: Time-kill, checkerboard, and E test. Antimicrob. Agents Chemother. 1996, 40, 1914–1918. [Google Scholar] [CrossRef]
- Mirabile, S.; Germano, M.P.; Fais, A.; Lombardo, L.; Ricci, F.; Floris, S.; Cacciola, A.; Rapisarda, A.; Gitto, R.; De Luca, L. Design, Synthesis, and in Vitro Evaluation of 4-(4-Hydroxyphenyl)piperazine-Based Compounds Targeting Tyrosinase. ChemMedChem 2022, 17, e202200305. [Google Scholar] [CrossRef]
- Visalli, M.A.; Jacobs, M.R.; Appelbaum, P.C. Activities of three quinolones, alone and in combination with extended-spectrum cephalosporins or gentamicin, against Stenotrophomonas maltophilia. Antimicrob. Agents Chemother. 1998, 42, 2002–2005. [Google Scholar] [CrossRef] [PubMed]
- Luo, J.; Raval, R. Correlative Imaging and super resolution microscopy studies reveal complexities in determining live-dead state of bacteria. Biofilm 2025, 10, 100302. [Google Scholar] [CrossRef] [PubMed]
- Fan, J.; Schiemer, T.; Vaska, A.; Jahed, V.; Klavins, K. Cell via Cell Viability Assay Changes Cellular Metabolic Characteristics by Intervening with Glycolysis and Pentose Phosphate Pathway. Chem. Res. Toxicol. 2024, 37, 208–211. [Google Scholar] [CrossRef] [PubMed]




| Compound | RM | Compound | RM | Compound | RM |
|---|---|---|---|---|---|
| 3 | −0.30 | 7 | 0.01 | 11 | −0.07 |
| 4 | −0.35 | 8 | −0.17 | 12 | −0.09 |
| 5 | −0.36 | 9 | −0.07 | 13 | 0.03 |
| 6 | −0.04 | 10 | −0.04 | 14 | 0.03 |

| Compound | n | R1 | R2 | R3 | R4 | R5 | R6 |
|---|---|---|---|---|---|---|---|
| 3 | 0 | H | Cl | Cl | H | H | SO2NH2 |
| 4 | 1 | H | Cl | Cl | H | H | SO2NH2 |
| 5 | 2 | H | Cl | Cl | H | H | SO2NH2 |
| 6 | 1 | H | Cl | Cl | H | H | H |
| 7 | 2 | H | Cl | Cl | H | H | H |
| 8 | 1 | H | Cl | H | H | H | H |
| 9 | 1 | Cl | Cl | H | H | H | H |
| 10 | 1 | Cl | H | H | Cl | H | H |
| 11 | 1 | H | Cl | Cl | H | OMe | H |
| 12 | 1 | H | Cl | Cl | H | H | OMe |
| 13 | 1 | H | Cl | Cl | H | Me | H |
| 14 | 1 | H | Cl | Cl | H | H | Me |
| Compound | TPSA a | Consensus Log P | ESOL Class b | GI Absorption | Lipinski Violations | Bioavailability Score | PAINS Alerts |
|---|---|---|---|---|---|---|---|
| 3 | 110.78 | 3.21 | Moderately soluble | High | 0 | 0.55 | 0 |
| 4 | 110.78 | 3.17 | Moderately soluble | High | 0 | 0.55 | 0 |
| 5 | 110.78 | 3.46 | Moderately soluble | High | 0 | 0.55 | 0 |
| 6 | 42.24 | 4.47 | Moderately soluble | High | 0 | 0.55 | 0 |
| 7 | 42.24 | 4.69 | Moderately soluble | High | 0 | 0.55 | 0 |
| 8 | 42.24 | 3.94 | Moderately soluble | High | 0 | 0.55 | 0 |
| 9 | 42.24 | 4.46 | Moderately soluble | High | 0 | 0.55 | 0 |
| 10 | 42.24 | 4.48 | Moderately soluble | High | 0 | 0.55 | 0 |
| 11 | 51.47 | 4.40 | Moderately soluble | High | 0 | 0.55 | 0 |
| 12 | 51.47 | 4.47 | Moderately soluble | High | 0 | 0.55 | 0 |
| 13 | 42.24 | 4.79 | Moderately soluble | High | 0 | 0.55 | 0 |
| 14 | 42.24 | 4.82 | Moderately soluble | High | 0 | 0.55 | 0 |
| STRAIN | Fluconazole | I a,b | 3 b | 4 b | 5 b | 6 b |
|---|---|---|---|---|---|---|
| Candida glabrata strain 9 | 0.031–0.015 | >1.000 | >1.000 | >1.000 | >1.000 | >1.000 |
| Candida glabrata strain 33 | 0.500 | 0.125–0.250 | >1.000 | >1.000 | 0.500–1000 | 0.062–0.125 |
| Candida glabrata DSZM 70614 | 0.062 | >1.000 | >1.000 | >1.000 | >1.000 | 1.000 |
| Candida parapsilosis strain 30 | 0.031 | 0.250 | 0.500–1000 | 0.500–1000 | 0.125–0.250 | 0.125–0.250 |
| Candida parapsilosis strain 34 | 0.031 | 0.500 | >1.000 | >1.000 | 0.500–1000 | 0.250 |
| Candida parapsilosis ATCC 22019 | 0.062–0.031 | 0.125–0.250 | >1.000 | >1.000 | >1.000 | 0.500–1000 |
| Candida albicans strain 12 | 0.031–0.015 | 0.250 | >1.000 | >1.000 | 1.000 | 0.500–1000 |
| Candida albicans strain 13 | 0.500 | 0.250 | >1.000 | >1.000 | >1.000 | 0.500–1000 |
| Candida albicans strain 16 | 0.500 | 0.125–0.250 | >1.000 | >1.000 | >1.000 | 0.500 |
| Candida albicans ATCC 10231 | 0.500 | 0.250 | >1.000 | >1.000 | 1.000 | 0.500–1000 |
| STRAIN | Fluconazole | 7 b | 8 b | 9 b | 10 b | 11 b | 12 b | 13 b | 14 b |
|---|---|---|---|---|---|---|---|---|---|
| Candida glabrata strain 9 | 0.031–0.015 | >1.000 | >1.000 | >1.000 | >1.000 | >1.000 | >1.000 | >1.000 | >1.000 |
| Candida glabrata strain 33 | 0.500 | >1.000 | >1.000 | >1.000 | >1.000 | >1.000 | >1.000 | >1.000 | >1.000 |
| Candida glabrata DSZM 70614 | 0.062 | >1.000 | >1.000 | >1.000 | >1.000 | >1.000 | >1.000 | >1.000 | >1.000 |
| Candida parapsilosis strain 30 | 0.031 | >1.000 | >1.000 | >1.000 | >1.000 | >1.000 | >1.000 | >1.000 | >1.000 |
| Candida parapsilosis strain 34 | 0.031 | >1.000 | >1.000 | >1.000 | >1.000 | >1.000 | >1.000 | >1.000 | >1.000 |
| Candida parapsilosis ATCC 22019 | 0.062–0.031 | >1.000 | >1.000 | >1.000 | >1.000 | >1.000 | >1.000 | >1.000 | >1.000 |
| Candida albicans strain 12 | 0.031–0.015 | >1.000 | >1.000 | >1.000 | >1.000 | >1.000 | >1.000 | >1.000 | >1.000 |
| Candida albicans strain 13 | 0.500 | >1.000 | >1.000 | >1.000 | >1.000 | >1.000 | >1.000 | >1.000 | >1.000 |
| Candida albicans strain 16 | 0.500 | >1.000 | >1.000 | >1.000 | >1.000 | >1.000 | >1.000 | >1.000 | >1.000 |
| Candida albicans ATCC 10231 | 0.500 | >1.000 | >1.000 | >1.000 | >1.000 | >1.000 | >1.000 | >1.000 | >1.000 |
Disclaimer/Publisher’s Note: The statements, opinions and data contained in all publications are solely those of the individual author(s) and contributor(s) and not of MDPI and/or the editor(s). MDPI and/or the editor(s) disclaim responsibility for any injury to people or property resulting from any ideas, methods, instructions or products referred to in the content. |
© 2025 by the authors. Licensee MDPI, Basel, Switzerland. This article is an open access article distributed under the terms and conditions of the Creative Commons Attribution (CC BY) license (https://creativecommons.org/licenses/by/4.0/).
Share and Cite
Mirabile, S.; Ginestra, G.; Pennisi, R.; Barreca, D.; Mandalari, G.; Gitto, R. Synthesis and Antifungal Evaluation Against Candida spp. of 5-Arylfuran-2-Carboxamide Derivatives. Microorganisms 2025, 13, 1835. https://doi.org/10.3390/microorganisms13081835
Mirabile S, Ginestra G, Pennisi R, Barreca D, Mandalari G, Gitto R. Synthesis and Antifungal Evaluation Against Candida spp. of 5-Arylfuran-2-Carboxamide Derivatives. Microorganisms. 2025; 13(8):1835. https://doi.org/10.3390/microorganisms13081835
Chicago/Turabian StyleMirabile, Salvatore, Giovanna Ginestra, Rosamaria Pennisi, Davide Barreca, Giuseppina Mandalari, and Rosaria Gitto. 2025. "Synthesis and Antifungal Evaluation Against Candida spp. of 5-Arylfuran-2-Carboxamide Derivatives" Microorganisms 13, no. 8: 1835. https://doi.org/10.3390/microorganisms13081835
APA StyleMirabile, S., Ginestra, G., Pennisi, R., Barreca, D., Mandalari, G., & Gitto, R. (2025). Synthesis and Antifungal Evaluation Against Candida spp. of 5-Arylfuran-2-Carboxamide Derivatives. Microorganisms, 13(8), 1835. https://doi.org/10.3390/microorganisms13081835

