Biocontrol Potential, Plant Growth-Promotion, and Genomic Insights of Pseudomonas koreensis CHHM-1 Against Bacterial Canker in Actinidia arguta
Abstract
1. Introduction
2. Materials and Methods
2.1. Test Materials
2.2. Isolation and Purification of Rhizosphere Bacteria
2.3. Screening of Antagonistic Bacteria
2.4. Identification of the Antagonistic Isolate CHHM-1
2.5. Whole-Genome Sequencing and Analysis
2.6. Assessment of Genomic Similarity and Collinearity
2.7. Gene Annotation and Functional Prediction
2.8. Determination of Plant Growth-Promoting Traits In Vitro and in A. arguta
2.9. Determination of Protective and Therapeutic Effects of the Isolate CHHM-1 Against P. syringae pv. actinidiae
2.10. Preparation of Bacterial Culture Filtrate (BF)
2.11. Assessment of Antibacterial Activity and Morphological Effects of BF
2.12. Scanning Electron Microscopy Sample Preparation
2.13. Data Processing and Analysis
3. Results and Analysis
3.1. Antagonistic Activity of Rhizosphere Bacteria Against P. syringae pv. actinidiae
3.2. Identification of Rhizobacteria
3.3. Whole-Genome Analysis of P. koreensis CHHM-1
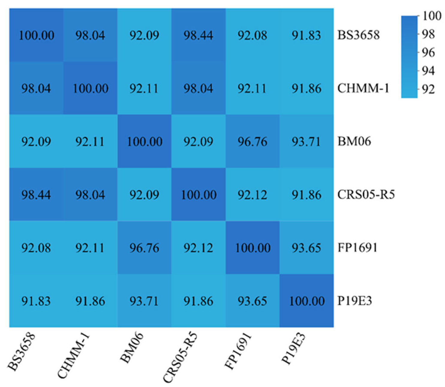
3.4. Comparative Genomic Analysis
3.5. Basic Genomic Annotation of P. koreensis CHHM-1
3.6. Prediction of Antibiotic Resistance Genes
3.7. Plant Growth-Promoting Traits of the Isolate CHHM-1
3.8. The Determination of the Preventive and Therapeutic Effects of the Isolate CHHM-1 on P. syringae pv. actinidiae
3.9. Growth Inhibition of P. syringae pv. actinidiae by BF
3.10. Morphological Changes in P. syringae pv. actinidiae Cells Induced by BF Treatment
4. Discussion
Supplementary Materials
Author Contributions
Funding
Institutional Review Board Statement
Informed Consent Statement
Data Availability Statement
Conflicts of Interest
References
- Wang, Y.; Zhao, C.L.; Li, J.Y.; Liang, Y.J.; Yang, R.Q.; Liu, J.Y.; Ma, Z.; Wu, L. Evaluation of biochemical components and antioxidant capacity of different kiwifruit (Actinidia spp.) genotypes grown in China. Biotechnol. Biotechnol. Equip. 2018, 32, 558–565. [Google Scholar] [CrossRef]
- Wang, Y.; Liu, Y. Recent advances of kiwifruit genome and genetic transformation. Mol. Hortic. 2024, 4, 19. [Google Scholar] [CrossRef] [PubMed]
- Li, D.W.; Huang, W.J.; Zhong, C.H. Current status of China’s kiwifruit industry and development recommendations for the 15th five-year plan. J. Fruit Sci. 2024, 41, 2149–2159. [Google Scholar] [CrossRef]
- Dong, H.T.; Wu, H.F.; Shan, L.L.; Li, R.N.; Liu, D.M. Variation characteristics and disaster risk analysis of strong wind in ripening period of Actinidia arguta: A case study of dandong area. Chin. Agric. Sci. Bull. 2024, 40, 110–118. [Google Scholar]
- Qin, H.Y.; Zhao, Y.; Chen, X.L.; Zhang, B.X.; Wen, X.; Li, C.Y.; Fan, S.T.; Wang, Y.; Yang, Y.M.; Xu, P.L.; et al. Pathogens identification and resistance evaluation on bacterial canker in Actinidia arguta germplasm. J. Plant Pathol. 2023, 105, 973–985. [Google Scholar] [CrossRef]
- He, W.P.; Liu, W.; Liu, W.C.; Huang, L.L.; Qin, H.Q. Establishment of sensitivity baseline and resistance risk analysis of kiwifruit canker fungus for kasugamycin. Acta Agric. Boreali-Occident. Sin. 2025, 34, 959–966. [Google Scholar]
- Pereira, C.; Costa, P.; Pinheiro, L.; Balcão, V.M.; Almeida, A. Kiwifruit bacterial canker: An integrative view focused on biocontrol strategies. Planta 2021, 253, 49. [Google Scholar] [CrossRef]
- Usuki, G.; Ishiga, T.; Sakata, N.; Ishiga, Y. Flagellar motility of Pseudomonas syringae pv. actinidiae biovar 3 contributes to bacterial infection through stomata. J. Gen. Plant Pathol. 2024, 90, 144–150. [Google Scholar] [CrossRef]
- Hu, R.; Xu, X.H.; Jia, Y.J.; Zhu, C.C.; Wang, L.; Song, M.X.; Xu, Q.; Xia, M.; He, X.Q.; Jin, Y. Phage cocktail alleviates bacterial canker of kiwifruit by modulating bacterial community structure in field trial. Microorganisms 2025, 13, 104. [Google Scholar] [CrossRef]
- Guo, Q.; Shi, M.D.; Chen, L.; Zhou, J.H.; Zhang, L.X.; Li, Y.L.; Xue, Q.H.; Lai, H.X. The biocontrol agent Streptomyces pactum increases Pseudomonas koreensis populations in the rhizosphere by enhancing chemotaxis and biofilm formation. Soil Biol. Biochem. 2020, 144, 12. [Google Scholar] [CrossRef]
- De La Fuente, L.; Thomashow, L.; Weller, D.; Bajsa, N.; Quagliotto, L.; Chernin, L.; Arias, A. Pseudomonas fluorescens UP61 isolated from birdsfoot trefoil rhizosphere produces multiple antibiotics and exerts a broad spectrum of biocontrol activity. Eur. J. Plant Pathol. 2004, 110, 671–681. [Google Scholar] [CrossRef]
- Wang, B.C.; Guo, Y.S.; Chen, X.T.; Ma, J.L.; Xia, L.; Wang, W.Z.; Long, Y.H. Assessment of the biocontrol potential of Bacillus velezensis WL–23 against kiwifruit canker caused by Pseudomonas syringae pv. actinidiae. Int. J. Mol. Sci. 2023, 24, 11541. [Google Scholar] [CrossRef] [PubMed]
- Saitou, N.; Nei, M. The neighbor-joining method: A new method for reconstructing phylogenetic trees. Mol. Biol. Evol. 1987, 4, 406–425. [Google Scholar] [CrossRef] [PubMed]
- Zhu, H.X.; Hu, L.F.; Hu, H.Y.; Zhou, F.; Wu, L.L.; Wang, S.W.; Rozhkova, T.; Li, C.W. Identification of a novel Streptomyces sp. strain HU2014 showing growth promotion and biocontrol effect against Rhizoctonia spp. in wheat. Plant Dis. 2023, 107, 1139–1150. [Google Scholar] [CrossRef]
- Pang, J.; Liu, Y.M.; Huang, Y.C.; Wang, C.R.; Liu, B.; Liu, Z.Q.; Huang, Y.Z.; Huang, Y.F.; Zhang, C.B. Isolation and identification of the plant endophyte R13 and its effect on cadmium accumulation in Solanum nigrum L. Huan Jing Ke Xue 2021, 42, 4471–4480. [Google Scholar] [CrossRef]
- Meng, C.N.; Zhao, Y.J.; Chen, J.X.; Zhang, Y.L.; Wang, Y.J.; Feng, L.R.; Sun, Y.G.; Guo, C.H. Screening and identification of two strains of nitrogen-fixing bacteria from the silage maize rhizosphere and their roles in plant growth promotion. Acta Prataculturae Sin. 2024, 33, 174–185. [Google Scholar]
- Yu, H.X.; Liang, H.L.; Wang, Z.X.; Yang, X.Y.; Li, W.H. Isolation, identification and growth-promoting effects of culturable nitrogen-fixing bacteria and ammonifying bacteria in rhizosphere soil of Mikania micrantha. Acta Microbiol. Sin. 2022, 60, 1851–1863. [Google Scholar] [CrossRef]
- Zhao, Z.B.; Chen, J.L.; Gao, X.N.; Zhang, D.; Zhang, J.L.; Wen, J.; Qin, H.Q.; Guo, M.; Huang, L.L. Comparative genomics reveal pathogenicity-related loci in Pseudomonas syringae pv. actinidiae biovar 3. Mol. Plant Pathol. 2019, 20, 923–942. [Google Scholar] [CrossRef]
- Tian, R.Z.; Tian, Y.J.; Mi, Q.Q.; Huang, L.L. Histocytological analysis reveals the biocontrol activity of a rhizospheric bacterium Pseudomonas rhizophila Z98 against kiwifruit bacterial canker. Pestic. Biochem. Physiol. 2025, 208, 106251. [Google Scholar] [CrossRef]
- Yan, Z.W.; Fu, M.; Mir, S.H.; Zhang, L.X. Diversity and characterization of antagonistic bacteria against Pseudomonas syringae pv. actinidiae isolated from kiwifruit rhizosphere. FEMS Microbiol. Lett. 2023, 370, 6. [Google Scholar] [CrossRef]
- Zhu, H.Y.; Ma, Y.; Ke, Y.; Li, B. Screening and identification of an antagonist against the pathogen of kiwifruit canker and its antifungal activity to the phytopathogenic fungus. Biotechnol. Bull. 2021, 37, 66–72. [Google Scholar] [CrossRef]
- Ali, M.A.; Luo, J.Y.; Ahmed, T.; Zhang, J.N.; Xie, T.; Dai, D.J.; Jiang, J.Y.; Zhu, J.; Hassan, S.; Alorabi, J.; et al. Pseudomonas bijieensis strain XL17 within the P. corrugata subgroup producing 2,4-diacetylphloroglucinol and lipopeptides controls bacterial canker and gray mold pathogens of kiwifruit. Microorganisms 2022, 10, 22. [Google Scholar] [CrossRef] [PubMed]
- Daranas, N.; Roselló, G.; Cabrefiga, J.; Donati, I.; Francés, J.; Badosa, E.; Spinelli, F.; Montesinos, E.; Bonaterra, A. Biological control of bacterial plant diseases with Lactobacillus plantarum strains selected for their broad-spectrum activity. Ann. Appl. Biol. 2019, 174, 92–105. [Google Scholar] [CrossRef] [PubMed]
- Zhao, X.; Zhai, Y.; Wei, L.; Xia, F.; Yang, Y.R.; Yi, Y.J.; Wang, H.Y.; Qiu, C.S.; Wang, F.; Zeng, L.B. Isolation and identification of a novel Bacillus velezensis strain JIN4 and its potential for biocontrol of kiwifruit bacterial canker caused by Pseudomonas syringae pv. actinidiae. Front. Plant Sci. 2024, 15, 1513438. [Google Scholar] [CrossRef] [PubMed]
- Ma, J.T.; Dong, X.Y.; Li, Z.H.; Yan, H.; He, J.; Liu, J.K.; Feng, T. Antibacterial metabolites from kiwi endophytic fungus Fusarium tricinctum, a potential biocontrol strain for kiwi canker disease. J. Agric. Food Chem. 2023, 71, 7679–7688. [Google Scholar] [CrossRef]
- Biondi, E.; Gallipoli, L.; Mazzaglia, A.; Fuentealba, S.P.; KuzmanoviĆ, N.; Bertaccini, A.; Balestra, G. Bacillus-based products for management of kiwifruit bacterial canker. Phytopathol. Mediterr. 2021, 60, 215–228. [Google Scholar] [CrossRef]
- Shao, X.; Wu, Q.; Li, L.; He, W.; He, X.; Cheng, D.; Murero, A.; Lin, L.; Wang, L.; Zhong, C.; et al. Adapting the inoculation methods of kiwifruit canker disease to identify efficient biocontrol bacteria from branch microbiome. Mol. Plant Pathol. 2024, 25, e13399. [Google Scholar] [CrossRef]
- Ren, Y.X.; Zhou, X.H.; Cai, B.Y.; Sun, Y.C.; Ge, J.P.; Ping, W.X. Effects of fermented polyphenols from Lonicera caerulea on Streptococcus mutans pathogenicity: Exopolysaccharide structure and quorum sensing regulation. Int. J. Biol. Macromol. 2025, 318, 145265. [Google Scholar] [CrossRef]
- Kaur, M.; Jangra, M.; Singh, H.; Tambat, R.; Singh, N.; Jachak, S.; Mishra, S.; Sharma, C.; Nandanwar, H.; Pinnaka, A. Pseudomonas koreensis recovered from raw yak milk synthesizes a β-carboline derivative with antimicrobial properties. Front. Microbiol. 2019, 10, 11. [Google Scholar] [CrossRef]
- Wei, X.H.; Nie, Q.W.; Medison, R.G.; Zheng, T.W.; Meng, X.J.; Sun, Z.X.; Zhou, Y. Evaluation of Pseudomonas koreensis B17-12 as a potential biological control agent against postharvest diseases of tomato. Physiol. Mol. Plant Pathol. 2024, 132, 102311. [Google Scholar] [CrossRef]
- Vemic, A.; Jovanovic, S.; Beric, T.; Lucic, A.; Rakonjac, L.; Mitrovic, S.; Popovic, V. The potential of Pseudomonas koreensis R4.45P to suppress Hymenoscyphus fraxineus development in Fraxinus excelsior leaves. For. Pathol. 2025, 55, 4. [Google Scholar] [CrossRef]
- Ghazy, N.; El Nahrawy, S. Siderophore production by Bacillus subtilis MF497446 and Pseudomonas koreensis MG209738 and their efficacy in controlling Cephalosporium maydis in maize plant. Arch. Microbiol. 2021, 203, 1195–1209. [Google Scholar] [CrossRef] [PubMed]
- Chen, T.; Wang, Y.; Chi, X.H.; Xiong, L.Y.; Lu, P.; Wang, X.T.; Chen, Y.B.; Luo, Q.; Shen, P.; Xiao, Y.H. Genetic, virulence, and antimicrobial resistance characteristics associated with distinct morphotypes in ST11 carbapenem-resistant Klebsiella pneumoniae. Virulence 2024, 15, 2349768. [Google Scholar] [CrossRef] [PubMed]
- Guo, Q.; Sun, Y.; Shi, M.; Han, X.; Jing, Y.; Li, Y.; Li, H.; Lai, H. Pseudomonas koreensis promotes tomato growth and shows potential to induce stress tolerance via auxin and polyphenol-related pathways. Plant Soil 2021, 462, 141–158. [Google Scholar] [CrossRef]
- Kalleku, J.N.; Ihsan, S.; Al-Azzawi, T.N.I.; Khan, M.; Hussain, A.; Chebitok, F.; Das, A.K.; Moon, Y.; Mun, B.; Lee, I.; et al. Halotolerant Pseudomonas koreensis S4T10 mitigate salt and drought stress in Arabidopsis thaliana. Physiol. Plant 2024, 176, 12. [Google Scholar] [CrossRef]
- Ali, S.; Khan, M.; Moon, Y. Synergistic effect of Serratia fonticola and Pseudomonas koreensis on mitigating salt stress in Cucumis sativus L. Curr. Issues Mol. Biol. 2025, 47, 16. [Google Scholar] [CrossRef]
- Hkudaygulov, G.; Chetverikova, D.; Kendzieva, A.; Rameev, T.; Timergalin, M.; Feoktistova, A.; Starikov, S.; Sharipov, D.; Sultangazin, Z.; Chukbar, N.; et al. Mitigating effect of PGP-bacteria Pseudomonas koreensis IB4 on growth and biochemical parameters of wheat plants during their treatment with herbicides. Biosci. Res. 2021, 18, 3304–3309. [Google Scholar]
- Vincze, É.; Becze, A.; Salamon, R.; Lányi, S.; Mara, G. Role of the Pseudomonas koreensis BB2.A.1 and Serratia liquefaciens BB2.1.1 bacterial strains in maize trace metal stress management. Microorganisms 2024, 12, 22. [Google Scholar] [CrossRef]














| Test | Result | Test | Test |
|---|---|---|---|
| Voges–Proskauer (VP) | − | Hydrogen sulfide | − |
| Indole production | − | Nitrate reduction | − |
| Gelatin liquefaction | + | Urease activity | − |
| Oxidase activity | + | Glucose utilization | + |
| Growth at pH 5.7 | + | Starch hydrolysis | − |
| Genome | 16SrRNA Gene Sequence Similarity (%) | ANI (%) |
|---|---|---|
| Pseudomonas koreensis GCF_900101415.1 | 100 | 98.12 |
| P. putida GCF_004683905.1 | 100 | 92.35 |
| P. fluorescens GCF_000292795.1 | 99.61 | 92.26 |
| P. kribbensis GCF_003352185.1 | 99.61 | 89.12 |
| P. moraviensis GCF_900105805.1 | 99.80 | 88.24 |
| P. granadensis GCF_900105485.1 | 99.35 | 88.19 |
| P. jessenii GCF_002236115.1 | 99.61 | 86.34 |
| P. reinekei GCF_001945365.1 | 99.61 | 86.14 |
| P. chlororaphis GCF_001023535.1 | 99.61 | 84.62 |
| CHHM-1 | BM06 | BS3658 | P19E3 | CRS05-R5 | FP1691 | |
|---|---|---|---|---|---|---|
| origin | Liaoning | Nanjing | DOE Joint Genome Institute | Boppelsen | Hangzhou | Guangxi |
| Genome size (bp) | 6,181,985 | 6,093,942 | 6,123,913 | 7,498,197 | 5,991,225 | 6,304,592 |
| Number of chromosomes | 1 | 1 | 1 | 5 | 1 | 1 |
| GC percent (%) | 60.5 | 60.5 | 60.5 | 59.0 | 60.5 | 60.0 |
| Genome coverage | 80.48× | 318.4× | 112× | 159× | 180× | 219× |
| ARO Name | ARO Accession | Resistance Mechanism | Identity (%) | Coverage (%) |
|---|---|---|---|---|
| Pseudomonas mutant PhoP conferring resistance to colistin | ARO:3003895 | antibiotic efflux; antibiotic target alteration; resistance by absence | 83.9 | 99.1 |
| Pseudomonas aeruginosa CpxR | ARO:3004054 | antibiotic efflux | 82.6 | 99.1 |
| MexT | ARO:3000814 | antibiotic efflux | 84.4 | 86.7 |
| MexW | ARO:3003031 | antibiotic efflux | 82.6 | 99.4 |
| Pseudomonas aeruginosa parE conferring resistance to fluoroquinolones | ARO:3003685 | antibiotic target alteration | 89.3 | 98.7 |
| MexF | ARO:3000804 | antibiotic efflux | 87.9 | 99.2 |
| rsmA | ARO:3005069 | antibiotic efflux | 80.6 | 98.4 |
| MexK | ARO:3003693 | antibiotic efflux | 81.9 | 99.8 |
| MexB | ARO:3000378 | antibiotic efflux | 80.3 | 99.2 |
| YajC | ARO:3005040 | antibiotic efflux | 84.8 | 99.1 |
| Pseudomonas aeruginosa gyrA and parC conferring resistance to fluoroquinolones | ARO:3003702 | antibiotic target alteration | 82.0 | 99.5 |
Disclaimer/Publisher’s Note: The statements, opinions and data contained in all publications are solely those of the individual author(s) and contributor(s) and not of MDPI and/or the editor(s). MDPI and/or the editor(s) disclaim responsibility for any injury to people or property resulting from any ideas, methods, instructions or products referred to in the content. |
© 2025 by the authors. Licensee MDPI, Basel, Switzerland. This article is an open access article distributed under the terms and conditions of the Creative Commons Attribution (CC BY) license (https://creativecommons.org/licenses/by/4.0/).
Share and Cite
Wang, M.; Tian, T.; Wang, Y.; Liu, R.; Fan, S.; Ma, M.; Zhang, B.; Li, J.; Wang, Y.; Yang, Y.; et al. Biocontrol Potential, Plant Growth-Promotion, and Genomic Insights of Pseudomonas koreensis CHHM-1 Against Bacterial Canker in Actinidia arguta. Microorganisms 2025, 13, 2400. https://doi.org/10.3390/microorganisms13102400
Wang M, Tian T, Wang Y, Liu R, Fan S, Ma M, Zhang B, Li J, Wang Y, Yang Y, et al. Biocontrol Potential, Plant Growth-Promotion, and Genomic Insights of Pseudomonas koreensis CHHM-1 Against Bacterial Canker in Actinidia arguta. Microorganisms. 2025; 13(10):2400. https://doi.org/10.3390/microorganisms13102400
Chicago/Turabian StyleWang, Mengqi, Taiping Tian, Yue Wang, Ruoqi Liu, Shutian Fan, Mingjie Ma, Baoxiang Zhang, Jiaqi Li, Yanli Wang, Yiming Yang, and et al. 2025. "Biocontrol Potential, Plant Growth-Promotion, and Genomic Insights of Pseudomonas koreensis CHHM-1 Against Bacterial Canker in Actinidia arguta" Microorganisms 13, no. 10: 2400. https://doi.org/10.3390/microorganisms13102400
APA StyleWang, M., Tian, T., Wang, Y., Liu, R., Fan, S., Ma, M., Zhang, B., Li, J., Wang, Y., Yang, Y., Xu, P., Shu, N., Lu, W., Sun, B., Wu, M., Qin, H., & Li, C. (2025). Biocontrol Potential, Plant Growth-Promotion, and Genomic Insights of Pseudomonas koreensis CHHM-1 Against Bacterial Canker in Actinidia arguta. Microorganisms, 13(10), 2400. https://doi.org/10.3390/microorganisms13102400

