You are currently viewing a new version of our website. To view the old version click .
Microorganisms
  • Article
  • Open Access

18 March 2024

Effect of the Inoculum-to-Substrate Ratio on Putative Pathogens and Microbial Kinetics during the Batch Anaerobic Digestion of Simulated Food Waste

,
,
,
,
,
,
and
1
Lancaster Environment Centre, Lancaster University, Library Avenue, Lancaster LA1 4YQ, UK
2
Engineering Department, Lancaster University, Gillow Avenue, Lancaster LA1 4YW, UK
3
Centre for Global Eco-Innovation Nigeria, University of Benin, Benin City P.O. Box 300313, Edo State, Nigeria
4
Vice Chancellor’s Office, Igbinedion University Okada, Benin City P.O. Box 0006, Edo State, Nigeria
This article belongs to the Section Environmental Microbiology

Abstract

The effects of the inoculum (anaerobic digestion effluent) to substrate (simulated food waste) ratio (ISR) 4.00 to 0.25 on putative pathogens and microbial kinetics during batch mesophilic anaerobic digestion were investigated. Red fluorescent protein labelled (RFPAKN132) Escherichia coli JM105 was introduced as a marker species, and together with the indigenous Clostridium sp., Enterococcus sp., Escherichia coli, and total coliforms were used to monitor pathogen death kinetics. Quantitative polymerase chain reaction was also used to estimate the bacterial, fungal, and methanogenic gene copies. All the ISRs eliminated E. coli and other coliforms (4 log10 CFU/mL), but ISR 0.25 achieved this within the shortest time (≤2 days), while ISR 1.00 initially supported pathogen proliferation. Up to 1.5 log10 CFU/mL of Clostridium was reduced by acidogenic conditions (ISR 0.25 and 0.50), while Enterococcus species were resistant to the digestion conditions. Fungal DNA was reduced (≥5 log10 copies/mL) and was undetectable in ISRs 4.00, 2.00, and 0.50 at the end of the incubation period. This study has demonstrated that ISR influenced the pH of the digesters during batch mesophilic anaerobic digestion, and that acidic and alkaline conditions achieved by the lower (0.50 and 0.25) and higher (4.00 and 2.00) ISRs, respectively, were critical to the sanitisation of waste.

1. Introduction

Anaerobic digestion (AD) is a biological process that is used in the treatment and stabilisation of biodegradable wastes in wastewater treatment plants for municipal solid waste, as well as food, agricultural, and industrial wastes [1,2]. The AD process generates biogas and a residue known as digestate, which can be used as a soil conditioner or biofertiliser, depending on the amount of nutrient it contains [3]. Food wastes are a source of nutrient-rich and biodegradable material, having a high solid content, and they are suitable for co-digestion with other substrates. This makes food waste an ideal feedstock for AD [4,5,6].
Although it has been reported that AD reduces or eliminates human pathogens and antibiotic-resistant genes present in food wastes and other organic wastes [2,7,8,9], safety concerns remain with the recycling of digestate through its application to soil. This is because certain pathogenic species may persist in the digestate despite AD treatment [10,11]. This has raised questions on the efficacy of the AD process in sanitizing food wastes which could contain high concentrations of potentially pathogenic enteric species such as Salmonella enterica, Escherichia coli, Enterococcus faecalis, and Shigella spp. [12,13,14]. These organisms may exhibit different survival capabilities while in the natural environment and could pose public health risks. They can contaminate the soil and crops, as well as leach into surface and underground water, resulting in food and water-borne diseases [15]. Therefore, strict regulations are required concerning the use of sanitised digestate in agriculture.
Factors that influence the performance and efficacy of the AD process in eliminating pathogens include temperature, pH, retention time, digester configuration, microbial species, and presence of intermediates such as volatile fatty acids (VFAs) and ammonia [16]. The temperature of digestion is an important factor in pathogen inactivation during AD. The temperature is characterised as being in the psychrophilic, mesophilic, or thermophilic range. Thermophilic anaerobic digestion was reported to eliminate Salmonella Senftenberg and Enterococcus spp. During the AD of food waste [8]. Despite the sanitising efficacy of thermophilic AD, mesophilic anaerobic digestion (25–40 °C) is the most common type used due to the modest energy input required and the ease of handling [17]. This mesophilic temperature range also coincides with the optimum temperature of most human pathogens, which tends to support their growth and proliferation. Therefore, mesophilic AD requires other “potent” conditions beyond temperature to achieve the sanitisation of waste.
pH is influenced by the concentration of VFAs and the buffering capacity of the digester. The concentration of VFAs produced can be a function of the initial total solid concentration, which is strongly influenced by the ratio of inoculum to substrate [18]. The complex interplay of these initial conditions in the digester affects the pH, methanogenesis, and rate of pathogen decline during the treatment of wastes. The conditions that favour the growth of methanogenic organisms and thus biogas production also tend to favour the survival of pathogenic species. Most microorganisms grow and survive optimally at a pH of about 7 [19]. Thus, higher deviations from this neutral pH towards acidity or alkalinity can affect pathogen survival during AD and thus aid in the sanitisation of waste. Hence, the control of other parameters such as the inoculum-to-substrate ratio (ISR), pH, and digestion method during the AD process is pertinent.
The ISR determines the rate at which the digester material becomes hydrolysed, as well as the stability of the AD process [20]. Furthermore, Fontana et al. [21] noted that microbial diversity in digesters depends on the inoculum. The inoculum contains acclimatised active microbial species from a previous anaerobic process or a natural anaerobic environment. These species act as starters which help to initiate the digestion process and reduce the lag phase. They should be present in high microbial numbers in the inoculum to enhance the process rate [1]. However, appropriate ISR should be mixed to form the feedstock for the AD process. This is to ensure sufficient starter species, as well as enough substrate to supply the required nutrients for biogas production, because suboptimal ratios of substrate and inoculum can either lead to AD inhibition or an inefficient process.
The effects of ISR on the AD process stability and biogas production have been studied [1,20,22,23,24,25], but there is little work that has been performed on the effect of ISR on pathogen kinetics. Although Arias et al. [26] reported the effect of high total solids on pathogen inactivation during batch mesophilic AD of agricultural residue, and Fagbohungbe et al. [27] investigated the effect of ISR on batch AD of human faecal material, both authors used different feedstock and pathogen detection methods and reported results for only the initial and final pathogen loadings. This research considers the effect of ISR on pathogen and microbial kinetics during batch mesophilic anaerobic digestion of simulated food waste, using culture-based and qPCR analyses respectively. This study will aid in determining the upper and lower limits of ISRs, whereby conditions suitable for waste sanitisation can be achieved during mesophilic AD. This work is part of a bigger project, in which the first part containing AD process optimisation and biogas production has been published in Gandhi et al. [25].

2. Materials and Methods

2.1. Substrate and Inoculum

The substrate was simulated food waste (SFW). Fresh food materials made up of all classes of food (carbohydrate, protein, vitamins, lipids) were purchased from Sainsbury’s PLC, Lancaster, UK (Table S1). The food samples were homogenised using a blender and mixed to obtain the SFW based on the Waste and Resource Action Programme composition of a typical household’s food waste [28]. The inoculum was prepared from anaerobic digester effluent obtained from Cockerham Green Energy Limited biodigester plant (Lancaster, UK) treating livestock and agricultural waste. The anaerobic digestion effluent was sieved through a 2 mm mesh. The simulated food waste and inoculum were stored at −20 °C and 4 °C, respectively, prior to the experimental setup. Detailed characteristics of feedstock can be found in Table S2.

2.2. Background Bacterial Enumeration of Substrate and Inoculum

Background bacterial enumeration of the simulated food waste and inoculum was carried out using Nutrient agar, MacConkey agar, Tryptone bile X-glucuronide agar, Brilliance E. coli coliform selective medium, Tryptone sulfite neomycin, and bile aesculin agar (All media from Oxoid, UK) to determine total heterotrophic bacteria, Gram-negative enteric bacteria, Escherichia coli, coliforms, Clostridium sp., and Enterococcus sp. respectively. Bacterial isolation comprised serial dilution of samples and inoculation on the aforementioned selective agar plates using the spread plate method. The limit of detection for bacterial enumeration was estimated at 10 CFU/mL, based on the inoculation of undiluted effluent. Plates for the isolation of Clostridium were placed in anaerobic jar (ThermoFisher Scientific AnaeroGenTM 2.5 l, Waltham, MA, USA) containing gas generating kit (ThermoFisher Scientific AN0025A). Plates containing media without inoculum were used as the experimental control. All plates were incubated at 37 °C for 18–24 h.

2.3. Recovery and Confirmation of Marker Fluorescent-Labelled Escherichia coli Strain

Red fluorescent protein (RFP)-labelled (RFPAKN132) Escherichia coli strain JM105 was obtained from Biomedical and Life Sciences laboratory, Lancaster University, and stored as Petri dish culture at 4 °C. The strain carries a mini-Tn7 (Gm) PA1/04/03 DsRedExpress-a delivery plasmid [29]. This plasmid is a pUC derivative expressing resistance to ampicillin, chloramphenicol, and gentamicin antibiotics, which are known effective antibiotics against wild-type E. coli. The RFP-labelled strain was recovered from refrigerated solid agar plate using Luria-Bertani broth containing 100 μg/mL each of ampicillin and gentamicin, followed by plating on LB agar with the same antibiotics.
Culture plates were incubated at 37 °C for 24 h. After incubation, cultures were checked for red fluorescence by viewing them in a dark chamber. Pure colonies of fluorescent strain were picked, inoculated into LB broth, and prepared for seeding as a marker species in the anaerobic bioreactors. The concentration of RFP-labelled E. coli strain present in culture solution used as inoculum for AD was standardised to 108 CFU/mL by measuring the optical density at OD 600 nm and plate count.

2.4. Anaerobic Digestion Setup

The experiment was set up as described by Gandhi et al. [25]. Briefly, the batch bioreactors consisted of five treatments each in duplicate, and controls also in duplicate, totaling twelve reactors. The five treatments were ISR 0.25, 0.50, 1.00, 2.00, and 4.00 on a dry volatile matter basis, and the control had only inoculum without substrate (ISR = ∞). The ratios of 0.25–4.00 were chosen in order to have a lower and upper limit of ratios whereby acidogenesis, which is important for waste sanitization, could be achieved. The contents of all the 5 L capacity bioreactors were made up of deionised water to give an equal working volume of 3.5 L. A 1 mL measure of the marker RFP-labelled E. coli JM 105 strain (2.2 × 108 CFU/mL) was mixed with the feedstock and introduced into the AD bioreactor to give a final reactor concentration of 6.2 × 104 CFU/mL. The reactors were sparged with nitrogen gas to generate an anaerobic condition and subsequently incubated at a mesophilic temperature of 37 ± 1.5 °C for 27 d under constant stirring with an in-built U-shaped agitator.

2.5. Monitoring the Fate of Marker Escherichia coli and Other Resident Pathogens during AD

Approximately 120 mL of the sample was taken from each bioreactor each day for the first four days, then on alternate days until the tenth day, and also on days 13, 16, 19, and 27. The samples were stored in a freezer at −30 °C prior to analysis for pathogen and microbial dynamics. A sample from each reactor was plated in replicates, giving a total of four determinations per treatment. Culturable aerobic bacteria enumeration was performed using the plate count method on the different selective media as listed in Section 2.2.

2.6. pH Determination

The pH of samples was determined according to standard methods [30] using a pH electrode (Mettler Toledo, Columbus, OH, USA). The average pH reading of 4 determinations was recorded.

2.7. Molecular Analyses

2.7.1. DNA Extraction and Sanger Sequencing

Total DNA for qPCR was extracted from 500 µL of digestate samples collected at 0, 1, and 27 d using Nucleospin soil DNA isolation kit (Macherey-Nagel, Düren, Germany). DNA for Sanger sequencing was extracted from pure culture of uniquely re-occurring bacterial isolates on nutrient agar plates using Quick-DNA bacterial kit (Zymo Research, Tustin, CA, USA). These isolates were present in all the bioreactors during the digestion period. The extracted DNA was quantified using Qubit fluorometer (ThermoFisher Scientific, Oxford, UK), and quality was checked using the Nanodrop 1000 spectrophotometer (ThermoFisher Scientific, UK). The DNA extracted from pure culture isolates was sent to Source Biosciences (Nottingham, UK) for Sanger sequencing. The sequencing was performed using primers targeting the bacteria 16S rRNA gene. The primers were 27F: AGAGTTTGATCMTGGCTCAG, and 1391R: GACGGGCRGTGWGTRCA. The sequences obtained were analysed with the GenBank database (Nucleotide BLAST). Species were assigned based on 100% coverage and identity greater than 98%.

2.7.2. RT-qPCR Analysis for Microbial Quantification

The 16S rRNA gene copies of methanogens and bacteria and ITS1 gene copies of fungi were quantified using real-time quantitative polymerase chain reaction (RT-qPCR). The primers used were synthesized by ThermoFisher Scientific (UK) (Supplementary Table S1). The 20 µL reaction mixture was made up of 10 µL Platinum SYBR Green qPCR SuperMix-UDG (ThermoFisher Scientific, UK), 0.4 µL of Rox dye (final concentration of 50 nM), 0.4 µL of MgCl2 (final concentration of 4.0 mM), 2 µL each of forward and reverse primers, 2 µL of DNA template (10 ng/µL), and 5.2 µL of PCR-grade water. Accucal D (Accugen Systems, North Ryde, Australia) at 50, 40, 30, 20, 10, and 0 ng was used as the standard curve calibrator. The reaction was run in ABI 7500 thermocycler (Applied Biosystems, Waltham, MA, USA) with the following run method: 50 °C for 2 min, 95 °C for 2 min, 40 cycles of 95 °C for 15 s; annealing at 60 °C for 30 s; and melt curve analysis of 95 °C for 15 s, 60 °C for 1 min, 95 °C for 15 s and 60 °C for 15 s. The result of the amplification was exported and analysed using the RealCount Software (Version 11.6, Accugen Systems, Australia) to obtain the starting gene copy number.

2.8. Secondary Digestion of AD Effluent

The digestate collected after the 27 d incubation was subjected to secondary digestion via in-flask storage to eliminate residual pathogens. Digestate samples were collected from each of the replicate reactors (ISR 1.00) that had the highest terminal pathogen loading. The samples from both reactors were mixed to form a single composite. Approximately 200 mL of the mixture was dispensed into each of two 250 mL capacity Erlenmeyer flasks. The Erlenmeyer flasks were covered with sterile cotton wool and incubated in a controlled temperature room with an average temperature of 25 °C for a further 69 d.
Samples from days 0 and 69 of the secondary incubation were collected on the first and last days of the secondary incubation, respectively, and analysed as described in Section 2.2.

2.9. Statistical Analysis

The experiment was carried out in duplicate, and plating was also carried out in duplicate, giving a total of four determinations per treatment. Statistical analysis was performed with IBM SPSS version 28 software. The mean and standard deviation of bacterial counts were determined. One-way analysis of variance (ANOVA) was used to determine the significance of ISR on pathogen decline across the reactors at p < 0.05. Tukey’s Honest Post Hoc test was used to compare the significance of means within the ISRs (p < 0.05).

3. Results

3.1. Background Bacterial Species in Substrate and Inoculum

The background bacterial enumeration of the substrate (SFW) and inoculum revealed the presence of culturable bacterial species. The inoculum had a higher total culturable bacteria count compared to the substrate (Table 1). The substrate contained mainly coliforms and Enterococcus spp., while the inoculum contained coliforms, Clostridium spp., Enterococcus spp., and non-lactose fermenting Gram-negative rods. Escherichia coli was not detected in either the substrate or the inoculum.
Table 1. Background bacterial counts (log10 CFU/mL) of substrate (SFW) and inoculum used for batch AD.

3.2. Fate of Indicator and Bacterial Pathogens during AD Using Culture-Dependent Analysis

3.2.1. Marker E. coli Strain, Resident E. coli Strains and Coliforms

The spiked fluorescent E. coli numbers decreased across all ISRs (Figure 1). There was a sharp decline in numbers to below detectable levels in ISR 0.50 and control on day 1. This undetectable E. coli level was achieved in ISR 4.00, 2.00, and 0.25 on day 2 and in ISR 1.00 on day 3. The resident E. coli strain was not detected in the feedstock (SFW and inoculum) used for this digestion process. But it was detected in ISR 2.00 on day 0, and in the other ISRs except ISR 0.25 on day 1, with over 5 log10 CFU/mL in ISR 1.00 (Figure 2). There was complete elimination of this E. coli strain in ISR 4.00 as well as in ISR 0.50 and ISR 2.00 on days 2 and 3, respectively. The strain persisted in ISR 1.00 until day 13, when the level went below the limit of detection. Coliforms were eliminated most rapidly in the ISR 0.25, as there were no detectable numbers on the second day of digestion (Figure 3). Complete elimination was also achieved in the control and other ISRs on day 3, except for ISR 1.00, which had coliform counts until d13, when it was below detection.
Figure 1. Effect of ISR (4.00, 2.00, 1.00, 0.50, and 0.25) and control on red fluorescent-labelled Escherichia coli numbers (log10 CFU/mL) during the 27 d anaerobic digestion period. Data points represent the mean and standard deviation of 4 determinations.
Figure 2. Effect of ISR (4.00, 2.00, 1.00, 0.50, 0.25) and control on resident Escherichia coli numbers (log10 CFU/mL) during the 27 d anaerobic digestion period. Data points represent the mean and standard deviation of 4 determinations.
Figure 3. Effect of ISR (4.00, 2.00, 1.00, 0.50, 0.25) and control on coliform numbers (log10 CFU/mL) during the 27 d anaerobic digestion period. Data points represent the mean and standard deviation of 4 determinations.

3.2.2. Clostridium spp.

The persistence of Clostridium was observed during the digestion period (Figure 4a). There were significant differences (p < 0.05) in Clostridium numbers across the ISRs on day 0, which impacted the dynamics across ISRs during the digestion period (Figure 4b). The cell numbers ranged from 2.9 log10 CFU/mL in ISR 2.00 to 4 log10 CFU/mL in ISRs 0.50 and 0.25 on day 0. There was an initial 3 log10 decrease in Clostridium numbers from 4 log10 to 1 log10 CFU/mL in ISR 0.25 on day 1, but the numbers increased to 2.5 log10 on day 3 and decreased to 2 log10 by the end of the digestion. There was also a 1.5 log10 decrease in counts in ISR 0.50 from 4.0 log10 on day 0 to 2.5 log10 CFU/mL on day 27. On the other hand, there was a 2 log10 increase in Clostridium numbers from 3 log10 to 5 log10 CFU/mL in ISR 1.00 on day 1, and the cell numbers remained constant until the end of the incubation period. The control and ISR 4 had similar clostridial numbers of 3 log10 CFU/mL on days 0 and 1, with about 1 log10 increase to 4 log10 CFU/mL at the end of the digestion.
Figure 4. Effect of ISR (4.00, 2.00, 1.00, 0.50, 0.25) and control on Clostridium numbers (log10 CFU/mL) during the 27 d anaerobic digestion period (a) and on days 0, 1 and 27 (b). The data points and bars represent the mean and standard deviation of 4 determinations. The letters on the bars are results obtained from Tukey’s Honest Post Hoc test (p < 0.05). Bars that do not share a letter within a day are significantly different at a 95% confidence level.

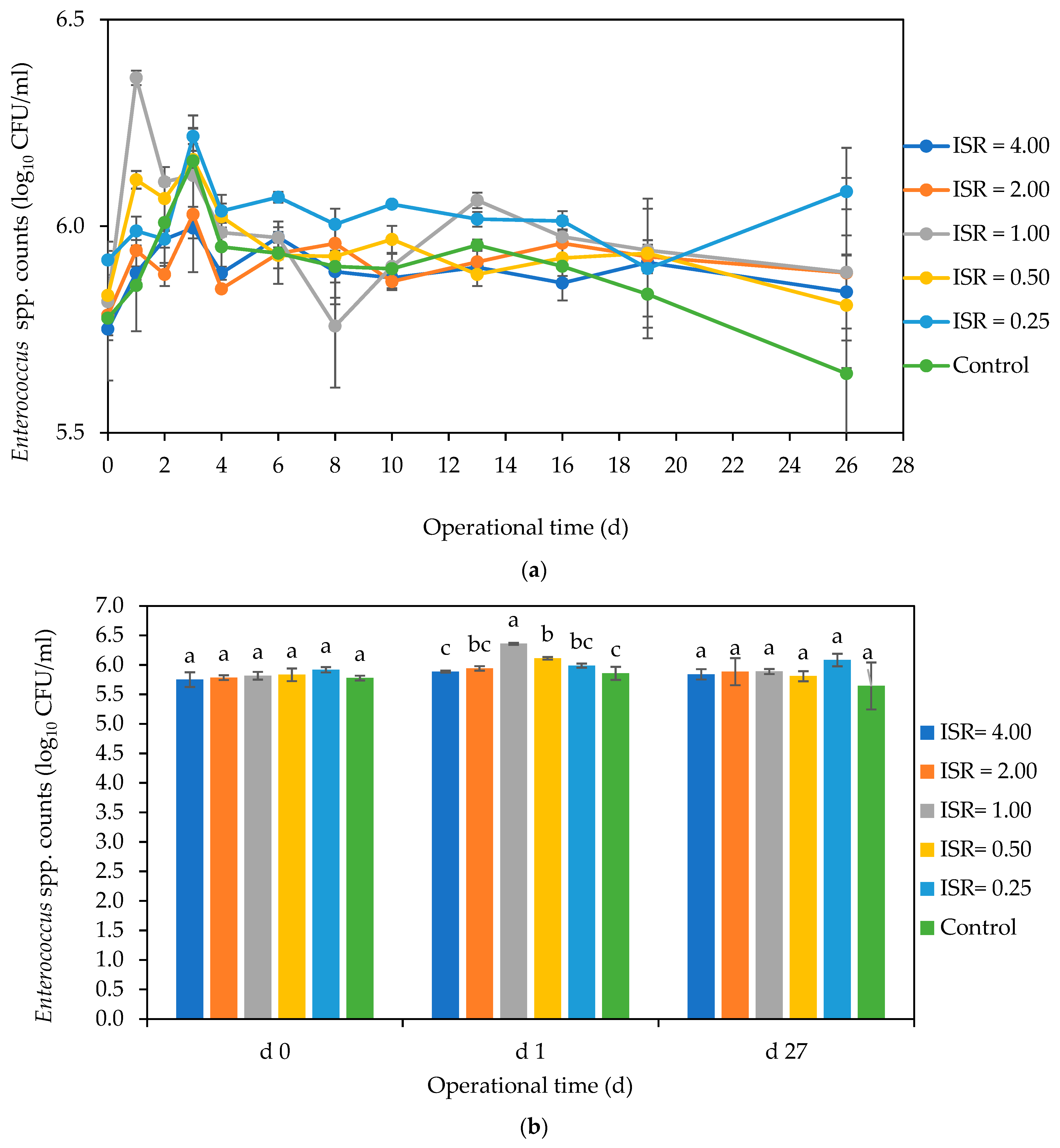
3.2.3. Enterococcus spp.

Enterococcus spp. persisted in all the ISRs throughout the digestion period, with no definite reduction pattern (Figure 5a). There were no significant differences (p ≤ 0.05) in the Enterococcus numbers across the ISRs on days 0 and 27 (Figure 5b). But there was a 0.5 log10 increase in its numbers in ISR 1.00 and about a 0.3 log10 increase in ISRs 2.00 and 0.50 on day 1.
Figure 5. Effect of ISR (4.00, 2.00, 1.00, 0.50, 0.25) and control on Enterococcus numbers (log10 CFU/mL) during the 27 d anaerobic digestion period (a) and on days 0, 1 and 27 (b). The data points and bars represent the mean and standard deviation of 4 determinations. The letters on the bars are results obtained from Tukey’s Honest Post Hoc test (p < 0.05). Bars that do not share a letter within a day are significantly different at a 95% confidence level.

3.3. Total Culturable Aerobic Bacteria

There was an initial increase in total culturable cell numbers across all ISRs on the first day, but the numbers began to decrease on the second day and continued fluctuating till the tenth day (Figure 6a). The culturable bacterial counts reached equilibrium on the tenth day and remained steady at a count of 6 log10 CFU/mL for the rest of the digestion period. On day 1, ISRs 0.50 and 1.00 supported more bacterial growth, with a 2.5 log10 and 2 log10 increase in numbers, respectively, compared to the 1 log10 CFU/mL increase in ISRs 4.00, 2.00, and 0.25 (Figure 6b). The control had no significant change in counts throughout the experimental period. At the end of the 27 d digestion period, the total culturable bacterial cell numbers were about 6 log10 CFU/mL, with no significant difference across the ISR.
Figure 6. Effect of ISR (4.00, 2.00, 1.00, 0.50, 0.25) and control on total culturable bacteria counts (log10 CFU/mL) during the 27 d anaerobic digestion period (a), and on days 0, 1, and 27 (b). The data points and bars represent the mean and standard deviation of 4 determinations. The letters on the bars are results obtained from Tukey’s Honest Post Hoc test (p < 0.05). Bars that do not share a letter within a day are significantly different at a 95% confidence level.

3.4. pH Dynamics during Batch AD

There was an initial drop in pH across the ISRs, with an increased magnitude with a decrease in ISR (Figure 7). ISRs 4.00 and 2.00 and the control were in the alkaline range (>7.5) throughout the incubation period. ISR 1.00 had an initial pH close to neutral (7.1) within the 4 days of digestion and increased gradually to above 8.0 by day 10, while ISRs 0.50 and 0.25 had an acidic pH of about 6.5 and 4.5, respectively.
Figure 7. pH dynamics across the ISRs (4.00, 2.00, 1.00, 0.50, 0.25) and control during the 27 d anaerobic digestion period. The data points represent the mean and standard deviation of 4 determinations. The pH data were extracted from Gandhi et al. [25].

3.5. Fate of Clostridium and Enterococcus spp. during Secondary Digestion

After 69 d of digestate storage, there was about 0.4 log10 CFU/mL reduction in Clostridium numbers (p < 0.05), but there was no significant reduction in Enterococcus numbers as shown in Figure 8.
Figure 8. Fate of Clostridium and Enterococcus after secondary digestion for 69 d. The bars represent the mean and standard deviation of 4 determinations. The letters on the bars are results obtained from Tukey’s Honest Post Hoc test (p < 0.05). Bars that do not share a letter within species are significantly different at a 95% confidence level.

3.6. Molecular Analyses of Microbial Communities

3.6.1. Identification of Bacterial Strains through Sanger Sequencing

Uniquely re-occurring culturable bacterial strains isolated across all ISRs, and identified through Sanger sequencing are shown in Table 2. Strains of Bacillus, Enterococcus, and Klebsiella, as well as Escherichia coli and Proteus mirabilis were identified.
Table 2. Bacterial strains isolated from all the bioreactors and identified using Sanger sequencing.

3.6.2. Enumeration of Microbial Communities through RT-qPCR

Bacterial Gene Copies
The bacterial gene copies ranged from 10.5 log10 copies/mL in ISR 0.25 to 11.5 log10 copies/mL in ISR 1.00 on day 0 and from 10 log10 copies/mL in ISR 0.25 to 11.5log10 copies/mL in ISR 0.50 on day 27 (Figure 9). On day 1, there was an increase in the bacterial DNA copy number across the ISRs, except ISR 1.00 and 4.00, which experienced a decrease and no change, respectively. ISR 2.00 and 0.25 had significantly higher DNA copies than the others on day 1. The bacterial gene copies decreased across all the ISRs on day 27, except in ISR 0.50, where there was a 1 log10 increase in DNA copies/mL. The control experienced a steady decrease in bacterial DNA numbers from day 0 to 27.
Figure 9. Effect of ISR (4.00, 2.00, 1.00, 0.50, 0.25) and control on bacteria 16S rRNA gene (log10 copies/mL) on days 0, 1 and 27 during the 27 d anaerobic digestion period. The bars represent the mean and standard deviation of 4 determinations. The letters on the bars are results obtained from Tukey’s Honest Post Hoc test (p < 0.05). Bars that do not share a letter are significantly different at a 95% confidence level.
Fungal Gene Copies
The fungal gene copies were below 6 log10 DNA copies/mL in all the ISRs except ISR 0.25, which had the highest DNA of 6.8 log10 copies/mL on day 0. Although there were no significant differences (p < 0.05) in fungal DNA copies/mL across the ISRs on days 0 and 1, there were increases in the DNA copies in ISR 4.00, 2.00, and 1.00, while there were decreases in the DNA copies in ISR 0.50 and 0.25 on day 1 (Figure 10). On day 27, only ISR 1.00 and 0.25 had detectable fungal DNA copies, and the other ISRs had none. The fungal DNA copies increased steadily across the days in ISR 1.00, while ISR 0.25 experienced a steady decrease. The control had no detectable fungal DNA on all the analysed days.
Figure 10. Effect of ISR (4.00, 2.00, 1.00, 0.50, 0.25) and control on fungal ITS1 gene (log10 copies/mL) on days 0, 1, and 27 during 27 d anaerobic digestion period. Bars represent the mean and standard deviation of 4 determinations. The letters on the bars are results obtained from Tukey’s Honest Post Hoc test (p < 0.05). Bars that do not share a letter are significantly different at a 95% confidence level.
Methanogenic Gene Copies
There were no significant differences in the methanogenic DNA copies across all ISRs on days 0 and 1. The methanogenic DNA increased steadily from 8 log10 copies/mL on day 0 to 10 log10 copies/mL on day 27 in ISR 2.00 and from 9 log10 copies/mL on day 0 to 9.5 log10 copies/mL on day 27 in ISR 0.25 (Figure 11). On day 27, ISRs 2.00 and 0.25 had the highest methanogenic DNA of about 10 log10. There was no detectable methanogenic DNA in the control on day 27.
Figure 11. Effect of ISR (4.00, 2.00, 1.00, 0.50, 0.25) and control on methanogenic 16S rRNA gene (log10 copies/mL) on days 0, 1, and 27 during 27 d anaerobic digestion period. Bars represent the mean and standard deviation of 4 determinations. The letters on the bars are results obtained from Tukey’s Honest Post Hoc test (p < 0.05). Bars that do not share a letter are significantly different at a 95% confidence level.

4. Discussion

4.1. Inactivation of E. coli Strains and Coliforms across ISRs during AD of SFW

The RFP-labelled E. coli strain which was spiked into the digesters was very susceptible to the AD environment, as it was completely undetectable (4 log10 CFU/mL reduction in counts) across all the ISRs and in the control within 3 d. Erickson et al. [31] also reported inactivation of fluorescent-labelled bacterial pathogens by the third day during manure composting. This could be attributed to the low-resistance nature of spiked strains compared with the indigenous ones.
The resident E. coli strain was not detected in the substrate or inoculum, but it was detected in ISR 2.00 on d 0, and across the ISRs except ISR 0.25 on d 1. This could be because the strain entered a viable but non-culturable state in the sourced inoculum and regained viability again when nutrients became available. Coupled with other conditions being favourable in the digesters with ISR 4.00 to 0.50, but not in ISR 0.25 due to an overload of substrate, this led to acidification (Figure 7), hence the inability of the strain to thrive at this ISR [25,32]. ISR 0.25 was also the most effective in eliminating coliform bacteria (Figure S1c), with an inactivation rate of 3.5 log10 CFU/mL per day, and achieving undetectable levels within 2 d. However, the estimate of the inactivation rate must be regarded as approximate, as it was calculated from the measured concentration of 4.5 log10 CFU/mL on day 0 and the estimated limit of detection of 10 CFU/mL below which the d 2 count relied.
The ability of the resident E. coli strain to regain viability when the optimum concentration of food was present was corroborated by the lack of detection of the strain at all tested times in the control which was solely inoculum. Zhang et al. [2] also reported that enteroaggregative E. coli was reactivated from the viable but non-culturable state when cultured under favourable conditions of nutrient and temperature. In this study, the resident E. coli strain which regained viability at ISR 1.00 grew up to 5 log10 CFU/mL, and remained detectable till d 13, and the coliform bacteria also survived for 13 d in this digester. This could be due to conditions being more favourable for growth during the initial d at ISR 1 compared to other ISRs (Figure S1c). The pH within the first 4 d of incubation in ISR 1 was close to neutral (about 7.1) [25], which is the optimum pH of most pathogens. Meanwhile, the lower ISRs (0.5 and 0.25), as well as the higher ISRs (4 and 2), were acidic (<6.0) and alkaline (>8.0) pH, respectively, and hence were more effective in sanitising the SFW. It was observed that the inactivation of E. coli and coliforms during the batch AD was more rapid in the acidic digesters, while the digesters with the initial neutral pH (ISR 1) were the slowest to achieve pathogen inactivation. Thus, the accumulation of VFAs which is attributable to high total solids, could have contributed to the inability of the resident E. coli to regain viability, as well as rapid coliform elimination [25,33]. This observation also agrees with the work of Arias et al. [26] who reported more pathogen killing with higher total solids during batch AD. Although Fagbohungbe et al. [27] reported an increase in E. coli and coliform inactivation only with an increase in ISR during batch AD of human faecal material, in this study, it was observed that ISR < 0.5 or ≥2, which led to high acidity or alkalinity, respectively, during the initial days of digestion would enhance E. coli and coliform inactivation during mesophilic AD. This finding would be useful in the development of plug-flow continuous mesophilic AD in the field, whereby the effluent from the acidogenic phase which sanitises the waste is fed into the methanogenic phase to produce biogas.

4.2. Fate of Clostridium and Enterococcus spp. during AD and Post AD Effluent Storage

Although Clostridium species are acclimatised to biogas environments [10,34,35,36] and are known to be involved in the hydrolytic and acidogenic stages of the AD process [4], ISRs 0.25 and 0.50 achieved 2 log10 and 1.5 log10 decrease in counts, respectively. This also agrees with the work of Fontana et al. [21], who observed a slight decrease in the number of culturable Clostridium spores in the digestate compared with the inoculum during continuous mesophilic AD. Also, the growth of Clostridium in ISR 1.00 observed in this study could be due to their competitive advantage over other microbial species under favourable conditions such as neutral pH (Figure S1d).
There were no significant decreases in the Enterococcus numbers throughout the 27 d incubation period. Enterococci are very resistant to environmental stress and treatment [11,37]. The findings from this study agrees with the work of Arias et al. [26], who observed no clear trend in Enterococcus inactivation after 75 d of batch mesophilic AD, as well as Do et al. [38], who also reported the resistance of Enterococcus during a 90 d batch AD of pig slurry.
In addition, post-AD storage did not achieve inactivation of the two genera. Post-AD sanitary practises of digestate, collectively referred to as processes to further reduce pathogens (PFRPs), which include storage, drying, and composting, have been reported to enhance the production of safe digestate [39,40,41]. But in this study, there were no significant decreases in the clostridial and enterococcal numbers after the 69 d post-D storage. Clostridium spp. form spores which are resistant to environmental treatment and disinfection and are hardly inactivated by marginally sub-lethal conditions [23,33,42]. Although Enterococcus species do not produce spores, their relative resistance could be due to the presence of a thick layer of peptidoglycan and teichoic acids that selectively prevent toxic substances from entering the cell. Furthermore, their ability to produce biofilms could enhance their resistance to disinfection [43]. These results further demonstrate that residence time alone would not play a significant role in eliminating resistant species in AD effluent.

4.3. Bacterial Species Identified through Sanger Sequencing during the AD of SFW

Sanger sequencing revealed that the culturable aerobic population which was frequently isolated on the NA plates during the AD of SFW comprised species of Bacillus, Klebsiella, and Enterococcus. These genera have previously been reported in AD effluent [44,45,46,47]. Bacillus species form spores which are resistant to environmental stress [48]. They are also known to produce an array of hydrolytic enzymes which are useful in degrading organic materials [49,50]. Although Klebsiella and Enterococcus do not form spores, their survival in AD could be linked to their ability to form resistant clusters of cells known as biofilms [51,52]. Furthermore, Enterococcus is known for its adaptability to stressful environments and complex ecologies due to its ability to survive a wide range of temperatures, pH levels, and oxygen and nutrient concentrations [53,54,55]. Klebsiella is a genus of fermentative species that has been linked with lignin degradation [56] and thus is expected to be found in the AD of food waste. Hence, the occurrence of these species in AD could be linked to their tolerance to a diverse range of conditions found in AD and their functional roles in lignocellulose bioconversion.

4.4. The Effect of ISR on Total Bacterial and Fungal Communities

The different ISRs showed varying effects on total bacterial and fungal numbers. Food waste is a rich source of nutrients such as carbon and nitrogen for microbial species; thus, the initial increase observed in the total culturable bacterial numbers across the ISRs on day 1 could be due to the growth of the population as they utilised the food substrate [57]. The subsequent stationary culturable bacterial numbers observed from day 10 onwards could be due to the diminishing levels of nutrients, as well as microbial competition, as different species grow and multiply [58]. The importance of the substrate to bacterial growth is further demonstrated in the control, which was the inoculum without substrate and had no increase in total culturable numbers or DNA copies throughout the incubation period. This could be attributed to insufficient nutrient sources for the organisms to grow on [59]. Although ISRs 0.50 and 1.00 showed a higher increase in 2 log10 in culturable bacterial numbers on day 1, the bacterial DNA copies were higher in ISRs 2.00 and 0.25. This disparity in the culturable counts and DNA copies observed in the ISRs could be because the digesters selectively enriched different groups of organisms (culturable and non-culturable). Since qPCR takes account of the bacterial DNA of aerobic and anaerobic species, whether viable or non-viable, whereas the plate count focused on only culturable aerobic bacteria [60], this could be responsible for the observed pattern in culturable bacterial counts and DNA copies.
Although fungi are generally aerobic organisms which are not expected to grow under anaerobic conditions, some anaerobic fungal species in the phylum Neocallimastigomycota have been reported to grow in AD environments where they have improved biogas production [61,62]. The ability of fungi to survive in AD could also be linked to their ability to form resistant spores [63]. Fungi produce an array of hydrolytic enzymes which aid in the degradation of complex lignocellulosic materials, which are abundant in food waste [64]. In this study, ISR 0.25 had the highest fungi DNA copies on day 0. This could be due to the high substrate concentration at this ISR, as fungi are known to growth optimally under high nutrient concentration, and reduced water activity [65,66]. At the end of the digestion period, the bioreactors with high substrate concentrations—ISR 0.50 and 0.25—achieved about 6 log10 and 3 log10 deceases in fungal ITS1 gene copies/mL, respectively. This reduction could be due to the effect of VFAs on fungi, as also observed with bacteria in this study. It could also be due to the limited survival of facultative anaerobic fungi under anaerobic conditions [63,67]. The survival in ISR 1 could be due to favourable pH and nutrient conditions in these bioreactors. We observed in this study that batch mesophilic AD was able to achieve up to a 6 log10 reduction in fungal DNA copies in the digesters with the initial acidic and alkaline conditions. This could be an indication that fungal persistence may not be an issue in AD effluent when operating conditions are properly optimised.

4.5. Effect of ISRs on Methanogenic Gene Copies

Enumerating the population of methanogens during AD could be used as an indicator of biogas production [68]. Methanogens are very sensitive to environmental conditions, and thus, optimum nutrient concentration and favourable pH would support their growth. Studies revealed that high ISR favoured methanogenesis, and this could be an indication of high methanogenic population [27,69].
In this study, qPCR detection of Methanogenic 16S rRNA gene showed that ISR 2.00 had a steady increase in methanogenic population from d 0 to 27, which could be a putative indication of methane production. This agrees with the finding of Gandhi et al. [25], who reported the highest methane production in ISR 2.00. The lack of detectable methanogenic 16S rRNA in the control on d 27 could be due to lack of usable nutrient for the growth of the methanogenic population [70], coupled with degradation of the initially present methanogenic DNA [71].

5. Conclusions

This study has demonstrated that ISR influences the pH of the digesters, which in turn determines pathogen inactivation and microbial kinetics during the anaerobic digestion of food waste. Treating food waste using batch mesophilic AD under optimised conditions can achieve its sanitisation before recycling as fertiliser of disposal in the environment. Rapid pathogen inactivation can be linked to acidic pH due to the accumulation of toxic organic acids at high substrate concentrations. This finding would be useful in optimising the acidogenic phase of two-phased acidogenic–methanogenic mesophilic AD. The pH during the initial days of incubation played a role in the growth or inactivation of pathogens. The lower ISRs (0.50 and 0.25) and higher ISRs (4.00 and 2.00) gave rise to acidic and alkaline pH, respectively, while ISR 1 had neutral pH. Pathogen removal was achieved more rapidly in the acidic and alkaline digesters, while the neutral digesters were not only the slowest at pathogen inactivation, but they also supported clostridial and fungal growth due to pH being close to neutral within the initial period of the digestion. This study showed that running AD at ISRs which could lead to neutral pH (ISR 1.00) can result in the growth and proliferation of resistant putative human pathogens. Enterococcus species persisted throughout the digestion period, irrespective of the ISRs. This means that the inactivation potency of batch AD varies with the pathogen species. qPCR enumerated the DNA copies of total bacterial and fungal, as well as methanogens, which are generally difficult to isolate using culture-based methods. This makes it possible to putatively link microbial species to functional roles during AD. Fungi do not thrive well in batch AD and can be removed beyond detection levels in acidic and alkaline bioreactors. Future studies would benefit from exploring the metagenomic approach to quantitatively monitor the dynamics in pathogen and microbial community structure during batch mesophilic AD of food waste.

Supplementary Materials

The following supporting information can be downloaded at https://www.mdpi.com/article/10.3390/microorganisms12030603/s1. Table S1: Recipe for simulated food waste used in the batch AD process based on household food waste in the UK. Table S2: Substrate (simulated food waste) and inoculum characteristics. Table S3: Primers used for qPCR. Figure S1: Effect of ISR on pH and bacterial counts showing how ISR influenced pH, which in turn determined the inactivation of RFP-labelled E. coli, resident E. coli, coliforms, and Clostridium during the first 3 days of AD.

Author Contributions

Conceptualisation, S.V.O., B.P.G., E.A.F., A.J.L.-B., L.I.E., A.D.M., R.W.P. and K.T.S.; methodology, S.V.O., R.W.P. and K.T.S.; software, S.V.O. and B.P.G.; formal analysis, S.V.O., R.W.P., A.D.M. and K.T.S.; investigation, S.V.O., B.P.G., A.J.L.-B., A.D.M., R.W.P. and K.T.S.; resources, A.D.M., R.W.P. and K.T.S.; data curation, S.V.O.; writing—original draft preparation, S.V.O.; writing—review and editing, S.V.O., B.P.G., E.A.F., A.J.L.-B., L.I.E., A.D.M., R.W.P. and K.T.S.; visualisation, S.V.O., B.P.G., A.J.L.-B., L.I.E., A.D.M., R.W.P. and K.T.S.; supervision, A.J.L.-B., L.I.E., A.D.M., R.W.P. and K.T.S.; funding acquisition, L.I.E., A.D.M. and K.T.S.; microbial analysis, S.V.O.; physico-chemical analysis, B.P.G. All authors have read and agreed to the published version of the manuscript.

Funding

This research was funded by Global Challenge Research Fund (GCRF) funded RECIRCULATE project (Grant Ref. ES/P010857/1) and Lancaster University, UK.

Data Availability Statement

Data is contained within the article and Supplementary Materials.

Acknowledgments

We thank David Lewis and Ian Edmondson for their help in manufacturing the bioreactors, Christopher James Parry (Cockerham Green Energy Limited, UK) for his assistance in obtaining the inoculum. We also thank Annabel Rice and Philip Donkerseley from the Insect and Pathogen Ecology Group (IPEG) of Lancaster University, and Joao Augusto Baines from Advanced Bacterial Sciences Ltd. for providing technical support and developing qPCR techniques.

Conflicts of Interest

The authors declare no conflicts of interest.

References

  1. López Velarde Santos, M.; Ventura Ramos, E.; Rodríguez Morales, J.A.; Oliver, H. Effect of inoculum source on the anaerobic digestion of mezcal vinasses at different substrate-inoculum ratios. Rev. Int. Contam. Ambient. 2020, 36, 81–95. [Google Scholar] [CrossRef]
  2. Zhang, J.; Zhang, L.; Loh, K.C.; Dai, Y.; Tong, Y.W. Enhanced anaerobic digestion of food waste by adding activated carbon: Fate of bacterial pathogens and antibiotic resistance genes. Biochem. Eng. J. 2017, 128, 19–25. [Google Scholar] [CrossRef]
  3. Riding, M.J.; Herbert, B.M.J.; Ricketts, L.; Dodd, I.; Ostle, N.; Semple, K.T. Harmonising conflicts between science, regulation, perception and environmental impact: The case of soil conditioners from bioenergy. Environ. Int. 2015, 75, 52–67. [Google Scholar] [CrossRef] [PubMed]
  4. Xing, B.S.; Wang, X.C. High-rate mesophilic co-digestion with food waste and waste activated sludge through a low-magnitude increasing loading regime: Performance and microorganism characteristics. Sci. Total Environ. 2021, 777, 146210. [Google Scholar] [CrossRef]
  5. Wang, X.; Wang, P.; Meng, X.; Ren, L. Performance and metagenomics analysis of anaerobic digestion of food waste with adding biochar supported nano zero-valent iron under mesophilic and thermophilic condition. Sci. Total Environ. 2022, 820, 153244. [Google Scholar] [CrossRef] [PubMed]
  6. Li, X.; Wu, M.; Xue, Y. Nickel-loaded shrimp shell biochar enhances batch anaerobic digestion of food waste. Bioresour. Technol. 2022, 352, 127092. [Google Scholar] [CrossRef]
  7. Jang, H.M.; Choi, S.; Shin, J.; Kan, E.; Mo Kim, Y. Additional reduction of antibiotic resistance genes and human bacterial pathogens via thermophilic aerobic digestion of anaerobically digested sludge. Bioresour. Technol. 2019, 273, 259–268. [Google Scholar] [CrossRef] [PubMed]
  8. Seruga, P.; Krzywonos, M.; Paluszak, Z.; Urbanowska, A.; Pawlak-Kruczek, H.; Niedźwiecki, Ł.; Pińkowska, H. Pathogen reduction potential in anaerobic digestion of organic fraction of municipal solid waste and food waste. Molecules 2020, 25, 275. [Google Scholar] [CrossRef]
  9. Ma, G.; Chen, Y.; Ndegwa, P. Anaerobic digestion process deactivates major pathogens in biowaste: A Meta-Analysis. Renew. Sustain. Energy Rev. 2022, 153, 111752. [Google Scholar] [CrossRef]
  10. Le Maréchal, C.; Druilhe, C.; Repérant, E.; Boscher, E.; Rouxel, S.; Le Roux, S.; Poëzévara, T.; Ziebal, C.; Houdayer, C.; Nagard, B.; et al. Evaluation of the occurrence of sporulating and nonsporulating pathogenic bacteria in manure and in digestate of five agricultural biogas plants. Microbiologyopen 2019, 8, e872. [Google Scholar] [CrossRef]
  11. Lorine, D.; Céline, D.; Caroline, L.M.; Frédéric, B.; Lorette, H.; Julie, B.; Laure, M.; Christine, Z.; Typhaine, P.; Sandra, R.; et al. Influence of operating conditions on the persistence of E. coli, Enterococci, Clostridium perfringens and Clostridioides difficile in semi-continuous mesophilic anaerobic reactors. Waste Manag. 2021, 134, 32–41. [Google Scholar] [CrossRef]
  12. Avery, L.M.; Anchang, K.Y.; Tumwesige, V.; Strachan, N.; Goude, P.J. Potential for pathogen reduction in anaerobic digestion and biogas generation in Sub-Saharan Africa. Biomass Bioenergy 2014, 70, 112–124. [Google Scholar] [CrossRef]
  13. Jex, A.R.; Stanley, K.K.; Lo, W.; Littman, R.; Verweij, J.J.; Campbell, B.E.; Nolan, M.J.; Pangasa, A.; Stevens, M.A.; Haydon, S.; et al. Detection of diarrhoeal pathogens in human faeces using an automated, robotic platform. Mol. Cell Probes 2012, 26, 11–15. [Google Scholar] [CrossRef] [PubMed]
  14. Nastasijevic, I.; Mitrovic, R.; Buncic, S. The occurrence of Escherichia coli O157 in/on faeces, carcasses and fresh meats from cattle. Meat Sci. 2009, 82, 101–105. [Google Scholar] [CrossRef]
  15. Mahmud, Z.H.; Islam, M.S.; Imran, K.M.; Hakim, S.A.I.; Worth, M.; Ahmed, A.; Hossan, S.; Haider, M.; Islam, M.R.; Hossain, F.; et al. Occurrence of Escherichia coli and faecal coliforms in drinking water at source and household point-of-use in Rohingya camps, Bangladesh. Gut Pathog. 2019, 11, 52. [Google Scholar] [CrossRef] [PubMed]
  16. Zhao, Q.; Liu, Y. Is anaerobic digestion a reliable barrier for deactivation of pathogens in biosludge? Sci. Total Environ. 2019, 668, 893–902. [Google Scholar] [CrossRef] [PubMed]
  17. Meegoda, J.N.; Li, B.; Patel, K.; Wang, L.B. A review of the processes, parameters, and optimization of anaerobic digestion. Int. J. Environ. Res. Public. Health 2018, 15, 2224. [Google Scholar] [CrossRef] [PubMed]
  18. Fang, W.; Zhang, P.; Gou, X.; Zhang, H.; Wu, Y.; Ye, J.; Zeng, G. Volatile fatty acid production from spent mushroom compost: Effect of total solid content. Int. Biodeterior. Biodegrad. 2016, 113, 217–221. [Google Scholar] [CrossRef]
  19. Akkermans, S.; Van Impe, J.F. Mechanistic modelling of the inhibitory effect of pH on microbial growth. Food Microbiol. 2018, 72, 214–219. [Google Scholar] [CrossRef]
  20. Slimane, K.; Fathya, S.; Assia, K.; Hamza, M. Influence of inoculums/substrate ratios (ISRs) on the mesophilic anaerobic digestion of slaughterhouse waste in batch mode: Process stability and biogas production. Energy Procedia 2014, 50, 57–63. [Google Scholar] [CrossRef]
  21. Fontana, A.; Soldano, M.; Bellassi, P.; Fabbri, C.; Gallucci, F.; Morelli, L.; Cappa, F. Dynamics of Clostridium genus and hard-cheese spoiling Clostridium species in anaerobic digesters treating agricultural biomass. AMB Express 2020, 10, 102. [Google Scholar] [CrossRef]
  22. Flores-Mendoza, A.P.; Hernández-García, H.; Cocotle-Ronzón, Y.; Hernandez-Martinez, E. Methanogenesis of raw cheese whey: pH and substrate–inoculum ratio evaluation at mesophyll temperature range. J. Chem. Technol. Biotechnol. 2020, 95, 1946–1952. [Google Scholar] [CrossRef]
  23. Ince, O.; Akyol, Ç.; Ozbayram, E.G.; Tutal, B.; Ince, B. Enhancing methane production from anaerobic co-digestion of cow manure and barley: Link between process parameters and microbial community dynamics. Environ. Prog. Sustain. Energy 2020, 39, 13292. [Google Scholar] [CrossRef]
  24. Khadka, A.; Parajuli, A.; Dangol, S.; Thapa, B.; Sapkota, L.; Carmona-Martínez, A.A.; Ghimire, A. Effect of the substrate to inoculum ratios on the kinetics of biogas production during the mesophilic anaerobic digestion of food waste. Energies 2022, 15, 834. [Google Scholar] [CrossRef]
  25. Gandhi, B.P.; Otite, S.V.; Fofie, E.A.; Lag-Brotons, A.J.; Ezemonye, L.I.; Semple, K.T.; Martin, A.D. Kinetic investigations into the effect of inoculum to substrate ratio on batch anaerobic digestion of simulated food waste. Renew. Energy 2022, 195, 311–321. [Google Scholar] [CrossRef]
  26. Arias, D.E.; Veluchamy, C.; Dunfield, K.E.; Habash, M.B.; Gilroyed, B.H. Hygienization and microbial metabolic adaptation during anaerobic co-digestion of swine manure and corn stover. Bioresour. Technol. 2020, 306, 123168. [Google Scholar] [CrossRef] [PubMed]
  27. Fagbohungbe, M.O.; Herbert, B.M.J.; Li, H.; Ricketts, L.; Semple, K.T. The Effect of substrate to inoculum ratios on the anaerobic digestion of human faecal material. Environ. Technol. Innov. 2015, 3, 121–129. [Google Scholar] [CrossRef]
  28. Ventour, L.; WRAP (Waste & Resources Action Programme). The Food We Waste. 2008. Available online: https://www.lefigaro.fr/assets/pdf/Etude%20gaspillage%20alimentaire%20UK2008.pdf (accessed on 18 December 2023).
  29. Lambertsen, L.; Sternberg, C.; Molin, S. Mini-Tn7 Transposons for site-specific tagging of bacteria with fluorescent proteins. Environ. Microbiol. 2004, 6, 726–732. [Google Scholar] [CrossRef] [PubMed]
  30. APHA. Standard Methods for Examination of Water and Wastewater, 21st ed.; APHA: Washington DC, USA, 2005. [Google Scholar] [CrossRef]
  31. Erickson, M.C.; Liao, J.; Ma, L.; Jiang, X.; Doyle, M.P. Thermal and nonthermal factors affecting survival of Salmonella and Listeria monocytogenes in animal manure-based compost mixtures. J. Food Prot. 2014, 77, 1512–1518. [Google Scholar] [CrossRef] [PubMed]
  32. Ding, T.; Liao, X.; Deng, Y.; Shen, C.; Feng, J. (Eds.) Viable but nonculturable bacteria. In Stress Responses of Foodborne Pathogens; Springer International Publishing: Cham, Switzerland, 2022; pp. 401–431. ISBN 978-3-030-90578-1. [Google Scholar]
  33. Lin, M.; Ren, L.; Mdondo Wandera, S.; Liu, Y.; Dong, R.; Qiao, W. Enhancing pathogen inactivation in pig manure by introducing thermophilic and hyperthermophilic hygienization in a two-stage anaerobic digestion process. Waste Manag. 2022, 144, 123–131. [Google Scholar] [CrossRef]
  34. Černý, M.; Vítězová, M.; Vítěz, T.; Bartoš, M.; Kushkevych, I. Variation in the distribution of hydrogen producers from the Clostridiales order in biogas reactors depending on different input substrates. Energies 2018, 11, 3270. [Google Scholar] [CrossRef]
  35. Derongs, L.; Druilhe, C.; Ziebal, C.; Le Maréchal, C.; Pourcher, A.M. Characterization of Clostridium perfringens isolates collected from three agricultural biogas plants over a one-year period. Int. J. Environ. Res. Public. Health 2020, 17, 5450. [Google Scholar] [CrossRef] [PubMed]
  36. Qin, S.; Wainaina, S.; Liu, H.; Soufiani, A.M.; Pandey, A.; Zhang, Z.; Awasthi, M.K.; Taherzadeh, M.J. Microbial dynamics during anaerobic digestion of sewage sludge combined with food waste at high organic loading rates in immersed membrane bioreactors. Fuel 2021, 303, 121276. [Google Scholar] [CrossRef]
  37. Liu, X.; Lendormi, T.; Lanoisellé, J.L. Conventional and innovative hygienization of feedstock for biogas production: Resistance of indicator bacteria to thermal pasteurization, pulsed electric field treatment, and anaerobic digestion. Energies 2021, 14, 1938. [Google Scholar] [CrossRef]
  38. Do, T.T.; Nolan, S.; Hayes, N.; O’Flaherty, V.; Burgess, C.; Brennan, F.; Walsh, F. Metagenomic and HT-qPCR analysis reveal the microbiome and resistome in pig slurry under storage, composting, and anaerobic digestion. Environ. Pollut. 2022, 305, 119271. [Google Scholar] [CrossRef] [PubMed]
  39. Logan, M.; Visvanathan, C. Management strategies for anaerobic digestate of organic fraction of municipal solid waste: Current status and future prospects. Waste Manag. Res. 2019, 37, 27–39. [Google Scholar] [CrossRef]
  40. Schilling, T.; Hoelzle, K.; Philipp, W.; Hoelzle, L.E. Survival of Salmonella typhimurium, Listeria monocytogenes, and ESBL carrying Escherichia coli in stored anaerobic biogas digestates in relation to different biogas input materials and storage temperatures. Agriculture 2022, 12, 67. [Google Scholar] [CrossRef]
  41. Carraturo, F.; Panico, A.; Giordano, A.; Libralato, G.; Aliberti, F.; Galdiero, E.; Guida, M. Hygienic assessment of digestate from a high solids anaerobic co-digestion of sewage sludge with biowaste by testing Salmonella typhimurium, Escherichia coli and SARS-CoV-2. Environ. Res. 2022, 206, 112585. [Google Scholar] [CrossRef]
  42. Subirats, J.; Sharpe, H.; Topp, E. Fate of clostridia and other spore-forming Firmicute bacteria during feedstock anaerobic digestion and aerobic composting. J. Environ. Manag. 2022, 309, 114643. [Google Scholar] [CrossRef]
  43. Ali, L.; Mustafa, M.; Xiao, Z.R.; Islam, W.; Ara, U.; Ajmal, M.; Khan, K.A.; Ghramh, H.A.; Yu, D. Responses of Enterococcus faecalis resistance and cytolysin up-regulation to nutrients in constructed mesocosms. J. King Saud. Univ. Sci. 2022, 34, 101680. [Google Scholar] [CrossRef]
  44. Govasmark, E.; Stäb, J.; Holen, B.; Hoornstra, D.; Nesbakk, T.; Salkinoja-Salonen, M. Chemical and microbiological hazards associated with recycling of anaerobic digested residue intended for agricultural use. Waste Manag. 2011, 31, 2577–2583. [Google Scholar] [CrossRef]
  45. Alfa, M.I.; Adie, D.B.; Igboro, S.B.; Oranusi, U.S.; Dahunsi, S.O.; Akali, D.M. Assessment of biofertilizer quality and health implications of anaerobic digestion effluent of cow dung and chicken droppings. Renew. Energy 2014, 63, 681–686. [Google Scholar] [CrossRef]
  46. Owamah, H.I.; Dahunsi, S.O.; Oranusi, U.S.; Alfa, M.I. Fertilizer and sanitary quality of digestate biofertilizer from the co-digestion of food waste and human excreta. Waste Manag. 2014, 34, 747–752. [Google Scholar] [CrossRef]
  47. Seo, K.W.; Choi, Y.S.; Gu, M.B.; Kwon, E.E.; Tsang, Y.F.; Rinklebe, J.; Park, C. Pilot-scale investigation of sludge reduction in aerobic digestion system with endospore-forming bacteria. Chemosphere 2017, 186, 202–208. [Google Scholar] [CrossRef]
  48. Vaerewijck, M.J.M.; De Vos, P.; Lebbe, L.; Scheldeman, P.; Hoste, B.; Heyndrickx, M. Occurrence of Bacillus sporothermodurans and other aerobic spore-forming species in feed concentrate for dairy cattle. J. Appl. Microbiol. 2001, 91, 1074–1084. [Google Scholar] [CrossRef] [PubMed]
  49. Vu, V.; Farkas, C.; Riyad, O.; Bujna, E.; Kilin, A.; Sipiczki, G.; Sharma, M.; Usmani, Z.; Gupta, V.K.; Nguyen, Q.D. Enhancement of the enzymatic hydrolysis efficiency of wheat bran using the Bacillus Strains and their consortium. Bioresour. Technol. 2022, 343, 126092. [Google Scholar] [CrossRef]
  50. Kumar, V.; Rawat, J.; Patil, R.C.; Barik, C.R.; Purohit, S.; Jaiswal, H.; Fartyal, N.; Goud, V.V.; Kalamdhad, A.S. Exploring the functional significance of novel cellulolytic bacteria for the anaerobic digestion of rice straw. Renew. Energy 2021, 169, 485–497. [Google Scholar] [CrossRef]
  51. Suryaletha, K.; Narendrakumar, L.; John, J.; Radhakrishnan, M.P.; George, S.; Thomas, S. Decoding the proteomic changes involved in the biofilm formation of Enterococcus faecalis SK460 to elucidate potential biofilm determinants. BMC Microbiol. 2019, 19, 146. [Google Scholar] [CrossRef] [PubMed]
  52. Cholley, A.C.; Traoré, O.; Hennequin, C.; Aumeran, C. Klebsiella pneumoniae survival and regrowth in endoscope channel biofilm exposed to glutaraldehyde and desiccation. Eur. J. Clin. Microbiol. Infect. Dis. 2020, 39, 1129–1136. [Google Scholar] [CrossRef] [PubMed]
  53. Gaca, A.O.; Lemos, J.A. Adaptation to Adversity: The intermingling of stress tolerance and pathogenesis in Enterococci. Microbiol. Mol. Biol. Rev. 2019, 83, e00008-19. [Google Scholar] [CrossRef]
  54. Alghamdi, F.; Shakir, M. The Influence of Enterococcus faecalis as a dental root canal pathogen on endodontic treatment: A Systematic review. Cureus 2020, 12, e7257. [Google Scholar] [CrossRef] [PubMed]
  55. De Maat, V.; Arredondo-Alonso, S.; Willems, R.J.L.; Van Schaik, W. Conditionally essential genes for survival during starvation in Enterococcus faecium E745. BMC Genom. 2020, 21, 568. [Google Scholar] [CrossRef] [PubMed]
  56. dos Santos Melo-Nascimento, A.O.; Anna, B.M.M.S.; Gonçalves, C.C.; Santos, G.; Noronha, E.; Parachin, N.; de Abreu Roque, M.R.; Bruce, T. Complete genome reveals genetic repertoire and potential metabolic strategies involved in lignin degradation by environmental ligninolytic Klebsiella variicola P1CD1. PLoS ONE 2020, 15, e0243739. [Google Scholar] [CrossRef] [PubMed]
  57. Demoling, F.; Figueroa, D.; Bååth, E. Comparison of factors limiting bacterial growth in different soils. Soil. Biol. Biochem. 2007, 39, 2485–2495. [Google Scholar] [CrossRef]
  58. Ratzke, C.; Barrere, J.; Gore, J. Strength of species interactions determines biodiversity and stability in microbial communities. Nat. Ecol. Evol. 2020, 4, 376–383. [Google Scholar] [CrossRef]
  59. Jeong, S.Y.; Kim, T.G. Determination of methanogenesis by nutrient availability via regulating the relative fitness of methanogens in anaerobic digestion. Sci. Total Environ. 2022, 838, 156002. [Google Scholar] [CrossRef]
  60. Maynaud, G.; Pourcher, A.M.; Ziebal, C.; Cuny, A.; Druilhe, C.; Steyer, J.P.; Wéry, N. Persistence and potential viable but non-culturable state of pathogenic bacteria during storage of digestates from agricultural biogas plants. Front. Microbiol. 2016, 7, 1469. [Google Scholar] [CrossRef][Green Version]
  61. Yıldırım, E.; Ince, O.; Aydin, S.; Ince, B. Improvement of biogas potential of anaerobic digesters using rumen fungi. Renew. Energy 2017, 109, 346–353. [Google Scholar] [CrossRef]
  62. Aydin, S.; Yıldırım, E.; Ince, O.; Ince, B. Rumen anaerobic fungi create new opportunities for enhanced methane production from microalgae biomass. Algal Res. 2017, 23, 150–160. [Google Scholar] [CrossRef]
  63. Schnürer, A.; Schnürer, J. Fungal survival during anaerobic digestion of organic household waste. Waste Manag. 2006, 26, 1205–1211. [Google Scholar] [CrossRef]
  64. Vinzelj, J.; Joshi, A.; Insam, H.; Podmirseg, S.M. Employing anaerobic fungi in biogas production: Challenges & opportunities. Bioresour. Technol. 2020, 300, 122687. [Google Scholar]
  65. Abdullah, N.; Nawawi, A.; Othman, I. Fungal spoilage of starch-based foods in relation to its water activity (aw). J. Stored Prod. Res. 2000, 36, 47–54. [Google Scholar] [CrossRef]
  66. Nielsen, K.F.; Holm, G.; Uttrup, L.P.; Nielsen, P.A. Mould growth on building materials under low water activities. Influence of humidity and temperature on fungal growth and secondary metabolism. Int. Biodeterior. Biodegrad. 2004, 54, 325–336. [Google Scholar] [CrossRef]
  67. Yang, X.; Zhang, Z.; Li, S.; He, Q.; Peng, X.; Du, X.; Feng, K.; Wang, S.; Deng, Y. Fungal dynamics and potential functions during anaerobic digestion of food waste. Environ. Res. 2022, 212, 113298. [Google Scholar] [CrossRef] [PubMed]
  68. Traversi, D.; Villa, S.; Lorenzi, E.; Degan, R.; Gilli, G. Application of a real-time qPCR method to measure the methanogen concentration during anaerobic digestion as an indicator of biogas production capacity. J. Environ. Manag. 2012, 111, 173–177. [Google Scholar] [CrossRef]
  69. Li, Y.; Chen, Z.; Peng, Y.; Huang, W.; Liu, J.; Mironov, V.; Zhang, S. Deeper insights into the effects of substrate to inoculum ratio selection on the relationship of kinetic parameters, Microbial communities, and key metabolic pathways during the anaerobic digestion of food waste. Water Res. 2022, 217, 118440. [Google Scholar] [CrossRef]
  70. Hu, Y.; Ma, H.; Shi, C.; Kobayashi, T.; Xu, K.Q. Nutrient augmentation enhances biogas production from sorghum mono-digestion. Waste Manag. 2021, 119, 63–71. [Google Scholar] [CrossRef]
  71. Million, M.; Tidjani Alou, M.; Khelaifia, S.; Bachar, D.; Lagier, J.C.; Dione, N.; Brah, S.; Hugon, P.; Lombard, V.; Armougom, F.; et al. Increased gut redox and depletion of anaerobic and methanogenic prokaryotes in severe acute malnutrition. Sci. Rep. 2016, 6, 26051. [Google Scholar] [CrossRef]
Disclaimer/Publisher’s Note: The statements, opinions and data contained in all publications are solely those of the individual author(s) and contributor(s) and not of MDPI and/or the editor(s). MDPI and/or the editor(s) disclaim responsibility for any injury to people or property resulting from any ideas, methods, instructions or products referred to in the content.

Article Metrics

Citations

Article Access Statistics

Multiple requests from the same IP address are counted as one view.