Comprehensive Review on the Use of Biocides in Microbiologically Influenced Corrosion
Abstract
1. Introduction
2. Treatment Methods of MIC Inhibition
2.1. Physical Methods
2.2. Biological Methods
2.3. Chemical Methods
2.3.1. Biocides
2.3.2. Corrosion Inhibitors
2.3.3. Overlay Protection
2.3.4. Electrochemical Protection
3. Biocides
3.1. Oxidizing Biocides
3.1.1. Chlorine-Releasing Agents
3.1.2. Bromine and Its Derivatives
3.1.3. Ozone
3.1.4. Hydrogen Peroxide
3.2. Non-Oxidizing Biocides
3.2.1. Aldehydes
3.2.2. Quaternary Ammonium Compounds
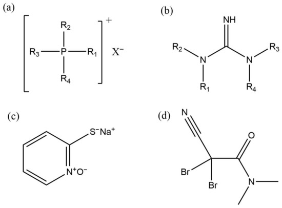
3.2.3. Quaternary Phosphonium Salts
3.2.4. Guanidine Biocides
3.2.5. Heterocyclic Biocides
3.2.6. Organobromine Biocides
3.2.7. Compound Biocide
3.2.8. Environmentally Friendly Biocides
4. Prospects
- Multifunctionality. In addition to high efficacy and broad-spectrum bactericidal efficacy, biocides must have functions, such as corrosion inhibition and scale inhibition, to reduce the amount and input of various agents, avoid antagonism and reduce environmental pollution;
- Mix of biocides. The development of new biocides requires huge economic costs. Thus, it is unreasonable to increase the dosage of drugs or develop new biocides frequently to solve the problem of microbial resistance. A reasonable combination of biocides can improve the sterilization efficiency and prolong the sterilization cycle. In addition, a variety of common chemicals, such as scale inhibitors and corrosion inhibitors, can be added to improve metal protection;
- Increase use of physical and biological sterilization methods. The combined use of multiple technologies can enhance the advantages of various sterilization technologies, and also reduce sterilization costs, conserve energy and offer environmental protection;
- Green and biodegradable compounds. The molecular design of new biocides needs to consider environmental toxicity and its impact on the ecosystem. Environmentally friendly biocides are required to reduce pollution.
Author Contributions
Funding
Data Availability Statement
Conflicts of Interest
References
- Liu, J.; Jia, R.; Zhou, E.; Zhao, Y.; Dou, W.; Xu, D.; Yang, K.; Gu, T. Antimicrobial Cu-bearing 2205 duplex stainless steel against MIC by nitrate reducing Pseudomonas aeruginosa biofilm. Int. Biodeterior. Biodegrad. 2018, 132, 132–138. [Google Scholar] [CrossRef]
- Gaines, R.H. Bacterial Activity as a Corrosive Influence in the Soil. Ind. Eng. Chem. 1910, 2, 128–130. [Google Scholar] [CrossRef]
- Harbulakova, V.O.; Estokova, A.; Stevulova, N.; Luptakova, A.; Foraiova, K. Current Trends in Investigation of Concrete Biodeterioration. Procedia Eng. 2013, 65, 346–351. [Google Scholar] [CrossRef][Green Version]
- Liu, H.; Xu, D.; Wu, Y.; Yang, K.; Liu, H. Research Progress in Corrosion of Steels Induced by Sulfate Reducing Bacteria. Corros. Sci. Prot. Technol. 2015, 27, 409–418. [Google Scholar]
- Giacobone, A.F.F.; Rodriguez, S.A.; Burkart, A.L.; Pizarro, R.A. Microbiological induced corrosion of AA 6061 nuclear alloy in highly diluted media by Bacillus cereus RE 10. Int. Biodeterior. Biodegrad. 2011, 65, 1161–1168. [Google Scholar] [CrossRef]
- Wang, D.; Xie, F.; Wu, M.; Li, X.; Cheng, L. Effect of sulfate reducing bacteria on stress corrosion cracking behavior of X80 steel. Trans. Mater. Heat Treat. 2016, 37, 198–203. [Google Scholar]
- Tang, H.Y.; Yang, C.; Ueki, T.; Pittman, C.C.; Xu, D.; Woodard, T.L.; Holmes, D.E.; Gu, T.; Wang, F.; Lovley, D.R. Stainless steel corrosion via direct iron-to-microbe electron transfer by Geobacter species. ISME J. 2021, 15, 3084–3093. [Google Scholar] [CrossRef]
- Jin, Y.; Zhou, E.; Ueki, T.; Zhang, D.; Fan, Y.; Xu, D.; Wang, F.; Lovley, D.R. Accelerated microbial corrosion by magnetite and electrically conductive pili through direct Fe0-to-Microbe electron transfer. Angew. Chem. Int. Ed. 2023, e202309005. [Google Scholar] [CrossRef]
- Koch, G. Cost of corrosion. In Trends in Oil and Gas Corrosion Research and Technologies; El-Sherik, A.M., Ed.; Woodhead Publishing: Boston, MA, USA, 2017; pp. 3–30. [Google Scholar] [CrossRef]
- Zehra, S.; Mobin, M.; Aslam, J. An overview of the corrosion chemistry. In Environmentally Sustainainable Corrosion Inhibitors; Elsevier: Amsterdam, The Netherlands, 2022; pp. 3–23. [Google Scholar] [CrossRef]
- Hou, B.; Li, X.; Ma, X.; Du, C.; Zhang, D.; Zheng, M.; Xu, W.; Lu, D.; Ma, F. The cost of corrosion in China. NPJ Mater. Degrad. 2017, 1, 4. [Google Scholar] [CrossRef]
- Flemming, H.C. Microbial deterioration of materials—fundamentals—economical and technical overview. Mater. Corros. 1994, 45, 5–9. [Google Scholar] [CrossRef]
- Flemming, H.C.; Wingender, J.; Szewzyk, U.; Steinberg, P.; Rice, S.A.; Kjelleberg, S. Biofilms: An emergent form of bacterial life. Nat. Rev. Microbiol. 2016, 14, 563–575. [Google Scholar] [CrossRef] [PubMed]
- Jia, R.; Unsal, T.; Xu, D.K.; Lekbach, Y.; Gu, T.Y. Microbiologically influenced corrosion and current mitigation strategies: A state of the art review. Int. Biodeterior. Biodegrad. 2019, 137, 42–58. [Google Scholar] [CrossRef]
- Wang, Y.A.; Zhang, R.Y.; Duan, J.Z.; Shi, X.; Zhang, Y.M.; Guan, F.; Sand, W.; Hou, B.R. Extracellular Polymeric Substances and Biocorrosion/Biofouling: Recent Advances and Future Perspectives. Int. J. Mol. Sci. 2022, 23, 5566. [Google Scholar] [CrossRef] [PubMed]
- Kanwal, M.; Khushnood, R.A.; Adnan, F.; Wattoo, A.G.; Jalil, A. Assessment of the MICP potential and corrosion inhibition of steel bars by biofilm forming bacteria in corrosive environment. Cem. Concr. Compos. 2023, 137, 104937. [Google Scholar] [CrossRef]
- Lou, Y.; Chang, W.; Cui, T.; Qian, H.; Huang, L.; Ma, L.; Hao, X.; Zhang, D. Microbiologically influenced corrosion inhibition of carbon steel via biomineralization induced by Shewanella putrefaciens. NPJ Mater. Degrad. 2021, 5, 59. [Google Scholar] [CrossRef]
- Little, B.; Lee, J.; Ray, R. A review of ‘green’ strategies to prevent or mitigate microbiologically influenced corrosion. Biofouling 2007, 23, 87–97. [Google Scholar] [CrossRef]
- Mah, T.; O’Toole, G.A. Mechanisms of biofilm resistance to antimicrobial agents. Trends Microbiol. 2001, 9, 34–39. [Google Scholar] [CrossRef]
- Sun, H.; Shi, B.; Bai, Y.; Wang, D. Bacterial community of biofilms developed under different water supply conditions in a distribution system. Sci. Total Environ. 2014, 472, 99–107. [Google Scholar] [CrossRef]
- Gomez-Alvarez, V.; Revetta, R.P.; Santo Domingo, J.W. Metagenome analyses of corroded concrete wastewater pipe biofilms reveal a complex microbial system. BMC Microbiol. 2012, 12, 122. [Google Scholar] [CrossRef]
- Li, H.; Xu, P. Influence of mixed microorganism on metal corrosion in water environment. Appl. Chem. Ind. 2021, 50, 2215–2221. [Google Scholar]
- Wu, J.; Zhang, D.; Wang, P.; Cheng, Y.; Sun, S.; Sun, Y.; Chen, S. The influence of Desulfovibrio sp. and Pseudoalteromonas sp. on the corrosion of Q235 carbon steel in natural seawater. Corros. Sci. 2016, 112, 552–562. [Google Scholar] [CrossRef]
- Xu, D.; Gu, T.; Lovley, D.R. Microbially mediated metal corrosion. Nat. Rev. Microbiol. 2023. [Google Scholar] [CrossRef]
- Machuca, L.L.; Jeffrey, R.; Melchers, R.E. Microorganisms associated with corrosion of structural steel in diverse atmospheres. Int. Biodeterior. Biodegrad. 2016, 114, 234–243. [Google Scholar] [CrossRef]
- Tripathi, A.K.; Thakur, P.; Saxena, P.; Rauniyar, S.; Gopalakrishnan, V.; Singh, R.N.; Gadhamshetty, V.; Gnimpieba, E.Z.; Jasthi, B.K.; Sani, R.K. Gene Sets and Mechanisms of Sulfate-Reducing Bacteria Biofilm Formation and Quorum Sensing With Impact on Corrosion. Front. Microbiol. 2021, 12, 754140. [Google Scholar] [CrossRef] [PubMed]
- Zhang, Y.; Chen, C.; Liu, H.; Li, W. Research Progress on Mildew Induced Corrosion of Al-alloy. J. Chin. Soc. Corros. Sci. Prot. Technol. 2021, 41, 13–21. [Google Scholar]
- Li, Z.; Zhang, Z.; Ding, L.; Sui, Q.; Hu, X.; Li, C. Microbial Contamination and Corrosion in Aircraft Fuel System. J. Chin. Soc. Corros. Sci. Prot. Technol. 2022, 42, 1081–1086. [Google Scholar]
- Chen, S.; Zheng, R.; Zhang, S.; Yuan, M.; Guo, H.; Meng, G.; Zhang, P. Effect of marine microalgae Synechococcus sp., Chlorella sp., Thalassiosira sp. on corrosion behavior of Q235 carbon steel in f/2 medium. Bioelectrochemistry 2023, 150, 108349. [Google Scholar] [CrossRef] [PubMed]
- Bragulat, M.R.; Abarca, M.L.; Bruguera, M.T.; Cabanes, F.J. Comparative study of some factors affecting enumeration of moulds using dilution plate techniques. Microbiologia 1992, 8, 106–114. [Google Scholar] [PubMed]
- Amendola, R.; Acharjee, A. Microbiologically Influenced Corrosion of Copper and Its Alloys in Anaerobic Aqueous Environments: A Review. Front. Microbiol. 2022, 13, 806688. [Google Scholar] [CrossRef] [PubMed]
- Liu, Q.; Cui, H.; Wu, D.; Cheng, S.; Zhang, Y. Research and application progress of sterilization technology for oilfield reinjection water. Spec. Petrochem. 2022, 039, 6–65. [Google Scholar] [CrossRef]
- Zhou, E.; Lekbach, Y.; Gu, T.; Xu, D. Bioenergetics and extracellular electron transfer in microbial fuel cells and microbial corrosion. Curr. Opin. Electrochem. 2022, 31, 100830. [Google Scholar] [CrossRef]
- Yoshino, K.; Matsumoto, H.; Iwasaki, T.; Kinoshita, S.; Noda, K.; Oya, K.; Iwamori, S. Investigation of a Sterilization System Using Active Oxygen Species Generated by Ultraviolet Irradiation. Biocontrol Sci. 2015, 20, 11–18. [Google Scholar] [CrossRef] [PubMed]
- Rasol, R.M.; Yahaya, N.; Noor, N.M.; Abdullah, A.; Rashid, A.S.A. Mitigation of sulfate-reducing bacteria (SRB), Desulfovibrio vulgaris using low frequency ultrasound radiation. J. Corros. Sci. Eng. 2014, 17, 1–17. [Google Scholar]
- Zong, Y.; Xie, F.; Wu, M.; Wang, D.; Zhou, W.; Pan, Z. Research Progress in Influencing Factors of Corrosion by Sulfate-reducing Bacteria and Corresponding Antisepsis Techniques. Surf. Technol. 2016, 45, 24. [Google Scholar]
- Fan, F.; Zhang, B.; Liu, J.; Cai, Q.; Lin, W.; Chen, B. Towards sulfide removal and sulfate reducing bacteria inhibition: Function of biosurfactants produced by indigenous isolated nitrate reducing bacteria. Chemosphere 2020, 238, 124655. [Google Scholar] [CrossRef] [PubMed]
- Lou, Y.; He, S.; Chen, X.; Qian, H.; Zhang, D. Research Progress on Microbiologically Influenced Corrosion of Oil and Gas Pipelines in Marine Environment. Surf. Technol. 2022, 51, 129–138. [Google Scholar]
- Pedramfar, A.; Beheshti Maal, K.; Mirdamadian, S.H. Phage therapy of corrosion-producing bacterium using isolated lytic bacteriophages. Anti-Corros. Methods Mater. 2017, 64, 607–612. [Google Scholar] [CrossRef]
- Zeng, X.; Zou, Y.; Zheng, J.; Qiu, S.; Liu, L.; Wei, C. Quorum sensing-mediated microbial interactions: Mechanisms, applications, challenges and perspectives. Microbiol. Res. 2023, 273, 127414. [Google Scholar] [CrossRef]
- Miyashiro, T.; Ruby, E.G. Shedding light on bioluminescence regulation in Vibrio fischeri. Mol. Microbiol. 2012, 84, 795–806. [Google Scholar] [CrossRef]
- Bronesky, D.; Wu, Z.; Marzi, S.; Walter, P.; Geissmann, T.; Moreau, K.; Vandenesch, F.; Caldelari, I.; Romby, P. Staphylococcus aureus RNAIII and Its Regulon Link Quorum Sensing, Stress Responses, Metabolic Adaptation, and Regulation of Virulence Gene Expression. Annu. Rev. Microbiol. 2016, 70, 299–316. [Google Scholar] [CrossRef]
- Vashistha, A.; Sharma, N.; Nanaji, Y.; Kumar, D.; Singh, G.; Barnwal, R.P.; Yadav, A.K. Quorum sensing inhibitors as Therapeutics: Bacterial biofilm inhibition. Bioorg. Chem. 2023, 136, 106551. [Google Scholar] [CrossRef] [PubMed]
- Dessaux, Y.; Faure, D. Quorum Sensing and Quorum Quenching in Agrobacterium: A “Go/No Go System”? Genes 2018, 9, 210. [Google Scholar] [CrossRef] [PubMed]
- Zhang, B. Synthesis and Biological Evaluation of Azamacrolide Comprising Triazole Moiety as Quorum Sensing Inhibitors or fungicides. China. Agric. Univ. 2018, 23, 1086. [Google Scholar]
- Lamin, A.; Kaksonen, A.H.; Cole, I.S.; Chen, X.-B. Quorum sensing inhibitors applications: A new prospect for mitigation of microbiologically influenced corrosion. Bioelectrochemistry 2022, 145, 108050. [Google Scholar] [CrossRef] [PubMed]
- Ejileugha, C.; Ezealisiji, K.M.; Ezejiofor, A.N.; Orisakwe, O.E. Microbiologically Influenced Corrosion: Uncovering Mechanisms and Discovering Inhibitor—Metal and Metal Oxide Nanoparticles as Promising Biocorrosion Inhibitors. J. Bio- Tribo-Corros. 2021, 7, 109. [Google Scholar] [CrossRef]
- Beitelshees, M.; Hill, A.; Jones, C.H.; Pfeifer, B.A. Phenotypic Variation during Biofilm Formation: Implications for Anti-Biofilm Therapeutic Design. Materials 2018, 11, 1086. [Google Scholar] [CrossRef] [PubMed]
- Li, Y.-H.; Tian, X. Quorum Sensing and Bacterial Social Interactions in Biofilms. Sensors 2012, 12, 2519–2538. [Google Scholar] [CrossRef]
- Hentzer, M. Attenuation of Pseudomonas aeruginosa virulence by quorum sensing inhibitors. EMBO J. 2014, 22, 3803–3815. [Google Scholar] [CrossRef]
- Brackman, G.; Risseeuw, M.; Celen, S.; Cos, P.; Maes, L.; Nelis, H.J.; Calenbergh, S.V.; Coenye, T. Synthesis and evaluation of the quorum sensing inhibitory effect of substituted triazolyldihydrofuranones. Bioorg. Med. Chem. 2012, 20, 4737–4743. [Google Scholar] [CrossRef]
- Gupta, D.S.; Kumar, M.S. The implications of quorum sensing inhibition in bacterial antibiotic resistance- with a special focus on aquaculture. J. Microbiol. Methods 2022, 203, 106602. [Google Scholar] [CrossRef]
- Packiavathy, I.A.S.; Maruthamuthu, S.; Gnanaselvan, G.; Manoharan, S.; Paul, J.B.J.; Annapoorani, A.; Kannappan, A.; Ravi, A.V. The control of microbially induced corrosion by methyl eugenol—A dietary phytochemical with quorum sensing inhibitory potential. Bioelectrochemistry 2019, 128, 186–192. [Google Scholar] [CrossRef] [PubMed]
- Siddiqui, M.F.; Rzechowicz, M.; Winters, H.; Zularisam, A.W.; Fane, A.G. Quorum sensing based membrane biofouling control for water treatment: A review. J. Water Process. Eng. 2015, 7, 112–122. [Google Scholar] [CrossRef]
- Kalia, V.C. Quorum sensing inhibitors: An overview. Biotechnol. Adv. 2013, 31, 224–245. [Google Scholar] [CrossRef]
- Kalia, V.C.; Patel, S.K.S.; Kang, Y.C.; Lee, J.K. Quorum sensing inhibitors as antipathogens: Biotechnological applications. Biotechnol. Adv. 2019, 37, 68–90. [Google Scholar] [CrossRef] [PubMed]
- Muthukumar, N.; Rajasekar, A.; Ponmariappan, S.; Mohanan, S.; Maruthamuthu, S.; Muralidharan, S.; Subramanian, P.; Palaniswamy, N.; Raghavan, M. Microbiologically influenced corrosion in petroleum product pipelines—A review. Indian J. Exp. Biol. 2003, 41, 1012–1022. [Google Scholar] [PubMed]
- DuBose, B.W.; Fortnum, R.T.; Strickland, N. A case history of microbiologically influenced corrosion in the Lost Hills oilfield, Kern County, California. In NACE CORROSION; NACE: Houston, TX, USA, 1996; p. NACE-96297. [Google Scholar]
- Somers, A.E.; Peng, Y.; Chong, A.L.; Forsyth, M.; MacFarlane, D.R.; Deacon, G.B.; Hughes, A.E.; Hinton, B.R.W.; Mardel, J.I.; Junk, P.C. Advances in the development of rare earth metal and carboxylate compounds as corrosion inhibitors for steel. Corros. Eng. Sci. Technol. 2020, 55, 311–321. [Google Scholar] [CrossRef]
- Chitra, S.; Anand, B.; Balasubramanian, V. Influence of Tetracycline on Gram-Negative Strain Klebsiella oxytoca in Mild Steel Corrosion. Asian J. Chem. 2018, 30, 1061–1064. [Google Scholar] [CrossRef]
- Liu, H.; Chen, C.; Zhang, Y.; Li, W. Research Progress of Microbial Corrosion and Protection in Oil and Gas Fields. Equip. Environ. Eng. 2020, 12, 4. [Google Scholar]
- Yan, D.S.; Liu, J.L.; Zhang, Z.H.; Wang, Y.L.; Zhang, M.; Song, D.L.; Zhang, T.; Liu, J.Y.; He, F.; Wang, J. Dual-functional graphene oxide-based nanomaterial for enhancing the passive and active corrosion protection of epoxy coating. Compos. B Eng. 2021, 222, 109075. [Google Scholar] [CrossRef]
- Hoque, J.; Ghosh, S.; Paramanandham, K.; Haldar, J. Charge-switchable polymeric coating kills bacteria and prevents biofilm formation in vivo. ACS Appl. Mater. Interfaces 2019, 11, 39150–39162. [Google Scholar] [CrossRef]
- Guo, B.; Qiao, G.; Niu, D.; Ou, J. Electrochemical Corrosion Control for Reinforced Concrete Structures—A Review. Int. J. Electrochem. Sci. 2020, 15, 5723–5740. [Google Scholar] [CrossRef]
- Wang, Y.; Xu, L.; Sun, J.; Cheng, Y.F. Mechano-electrochemical interaction for pipeline corrosion: A review. J. Pipeline Sci. Eng. 2021, 1, 1–16. [Google Scholar] [CrossRef]
- Xia, D.-H.; Deng, C.-M.; Macdonald, D.; Jamali, S.; Mills, D.; Luo, J.-L.; Strebl, M.G.; Amiri, M.; Jin, W.; Song, S.; et al. Electrochemical measurements used for assessment of corrosion and protection of metallic materials in the field: A critical review. J. Mater. Sci. Technol. 2022, 112, 151–183. [Google Scholar] [CrossRef]
- Liu, T.; Cheng, Y.F. The influence of cathodic protection potential on the biofilm formation and corrosion behaviour of an X70 steel pipeline in sulfate reducing bacteria media. J. Alloys Compd. 2017, 729, 180–188. [Google Scholar] [CrossRef]
- Finnegan, M.; Linley, E.; Denyer, S.P.; McDonnell, G.; Simons, C.; Maillard, J.-Y. Mode of action of hydrogen peroxide and other oxidizing agents: Differences between liquid and gas forms. J. Antimicrob. Chemother. 2010, 65, 2108–2115. [Google Scholar] [CrossRef]
- Shu, Z.; Zhang, Z.; Chen, Z.; Ma, F. Sterilizing tests on refilling water in oil field by chlorine dioxide. Ind. Water Treat. 2008, 28, 60. [Google Scholar]
- Yang, D.; Wang, K.; Yang, B.; LI, W.; Luan, Y. Research Progress of Green Disinfectant Chlorine Dioxide. Chem. Eng. Manag. 2022, 16, 80–82+122. [Google Scholar] [CrossRef]
- Zhang, H.; Tian, Y.; Kang, M.; Chen, C.; Song, Y.; Li, H. Effects of chlorination/chlorine dioxide disinfection on biofilm bacterial community and corrosion process in a reclaimed water distribution system. Chemosphere 2019, 215, 62–73. [Google Scholar] [CrossRef]
- Li, T.; Liu, W.; Wu, D.; Zhang, H.; Zhang, Q.; Huang, X. Advance in the applications of bromines-based biocides in industrial circulating cooling water. J. Salt Sci. Chem. Ind. 2019, 48, 10. [Google Scholar]
- Li, T.; Wang, T.; Liu, W.; Zhang, Q.; Huang, X. Research progress in the active bromine biocides. Ind. Water Treat. 2019, 39, 1–5. [Google Scholar]
- Wang, H.; Mustafa, M.; Yu, G.; Östman, M.; Cheng, Y.; Wang, Y.; Tysklind, M. Oxidation of emerging biocides and antibiotics in wastewater by ozonation and the electro-peroxone process. Chemosphere 2019, 235, 575–585. [Google Scholar] [CrossRef] [PubMed]
- Ebihara, K.; Mitsugi, F.; Ikegami, T.; Nakamura, N.; Hashimoto, Y.; Yamashita, Y.; Baba, S.; Stryczewska, H.D.; Pawlat, J.; Teii, S.; et al. Ozone-mist spray sterilization for pest control in agricultural management. Eur. Phys. J. Appl. Phys. 2013, 61, 24318. [Google Scholar] [CrossRef]
- Jones, I.A.; Joshi, L.T. Biocide use in the antimicrobial era: A review. Molecules 2021, 26, 2276. [Google Scholar] [CrossRef] [PubMed]
- Ren, Y.; Zhao, Z.; Zhang, H.; Yang, Z.; Liangde, K. Experimental study on influencing factors of bactericidal effect ofcompound glutaraldehyde disinfectant. Heilongjiang Anim. Sci. Vet. Med. 2020, 12, 122–125. [Google Scholar] [CrossRef]
- Vereshchagin, A.N.; Frolov, N.A.; Egorova, K.S.; Seitkalieva, M.M.; Ananikov, V.P. Quaternary Ammonium Compounds (QACs) and Ionic Liquids (ILs) as Biocides: From Simple Antiseptics to Tunable Antimicrobials. Int. J. Mol. Sci. 2021, 22, 6793. [Google Scholar] [CrossRef]
- Cavallaro, A.; Mierczynska, A.; Barton, M.; Majewski, P.; Vasilev, K. Influence of immobilized quaternary ammonium group surface density on antimicrobial efficacy and cytotoxicity. Biofouling 2015, 32, 13–24. [Google Scholar] [CrossRef]
- Fei, F.; Hu, J.; Wei, J.; Yu, Q.; Chen, Z. Corrosion performance of steel reinforcement in simulated concrete pore solutions in the presence of imidazoline quaternary ammonium salt corrosion inhibitor. Constr. Build. Mater. 2014, 70, 43–53. [Google Scholar] [CrossRef]
- Zhang, Y.; Zhao, X. Research Progress in the Biocidal Performance and Mechanism of Quaternary Ammonium Salt Biocide. Fine Chem. 2010, 27, 1145. [Google Scholar]
- Wang, S.; Sun, J.; Shan, B.R.; Fan, W.J.; Ding, R.; Yang, J.; Zhao, X.D. Performance of dodecyl dimethyl benzyl ammonium chloride as bactericide and corrosion inhibitor for 7B04 aluminum alloy in an aircraft fuel system. Arab. J. Chem. 2022, 15, 103926. [Google Scholar] [CrossRef]
- Kaczerewska, O.; Leiva-Garcia, R.; Akid, R.; Brycki, B. Efficiency of cationic gemini surfactants with 3-azamethylpentamethylene spacer as corrosion inhibitors for stainless steel in hydrochloric acid. J. Mol. Liq. 2017, 247, 6–13. [Google Scholar] [CrossRef]
- Migahed, M.A.; Shaban, M.M.; Fadda, A.A.; Ali, T.A.; Negm, N.A. Synthesis of some quaternary ammonium gemini surfactants and evaluation of their performance as corrosion inhibitors for carbon steel in oil well formation water containing sulfide ions. RSC Adv. 2015, 5, 104480–104492. [Google Scholar] [CrossRef]
- Zhu, H.; Li, X.; Lu, X.; Wang, J.; Hu, Z.; Ma, X. Efficiency of Gemini surfactant containing semi-rigid spacer as microbial corrosion inhibitor for carbon steel in simulated seawater. Bioelectrochemistry 2021, 140, 107809. [Google Scholar] [CrossRef] [PubMed]
- Zhou, F.; Sun, Y.; Wang, Q.; Zhang, J. Study on the bactericidal performance of a novel bactericide used in oil-field reinjection water. J. Xi’an Shiyou Univ. Nat. Sci. Ed. 2010, 25, 4. [Google Scholar]
- Liu, Y.; Zeng, Q.; Qiu, T.; Ao, N. Preparation and property of antibacterial plastic modified with novel polymeric quaternary phosphonium salts. Polym. Bull. 2014, 7, 75–82. [Google Scholar] [CrossRef]
- Xue, Y.; Xiao, H.; Zhang, Y. Antimicrobial polymeric materials with quaternary ammonium and phosphonium salts. Int. J. Mol. Sci. 2015, 16, 3626–3655. [Google Scholar] [CrossRef]
- Gong, S.Q.; Niu, L.N.; Kemp, L.K.; Yiu, C.; Ryou, H.; Qi, Y.P.; Blizzard, J.D.; Nikonov, S.; Brackett, M.G.; Messer, R. Quaternary ammonium silane-functionalized, methacrylate resin composition with antimicrobial activities and self-repair potential. Acta Biomater. 2012, 8, 3270–3282. [Google Scholar] [CrossRef] [PubMed]
- Kanazawa, A.; Ikeda, T.; Endo, T. Polymeric phosphonium salts as a novel class of cationic biocides. III. Immobilization of phosphonium salts by surface photografting and antibacterial activity of the surface-treated polymer films. J. Polym. Sci. Part A Polym. Chem. 1993, 31, 1467–1472. [Google Scholar] [CrossRef]
- Pope, R.; Pope, D.H. Microbiologically influenced corrosion in fire protection sprinkler systems. In NACE CORROSION; NACE: Houston, TX, USA, 2000; p. NACE-00401. [Google Scholar]
- Xu, L.; Guan, F.; Ma, Y.; Zhang, R.; Zhang, Y.; Zhai, X.; Dong, X.; Wang, Y.; Duan, J.; Hou, B. Inadequate dosing of THPS treatment increases microbially influenced corrosion of pipeline steel by inducing biofilm growth of Desulfovibrio hontreensis SY-21. Bioelectrochemistry 2022, 145, 108048. [Google Scholar] [CrossRef]
- Liu, H.; Huang, L.; Liu, T.; Zhou, L. Synthesis and bactericidal activity of novel quaternary phosphonium salts. Corros. Sci. Prot. Technol. 2009, 21, 4. [Google Scholar]
- Liao, Q.; Yuan, B.; Lü, S. Synthesis and performance of the linear alkylene tributyl double quaternary phosphonium salts. Ind. Water Treat. 2014, 34, 31–33. [Google Scholar]
- Cui, X.Y.; Tan, C.H.; Leow, D. Metal-catalysed reactions enabled by guanidine-type ligands. Org. Biomol. Chem. 2019, 17, 4689–4699. [Google Scholar] [CrossRef]
- Qian, L.Y.; Guan, Y.; He, B.H.; Xiao, H.N. Modified guanidine polymers: Synthesis and antimicrobial mechanism revealed by AFM. Polymer 2008, 49, 2471–2475. [Google Scholar] [CrossRef]
- Yang, T.; Liu, X.; Du, R.; Li, X. Research Progress of Guanidine Bactericides in the Oilfield Water Injection. Guangdong Chem. Ind. 2015, 42, 79–80. [Google Scholar]
- Grytsai, O.; Ronco, C.; Benhida, R. Synthetic accesses to biguanide compounds. Beilstein J. Org. Chem. 2021, 17, 1001–1040. [Google Scholar] [CrossRef] [PubMed]
- Zhang, L.; Liu, X.; Yao, G.; Zhang, D. Synthesis and spot evaluation of a kind of efficient biocide used for industrial water treatment. Ind. Water Treat. 2014, 34, 54–56. [Google Scholar]
- Zhang, G.-X.; Lu, Y.; Lan, Y.; Hu, T.; Zhang, Y.; Li, Y. Preparation of organoguanidine bactericide and its application in oil and gas fields containing hydrogen sulfide. Appl. Chem. Ind. 2020, 49, 378–381+388. [Google Scholar]
- Gang, C.; Qiang, D.; Ying, T.; Shi-jun, C. Synthesis of 5-(Furan-2-yl)-3-phenyl-isoxazole and Its Inhibition against Sulfate Reducing Bacteria. Chin. J. Synth. Chem. 2010, 18, 74–76. [Google Scholar]
- He, Y.; Zhang, T.; Wang, H.; Zhang, F.; Li, G.; Liu, H. Research Progress of Biocides for Microbiologically Influenced Corrosion. J. Chin. Soc. Corros. Sci. Prot. Technol. 2021, 41, 748–756. [Google Scholar]
- Sayed, G.H.; Azab, M.E.; Anwer, K.E.; Raouf, M.A.; Negm, N.A. Pyrazole, pyrazolone and enaminonitrile pyrazole derivatives: Synthesis, characterization and potential in corrosion inhibition and antimicrobial applications. J. Mol. Liq. 2018, 252, 329–338. [Google Scholar] [CrossRef]
- Silva, V.; Silva, C.; Soares, P.; Garrido, E.M.; Borges, F.; Garrido, J. Isothiazolinone biocides: Chemistry, biological, and toxicity profiles. Molecules 2020, 25, 991. [Google Scholar] [CrossRef]
- Wang, W.L.; Chen, Z.; Du, Y.; Zhang, Y.L.; Zhou, T.H.; Wu, Q.Y.; Hu, H.Y. Elimination of isothiazolinone biocides in reverse osmosis concentrate by ozonation: A two-phase kinetics and a non-linear surrogate model. J. Hazard. Mater. 2020, 389, 121898. [Google Scholar] [CrossRef] [PubMed]
- Guiamet, P.S.; Gaylarde, C.C. Activity of an isothiazolone biocide against Hormoconis resinae in pure and mixed biofilms. World J. Microbiol. Biotechnol. 1996, 12, 395–397. [Google Scholar] [CrossRef] [PubMed]
- Daulisio, M.C.Z.; Schneider, R.P. Inactivation of Pseudomonas aeruginosa MDC by isothiazolones and biocide stabilizing agents. Int. Biodeterior. Biodegrad. 2020, 155, 105090. [Google Scholar] [CrossRef]
- Bento, F.M.; Gaylarde, C.C. Biodeterioration of stored diesel oil: Studies in Brazil. Int. Biodeterior. Biodegrad. 2001, 47, 107–112. [Google Scholar] [CrossRef]
- Carlson, H.K.; Mullan, M.R.; Mosqueda, L.A.; Chen, S.; Arkin, M.R.; Coates, J.D. High-Throughput Screening To Identify Potent and Specific Inhibitors of Microbial Sulfate Reduction. Environ. Sci. Technol. 2017, 51, 7278–7285. [Google Scholar] [CrossRef]
- Wang, J.L.; Hou, B.S.; Xiang, J.; Chen, X.D.; Gu, T.Y.; Liu, H.F. The performance and mechanism of bifunctional biocide sodium pyrithione against sulfate reducing bacteria in X80 carbon steel corrosion. Corros. Sci. 2019, 150, 296–308. [Google Scholar] [CrossRef]
- Kahrilas, G.A.; Blotevogel, J.; Stewart, P.S.; Borch, T. Biocides in hydraulic fracturing fluids: A critical review of their usage, mobility, degradation, and toxicity. Environ. Sci. Technol. 2015, 49, 16–32. [Google Scholar] [CrossRef]
- Tuck, B.; Watkin, E.; Somers, A.; Forsyth, M.; Machuca, L.L. Enhancing Biocide Efficacy: Targeting Extracellular DNA for Marine Biofilm Disruption. Microorganisms 2022, 10, 1227. [Google Scholar] [CrossRef]
- Sharma, M.; Liu, H.; Chen, S.; Cheng, F.; Voordouw, G.; Gieg, L. Effect of selected biocides on microbiologically influenced corrosion caused by Desulfovibrio ferrophilus IS5. Sci. Rep. 2018, 8, 16620. [Google Scholar] [CrossRef]
- Xu, D.; Jia, R.; Li, Y.; Gu, T. Advances in the treatment of problematic industrial biofilms. World J. Microbiol. Biotechnol. 2017, 33, 97. [Google Scholar] [CrossRef]
- Chang, S.; Huang, S.; Chu, Y.; Jian, S.; Lo, K.; Lee, Y. Antimicrobial and Anticorrosion Activity of a Novel Composite Biocide against Mixed Bacterial Strains in Taiwanese Marine Environments. Materials 2021, 14, 6156. [Google Scholar] [CrossRef]
- Wang, J.; Liu, H.; Mohamed, M.E.-S.; Saleh, M.A.; Gu, T. Mitigation of sulfate reducing Desulfovibrio ferrophilus microbiologically influenced corrosion of X80 using THPS biocide enhanced by Peptide A. J. Mater. Sci. Technol. 2022, 107, 43–51. [Google Scholar] [CrossRef]
- Unsal, T.; Wang, D.; Kumseranee, S.; Punpruk, S.; Gu, T. d-Tyrosine enhancement of microbiocide mitigation of carbon steel corrosion by a sulfate reducing bacterium biofilm. World J. Microbiol. Biotechnol. 2021, 37, 103. [Google Scholar] [CrossRef] [PubMed]
- Wen, J.; Zhao, K.L.; Gu, T.Y.; Raad, I.I. A green biocide enhancer for the treatment of sulfate-reducing bacteria (SRB) biofilms on carbon steel surfaces using glutaraldehyde. Int. Biodeterior. Biodegrad. 2009, 63, 1102–1106. [Google Scholar] [CrossRef]
- Wen, J.; Xu, D.; Gu, T.; Raad, I. A green triple biocide cocktail consisting of a biocide, EDDS and methanol for the mitigation of planktonic and sessile sulfate-reducing bacteria. World J. Microbiol. Biotechnol. 2012, 28, 431–435. [Google Scholar] [CrossRef] [PubMed]
- Wang, D.; Unsal, T.; Kumseranee, S.; Punpruk, S.; Saleh, M.A.; Alotaibi, M.D.; Xu, D.; Gu, T. Mitigation of carbon steel biocorrosion using a green biocide enhanced by a nature-mimicking anti-biofilm peptide in a flow loop. Bioresour. Bioprocess. 2022, 9, 67. [Google Scholar] [CrossRef]
- Stillger, L.; Müller, D. Peptide-coating combating antimicrobial contaminations: A review of covalent immobilization strategies for industrial applications. J. Mater. Sci. 2022, 57, 10863–10885. [Google Scholar] [CrossRef]
- Romani, M.; Warscheid, T.; Nicole, L.; Marcon, L.; Di Martino, P.; Suzuki, M.T.; Lebaron, P.; Lami, R. Current and future chemical treatments to fight biodeterioration of outdoor building materials and associated biofilms: Moving away from ecotoxic and towards efficient, sustainable solutions. Sci. Total Environ. 2022, 802, 149846. [Google Scholar] [CrossRef]
- Md Zain, W.S.; Hairul Salleh, N.I.; Abdullah, A. Natural biocides for mitigation of sulphate reducing bacteria. Int. J. Corros. 2018, 2018, 3567569. [Google Scholar] [CrossRef]
- Royani, A.; Hanafi, M.; Manaf, A. Prospect of plant extracts as eco-friendly biocides for microbiologically influenced corrosion: A review. Int. J. Corros. Scale Inhib. 2022, 11, 862–888. [Google Scholar]
- Hu, Y.; Feng, Q.; Zeng, H.; Banat, I.M.; Si, Y.; Huang, P.; Li, X.; Sun, S.; Dong, H.; She, Y. Corrosion inhibition of sulphate-reducing bacterial by Ag/Cu bimetallic nanoparticles synthesised from ginger extract. J. Clean. Prod. 2022, 377, 134204. [Google Scholar] [CrossRef]
- Vaithiyanathan, S.; Chandrasekaran, K.; Barik, R. Green biocide for mitigating sulfate-reducing bacteria influenced microbial corrosion. 3 Biotech 2018, 8, 495. [Google Scholar] [CrossRef] [PubMed]
- Silva, P.S.d.; Senna, L.F.d.; Gonçalves, M.M.M.; Lago, D.C.B.d. Microbiologically-influenced corrosion of 1020 carbon steel in artificial seawater using garlic oil as natural biocide. Mater. Res. 2019, 22, 4. [Google Scholar] [CrossRef]
- Unsal, T.; Wang, D.; Kumseranee, S.; Punpruk, S.; Mohamed, M.E.-S.; Saleh, M.A.; Gu, T. Assessment of 2,2-dibromo-3-nitrilopropionamide biocide enhanced by D-tyrosine against zinc corrosion by a sulfate reducing bacterium. Ind. Eng. Chem. Res. 2021, 60, 4009–4018. [Google Scholar] [CrossRef]
- Wang, D.; Ivanova, S.A.; Hahn, R.; Gu, T. Evaluation of trehalase as an enhancer for a green biocide in the mitigation of Desulfovibrio vulgaris biocorrosion of carbon steel. Bioprocess Biosyst. Eng. 2022, 45, 659–667. [Google Scholar] [CrossRef]
- Wang, N.; Zhai, X.F.; Guan, F.; Zhang, R.Y.; Hou, B.R.; Duan, J.Z. N-Doped Carbon/CeO2 Composite as a Biomimetic Catalyst for Antibacterial Application. Int. J. Mol. Sci. 2023, 24, 2445. [Google Scholar] [CrossRef]
- Kosaric, N.; Sukan, F. Biosurfactants (Production and Utilization—Processes, Technologies, and Economics)||Types and Classification of Microbial Surfactants; CRC Press: Boca Raton, FL, USA, 2014; pp. 3–18. [Google Scholar]
- Plaza, G.; Achal, V. Biosurfactants: Eco-Friendly and Innovative Biocides against Biocorrosion. Int. J. Mol. Sci. 2020, 21, 2152. [Google Scholar] [CrossRef]
- Satpute, S.K.; Banpurkar, A.G.; Banat, I.M.; Sangshetti, J.N.; Patil, R.H.; Gade, W.N. Multiple Roles of Biosurfactants in Biofilms. Curr. Pharm. Des. 2016, 22, 1429–1448. [Google Scholar] [CrossRef]
- Banat, I.M.; De Rienzo, M.A.D.; Quinn, G.A. Microbial biofilms: Biosurfactants as antibiofilm agents. Appl. Microbiol. Biotechnol. 2014, 98, 9915–9929. [Google Scholar] [CrossRef]
- Hamme, J.D.V.; Singh, A.; Ward, O.P. Physiological aspects: Part 1 in a series of papers devoted to surfactants in microbiology and biotechnology. Biotechnol. Adv. 2006, 24, 604–620. [Google Scholar] [CrossRef]
- Olga, E.; Nina, G.; Irina, M.; Mariya, D.; Maksim, K. Antimicrobial Properties of the Probiotic Strain Bacillus Subtilis 534. Int. Arch. Med. Microbiol. 2019, 2, 119. [Google Scholar] [CrossRef]
- Díaz De Rienzo, M.A.; Paul, S.; Roger, M.; Banat, I.M. Antibacterial properties of biosurfactants against selected Gram-positive and -negative bacteria. FEMS Microbiol. Lett. 2016, 363, fnv224. [Google Scholar] [CrossRef] [PubMed]
- Rienzo, M.A.D.D.; Banat, I.M.; Dolman, B.; Winterburn, J.; Martin, P.J. Sophorolipid biosurfactants: Possible uses as antibacterial and antibiofilm agent. New Biotechnol. 2015, 32, 720–726. [Google Scholar] [CrossRef] [PubMed]
- Rasheed, P.A.; Jabbar, K.A.; Mackey, H.R.; Mahmoud, K.A. Recent advancements of nanomaterials as coatings and biocides for the inhibition of sulfate reducing bacteria induced corrosion. Curr. Opin. Chem. Eng. 2019, 25, 35–42. [Google Scholar] [CrossRef]
- Hajipour, M.J.; Fromm, K.M.; Akbar Ashkarran, A.; Jimenez de Aberasturi, D.; Larramendi, I.R.d.; Rojo, T.; Serpooshan, V.; Parak, W.J.; Mahmoudi, M. Antibacterial properties of nanoparticles. Trends Biotechnol. 2012, 30, 499–511. [Google Scholar] [CrossRef]
- Rasool, K.; Helal, M.; Ali, A.; Ren, C.E.; Gogotsi, Y.; Mahmoud, K.A. Antibacterial Activity of Ti3C2Tx MXene. ACS Nano 2016, 10, 3674–3684. [Google Scholar] [CrossRef]
- Das, K.R.; Kerkar, S.; Meena, Y.; Mishra, S. Effects of iron nanoparticles on iron-corroding bacteria. 3 Biotech 2017, 7, 385. [Google Scholar] [CrossRef]
- Peng, Z.; Ni, J.; Zheng, K.; Shen, Y.; Wang, X.; He, G.; Jin, S.; Tang, T. Dual effects and mechanism of TiO2 nanotube arrays in reducing bacterial colonization and enhancing C3H10T1/2 cell adhesion. Int. J. Nanomed. 2013, 8, 3093–3105. [Google Scholar]
- Maurer-Jones, M.A.; Gunsolus, I.L.; Murphy, C.J.; Haynes, C.L. Toxicity of engineered nanoparticles in the environment. Anal. Chem. 2013, 85, 3036–3049. [Google Scholar] [CrossRef]












| Heterocyclic Type of Bactericide | Commonly Used Bactericides | Uses and Advantages | |
|---|---|---|---|
| Ternary and quaternary heterocyclic compounds | Eopxiconazole, Temocillin, | Ternary heterocyclic compounds are often the key intermediates for the preparation of heterocyclic biocides. Temocillin is beta amide heterocyclic biocides with high fungicidal activity | |
| Five-membered heterocyclic compounds | Thiazoles | Thiabendazole, Etridiazole Ethaboxam | Thiazole biocides possess a wide range of applications. In addition to inhibiting microbial corrosion, it can also be used to control harmful microorganisms in farmland |
| Furan | Fuberidazole, Fenfuram Furalaxyl | Furan biocides have a wide range of biological activities, which can be used for sterilization, insecticidal and so on | |
| Azole | Pyrrolnitrin, Fenpiclonil Fludioxonil | Pyrrole biocides are derived from natural product nitropyrrolidins, among which imidazole methyl pyrrole compounds have the most prominent fungicidal activity | |
| Oxazoles | Ibotenic acid, Hymexazol Famoxadone, Glyodin Imazalil, Oxpoconazole | Oxazoles biocides have a good broad spectrum, bactericidal and permeability | |
| Pyrazoles | Pyrazophos, Furametpyr Pyraclostrobin | Pyrazole fungicide is a new type of heterocyclic biocides, which evolved from pyraclon | |
| Triazoles | Luotrimazole, Imazalil Bayleton, Diniconazole, Triadimenol | Triazole biocides have excellent bactericidal properties and a broad spectrum and are the most widely used biocides | |
| Six-member heterocyclic compounds | Pyrimidines | Ferimzone, Mepanipyrim Cyprodinil, Pyrimethani | Pyrimidines are widely distributed and can be derived from a variety of natural extracts |
| Pyridines | Fiuazinam, Sodium | The research and application of six membered cyclic pyridine | |
| Benzimidazole | Benomyl, Carbendazim | Benzimidazole biocides have the advantages of broad spectrum and low toxicity | |
Disclaimer/Publisher’s Note: The statements, opinions and data contained in all publications are solely those of the individual author(s) and contributor(s) and not of MDPI and/or the editor(s). MDPI and/or the editor(s) disclaim responsibility for any injury to people or property resulting from any ideas, methods, instructions or products referred to in the content. |
© 2023 by the authors. Licensee MDPI, Basel, Switzerland. This article is an open access article distributed under the terms and conditions of the Creative Commons Attribution (CC BY) license (https://creativecommons.org/licenses/by/4.0/).
Share and Cite
Shi, X.; Zhang, R.; Sand, W.; Mathivanan, K.; Zhang, Y.; Wang, N.; Duan, J.; Hou, B. Comprehensive Review on the Use of Biocides in Microbiologically Influenced Corrosion. Microorganisms 2023, 11, 2194. https://doi.org/10.3390/microorganisms11092194
Shi X, Zhang R, Sand W, Mathivanan K, Zhang Y, Wang N, Duan J, Hou B. Comprehensive Review on the Use of Biocides in Microbiologically Influenced Corrosion. Microorganisms. 2023; 11(9):2194. https://doi.org/10.3390/microorganisms11092194
Chicago/Turabian StyleShi, Xin, Ruiyong Zhang, Wolfgang Sand, Krishnamurthy Mathivanan, Yimeng Zhang, Nan Wang, Jizhou Duan, and Baorong Hou. 2023. "Comprehensive Review on the Use of Biocides in Microbiologically Influenced Corrosion" Microorganisms 11, no. 9: 2194. https://doi.org/10.3390/microorganisms11092194
APA StyleShi, X., Zhang, R., Sand, W., Mathivanan, K., Zhang, Y., Wang, N., Duan, J., & Hou, B. (2023). Comprehensive Review on the Use of Biocides in Microbiologically Influenced Corrosion. Microorganisms, 11(9), 2194. https://doi.org/10.3390/microorganisms11092194

