Biologically Assisted One-Step Synthesis of Electrode Materials for Li-Ion Batteries
Abstract
1. Introduction
2. Materials and Methods
2.1. Bacterial Culture and Production of Biomineralized Mn-Oxides in Biofilm
2.2. Kinetics of Manganese Oxide Precipitation with P. putida
2.3. Sample Preparation for Biofilm Analyses
2.4. Abiotic Reference Compounds
- 1 g KMnO4 in 100 mL MQ water (Solution (1));
- 2.4 g MnCl2·4H2O in 100 mL MQ water (Solution (2));
- 0.7 g NaOH in 100 mL MQ water (Solution (3)).
2.5. Biomineral Characterization
2.6. Electrochemical Characterizations in Li Half-Cells
3. Results
3.1. Production of the Electrode: Biomineralized Biofilm Formed by Pseudomonas putida
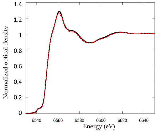
3.2. Characterization of the Electrode Biofilm-MnOx
3.3. Electrochemical Analysis of Biofilm-MnOx
4. Conclusions
Author Contributions
Funding
Data Availability Statement
Acknowledgments
Conflicts of Interest
References
- Post, J.E. Manganese Oxide Minerals: Crystal Structures and Economic and Environmental Significance. Proc. Natl. Acad. Sci. USA 1999, 96, 3447–3454. [Google Scholar] [CrossRef] [PubMed]
- Jennings, C.W.; Vosburgh, W.C. A Proposed Mechanism for Self-Discharge of the Leclanché Cell. J. Electrochem. Soc. 1952, 99, 309. [Google Scholar] [CrossRef]
- Ghosh, S.; Brenet, J.P. Study of the Mechanism of Cathodic Reduction of Gamma Manganese Dioxide in the Leclanche Cell System. Electrochim. Acta 1962, 7, 449–455. [Google Scholar] [CrossRef]
- Thackeray, M.M.; Rossouw, M.H.; de Kock, A.; de la Harpe, A.P.; Gummow, R.J.; Pearce, K.; Liles, D.C. The Versatility of MnO2 for Lithium Battery Applications. J. Power Sources 1993, 43, 289–300. [Google Scholar] [CrossRef]
- Kim, H.; Popov, B.N. Synthesis and Characterization of MnO2-Based Mixed Oxides as Supercapacitors. J. Electrochem. Soc. 2003, 150, D56–D62. [Google Scholar] [CrossRef]
- Brousse, T.; Toupin, M.; Dugas, R.; Athouël, L.; Crosnier, O.; Bélanger, D. Crystalline MnO2 as Possible Alternatives to Amorphous Compounds in Electrochemical Supercapacitors. J. Electrochem. Soc. 2006, 153, A2171–A2180. [Google Scholar] [CrossRef]
- Alfaruqi, M.H.; Mathew, V.; Gim, J.; Kim, S.; Song, J.; Baboo, J.P.; Choi, S.H.; Kim, J. Electrochemically Induced Structural Transformation in a γ-MnO2 Cathode of a High Capacity Zinc-Ion Battery System. Chem. Mater. 2015, 27, 3609–3620. [Google Scholar] [CrossRef]
- Qiu, N.; Chen, H.; Yang, Z.; Sun, S.; Wang, Y. Low-Cost Birnessite as a Promising Cathode for High-Performance Aqueous Rechargeable Batteries. Electrochim. Acta 2018, 272, 154–160. [Google Scholar] [CrossRef]
- Marafatto, F.F.; Lanson, B.; Peña, J. Crystal Growth and Aggregation in Suspensions of δ-MnO2 Nanoparticles: Implications for Surface Reactivity. Environ. Sci. Nano 2017, 5, 497–508. [Google Scholar] [CrossRef]
- Lanson, B.; Drits, V.A.; Silvester, E.; Manceau, A. Structure of H-Exchanged Hexagonal Birnessite and Its Mechanism of Formation from Na-Rich Monoclinic Buserite at Low PH. Am. Mineral. 2000, 85, 826–838. [Google Scholar] [CrossRef]
- Bargar, J.R.; Tebo, B.M.; Bergmann, U.; Webb, S.M.; Glatzel, P.; Chiu, V.Q.; Villalobos, M. Biotic and Abiotic Products of Mn(II) Oxidation by Spores of the Marine Bacillus Sp. Strain SG-1. Am. Mineral. 2005, 90, 143–154. [Google Scholar] [CrossRef]
- Chen, R.; Zavalij, P.; Whittingham, M.S. Hydrothermal Synthesis and Characterization of KxMnO2·yH2O. Chem. Mater. 1996, 8, 1275–1280. [Google Scholar] [CrossRef]
- Chen, R.; Chirayil, T.; Zavalij, P.; Whittingham, M.S. The Hydrothermal Synthesis of Sodium Manganese Oxide and a Lithium Vanadium Oxide. Solid State Ion. 1996, 86–88, 1–7. [Google Scholar] [CrossRef]
- Komaba, S.; Kumagai, N.; Chiba, S. Synthesis of Layered MnO2 by Calcination of KMnO4 for Rechargeable Lithium Battery Cathode. Electrochim. Acta 2000, 46, 31–37. [Google Scholar] [CrossRef]
- Zhu, J.; Shi, W.; Xiao, N.; Rui, X.; Tan, H.; Lu, X.; Hng, H.H.; Ma, J.; Yan, Q. Oxidation-Etching Preparation of MnO2 Tubular Nanostructures for High-Performance Supercapacitors. ACS Appl. Mater. Interfaces 2012, 4, 2769–2774. [Google Scholar] [CrossRef]
- Mirvaux, B.; Recham, N.; Miot, J.; Courty, M.; Bernard, S.; Beyssac, O.; Davoisne, C.; Sougrati, M.; Demortière, A.; Guyot, F.; et al. Iron Phosphate/Bacteria Composites as Precursors for Textured Electrode Materials with Enhanced Electrochemical Properties. J. Electrochem. Soc. 2016, 163, A2139–A2148. [Google Scholar] [CrossRef]
- Miot, J.; Recham, N.; Larcher, D.; Guyot, F.; Brest, J.; Tarascon, J.-M. Biomineralized α-Fe2O3: Texture and Electrochemical Reaction with Li. Energy Environ. Sci. 2014, 7, 451–460. [Google Scholar] [CrossRef]
- Shim, H.W.; Jin, Y.H.; Seo, S.D.; Lee, S.H.; Kim, D.-W. Highly Reversible Lithium Storage in Bacillus Subtilis-Directed Porous Co3O4 Nanostructures. ACS Nano 2011, 5, 443–449. [Google Scholar] [CrossRef] [PubMed]
- Rosant, C.; Avalle, B.; Larcher, D.; Dupont, L.; Friboulet, A.; Tarascon, J.-M. Biosynthesis of Co3O4 Electrode Materials by Peptide and Phage Engineering: Comprehension and Future. Energy Environ. Sci. 2012, 5, 9936–9943. [Google Scholar] [CrossRef]
- Li, Q.; Liu, D.; Jia, Z.; Csetenyi, L.; Gadd, G.M. Fungal Biomineralization of Manganese as a Novel Source of Electrochemical Materials. Curr. Biol. 2016, 26, 950–955. [Google Scholar] [CrossRef] [PubMed]
- Yu, Q.; Morioka, E.; Hirajima, T.; Sasaki, K. Synthesis of Biogenic Mn Oxide and Its Application as Lithium Ion Sieve. In Integration of Scientific and Industrial Knowledge on Biohydrometallurgy; Guiliani, N., Demergasso, C., Quatrini, R., Remonsellez, F., DavisBelmar, C., Levican, G., Parada, P., Barahona, C., Zale, R., Eds.; Trans Tech Publications Ltd.: Stafa-Zurich, Switzerland, 2013; Volume 825, pp. 439–442. ISBN 978-3-03785-891-2. [Google Scholar]
- Galezowski, L.; Recham, N.; Larcher, D.; Miot, J.; Skouri-Panet, F.; Guyot, F. Microbially Induced Mineralization of Layered Mn-Oxides Electroactive in Li Batteries. Front. Microbiol. 2020, 11, 2031. [Google Scholar] [CrossRef] [PubMed]
- Ravichandran, S.; Radhakrishnan, J.; Sengodan, P.; Rajendran, R. Biosynthesis of Copper Oxide Nanoparticle from Clerodendrum Phlomidis and Their Decoration with Graphene Oxide for Photocatalytic and Supercapacitor Application. J. Mater. Sci. Mater. Electron. 2022, 33, 9403–9411. [Google Scholar] [CrossRef]
- Capeness, M.J.; Echavarri-Bravo, V.; Horsfall, L.E. Production of Biogenic Nanoparticles for the Reduction of 4-Nitrophenol and Oxidative Laccase-Like Reactions. Front. Microbiol. 2019, 10, 997. [Google Scholar] [CrossRef] [PubMed]
- Gomez-Bolivar, J.; Mikheenko, I.P.; Orozco, R.L.; Sharma, S.; Banerjee, D.; Walker, M.; Hand, R.A.; Merroun, M.L.; Macaskie, L.E. Synthesis of Pd/Ru Bimetallic Nanoparticles by Escherichia Coli and Potential as a Catalyst for Upgrading 5-Hydroxymethyl Furfural Into Liquid Fuel Precursors. Front. Microbiol. 2019, 10, 1276. [Google Scholar] [CrossRef]
- He, P.; Guo, J.; Lei, L.; Jiang, J.; Li, Q.; Hu, Z.; Su, B.; Fu, Z.; Xie, H. Escherichia Coli Templated Iron Oxide Biomineralization under Oscillation. RSC Adv. 2021, 11, 15010–15016. [Google Scholar] [CrossRef] [PubMed]
- Donlan, R.M. Biofilms: Microbial Life on Surfaces. Emerg. Infect. Dis. 2002, 8, 881–890. [Google Scholar] [CrossRef]
- Tourney, J.; Ngwenya, B.T. Bacterial Extracellular Polymeric Substances (EPS) Mediate CaCO3 Morphology and Polymorphism. Chem. Geol. 2009, 262, 138–146. [Google Scholar] [CrossRef]
- Learman, D.R.; Wankel, S.D.; Webb, S.M.; Martinez, N.; Madden, A.S.; Hansel, C.M. Coupled Biotic–Abiotic Mn(II) Oxidation Pathway Mediates the Formation and Structural Evolution of Biogenic Mn Oxides. Geochim. Cosmochim. Acta 2011, 75, 6048–6063. [Google Scholar] [CrossRef]
- Geszvain, K.; McCarthy, J.K.; Tebo, B.M. Elimination of Manganese(II,III) Oxidation in Pseudomonas Putida GB-1 by a Double Knockout of Two Putative Multicopper Oxidase Genes. Appl. Environ. Microbiol. 2013, 79, 357–366. [Google Scholar] [CrossRef]
- Tebo, B.M.; Bargar, J.R.; Clement, B.G.; Dick, G.J.; Murray, K.J.; Parker, D.; Verity, R.; Webb, S.M. BIOGENIC MANGANESE OXIDES: Properties and Mechanisms of Formation. Annu. Rev. Earth Planet. Sci. 2004, 32, 287–328. [Google Scholar] [CrossRef]
- Brouwers, G.J.; Vijgenboom, E.; Corstjens, P.L.A.M.; Vrind, J.P.M.D. Bacterial Mn2+ Oxidizing Systems and Multicopper Oxidases: An Overview of Mechanisms and Functions. Geomicrobiol. J. 2000, 17, 1–24. [Google Scholar] [CrossRef]
- Villalobos, M.; Toner, B.; Bargar, J.; Sposito, G. Characterization of the Manganese Oxide Produced by Pseudomonas Putida Strain MnB1. Geochim. Cosmochim. Acta 2003, 67, 2649–2662. [Google Scholar] [CrossRef]
- Villalobos, M.; Lanson, B.; Manceau, A.; Toner, B.; Sposito, G. Structural Model for the Biogenic Mn Oxide Produced by Pseudomonas Putida. Am. Mineral. 2006, 91, 489–502. [Google Scholar] [CrossRef]
- Toner, B.; Manceau, A.; Webb, S.M.; Sposito, G. Zinc Sorption to Biogenic Hexagonal-Birnessite Particles within a Hydrated Bacterial Biofilm. Geochim. Cosmochim. Acta 2006, 70, 27–43. [Google Scholar] [CrossRef]
- Parikh, S.J.; Chorover, J. FTIR Spectroscopic Study of Biogenic Mn-Oxide Formation by Pseudomonas Putida GB-1. Geomicrobiol. J. 2005, 22, 207–218. [Google Scholar] [CrossRef]
- Gjermansen, M.; Ragas, P.; Sternberg, C.; Molin, S.; Tolker-Nielsen, T. Characterization of Starvation-Induced Dispersion in Pseudomonas Putida Biofilms. Environ. Microbiol. 2005, 7, 894–906. [Google Scholar] [CrossRef]
- Grote, G.; Krumbein, W.E. Microbial Precipitation of Manganese by Bacteria and Fungi from Desert Rock and Rock Varnish. Geomicrobiol. J. 1992, 10, 49–57. [Google Scholar] [CrossRef]
- Mandernack, K.W.; Post, J.; Tebo, B.M. Manganese Mineral Formation by Bacterial Spores of the Marine Bacillus, Strain SG-1: Evidence for the Direct Oxidation of Mn(II) to Mn(IV). Geochim. Cosmochim. Acta 1995, 59, 4393–4408. [Google Scholar] [CrossRef]
- Polgári, M.; Hein, J.R.; Vigh, T.; Szabó-Drubina, M.; Fórizs, I.; Bíró, L.; Müller, A.; Tóth, A.L. Microbial Processes and the Origin of the Úrkút Manganese Deposit, Hungary. Ore Geol. Rev. 2012, 47, 87–109. [Google Scholar] [CrossRef]
- Wang, X.; Yao, J.; Wang, S.; Pan, X.; Xiao, R.; Huang, Q.; Wang, Z.; Qu, R. Phototransformation of Estrogens Mediated by Mn(III), Not by Reactive Oxygen Species, in the Presence of Humic Acids. Chemosphere 2018, 201, 224–233. [Google Scholar] [CrossRef]
- Ravel, B.; Newville, M. ATHENA, ARTEMIS, HEPHAESTUS: Data Analysis for X-Ray Absorption Spectroscopy Using IFEFITT. J. Synchrotron Radiat. 2005, 12, 537–541. [Google Scholar] [CrossRef] [PubMed]
- Adra, A.; Morin, G.; Ona-Nguema, G.; Menguy, N.; Maillot, F.; Casiot, C.; Bruneel, O.; Lebrun, S.; Juillot, F.; Brest, J. Arsenic Scavenging by Aluminum-Substituted Ferrihydrites in a Circumneutral PH River Impacted by Acid Mine Drainage. Environ. Sci. Technol. 2013, 47, 12784–12792. [Google Scholar] [CrossRef] [PubMed]
- Miot, J.; Lu, S.; Morin, G.; Adra, A.; Benzerara, K.; Küsel, K. Iron Mineralogy across the Oxycline of a Lignite Mine Lake. Chem. Geol. 2016, 434, 28–42. [Google Scholar] [CrossRef]
- Okazaki, M.; Sugita, T.; Shimizu, M.; Ohode, Y.; Iwamoto, K.; deVrinddeJong, E.W.; deVrind, J.P.M.; Corstjens, P. Partial Purification and Characterization of Manganese-Oxidizing Factors of Pseudomonas Fluorescens GB-1. Appl. Environ. Microbiol. 1997, 63, 4793–4799. [Google Scholar] [CrossRef] [PubMed]
- Toner, B.; Fakra, S.; Villalobos, M.; Warwick, T.; Sposito, G. Spatially Resolved Characterization of Biogenic Manganese Oxide Production within a Bacterial Biofilm. Appl. Environ. Microbiol. 2005, 71, 1300–1310. [Google Scholar] [CrossRef]
- Toner, B.; Sposito, G. Reductive Dissolution of Biogenic Manganese Oxides in the Presence of a Hydrated Biofilm. Geomicrobiol. J. 2005, 22, 171–180. [Google Scholar] [CrossRef]
- Zheng, Y.; Li, Y.; Long, H.; Zhao, X.; Jia, K.; Li, J.; Wang, L.; Wang, R.; Lu, X.; Zhang, D. BifA Regulates Biofilm Development of Pseudomonas Putida MnB1 as a Primary Response to H2O2 and Mn2+. Front. Microbiol. 2018, 9, 1490. [Google Scholar] [CrossRef]
- Rühs, P.A.; Böni, L.; Fuller, G.G.; Inglis, R.F.; Fischer, P. In-Situ Quantification of the Interfacial Rheological Response of Bacterial Biofilms to Environmental Stimuli. PLoS ONE 2013, 8, e78524. [Google Scholar] [CrossRef]
- Luo, J.; Zhang, Q.; Suib, S.L. Mechanistic and Kinetic Studies of Crystallization of Birnessite. Inorg. Chem. 2000, 39, 741–747. [Google Scholar] [CrossRef]
- Webb, S.M.; Tebo, B.M.; Bargar, J.R. Structural Characterization of Biogenic Mn Oxides Produced in Seawater by the Marine Bacillus Sp. Strain SG-1. Am. Mineral. 2005, 90, 1342–1357. [Google Scholar] [CrossRef]
- Eren, E.; Gumus, H.; Sarihan, A. Synthesis, Structural Characterization and Pb(II) Adsorption Behavior of K- and H-Birnessite Samples. Desalination 2011, 279, 75–85. [Google Scholar] [CrossRef]
- Grangeon, S.; Lanson, B.; Miyata, N.; Tani, Y.; Manceau, A. Structure of Nanocrystalline Phyllomanganates Produced by Freshwater Fungi. Am. Mineral. 2010, 95, 1608–1616. [Google Scholar] [CrossRef]
- Wang, Y.; Benkaddour, S.; Marafatto, F.F.; Peña, J. Diffusion- and PH-Dependent Reactivity of Layer-Type MnO2: Reactions at Particle Edges versus Vacancy Sites. Environ. Sci. Technol. 2018, 52, 3476–3485. [Google Scholar] [CrossRef] [PubMed]
- Dvoranová, D.; Brezová, V.; Mazúr, M.; Malati, M.A. Investigations of Metal-Doped Titanium Dioxide Photocatalysts. Appl. Catal. B Environ. 2002, 37, 91–105. [Google Scholar] [CrossRef]
- Kim, S.S.; Bargar, J.R.; Nealson, K.H.; Flood, B.E.; Kirschvink, J.L.; Raub, T.D.; Tebo, B.M.; Villalobos, M. Searching for Biosignatures Using Electron Paramagnetic Resonance (EPR) Analysis of Manganese Oxides. Astrobiology 2011, 11, 775–786. [Google Scholar] [CrossRef]
- Stoyanova, R.; Zhecheva, E.; Vassilev, S. Mn4+ Environment in Layered Li[Mg0.5-XNiMn0.5]O Oxides Monitored by EPR Spectroscopy. J. Solid State Chem. 2006, 179, 378–388. [Google Scholar] [CrossRef]
- Stoyanova, R.; Gorova, M.; Zhecheva, E. EPR of Mn4+ in Spinels Li1+xMn2−xO4 with 0 ≤ x ≤ 0.1. J. Phys. Chem. Solids 2000, 61, 609–614. [Google Scholar] [CrossRef]
- Stoyanova, R.; Gorova, M.; Zhecheva, E. EPR Monitoring of Mn4+ Distribution in Li4Mn5O12 Spinels. J. Phys. Chem. Solids 2000, 61, 615–620. [Google Scholar] [CrossRef]
- Kakazey, M.; Ivanova, N.; Sokolsky, G.; Gonzalez-Rodriguez, J.G. Electron Paramagnetic Resonance of MnO2 Powders. Electrochem. Solid-State Lett. 2001, 4, J1. [Google Scholar] [CrossRef]
- Najafpour, M.M.; Kompany-Zareh, M.; Zahraei, A.; Sedigh, D.J.; Jaccard, H.; Khoshkam, M.; Britt, R.D.; Casey, W.H. Mechanism, Decomposition Pathway and New Evidence for Self-Healing of Manganese Oxides as Efficient Water Oxidizing Catalysts: New Insights. Dalton Trans. 2013, 42, 14603–14611. [Google Scholar] [CrossRef]
- Silvester, E.; Manceau, A.; Drits, V.A. Structure of Synthetic Monoclinic Na-Rich Birnessite and Hexagonal Birnessite; II, Results from Chemical Studies and EXAFS Spectroscopy. Am. Mineral. 1997, 82, 962–978. [Google Scholar] [CrossRef]
- Palmer, J.; Flint, S.; Brooks, J. Bacterial Cell Attachment, the Beginning of a Biofilm. J. Ind. Microbiol. Biotechnol. 2007, 34, 577–588. [Google Scholar] [CrossRef]
- Chen, X.B.; Wang, C.; Ye, F.M.; Zhu, Q.; Du, G.; Zhong, Y.; Peng, X.; Jiang, J.Z. Phase Transition of Manganese (Oxyhydr)Oxides Nanofibers and Their Applications to Lithium Ion Batteries and Separation Membranes. CrystEngComm 2012, 14, 3142. [Google Scholar] [CrossRef]
- Katkar, P.K.; Marje, S.J.; Pujari, S.S.; Khalate, S.A.; Deshmukh, P.R.; Patil, U.M. Single-Pot Hydrothermal Synthesis of Manganese Phosphate Microrods as a Cathode Material for Highly Stable Flexible Solid-State Symmetric Supercapacitors. Synth. Met. 2020, 267, 116446. [Google Scholar] [CrossRef]
- Hill, L.I.; Verbaere, A.; Guyomard, D. MnO2 (α-, β-, γ-) Compounds Prepared by Hydrothermal-Electrochemical Synthesis: Characterization, Morphology, and Lithium Insertion Behavior. J. Power Sources 2003, 119–121, 226–231. [Google Scholar] [CrossRef]
- Yin, J.; Takeuchi, E.S.; Takeuchi, K.J.; Marschilok, A.C. Synthetic Control of Manganese Birnessite: Impact of Crystallite Size on Li, Na, and Mg Based Electrochemistry. Inorg. Chim. Acta 2016, 453, 230–237. [Google Scholar] [CrossRef]
- Huang, M.; Zhang, Y.; Li, F.; Zhang, L.; Ruoff, R.S.; Wen, Z.; Liu, Q. Self-Assembly of Mesoporous Nanotubes Assembled from Interwoven Ultrathin Birnessite-Type MnO2 Nanosheets for Asymmetric Supercapacitors. Sci. Rep. 2014, 4, 3878. [Google Scholar] [CrossRef] [PubMed]
- Manthiram, A.; Kim, J. Low Temperature Synthesis of Insertion Oxides for Lithium Batteries. Chem. Mater. 1998, 10, 2895–2909. [Google Scholar] [CrossRef]
- Busalmen, J.P.; de Sanchez, S.R. Electrochemical Polarization-Induced Changes in the Growth of Individual Cells and Biofilms of Pseudomonas Fluorescens (ATCC 17552). Appl. Environ. Microbiol. 2005, 71, 6235–6240. [Google Scholar] [CrossRef]
- Duan, D.X.; Lin, C.G. Effect of Surface Free Energy and Electrochemical Polarization on Attachment of Sulfate Reducing Bacteria. Adv. Mater. Res. 2011, 199–200, 1967–1972. [Google Scholar] [CrossRef]












| Rich Medium | Mineralization Medium | ||
|---|---|---|---|
| Composition | Concentration | Composition | Concentration |
| Beef extract | 3 g/L | HEPES | 10 mM |
| Peptone | 5 g/L | (NH4)2SO4 | 2 mM |
| MnSO4·H2O | 50 µM | NaCl | 0.7 mM |
| Glucose | 1 mM | ||
| MnSO4·H2O | 0.2 mM | ||
Disclaimer/Publisher’s Note: The statements, opinions and data contained in all publications are solely those of the individual author(s) and contributor(s) and not of MDPI and/or the editor(s). MDPI and/or the editor(s) disclaim responsibility for any injury to people or property resulting from any ideas, methods, instructions or products referred to in the content. |
© 2023 by the authors. Licensee MDPI, Basel, Switzerland. This article is an open access article distributed under the terms and conditions of the Creative Commons Attribution (CC BY) license (https://creativecommons.org/licenses/by/4.0/).
Share and Cite
Galezowski, L.; Recham, N.; Larcher, D.; Miot, J.; Skouri-Panet, F.; Ahouari, H.; Guyot, F. Biologically Assisted One-Step Synthesis of Electrode Materials for Li-Ion Batteries. Microorganisms 2023, 11, 603. https://doi.org/10.3390/microorganisms11030603
Galezowski L, Recham N, Larcher D, Miot J, Skouri-Panet F, Ahouari H, Guyot F. Biologically Assisted One-Step Synthesis of Electrode Materials for Li-Ion Batteries. Microorganisms. 2023; 11(3):603. https://doi.org/10.3390/microorganisms11030603
Chicago/Turabian StyleGalezowski, Laura, Nadir Recham, Dominique Larcher, Jennyfer Miot, Fériel Skouri-Panet, Hania Ahouari, and François Guyot. 2023. "Biologically Assisted One-Step Synthesis of Electrode Materials for Li-Ion Batteries" Microorganisms 11, no. 3: 603. https://doi.org/10.3390/microorganisms11030603
APA StyleGalezowski, L., Recham, N., Larcher, D., Miot, J., Skouri-Panet, F., Ahouari, H., & Guyot, F. (2023). Biologically Assisted One-Step Synthesis of Electrode Materials for Li-Ion Batteries. Microorganisms, 11(3), 603. https://doi.org/10.3390/microorganisms11030603

