Next Article in Journal
Thermo-Structural and Dynamic Performance Analysis of a 42CrMo4 Steel Ball Screw Assembly
Previous Article in Journal
Active Fault-Tolerant Method for Navigation Sensor Faults Based on Frobenius Norm–KPCA–SVM–BiLSTM
 
 
Font Type:
Arial Georgia Verdana
Font Size:
Aa Aa Aa
Line Spacing:
Column Width:
Background:
Article

Analysis of Interrupting Energy Variations in MCCBs Under Repetitive Fault Conditions in Accelerator Environments

1
Department of Electric and Battery Engineering, Inje University, 197 Inje-ro, Gimhae-si 50834, Gyeongsangnam-do, Republic of Korea
2
Department of Electrical and Control Engineering, Cheongju University, 298 Daeseong-ro, Cheongwon-gu, Cheongju-si 28503, Chungcheongbuk-do, Republic of Korea
3
School of Social Safety System Engineering, Research Center for Safety and Health, Hankyoung National University, 327 Chungang-ro, Anseong-si 17579, Gyeonggi-do, Republic of Korea
*
Authors to whom correspondence should be addressed.
Actuators 2026, 15(1), 65; https://doi.org/10.3390/act15010065
Submission received: 22 December 2025 / Revised: 9 January 2026 / Accepted: 15 January 2026 / Published: 19 January 2026

Abstract

This study quantitatively analyzed the effects of repetitive fault currents occurring in an accelerator environment on the breaking performance of molded-case circuit breakers (MCCBs). To this purpose, four MCCB samples are subjected to one, two, and three repeated fault tests. The interrupting process is divided into the arc stretch and moving (t1–t2) section and the absorption in the splitter plate (t2–t3) section, and the energy and time are analyzed. The experimental results show that the total energy consumption increased by an average of 1.8–1.9 times in the second and third tests compared to the first test, and the interruption time is also extended by 1.6–2.0 times. In particular, the energy increase rate in the t2–t3 section is the highest, at an average of 220%, indicating that the splitter plate is thermally saturated and significantly affected by hot gas due to repeated breaking. These results imply that the thermal and electrical performances of MCCBs deteriorates in a repetitive fault environment, with the interrupting speed delayed and internal energy loss increased. This study suggests the possibility of energy-based condition diagnosis using the energy consumption ratio of each section. Furthermore, the ratios can be used as basic data for evaluating the reliability of circuit breakers under repetitive failure conditions and building predictive maintenance models.

1. Introduction

Accelerator systems are large-scale facilities composed of various subsystems, including power supplies, RF devices, cooling and vacuum systems, controls, and interlock systems. These systems require both a high power density and fast response. Due to these characteristics, a failure in a single component can trigger a cascading trip in the entire system. During accelerator operation, a single fault signal often does not appear as an isolated event but rather as a series of repetitive, pulse-type fault waveforms occurring at intervals of several milliseconds. This is primarily caused by overlapping phenomena such as arc-detection-circuit signals in the RF system, noise from vacuum gauges, and switching noise from power converters, which collectively induce multiple triggering events.
Such repetitive fault signals not only degrade the stability of the control system but may also impose cumulative electrical and mechanical stress on the MCCB (molded-case circuit breaker), which performs the actual interruption operation. In accelerator environments, where high-speed interlock re-entry, minor abnormalities in high-voltage RF power, and pulsed load fluctuations occur simultaneously, these effects become even more pronounced. Therefore, to enhance the reliability of accelerator systems, it is essential not only to improve the response speed of the protection system but also to quantitatively analyze the behavior and characteristic variations in the MCCB when exposed to repetitive fault waveforms.
The MCCB is a key circuit breaker responsible for protecting circuits in medium- and low-voltage power systems. In the event of overcurrent or short-circuit faults, it rapidly disconnects the circuit through electromagnetic and thermomechanical trip mechanisms. Arc generation and interruption at the contact point are nonlinear phenomena in which high-power energy is concentrated within an extremely short period. Repeated switching operations or thermal and mechanical stress can cause performance degradation. The reliability and durability of MCCBs are directly linked to the overall safety of electrical installations, making it crucial to quantitatively evaluate their degradation behavior under long-term operating conditions. In particular, contact wear and variations in arc power can lead to fluctuations in interruption characteristics, resulting in increased breaking time or incomplete interruption.
Various studies have been conducted on the operating characteristics of circuit breakers due to inflow overcurrent. A study was conducted to measure the dielectric recovery voltage between the two electrode structures and analyze its effects and characteristics according to each experimental circuit [1,2,3] and a study was conducted to analyze the internal structure and type of circuit breaker by applying it to an MCCB [4]. In addition, an analysis of the influencing factors was conducted through the measurement of the dielectric recovery characteristics according to the material and shape of the splitter plate [5], and a study was conducted on the operating characteristics of the circuit breaker according to the type and distribution of the medium and internal gas of the arc-extinguishing part [6]. Also, a study was conducted to analyze the change in blocking operation by the overcurrent repeatedly flowing in an electric railway system according to the magnitude of the incoming overcurrent [7,8]. For the reliability of low-voltage circuit breakers, the reliability deterioration of machinery, electronics, and contact systems under vibration, temperature, and EMI conditions is analyzed [9]. Furthermore, a small operation unit using magnetic circuits for application in a limited installation space has also been designed [10]. Since MCCB has various installed environments, diverse studies are being conducted in consideration of not only the operating characteristics of the device itself but also the influence of the external environment.
Recent studies have actively proposed diagnostic methods for quantitatively evaluating the condition of circuit breakers using the concepts of arcing power or arcing energy derived from current and voltage waveforms. Feizifar and Usta (2019) proposed an algorithm to estimate contact wear by calculating the instantaneous arcing power generated at breaker contacts in real time, demonstrating the feasibility of early detection of contact degradation during repetitive switching operations [11]. Li et al. (2023) introduced a degradation detection method based on breakdown current sequences, considering variations in contact gap and critical breakdown field strength. Their study experimentally verified that mechanical and electrical degradation are reflected in the breaker’s operation waveforms, and that waveform-based indicators exhibit higher sensitivity than conventional metrics such as trip count or breaking time [12]. Furthermore, Feizifar and Usta (2017) physically modeled the voltage–current waveforms within the internal arc region of circuit breakers and proposed a fault detection algorithm based on arc duration and integrated arc power [13]. This study demonstrated the practical effectiveness of waveform-based diagnostics by quantitatively assessing contact behavior under repetitive interruption or abnormal trip conditions. A study is conducted to numerically and experimentally evaluate the effect of changes in the drive circuit on actuator motion response and energy consumption [14]. In order to evaluate the thermal and degradation effects of the spring drive in a low-voltage circuit breaker, a study is also conducted to analyze the effect of a temperature increase on the operating characteristics through numerical analysis [15]. In addition, in the field of HVDC, to address the communication failure and failure persistence of LCC-based systems, CLCC is proposed as a fault ride-through (FRT) strategy to eliminate rectification failures and limit transient overcurrent and overvoltage through simulation under various fault conditions [16].
These previous studies commonly emphasize that the internal arc power and energy distributions of circuit breakers reflect their degradation states, thereby validating the potential of energy-based diagnostic approaches. However, most of the existing research has focused on static analysis of singular interruption events, without sufficient discussion on the cumulative effects of repetitive fault currents that frequently occur in industrial environments. In accelerator systems, where high-speed interlock signals, high-voltage RF power fluctuations, and pulsed loads are superimposed, continuous fault signals may induce cumulative variations in the electrical and mechanical behavior of circuit breakers. Thus, further investigation is required.
In this study, to reproduce repetitive fault conditions that can occur during accelerator operation, three consecutive fault current injection experiments are conducted on the same MCCB. The voltage waveform obtained from each experiment is divided into three sections for detailed analysis. In particular, the variations in energy dissipation ratios in the second and third sections are compared to examine inter-test correlations, since energy consumption in a circuit breaker represents its interruption performance. Based on this approach, an energy-based framework is derived to evaluate the operational stability and degradation tendency of circuit breakers under repetitive fault conditions.

2. Characteristics of Molded-Case Circuit Breakers

An MCCB is installed to protect electrical equipment and personnel by isolating circuits from any overcurrent caused by internal or external faults in a power system. To achieve this, the MCCB must maintain proper contact between electrodes to allow normal current flow while also quickly and accurately detecting overcurrent and separating the contacts when a fault occurs. To perform these functions successfully, an MCCB mainly consists of three components. The first component is the sensing unit, which detects overcurrent. Generally, the sensing unit employs thermal, instantaneous, and short-circuit-tripping mechanisms based on the magnitude of the overcurrent, which is typically defined as a multiple of the rated current. The second component is the operating mechanism, which separates the contacts once an overcurrent is detected. This mechanism usually utilizes a spring-driven system to ensure rapid movement during contact separation. The final component is the arc-extinguishing unit, which eliminates the arc generated during contact separation. This unit dissipates the energy of the fault current and facilitates the elongation, cooling, and division of the arc.
The interruption process occurs before the current zero point. In particular, the arc-extinguishing unit absorbs the overcurrent energy, thereby reducing the current magnitude and shortening the time to reach current zero—this is known as the current-limiting effect. After current zero, dielectric recovery characteristics become important, especially when residual hot gases remain in the contact gap after arc extinction.

2.1. The Interruption Process of an MCCB

The interruption operation of an MCCB takes place from the moment overcurrent is detected until the current reaches zero. Figure 1 illustrates a schematic diagram of this interruption process.
When the sensing unit detects the incoming overcurrent, the operating mechanism is activated via the stator, separating the movable contact from the fixed contact. During this separation, a high-temperature and high-pressure arc is generated between the contacts, accompanied by the formation of hot gases within the arc-extinguishing unit.
The arc then moves toward the splitter plates under the combined effects of the Lorentz force, gas pressure, and the arc runner inside the chamber. Upon reaching the splitter plates, the arc undergoes the processes of cooling, elongation, and division, leading to extinction. Additionally, energy dissipation at the splitter plates limits the fault current magnitude and advances the interruption timing, resulting in a current-limiting effect.
The entire interruption process can also be observed in the voltage waveform. Figure 2 shows both the voltage across the breaker terminals and the current waveform during the interruption. When overcurrent occurs, the waveform reflects the contact resistance between the electrodes. After the sensing unit detects the fault, the contacts begin to separate, causing a slight rise in the voltage—this corresponds to the period during which the contact gap widens. As the arc length increases, the voltage gradually rises.
After this gradual increase, a steep and oscillating voltage waveform appears, indicating the moment when the arc reaches the splitter plates, driven by the Lorentz force, gas pressure, and arc runner. The energy dissipation at the splitter plates causes a reduction in current, and the arc is finally extinguished at the subsequent current zero.
As a result, the high-temperature/pressure arc generated during the separation of the electrodes is limited when energy is lost as soon as it reaches the splitter plate while moving and extending during the interruption operation. In addition, in this process the arc extinction unit, including the splitter plate, consumes energy and deteriorates at the same time.

2.2. Section Classification According to Interruption Process

Figure 3 illustrates the classification of specific time points during the interruption process according to contact separation and arc behavior. After the inflow of overcurrent, the moment when the contacts begin to separate is defined as t1, and the moment when the moving arc reaches the splitter plate is defined as t2. The duration between these two events is represented as t21.
Similarly, if current zero is denoted as t3, the interval from t2 to t3, where energy is dissipated at the splitter plate, is represented as t32 [17]. In particular, the moment t2, when the arc reaches the splitter plate, corresponds to a steep increase in the slope of the gradually rising voltage waveform. Therefore, the total arcing time during which the arc is sustained after contact separation can be expressed as t31.
Additionally, in the time before detecting the overcurrent (<t1), a mechanical force and an electrodynamic reaction occur to separate the contact point [18]. These forces are as follows:
F o p e n = F M e c h + F E d = F M e c h + F H o l m + F L o r e n t z
Most MCCBs take about 2 ms to separate contact points after the overcurrent inflows. In this process, the Lorentz and Holm forces play a major role in the overall open force. First, the Holm force is an electromagnetic repulsion due to the generated magnetic flux density, in which the current is concentrated in a very small area between the contacts before the contacts are opened. This is expressed as follows:
F H o l m = μ 0 I 2 8 π × l n ( 8 π H A μ 0 I 2 )
where I is the current, H is the hardness of the material, and A is the area of the electrode. This force exerts a force during contact, and the force decreases exponentially as the electrode begins to separate. The maximum value of this force can be affected by the contact point area, but it is ignored due to the weak force in most cases.
The current direction of the fixed electrode in the MCCB and the current direction of the moving electrode are set in the opposite direction. In general, the direction of rotation of a magnetic field is determined by the direction of the current. When the current direction of two adjacent straight conductors is reversed, the direction of the generated magnetic field is set in the opposite direction. This strengthens the magnetic field between the two conductors, resulting in a Lorentz force that moves the two electrodes away. This force can be represented as follows:
F L o r e n t z = 2 × 10 7 I 2 × l e d e
where le is the length of the electrode arm and de is the distance between the electrodes. Large inflow currents can affect the Lorentz force not only before the contact is opened, but also after the contact is opened.

3. Experimental Set-Ups and Conditions

3.1. Experimental Set-Ups

To experimentally analyze the effect of thermal gas adsorption on the splitter plate within the arc-extinguishing unit caused by repetitive overcurrent inflow, a power supply capable of simulating overcurrent beyond the rated level is constructed. The system is designed to allow fault currents in the short-circuit-tripping region—beyond the rated current—so that the sensing and operating mechanisms of the MCCB can function properly and generate sufficient thermal gases.
Previous studies mainly used discharge circuits employing capacitor banks and inductors [1], or systems in which voltage and current are separately applied to the test sample [6]. In this study, however, a simplified discharge circuit is adopted because of its ease of capacity adjustment and simple structure. Figure 4a shows the overall experimental configuration of the overcurrent generation system, and Figure 4b presents its circuit diagram.
The experimental set-up has a limitation in that it does not satisfy all electrical conditions of the accelerator-driving environment (short repetition period and difference in energy amount, etc.). However, it has a durability, structure, and energy level suitable for simulating the effects of repeated inflows on the performance change in circuit breakers linked to these environmental conditions.
The commercial power source (220 V, 60 Hz) is stepped-up using a transformer and rectified through a diode bridge to charge the capacitor bank (C). An inductor (L) is used to adjust the output current frequency. In the forward direction, when a gate signal is applied to the thyristor (Thyr.), the overcurrent flows through the connected MCCB; in the reverse direction, the diode (D) and resistor (R) control the current magnitude and flow path. The thyristor used is the MCC312-16io1 model, which provides high reverse voltage tolerance, manufactured by Mitsubishi Electric, Tokyo, Japan. The diode used is the MPKC2SA200U60 model, connected in parallel, manufactured by Mitsubishi Electric, Tokyo, Japan. Specifically, resistor is 2.5 Ω, the capacitor bank has a charging voltage of 640 V with a total capacitance of 17 268.64 μF, and the inductor value is 0.4074 mH, corresponding to a resonant frequency of 60 Hz. Under these conditions, the output fault current is approximately 2.8 kA, which is about 70 times the rated current of the tested MCCB. Thus, the MCCB operated in the short-circuit-tripping mode using electromagnetic repulsion. Table 1 summarizes the specifications of each component in the overcurrent inflow system.

3.2. Experimental Conditions

Figure 5a presents the internal structure of the tested MCCB, and Figure 5b shows the experimental sequence. The tested MCCB is a Schneider EZC100H3040, rated at 40 A, 3-pole, and 100 AF, manufactured by Schneider Electric, Rueil-Malmaison, France. Since this model is a representative model that shows the basic internal structure and operation characteristics of an MCCB, it is selected as the test equipment. Four MCCB units are tested. In each test, an overcurrent about 70 times the rated current is repeatedly applied, and the voltage waveforms across the breaker are recorded for each repetition to analyze the variation in voltage during the arcing time. Between tests, a 10 min resting period is provided to allow sufficient recovery of the contact surface and gas ventilation through manual switching operations.
In general, estimating the population by increasing the number of sample groups is highly reliable for data testing, but by applying an overcurrent of about 70 times the rating a clear change in performance between experiments is confirmed by the experimental results. In addition, the number of experiments for each unit is set to 3 because the internal structure of the circuit breaker is greatly damaged in experiments over that number.
In the experimental sequence shown in Figure 5, the first experiment in which no overcurrent is inflow is used as a control group to determine the criteria, and then the measured values after repeated inflows are used as an experimental group to analyze the performance changes.
Various external factors such as temperature, vibration, and electromagnetic interference may occur in the circuit breaker installed in the system linked to the driving environment of the accelerator. In the case of temperature, the opening time and energy consumption rate can be changed by affecting the resistance of the circuit breaker contact conductor and the internal structure, and vibration can delay the operation of the mechanism. The electromagnetic interference can also affect the arc behavior and the parasitic component of the splitter plate.
However, since these changes have a common effect on the entire interruption operation, it is judged that the performance changes caused by repeated inflows can be analyzed through the relevant experimental sequences.
Unlike previous studies, these experimental conditions are a new approach to indirectly measure and analyze the deterioration of circuit breakers through voltage waveforms, defining them from an energy perspective for each section of interruption behavior.

4. Results

For each experiment, the voltage waveform across the MCCB terminals during the interruption process is measured while recording the timing of t1 (contact separation), t2 (arrival of the arc at the splitter plate), and t3 (current zero). Because the interval before contact separation shows negligible influence from the arc and hot gases, the performance degradation due to repetitive overcurrent is analyzed mainly from contact separation (t1) to current zero (t3). The total arcing time is defined as t31, consisting of t21 (arc stretching and moving) and t32 (energy absorption at the splitter plate).
Due to the MCCB’s current-limiting effect, the current waveform exhibited smooth double-exponential decays and nearly identical shapes across all the tests, as the current always reached zero at the same instant. Therefore, the energy dissipated during each phase is evaluated from the voltage waveform area, allowing estimation of performance variation through changes in consumed energy under repetitive overcurrent conditions (Figure 6).
The experimental data are presented as ratios relative to the energy and time values obtained in the first experiment, which is taken as the reference (100%). The results of the second and third experiments indicate how many times larger the measured values are compared to the reference.
Three evaluation intervals are defined for energy and time analysis: the arc stretch and moving interval (t1–t2), the absorption in splitter plate interval (t2–t3), and the total arcing time interval (t1–t3) which encompasses both of the previous intervals. By examining the energy consumption and the time duration in each interval as the repetitive experiments progressed, the performance of the circuit breaker under repetitive fault conditions is evaluated.
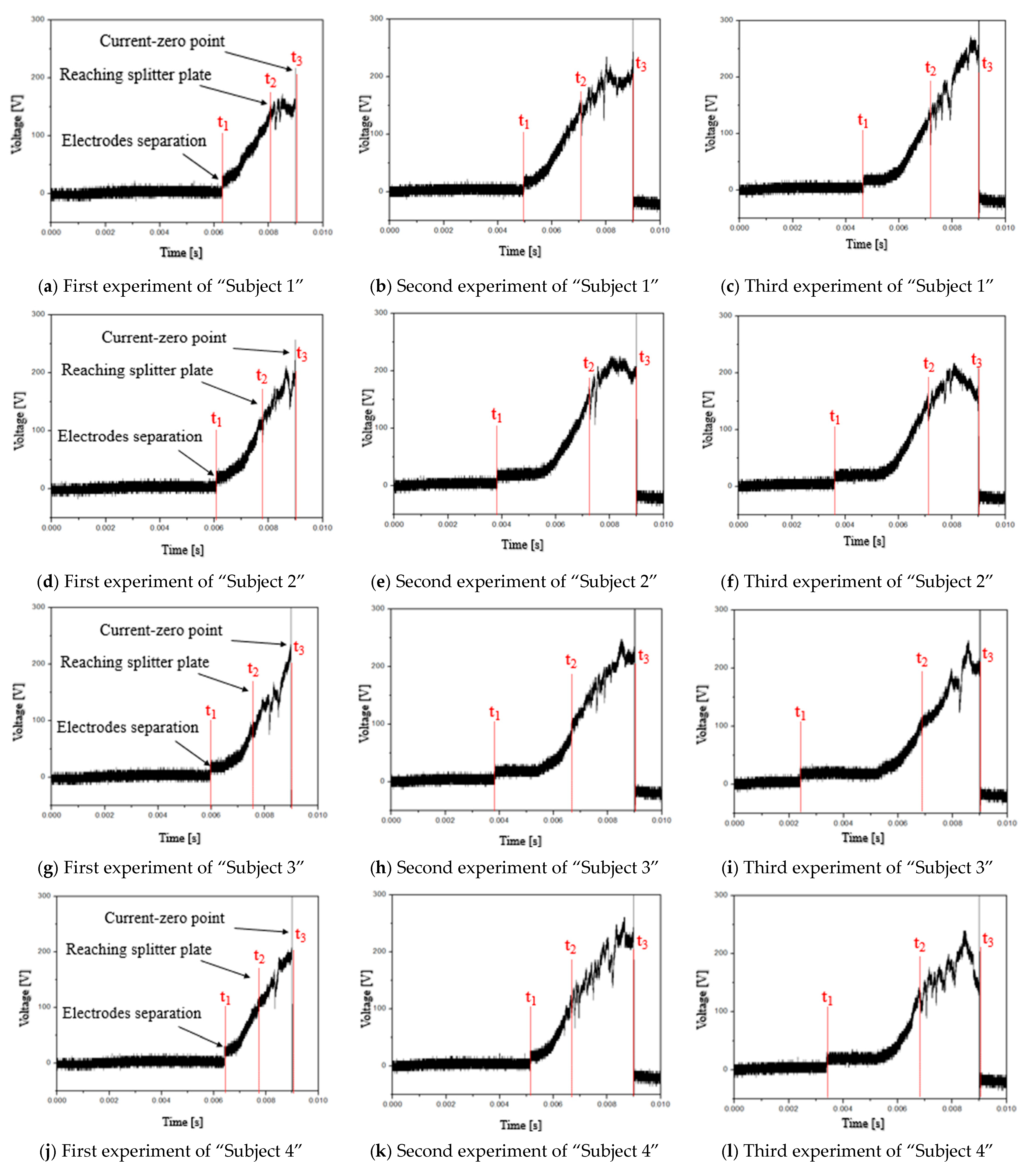
Figure 7 shows the voltage waveforms obtained from four subjects. Each MCCB is experimented on repeatedly from the first to the third trial. Table 2 provides the quantitative results corresponding to these waveforms. It presents the energy and time values for each interval, with the first results set to 100%, and indicates how the second and third results changed in percentage relative to the reference.
The characteristic values for each interval are summarized as follows. First, the analysis is based on energy. In the total arcing time (t31) interval, the energy values of the second and third experiments are distributed between 170% and 190% of the first experiment. The average increase rates are 185.3% and 184.5%, respectively. Overall, the total energy consumption increased sharply compared with the first experiment.
In the arc stretch and moving (t21) interval, the ratios showed some variation but generally increased, with average increase rates of 135.3% for the second experiment and 155.5% for the third experiment, indicating a gradual upward trend as the repetitions increased. The absorption in splitter plate (t32) interval exhibited the highest growth rates, with 220.3% and 217.3% for the second and third experiments, respectively. Although the difference between the second and third results is small, both showed a large gap compared with the first experiment.
Next, the analysis is based on time. In terms of interruption duration, different trends are observed for each interval. In the total arcing time (t31) interval, the values ranged from 150% to 210% of the first experiment, with average increase rates of 161.3% for the second experiment and 195.0% for the third. This indicates that the total interruption time increased significantly compared with the first experiment, and that the third experiment required more time than the second experiment. In the arc stretch and moving (t21) interval, the duration also increased, showing average rates of 151.3% and 210.0% for the second and third experiments, respectively. This interval also exhibited a gradual increase with more repetitions. The absorption in splitter plate (t32) interval showed the largest increase in time, but the difference between the second and third experiments is minimal, with average increase rates of 182.0% and 182.8%, respectively. Overall, the total interruption time increased with repeated experiments, and this increase is primarily due to the time growth in the arc stretch and moving (t21) interval.
In terms of energy, the amount of energy consumed increased sharply as the experiments were repeated, indicating a decrease in interruption performance. This is because the internal condition of the breaker changed to a higher resistance state due to the accumulation of thermal gases and other byproducts. The small difference between the second and third experiments suggests that saturation occurred after the second experiment, since the applied current was approximately 70 times the rated current. When examining the detailed intervals, the absorption in splitter plate (t32) interval showed a much larger increase than the arc stretch and moving (t21) interval. This is because the t32 interval involves direct contact with the splitter plate, where energy is dissipated more heavily and the effect of thermal gases is stronger than in the arc-in-air phase. Similarly, the interruption time also increased overall. The most significant increase occurred in the absorption in splitter plate (t32) interval, where surface damage of the splitter plate is aggravated by repeated thermal gas exposure, resulting in a greatly increased interruption time. In the arc stretch and moving (t21) interval, the duration gradually increased from the second to third experiments, indicating that saturation had not yet been reached and that the interruption performance continued to deteriorate with repeated faults.
What has been found in this study is that it is possible to indirectly measure the degradation occurring in the actual internal structure based on the energy consumption of the splitter plate through the measurement of the voltage waveform. By using this measurement method, the degree of deterioration of the circuit breaker can be determined in a non-destructive way and can be used as a diagnostic criterion in selecting the time of maintenance and replacement.

5. Conclusions

In this study, an analysis of interrupting energy variations in MCCBs under repetitive fault conditions in accelerator environments was conducted. Through repetitive fault current injection experiments, it was quantitatively confirmed that the interrupting performance of an MCCB changes depending on the number of fault occurrences.
Compared with the first experiment, the second and third experiments showed an increase of approximately 1.8–1.9 times for total energy consumption and 1.6–2 times for interruption duration. This indicates that performance degradation occurs due to contact damage and surface deterioration of the splitter plate caused by thermal gases generated during repetitive interruption processes. As a result, under repetitive fault conditions the circuit breaker exhibited delayed interruption speed, reduced energy absorption efficiency, and a tendency toward thermal saturation. Therefore, in accelerator and high-speed power systems where repetitive tripping or multiple fault pulses occur, it is necessary to monitor the condition of the circuit breaker based on the energy consumption ratio of each interval, rather than simply on the number of tripping events.
The results of this study can serve as fundamental data for the development of energy-based diagnostic algorithms and predictive maintenance models, and are significant in providing a physical basis for the reliability assessment of circuit breakers under repetitive fault conditions.
In future works, data-based statistical analysis will be performed by using the results of repeated experiments on sufficient samples, along with the analysis of the generation of heat gas and energy consumption in the splitter plate.

Author Contributions

Experiment, Y.-M.C. and K.-A.L.; Software, H.-K.J.; Writing—original draft preparation, Y.-M.C.; Writing—result analysis, K.-A.L.; Writing—review and editing, K.-A.L.; Project administration, H.-K.J. and K.-A.L.; Funding acquisition, H.-K.J. All authors have read and agreed to the published version of the manuscript.

Funding

This work was supported by the National Research Foundation of Korea(NRF) grant funded by the Korea government (MSIT) (No. NRF-RS-2022-00143178); Regional Innovation System & Education (RISE) program through the (Chungbuk Regional Innovation System & Education Center), funded by the Ministry of Education (MOE) and the (Chungcheongbuk-do), Republic of Korea (2025-RISE-11-013-03); Korea Institute for Advancement of Technology (KIAT) grant funded by the Korea Government (MOTIE) (P0020536, HRD Program for Industrial Innovation).

Institutional Review Board Statement

Not applicable.

Informed Consent Statement

Not applicable.

Data Availability Statement

Data is contained within the article.

Conflicts of Interest

The authors declare no conflict of interest.

References

  1. Chen, D.; Li, X.; Dai, R. Measurement of the dielectric recovery strength and reignition of AC contactors. IEICE Trans. Electron. 2005, 88, 1641–1646. [Google Scholar] [CrossRef]
  2. Shea, J.J. The influence of arc chamber wall material on arc gap dielectric recovery voltage. IEEE Trans. Compon. Packag. Technol. 2001, 24, 342–348. [Google Scholar] [CrossRef]
  3. Iturregi, A.; Barbu, B.; Torres, E.; Berger, F.; Zamora, I. Electric Arc in Low Voltage Circuit Breakers: Experiments and Simulation. IEEE Trans. Plasma Sci. 2016, 45, 113–120. [Google Scholar] [CrossRef]
  4. Cho, Y.-M.; Rhee, J.-H.; Baek, J.-E.; Ko, K.-C. Implementing a Dielectric Recovery Strength Measuring System for Molded Case Circuit Breakers. J. Electr. Eng. Technol. 2018, 13, 1751–1757. [Google Scholar]
  5. Cho, Y.M.; Lee, K.A. Experimental Study on Splitter Plate for Improving the Dielectric Recovery Strength of Low-Voltage Circuit Breaker. Electronics 2020, 9, 2148. [Google Scholar] [CrossRef]
  6. Shea, J.J. Gassing arc chamber wall material effect on post current-zero recovery voltage breakdown. IEEE Trans. Compon. Packag. Technol. 2004, 27, 40–50. [Google Scholar] [CrossRef]
  7. Cho, Y.M.; Rhee, J.H. Analysis of Interruption performance of Molded Case Circuit Breaker for Railway Electric Facilities according to Inflow Number of Over-current. J. Korean Soc. Railw. 2023, 26, 792–797. [Google Scholar] [CrossRef]
  8. Cho, Y.M.; Lee, K.A. Analysis of Changes in Interruption Performance of Molded Case Circuit Breaker for Railway Electric Power Facilities according to Over-current inflow. J. Korean Soc. Railw. 2025, 28, 363–369. [Google Scholar] [CrossRef]
  9. Long, L.; Cheng, S.; Zhang, W.; Yue, M. Reliability Study of Low-Voltage Electrical Appliances in Transportation Applications. Actuators 2025, 14, 522. [Google Scholar] [CrossRef]
  10. Huang, Y.-W.; Chung, H.-W.; Chen, Y.-M.; Liu, C.-S.; Chen, M.-F. Development of Spherical Actuator with L-Shaped Yoke. Actuators 2025, 14, 30. [Google Scholar] [CrossRef]
  11. Feizifar, B.; Usta, O. A Novel Arcing Power-Based Algorithm for Condition Monitoring of Electrical Wear of Circuit Breaker Contacts. IEEE Trans. Power Deliv. 2019, 34, 1060–1068. [Google Scholar] [CrossRef]
  12. Li, L.; Wang, B.; Liu, Y.; Yu, H.; Zhang, S.; Huang, M. Early Detection of Health Condition Degradation of Circuit Breaker Based on Electrical Quantity Monitoring. Energies 2023, 16, 5581. [Google Scholar] [CrossRef]
  13. Feizifar, B.; Usta, O. Condition Monitoring of Circuit Breakers Using Arc Models and Failure Detection Algorithm. In Proceedings of the 5th International Istanbul Smart Grid and Cities Congress and Fair, Istanbul, Turkey, 19–21 April 2017. [Google Scholar]
  14. Imam, A.; Rafiq, M.; Zeljko, T.; Sepehri, N. Improving the Performance of Pump-Controlled Circuits for Single-Rod Actuators. Actuators 2019, 8, 26. [Google Scholar] [CrossRef]
  15. Zhao, Z.; Xi, L.; Gao, J.; Xu, L.; Li, Y. Numerical Study on the Heating Effect of a Spring-Loaded Actuator Mechanism. Actuators 2023, 12, 212. [Google Scholar] [CrossRef]
  16. Liu, K.; Li, B.; Jiang, Q.; Zhang, Y.; Liu, T. Fault Ride-Through Strategy for Hybrid Cascaded HVdc Systems Based on Controllable LCC. IEEE Trans. Circuits Syst. II Express Briefs 2026, 73, 88–92. [Google Scholar] [CrossRef]
  17. Cho, Y.-M.; Park, H.-J.; Lee, J.-J.; Lee, K.-A. Analysis of Characteristics of Low Voltage Circuit Breaker by External Magnetic Field. Energies 2022, 15, 8156. [Google Scholar] [CrossRef]
  18. Lee, K.-A.; Cho, Y.-M.; Lee, H.-J. Circuit Model and Analysis of Molded Case Circuit Breaker Interruption Phenomenon. Electronics 2020, 9, 2047. [Google Scholar] [CrossRef]
Figure 1. Schematics of interruption process; (1) steady-state; (2) overcurrent inflow; (3) electrodes separation with arc and hot-gas generation; (4) arc stretch according to internal factors; (5) start energy consumption after arc reached the splitter plate; (6) residual hot gas after arc extinguishment.
Figure 1. Schematics of interruption process; (1) steady-state; (2) overcurrent inflow; (3) electrodes separation with arc and hot-gas generation; (4) arc stretch according to internal factors; (5) start energy consumption after arc reached the splitter plate; (6) residual hot gas after arc extinguishment.
Actuators 15 00065 g001
Figure 2. Waveform during interruption process.
Figure 2. Waveform during interruption process.
Actuators 15 00065 g002
Figure 3. Classification of event times at each interruption process: t1 is electrodes separation point, t2 is reaching the splitter plate point, t3 is current zero point, t21 is arc stretch period, t32 is energy consumption at splitter plate period, and t31 is arcing time period.
Figure 3. Classification of event times at each interruption process: t1 is electrodes separation point, t2 is reaching the splitter plate point, t3 is current zero point, t21 is arc stretch period, t32 is energy consumption at splitter plate period, and t31 is arcing time period.
Actuators 15 00065 g003
Figure 4. Experiment set-ups: (a) experiment configuration; (b) experiment circuit.
Figure 4. Experiment set-ups: (a) experiment configuration; (b) experiment circuit.
Actuators 15 00065 g004
Figure 5. Experimental conditions: (a) internal structure of product—operation mechanism, electrodes, splitter plate; (b) experiment sequence.
Figure 5. Experimental conditions: (a) internal structure of product—operation mechanism, electrodes, splitter plate; (b) experiment sequence.
Actuators 15 00065 g005
Figure 6. Energy and operation time distribution in voltage waveform: (a) total arcing time; (b) arc stretch and moving; (c) absorption in splitter plate.
Figure 6. Energy and operation time distribution in voltage waveform: (a) total arcing time; (b) arc stretch and moving; (c) absorption in splitter plate.
Actuators 15 00065 g006
Figure 7. Voltage waveforms of repeated experiments for four subjects.
Figure 7. Voltage waveforms of repeated experiments for four subjects.
Actuators 15 00065 g007
Table 1. Specification of overcurrent inflow system.
Table 1. Specification of overcurrent inflow system.
CategoryValue/ModelNote
Capacitor Bank17,268.64 [μF]Selected to have a resonance frequency of 60 [Hz].
Inductor0.4074 [mH]
Resistor2.5 [Ω]
DiodeMPKC2SA200U60Parallel connection
ThyristorMCC312-16io1
Table 2. Detailed energy and time results from repeated experiments on four subjects.
Table 2. Detailed energy and time results from repeated experiments on four subjects.
CategoryFirst ExperimentSecond ExperimentThird Experiment
Subject 1Total
Arcing Time
(t31)
Energy0.255639[100%]0.481695[188%]0.482856[189%]
Time0.002708[100%]0.004043[149%]0.004351[161%]
Arc Stretch and
Moving
(t21)
Energy0.135527[100%]0.138693[102%]0.12272[91%]
Time0.001885[100%]0.002135[113%]0.002527[134%]
Absorption in
Splitter plate
(t32)
Energy0.120112[100%]0.343002[286%]0.360136[300%]
Time0.000823[100%]0.001908[232%]0.001824[222%]
Subject 2Total
Arcing Time
(t31)
Energy0.280439[100%]0.506521[181%]0.495678[177%]
Time0.002917[100%]0.005176[177%]0.00542[186%]
Arc Stretch and
Moving
(t21)
Energy0.085718[100%]0.170274[199%]0.161835[189%]
Time0.001692[100%]0.003446[204%]0.00351[207%]
Absorption in
Splitter plate
(t32)
Energy0.194712[100%]0.336247[173%]0.333843[171%]
Time0.001225[100%]0.00173[141%]0.00191[156%]
Subject 3Total
Arcing Time
(t31)
Energy0.259525[100%]0.482011[186%]0.480472[185%]
Time0.003049[100%]0.005171[170%]0.006599[216%]
Arc Stretch and
Moving
(t21)
Energy0.061556[100%]0.082307[134%]0.120989[197%]
Time0.001674[100%]0.002855[171%]0.004353[260%]
Absorption in
Splitter plate
(t32)
Energy0.197969[100%]0.399704[202%]0.359483[182%]
Time0.001375[100%]0.002316[168%]0.002246[163%]
Subject 4Total
Arcing Time
(t31)
Energy0.262938[100%]0.488001[186%]0.490844[187%]
Time0.002592[100%]0.003865[149%]0.00562[217%]
Arc Stretch and
Moving
(t21)
Energy0.079493[100%]0.084395[106%]0.115255[145%]
Time0.001413[100%]0.001656[117%]0.003377[239%]
Absorption in
Splitter plate
(t32)
Energy0.183445[100%]0.403606[220%]0.395589[216%]
Time0.001179[100%]0.002209[187%]0.002243[190%]
Disclaimer/Publisher’s Note: The statements, opinions and data contained in all publications are solely those of the individual author(s) and contributor(s) and not of MDPI and/or the editor(s). MDPI and/or the editor(s) disclaim responsibility for any injury to people or property resulting from any ideas, methods, instructions or products referred to in the content.

Share and Cite

MDPI and ACS Style

Cho, Y.-M.; Joung, H.-K.; Lee, K.-A. Analysis of Interrupting Energy Variations in MCCBs Under Repetitive Fault Conditions in Accelerator Environments. Actuators 2026, 15, 65. https://doi.org/10.3390/act15010065

AMA Style

Cho Y-M, Joung H-K, Lee K-A. Analysis of Interrupting Energy Variations in MCCBs Under Repetitive Fault Conditions in Accelerator Environments. Actuators. 2026; 15(1):65. https://doi.org/10.3390/act15010065

Chicago/Turabian Style

Cho, Young-Maan, Houng-Kun Joung, and Kun-A Lee. 2026. "Analysis of Interrupting Energy Variations in MCCBs Under Repetitive Fault Conditions in Accelerator Environments" Actuators 15, no. 1: 65. https://doi.org/10.3390/act15010065

APA Style

Cho, Y.-M., Joung, H.-K., & Lee, K.-A. (2026). Analysis of Interrupting Energy Variations in MCCBs Under Repetitive Fault Conditions in Accelerator Environments. Actuators, 15(1), 65. https://doi.org/10.3390/act15010065

Note that from the first issue of 2016, this journal uses article numbers instead of page numbers. See further details here.

Article Metrics

Back to TopTop