Surface Electromyography-Based Wrist Angle Estimation and Robotic Arm Control with Echo State Networks
Abstract
1. Introduction
2. Materials and Methods
2.1. Data Acquisition
2.2. sEMG Preprocessing
2.3. Echo State Network
2.4. ESN Evaluation Experiment
2.5. Online Robotic Arm Control Experiment
2.6. Evaluation
2.6.1. Evaluation of Estimation Accuracy
2.6.2. Evaluation of Parameter Effects
- Number of reservoir neurons: 2, 4, 6, ..., 30;
- Spectral radius: 0.001, 0.0025, 0.005, 0.01, 0.025, 0.05, 0.1, 0.25, 0.5, and 1;
- Time constant: 0.01 s, 0.025 s, 0.05 s, 0.1 s, 0.25 s, 0.5 s, 1 s, and 2.5 s.
3. Results
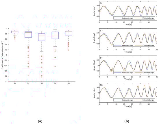
3.1. Representative Results of Angle Estimation
3.2. Effect of Number of Reservoir Neurons
3.3. Effect of Spectral Radius of Reservoir Weights
3.4. Effect of Reservoir Time Constant
3.5. Online Robotic Arm Control with sEMG
4. Discussion
4.1. Estimating Joint Angles from sEMG with ESN
4.2. Effects of ESN Parameters
4.3. Effect of Using Robotic Arm Angles as Training Data
4.4. Online Control of the Robotic Arm
5. Conclusions
Supplementary Materials
Author Contributions
Funding
Data Availability Statement
Conflicts of Interest
References
- Fougner, A.O.; Stavdahl, Ø.; Kyberd, Y.; Losier, G.; Parker, P.A. Control of Upper Limb Prostheses: Terminology and Proportional Myoelectric Control—A Review. IEEE Trans. Neural Syst. Rehabil. Eng. 2012, 20, 663–677. [Google Scholar] [CrossRef]
- Fajardo, M.J.; Gomez, O.; Prieto, F. EMG Hand Gesture Classification Using Handcrafted and Deep Features. Biomed. Signal Process. Control 2021, 63. [Google Scholar] [CrossRef]
- Karnam, N.K.; Dubey, S.R.; Turlapaty, A.C.; Gokaraju, B. EMGHandNet: A Hybrid CNN and Bi-LSTM Architecture for Hand Activity Classification Using Surface EMG Signals. Biocybern. Biomed. Eng. 2022, 42, 325–340. [Google Scholar] [CrossRef]
- Miften, F.S.; Diykh, S.M.; Abdulla, S.; Siuly, J.; Green, H.; Deo, R.C. A New Framework for Classification of Multi-Category Hand Grasps Using EMG Signals. Artif. Intell. Med. 2021, 112, 102005. [Google Scholar] [CrossRef]
- Nishikawa, D.; Yu, W.; Yokoi, H.; Kakazu, Y. On-Line Learning Method for EMG Prosthetic Hand Control. Electron. Commun. Jpn. Part III Fundam. Electron.Sci. 2001, 84, 35–46. [Google Scholar] [CrossRef]
- Rabin, N.; Kahlon, M.; Malayev, S.; Ratnovsky, A. Classification of Human Hand Movements Based on EMG Signals Using Nonlinear Dimensionality Reduction and Data Fusion Techniques. Expert Syst. Appl. 2020, 149. [Google Scholar] [CrossRef]
- Sato, Y.; Kawase, T.; Takano, K.; Spence, C.; Kansaku, K. Body Ownership and Agency Altered by an Electromyographically Controlled Robotic Arm. R. Soc. Open Sci. 2018, 5, 172170. [Google Scholar] [CrossRef]
- Romano, D.; Caffa, E.; Hernandez-Arieta, A.; Brugger, P.; Maravita, A. The Robot Hand Illusion: Inducing Proprioceptive Drift through Visuo-Motor Congruency. Neuropsychologia 2015, 70, 414–420. [Google Scholar] [CrossRef] [PubMed]
- Zajac, F.E. Muscle and Tendon: Properties, Models, Scaling, and Application to Biomechanics and Motor Control. Crit. Rev. Biomed. Eng. 1989, 17, 359–411. [Google Scholar]
- Winter, D.A. Biomechanics and Motor Control of Human Movement; John Wiley & Sons, Inc.: Hoboken, NJ, USA, 2009. [Google Scholar]
- Lloyd, D.G.; Besier, T.F. An EMG-Driven Musculoskeletal Model to Estimate Muscle Forces and Knee Joint Moments in Vivo. J. Biomech. 2003, 36, 765–776. [Google Scholar] [CrossRef]
- Koo, T.K.; Mak, A.F.T. Feasibility of Using EMG Driven Neuromusculoskeletal Model for Prediction of Dynamic Movement of the Elbow. J. Electromyogr. Kinesiol. 2005, 15, 12–26. [Google Scholar] [CrossRef]
- Gagnon, D.; Arjmand, N.; Plamondon, N.; Shirazi-Adl, A.; Lariviere, C. An Improved Multi-Joint EMG-Assisted Optimization Approach to Estimate Joint and Muscle Forces in a Musculoskeletal Model of the Lumbar Spine. J. Biomech. 2011, 44, 1521–1529. [Google Scholar] [CrossRef]
- Davarinia, F.; Maleki, A. Comparing the Efficiency of Recurrent Neural Networks to EMG-Based Continuous Estimation of the Elbow Angle. Neural Comput. Appl. 2024, 36, 18515–18530. [Google Scholar] [CrossRef]
- Truong, M.T.N.; Ali, A.E.A.; Owaki, D.; Hayashibe, M. EMG-Based Estimation of Lower Limb Joint Angles and Moments Using Long Short-Term Memory Network. Sensors 2023, 23, 3331. [Google Scholar] [CrossRef] [PubMed]
- Bao, T.; Zaidi, S.A.R.; Xie, S.; Yang, P.; Zhang, Z.-Q. A CNN-LSTM Hybrid Model for Wrist Kinematics Estimation Using Surface Electromyography. IEEE Trans. Instrum. Meas. 2021, 70, 1–9. [Google Scholar] [CrossRef]
- Yang, W.; Yang, D.; Liu, Y.; Liu, H. Decoding Simultaneous Multi-Dof Wrist Movements from Raw EMG Signals Using a Convolutional Neural Network. IEEE Trans. Hum. Mach. Syst. 2019, 49, 411–420. [Google Scholar] [CrossRef]
- Ma, X.; Liu, Y.; Song, Q.; Wang, C. Continuous Estimation of Knee Joint Angle Based on Surface Electromyography Using a Long Short-Term Memory Neural Network and Time-Advanced Feature. Sensors 2020, 20, 4966. [Google Scholar] [CrossRef]
- Jaeger, H. The “Echo State” Approach to Analysing and Training Recurrent Neural Networks-with an Erratum Note. In Bonn, Germany: German National Research Center for Information Technology Gmd Technical Report; German National Research Center for Information Technology: Bonn, Germany, 2001. [Google Scholar]
- Jaeger, H.; Haas, H. Harnessing Nonlinearity: Predicting Chaotic Systems and Saving Energy in Wireless Communication. Science 2004, 304, 78–80. [Google Scholar] [CrossRef]
- Lukoševičius, M.; Jaeger, H. Reservoir Computing Approaches to Recurrent Neural Network Training. Comput. Sci. Rev. 2009, 3, 127–149. [Google Scholar] [CrossRef]
- Day, C.R.; Chadwick, E.K.; Blana, D. A Comparative Evaluation of Time-Delay, Deep Learning and Echo State Neural Networks When Used as Simulated Transhumeral Prosthesis Controllers. In Proceedings of the 2020 International Joint Conference on Neural Networks (IJCNN), Glasgow, UK, 19–24 July 2020. [Google Scholar]
- De Luca, C.J.; Gilmore, L.D.; Kuznetsov, M.; Roy, S.H. Filtering the Surface EMG Signal: Movement Artifact and Baseline Noise Contamination. J. Biomech. 2010, 43, 1573–1579. [Google Scholar] [CrossRef]
- Koike, Y.; Kawato, M. Estimation of Dynamic Joint Torques and Trajectory Formation from Surface Electromyography Signals Using a Neural Network Model. Biol. Cybern. 1995, 73, 291–300. [Google Scholar] [CrossRef]
- Jaeger, H.; Lukoševičius, M.; Popovici, D.; Siewert, U. Optimization and Applications of Echo State Networks with Leaky-Integrator Neurons. Neural Netw. 2007, 20, 335–352. [Google Scholar] [CrossRef]
- ESNToolbox. Available online: https://www.ai.rug.nl/minds/uploads/ESNToolbox.zip (accessed on 8 July 2025).
- Lukoševičius, M. A Practical Guide to Applying Echo State Networks. In Neural Networks: Tricks of the Trade, 2nd ed.; Montavon, G., Orr, G.B., Müller, K.-R., Eds.; Springer: Berlin/Heidelberg, Germany, 2012; pp. 659–686. [Google Scholar]
- Solnik, S.; Rider, P.; Steinweg, K.; DeVita, P.; Hortobagyi, T. Teager-Kaiser Energy Operator Signal Conditioning Improves EMG Onset Detection. Eur. J. Appl. Physiol. 2010, 110, 489–498. [Google Scholar] [CrossRef]
- Li, M.; Wang, J.; Yang, S.; Xie, J.; Xu, G.; Luo, S. A CNN-LSTM Model for Six Human Ankle Movements Classification on Different Loads. Front. Hum. Neurosci. 2023, 17, 1101938. [Google Scholar] [CrossRef]
- Yan, M.; Huang, C.; Bienstman, P.; Tino, P.; Lin, W.; Sun, J. Emerging Opportunities and Challenges for the Future of Reservoir Computing. Nat. Commun. 2024, 15, 2056. [Google Scholar] [CrossRef]
- Caremel, C.; Ishige, M.; Ta, T.D.; Kawahara, Y. Echo State Network for Soft Actuator Control. J. Robot. Mechatron. 2022, 34, 413–421. [Google Scholar] [CrossRef]
- Tanaka, G.; Yamane, T.; Héroux, J.B.; Nakane, R.; Kanazawa, N.; Takeda, S.; Numata, H.; Nakano, D.; Hirose, A. Recent Advances in Physical Reservoir Computing: A Review. Neural Netw. 2019, 115, 100–123. [Google Scholar] [CrossRef]
- Bertschinger, N.; Natschläger, T. Real-Time Computation at the Edge of Chaos in Recurrent Neural Networks. Neural Comput. 2004, 16, 1413–1436. [Google Scholar] [CrossRef]
- Sebelius, F.C.P.; Rosen, B.N.; Lundborg, G.N. Refined Myoelectric Control in Below-Elbow Amputees Using Artificial Neural Networks and a Data Glove. J. Hand Surg. Am. 2005, 30, 780–789. [Google Scholar] [CrossRef] [PubMed]
- Jiang, N.; Vest-Nielsen, J.L.; Muceli, S.; Farina, D. EMG-Based Simultaneous and Proportional Estimation of Wrist/Hand Kinematics in Uni-Lateral Trans-Radial Amputees. J. Neuroeng. Rehabil. 2012, 9, 42. [Google Scholar] [CrossRef]
- Olsen, C.D.; Olsen, N.R.; Stone, E.S.; Tully, T.N.; Paskett, M.D.; Teramoto, M.; Clark, G.A.; George, J.A. Electromyographically Controlled Prosthetic Wrist Improves Dexterity and Reduces Compensatory Movements without Added Cognitive Load. Sci. Rep. 2024, 14, 23248. [Google Scholar] [CrossRef] [PubMed]
- Ismail, M.A.F.; Shimada , S. ‘Robot’ Hand Illusion under Delayed Visual Feedback: Relationship between the Senses of Ownership and Agency. PLoS ONE 2016, 11, e0159619. [Google Scholar]









| Participant | R2 (Mean ± S.D.) | R2 (Median (Q1–Q3)) | SNR of sEMG | Correlation of Flexor and Extensor | |
|---|---|---|---|---|---|
| Flexor | Extensor | ||||
| S1 | 0.862 ± 0.07 | 0.876 (0.834–0.913) | 1.7 | 9.5 | −0.41 |
| S2 | 0.754 ± 0.23 | 0.853 (0.662–0.884) | 28.9 | 103.7 | −0.44 |
| S3 | 0.485 ± 0.68 | 0.719 (0.536–0.812) | 5.4 | 6.2 | −0.12 |
| S4 | 0.660 ± 0.28 | 0.753 (0.611–0.874) | 31.2 | 13.6 | −0.28 |
| S5 | 0.782 ± 0.21 | 0.876 (0.749–0.904) | 7.9 | 17.1 | −0.42 |
| All | 0.714 ± 0.34 | 0.835 (0.676–0.892) | 15.0 ± 13.9 | 30.0 ± 41.4 | −0.42 ± 0.14 |
Disclaimer/Publisher’s Note: The statements, opinions and data contained in all publications are solely those of the individual author(s) and contributor(s) and not of MDPI and/or the editor(s). MDPI and/or the editor(s) disclaim responsibility for any injury to people or property resulting from any ideas, methods, instructions or products referred to in the content. |
© 2025 by the authors. Licensee MDPI, Basel, Switzerland. This article is an open access article distributed under the terms and conditions of the Creative Commons Attribution (CC BY) license (https://creativecommons.org/licenses/by/4.0/).
Share and Cite
Kawase, T.; Ikeda, H. Surface Electromyography-Based Wrist Angle Estimation and Robotic Arm Control with Echo State Networks. Actuators 2025, 14, 548. https://doi.org/10.3390/act14110548
Kawase T, Ikeda H. Surface Electromyography-Based Wrist Angle Estimation and Robotic Arm Control with Echo State Networks. Actuators. 2025; 14(11):548. https://doi.org/10.3390/act14110548
Chicago/Turabian StyleKawase, Toshihiro, and Hiroki Ikeda. 2025. "Surface Electromyography-Based Wrist Angle Estimation and Robotic Arm Control with Echo State Networks" Actuators 14, no. 11: 548. https://doi.org/10.3390/act14110548
APA StyleKawase, T., & Ikeda, H. (2025). Surface Electromyography-Based Wrist Angle Estimation and Robotic Arm Control with Echo State Networks. Actuators, 14(11), 548. https://doi.org/10.3390/act14110548

