Abstract
This paper investigates an L1 adaptive fault-tolerant control scheme for nonlinear systems with input constraint, external disturbances, and multiple faults, which include actuator faults and sensor faults. Faults and input constraint are important factors that affect the stability and performance of a control system. Actuators and sensors are the most vulnerable components, with the former receiving more attention in comparison. In this paper, sensor faults are first transformed into pseudo-actuator faults through the augmented matrix approach, which facilitates their handling together with actuator faults. Saturation constraints on the control signal are not conducive to the design of the controller. The conversion of an input-saturated function to a time-varying linear system is completed based on function approximation and Lagrange’s mean value theorem. Moreover, a nonlinear system with unknown input gain and uncertainties is constructed using these methods. Next, an L1 adaptive fault-tolerant controller is designed to cope with uncertainties, including system uncertainties, external disturbances, faults, and approximation errors. In the L1 adaptive controller, the online estimation of the time-varying parameters allows for updating of the system state, while the combination of the two is transmitted to the control law such that it can compensate for the effects of the uncertainties. The stability and performance boundaries are further derived using the Lyapunov theory and the L1 reference system. Finally, simulations are carried out to demonstrate the effectiveness of the proposed controller.
1. Introduction
Actuators and sensors are the essential bridge to understanding how a control system works and are also the most fault-prone components. Actuators implement control instructions, and their faults may have serious impacts on the system, such as control deviation, disturbance, or even system destabilization. Sensors are used to measure parameters that are necessary for control systems. Errors in measurement data may result in poor control. In recent years, many control methods have been developed to overcome single faults, such as actuator faults or sensor faults [1,2,3,4,5,6]. However, the actual control system may have actuator faults and sensor faults concurrently; therefore, a fault-tolerant control system that takes into account actuator and sensor faults is preferable.
Fault-tolerant control based on fault detection, diagnosis, and isolation (FDI) techniques is one of the most important branches of control system design, especially observer-based fault detection and isolation, such as optimal observer [7], Kalman filter [8,9], and adaptive observer [10]. In [11], a distributed fault detection observer and an estimation observer based on sliding mode technology were designed. Based on the concept of switching, adaptive fault-tolerant consensus control with a hierarchical structure has been realized to compensate for system nonlinearities, uncertainties, and actuator faults [12]. In [13], the amplitude and rate faults in actuators were investigated using adaptive observers. Observer-based FDI techniques are widely used not only for actuator faults but also for sensor faults [1,14,15,16,17,18]. In addition, fault-tolerant control strategies based on fault values from fault estimators are also an effective approach. For an aircraft attitude control system with actuator faults and sensor faults, a fault-tolerant controller based on estimates of actuator faults and sensor faults from two extended state observers has been discussed in [19]. A sliding mode fault-tolerant controller with dynamic event-triggered fault estimation for networked control systems was implemented in [20]. Moreover, in [21], a fault-tolerant controller for interval type-2 polynomial fuzzy systems subject to sensor faults and actuator faults was presented through fault estimation. Throughout most of the current research results, fault-tolerant controllers mainly rely on fault detection or estimation, which carry certain limitations and involve complicated algorithms. However, a new fault-tolerant control scheme that does not require fault information has been developed over the past few years.
Input saturation is a kind of nonlinear constraint that actually exists in actuators, which may affect the stability and reliability of the control system. The problem of input constraint has always been a hot topic, and various control methods have been explored, such as constructing auxiliary systems [22,23,24] and directly designing anti-saturation controllers [25,26]. It is also recommended to build a variety of valid controllers based on the practice of approximating the saturation function with some nonlinear smooth functions, such as the hyperbolic tangent function [27,28] and the sigmoid function [29]. In real systems, input constraint, multiple faults, and external disturbances often occur, even simultaneously. The interaction of these factors aggravates the system uncertainties and makes the detection or estimation of faults more difficult; thus, the performance of the fault-tolerant controller is likely to be degraded. Therefore, the successful design of an effective fault-tolerant controller under the influence of system uncertainties, faults, input constraint, and external disturbances remains a challenge.
A novel fault-tolerant control method based on adaptive online estimation has been developed [30,31,32,33,34]. Viewing faults, input constraint, and external disturbances as a lumped uncertainty, this method does not need to detect or estimate faults and can effectively simplify the structure of the fault-tolerant controller. Motivated by the above-mentioned analyses, in this paper, a nonlinear system model with input constraint and external disturbances is developed, while considering both actuator and sensor faults. Through a series of transformations and reorganizations, system uncertainties, multiple faults, input constraint, and external disturbances contained in the nonlinear system are eventually constructed as unknown input gains and a lumped uncertainty. To compensate for the effects of these uncertainties, an L1 adaptive fault-tolerant controller is studied, including state predictor, adaptive law, and control law components. The L1 adaptive algorithm is a variant of the model reference adaptive control (MRAC) scheme with fast adaptation ability and excellent robustness, which is widely used in various control systems [35,36,37]. The state predictor is equivalent to a reference model to estimate the system state. The adaptive law updates each adaptive parameter and passes estimations of adaptive parameters to the state predictor and the control law. The control law with low-pass filters is designed to counteract the effects of uncertainties and reduce the high-frequency oscillations associated with high adaptive gains. In comparison with the existing research results, the main contributions of this paper are summarized as follows:
- (1)
- Unlike most previous research, which addressed only one or a few scenarios, the fault-tolerant control discussed in this paper covers actuator faults, sensor faults, input constraint, and external disturbances, which are frequently experienced in control systems.
- (2)
- In this paper, multiple faults, approximation errors and external disturbances are converted into a lumped uncertainty and estimated using adaptive laws in the L1 adaptive controller. In contrast to the methods in [19,21], the L1 adaptive controller does not require the design of additional fault observers or estimators, and the control algorithm is more concise. Moreover, a more detailed description of the L1 adaptive controller’s stability and dynamic performance is provided.
- (3)
- Compared with the nonlinear function approximation of input constraint in [27,28,29], this paper further transforms the input constraint into a time-varying system with unknown parameters and disturbances, which is more conducive to the design of fault-tolerant controllers.
The remainder of this paper is organized as follows: The problem formulation is shown in Section 2. The design of the L1 adaptive fault-tolerant controller is described in Section 3. In Section 4, the performance analysis of the fault-tolerant controller is presented. In Section 5, some simulation examples are provided to demonstrate the effectiveness of the proposed controller. Finally, our conclusions are drawn in Section 6.
2. Problem Formulation
Consider the following nonlinear system with input constraint, faults, and external disturbances:
where and are state variables and measurement outputs; and are input signals with saturated nonlinearity and actual control inputs; is an unknown smooth nonlinear function; denotes the external disturbances; and and represent the additive and multiplicative actuator faults, respectively. Additive and multiplicative faults are the most common types of actuator faults and can indicate most of the actual actuator faults, such as loss of effectiveness, stuck, and float. denotes the unknown sensor faults, and only bias sensor faults are considered in this paper, including constant deviation faults and drift faults. and are known constant matrices.
The saturation function is described as follows:
where is the known boundary of the saturation function , which is, the physical limit of the actuator’s output.
Following convention, some basic definitions and assumptions are recalled or introduced for the purpose of the latter presentation [38,39,40].
Definition 1.
For a signal , its and are defined as follows: .
Definition 2.
For a given m-input and n-output linear time-invariant system , its is defined as follows:
Definition 3.
Consider a convex compact set with a smooth boundary provided by where is the smooth convex function as follows:
with is the norm bound of the vector and is the projection perturbation bound selected according to the accuracy requirements of the parameters. The projection operator is defined as follows:
where is the gradient of , denotes the unitization of the vector , and is the inner product of two vectors and
Assumption 1.
Let , where and are the known boundaries of the multiplicative actuator fault .
Assumption 2.
There exists such that
Remark 1.
Assumptions 1 and 2 indicate that faults, system uncertainties, and external disturbances are all bounded. In the actual control system, it is possible for these assumptions to be satisfied. Taking the attitude control system of an aircraft as an example, the system uncertainty is a nonlinear function related to the aerodynamic parameters. When the aircraft is flying normally within the flight envelope, all parameters within the control system are bounded; therefore, the system uncertainty is also bounded, as are sensor faults and external disturbances. Whether the faults are multiplicative or additive, time-varying or constant, the actuator outputs are subject to physical constraints due to the presence of input saturation. Therefore, the actuator fault factors and are both bounded.
Next, the equivalent transformation of sensor faults is realized using low-pass filters and expansion of state variables. The following low-pass filter is considered:
where represents the state variables of the filters. are two matrices to be designed.
Substituting the output equation of (1) into (3), leads to the following expression:
Combining Equations (1) and (4), the following expression is obtained:
Let
Further, the following augmented system is obtained:
where is a lumped uncertainty that includes system uncertainty , external disturbance , and faults including an additive actuator fault and a sensor fault . Based on Assumption 2, it is clear that is also bounded; that is, ,.
The sensor faults in the original system (1) are transformed into pseudo-actuator faults by introducing the low-pass filter (3). The advantage of this transformation is that the system only needs to deal with a single actuator fault, and numerous effective fault-tolerant control methods for actuator faults can be selected.
Remark 2.
The filter parameters and are important factors to ensure the stability of the augmented system (6), so far there is no systematic design method. A first-order low-pass filter of was design in [1,17] to realize the equivalent transformation of sensor faults, where is a Hurwitz matrix. In this paper, the filter parameter is selected similarly to the work of References 1 and 17, while parameter is obtained by fine-tuning to achieve better tracking performance.
The input constraint is a common and important nonlinear saturation limitation, which should be dealt with properly in the design of the controller. Here, the following hyperbolic tangent function is constructed to approximate the saturation function (2):
Figure 1 shows the actual output curves of and . From Figure 1, it can be observed that the hyperbolic tangent function can approximate the saturation function very well and eliminate its nonlinearity. We define , where is the approximation error. Considering Equations (2) and (7), the bound of is derived as follows:
Figure 1.
The output curves of saturation function and hyperbolic tangent function.
According to Lagrange’s mean value theorem, let , so there must be in the interval such that:
It is obvious that based on (7). Furthermore, we define ; therefore, can be rewritten as follows:
Further, the saturation function of yields the following expression:
Remark 3.
It can be observed in (7) that the approximation of the hyperbolic tangent function transforms the saturation function into a differentiable continuous function . The application of Lagrange’s mean value theorem further decouples the continuous function into a time-varying linear system in (11), in order to simplify the system model in the next step.
Substituting (11) into the state equation of (6), the following system is obtained:
where is an unknown bounded matrix to be designed. is a lumped uncertainty, which is composed of system uncertainty, actuator faults, sensor faults, external disturbances, and approximation errors of the saturation function.
Assumption 3.
For arbitrary , there exist , such that for arbitrary , the partial derivatives of are piecewise-continuous and bounded,
Remark 4.
Notice that the lumped uncertainty is also bounded based on the boundedness of , and . For the convenience of the later formulation, the upper boundary of is defined as:
Remark 5.
It is obvious in (12) that input constraint is used to reconstruct the input matrix of the system, and the additive actuator faults, external disturbances and approximation errors are organized as a lumped uncertainty. Therefore, neither faults nor disturbances can be estimated separately in this paper.
Next, a linear parameterization method for nonlinear systems is presented. Subject to Assumptions 1 to 3, the following lemma indicates that a nonlinear function can be transformed into a linear system with unknown parameters and disturbances.
Lemma 1
[38]. If and for , where , then there exist and such that for all
where .
Substituting (13) into the augmented system in (12), the following system model is obtained based on the matched uncertainties:
Thus far, the modeling process for a nonlinear system with input constraints, multiple faults, and external disturbances has been completed. The control objective of this paper is that the output signal of the system can track the given input signal with certain control performance.
3. The Design of the L1 Adaptive Fault-Tolerant Controller
An L1 adaptive controller consists of three components: a state predictor, an adaptive law, and a control law. The state predictor component is a dynamic system with adaptive parameters that approximate the actual system. The adaptive law component is designed to update each adaptive parameter. The control law component, based on adaptive parameters and state variables, is the output of the L1 adaptive controller. Different from the MRAC scheme, the L1 control law introduces a low-pass filter to eliminate undesirable high-frequency oscillations and ensure fast adaptation and robustness.
- State Predictor
Consider the following state predictor:
where and are estimates of the unknown parameters and
- B.
- Adaptive Law
The adaptive laws of the unknown parameters and are designed as follows:
where is the error of the state variable; ; is a positive adaptive gain; is a positive symmetric matrix and satisfies the algebraic Lyapunov equation ; and is the projection operator to guarantee the boundedness of these estimates, which is introduced in Definition 3.
- C.
- Control Law
The following L1 adaptive control law is designed:
where and are the Laplace transforms of and the given reference command ; is chosen as .
Remark 6.
The introduction of the low-pass filter limits the effective bandwidth of the adaptive system, which means that the L1 adaptive controller compensates for the uncertainties within the effective bandwidth. Moreover, must satisfy the following L1-norm condition to guarantee the stability of the closed-loop system. For a given constant , there exists , such that the L1-norm condition can be verified as follows:
where , in which is an arbitrary positive constant; and is defined in Assumption 3. , is the boundedness of in Remark 4. and are introduced in the control law of (17). If , then
Therefore, the L1-norm condition of (18) can be rewritten as follows:
4. The Analysis of the L1 Adaptive Fault-Tolerant Controller
4.1. L1 Reference System
To verify the stability and performance boundaries of the L1 adaptive system, the following L1 reference system is introduced:
where is the Laplace transform of .
Obviously, the equation of state in (21) can easily be rewritten as follows:
where and have been introduced in (18), and .
Next, in order to verify the stability of the L1 reference system (21), the following lemma is first introduced:
Lemma 2
[39]. For a stable system with input signal and output signal , there exists ; the following inequality holds:
The following lemma verifies the stability of the L1 reference system (21):
Lemma 3.
For the L1 reference system (21) subject to the L1-norm condition (20), if , then
where
and
are introduction in L1-norm condition (18),
Proof of Lemma 3.
Based on Lemma 2, it can be observed that (22) satisfies the following inequality:
First, assume that (24) does not hold. Consider that is a continuous function and the following relationship holds , then:
Therefore, the following equation is implied:
Second, the following upper bound is obtained by recalling Assumption 2:
Meanwhile, considering the definition of in (18), the following expression can be obtained:
Substituting inequalities (30) and (31) into (22), and combining with Lemma 2 yields:
Based on the L1-norm condition (18), the following relationship is obtained:
Combining inequalities (32) and (33), is obtained. Obviously, the conclusion is contrary to (29); therefore, (24) is proven.
Based on Lemma 2, the control law of the L1 reference system (21) can be rewritten as follows:
Substituting (30) into (34), it is obtained:
Therefore, (25) is also proven. □
4.2. Analysis of Performance Boundaries
Based on (14) and (15), the prediction error equation can be obtained as follows:
where and .
The following theorem verifies the performance boundaries of the closed-loop system (14):
Theorem 1.
For the closed-loop system (14), considering the L1 reference system (21) and the L1 adaptive controller consisting of (15)–(17) subject to the L1-norm condition (20), if , then
where
and
, in which
is an arbitrarily small positive constant,
,
is introduced in the L1-norm condition (20) and
is a vector that ensures the system
BIBO stable and proper,
Proof of Theorem 1.
To prove (37), the Lyapunov function is chosen as follows:
is derived as follows:
Substituting the adaptive laws in (16), (41) can be rewritten as follows:
Considering the boundaries of the unknown parameter and in Lemma 1, (41) is further simplified as follows:
Based on the boundaries of the unknown parameters , and , the following relationship can be derived:
According to the definition of in (40), assume that the following inequality is true:
where and represent the minimum and maximum eigenvalues of matrices , respectively.
Based on (44) and (45), the following is obtained:
Therefore, the following inequality can hold:
Based on (43) and (47), is derived as follows:
According to (44) and (46), the following relation is valid:
It is obvious that (49) is contrary to the assumption in (45). Therefore, the following relationship is developed:
Meanwhile, consider the following inequalities:
Substituting (50) into (51), the following boundary of is obtained:
Therefore, (37) is proven.
Based on (36), the L1 adaptive control law in (17) can be rewritten as follows:
where and are defined as: and .
Equation (53) is further simplified to obtain the following:
Based on (18) and (54), the state equation in (14) is converted to frequency domain form as follows:
Considering the definitions of in (22), in (53) and in (36), it is determined that . Thus, the subtraction of (22) and (55) is equal to
Using the Lipschitz continuity [39] and the definition of in (18), one obtains the following:
Based on the application of Lemma 2 and (57), (56) can be rewritten as follows:
Noting the boundary of in (37), (58) is organized as follows:
Based on the definition of in (38), one can write the following:
Therefore, (38) is proven.
Based on the reference control law in (21) and (54), the following equation is derived:
Let and is introduced to guarantee that is a proper and stable system. Thus, the following relationship is obtained:
Based on the application of Lemma 2 and (62), (61) can be rewritten as follows:
Substituting (37) and (38) into (63), (39) is proven. □
Remark 7.
The upper boundary of (37) implies that an infinitesimal boundary can be obtained by increasing the adaptive gain , and can also converge to infinitesimal according to (38) and (39). In practice, the adaptive gain cannot be increased indefinitely due to robustness and hardware limitations, which is considered as a compromise.
5. Simulation Results
To verify the performance of the proposed controller, a nonlinear system model is used for simulation, subject to input constraint, external disturbances, and the concurrency of actuator and sensor faults. Considering that the reference signal may be constant or time-varying, the reference inputs here are chosen as follows: and In the process of converting the sensor faults to the pseudo-actuator faults, the selected parameters of the low-pass filter are . The control input saturation of the system is set to and . The nonlinear system is modeled as shown in (1), and the relevant parameters are set as follows:
Based on the meaning of the augmented matrices in (6) and (12), the coefficient matrices of system model (12) can be calculated as follows:
The main parameters of the L1 adaptive controller are as follows:
The low-pass filter is set as follows:
The simulation experiments described in this section are carried out in the following four cases:
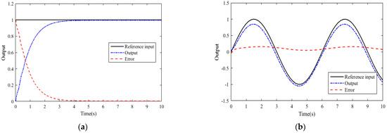
- Case 1. No faults
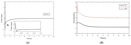
The simulation results considering only control input constraint and external disturbances are presented in Figure 2, where both actuators and sensors are working properly. The curves of the tracking performance when and in Figure 2a,b show the reference input , the system output , and the deviation between them. As can be observed in Figure 2a,b, the system output tracks the reference input well with minimal deviation, regardless of whether the reference signal is constant or time-varying. The curve of the control input in Figure 2c shows that the control input signal can converge to the equilibrium position in a very short time, which has the advantage of good smoothness and convergence. Figure 2d illustrates the response curves of the original uncertainty, , in the system model (1) and the lumped uncertainty, , in the transformed system model (12). As can be observed from the response curves for the two uncertainties in Figure 2d, the lumped uncertainty is larger than the original uncertainty of the system due to input constraint and external disturbances, but both are convergent and smooth. The results in Figure 2 show that the system can well compensate for the influences of system uncertainties, control input constraint and external disturbances, and achieve fast and stable tracking.

Figure 2.
Simulation results when there is no fault. (a) Output curves of the system when . (b) Output curves of the system when (c) Curve of the control input when . (d) Output curves of uncertainties and when .
It should be noted that, due to the limitation of the length of this paper, Figure 2 does not show the output curves of the control input and uncertainties when . However, from the tracking curves in Figure 2b, it can be seen that the system achieves a good tracking when . It can also be deduced that the system’s output curves of the control inputs and uncertainties are also convergent and smooth similar to those at . This is true for all of the simulation results shown in Figure 3, Figure 4, Figure 5, Figure 6 and Figure 7. On the basis of considering control input constraint and external disturbances, cases 2–4 are designed to demonstrate the fault tolerance of the system to both actuator and sensor faults, which include sensor faults, actuator faults, and simultaneous actuator and sensor faults, regardless of whether faults are constant or time-varying. Meanwhile, comparative simulation experiments of MRAC under the same parameter conditions are implemented.
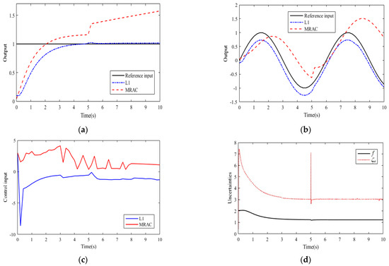
Figure 3.
Simulation results when sensors have constant faults. (a) Output curves of the system when . (b) Output curves of the system when . (c) Curves of the control input when . (d) Output curves of uncertainties and when .
Figure 4.
Simulation results when sensors have time-vary faults and constant faults. (a) Output curves of the system when . (b) Output curves of the system when . (c) Curves of the control input when . (d) Output curves of uncertainties and when .
Figure 5.
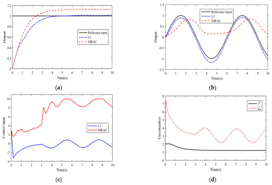
Simulation results when actuators have multiplicative faults. (a) Output curves of the system when . (b) Output curves of the system when . (c) Curves of the control input when . (d) Output curves of uncertainties and when .
Figure 6.
Simulation results when actuators have multiplicative faults and additive faults. (a) Output curves of the system when . (b) Output curves of the system when . (c) Curves of the control input when . (d) Output curves of uncertainties and when .
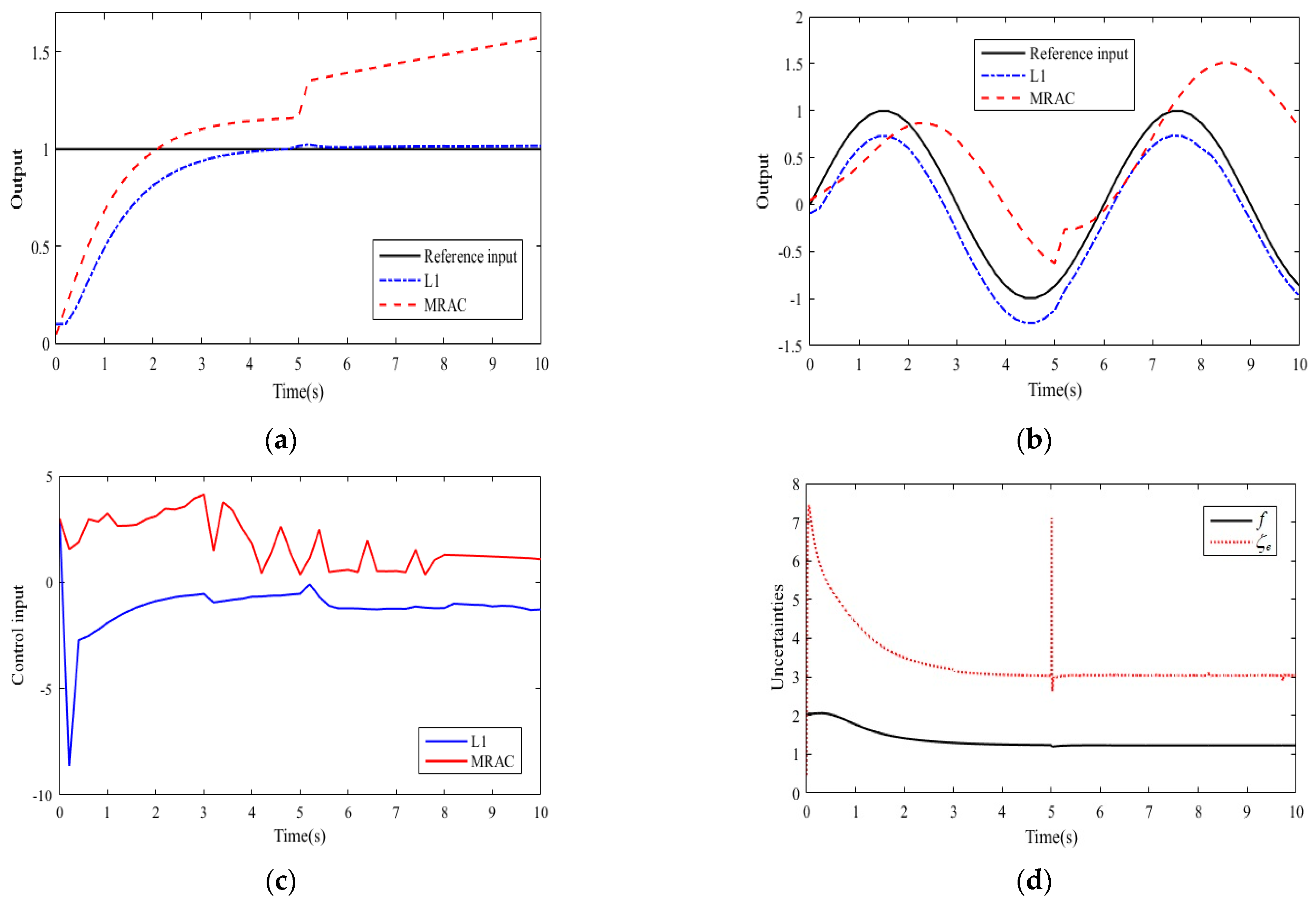
Figure 7.
Simulation results when actuator faults and sensor faults occur simultaneously. (a) Output curves of the system when . (b) Output curves of the system when . (c) Curves of the control input when . (d) Output curves of uncertainties and when .
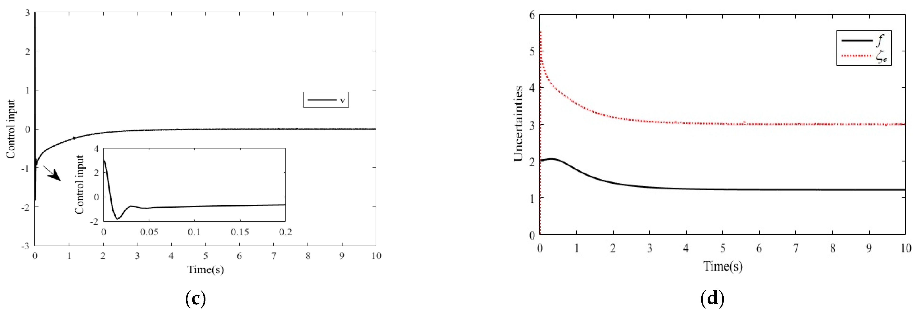
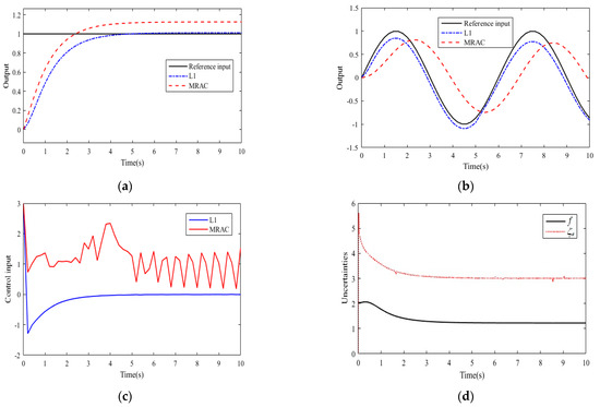
- Case 2. Sensor faults (constant faults and time-varying faults)
The following constant sensor faults are considered:
This fault model indicates that the system suffers a constant bias sensor fault with a magnitude of 0.1 when , and the sensors return to normal when . The simulation results of the L1 adaptive controller and MRAC are compared in Figure 3.
The simulation results when constant bias sensor faults occur in the system are shown in Figure 3. From the response curves in Figure 3a,b, it can be seen that the comparative MRAC responds faster than the L1 adaptive controller; however, the MRAC scheme has a larger tracking error with either constant or time-varying reference signals. The L1 adaptive controller possesses a lower overshoot and a smaller steady error. From the simulation results in Figure 3c, it can be seen that the control output of MRAC fluctuates more in order to compensate for the effects of sensor faults, input constraint and external disturbances, while the control output curve of the L1 adaptive controller fluctuates slightly around the equilibrium position, except for a very short period of time at the beginning of the simulation. As can be seen from the output curves of the uncertainties demonstrated in Figure 3d, there is a transient oscillation in the estimate of the lumped uncertainty when sensor faults occur at as well as when sensors return to normal operation at ; at other moments, the lumped uncertainty maintains a consistent and bounded estimate. The L1 adaptive controller shows good stability and fault tolerance performance when the sensors have constant bias faults.
The following time-varying and constant sensor faults are considered:
This fault shows that the system has a time-varying sensor fault of sinusoidal form when , and the sensors have constant bias faults with a magnitude of 0.2 when . The simulation results of the L1 adaptive controller and MRAC are compared in Figure 4.
The simulation results considering both time-varying and constant sensor faults are shown in Figure 4. From Figure 4a,b, it can be observed that the L1 adaptive controller has superior tracking performance compared with MRAC. This can be clearly seen from the steady-state error, which reaches 20% for MRAC in Figure 4a and is even higher in Figure 4b, while the L1 adaptive controller is almost zero. A comparison of the response curves in both Figure 3c,d and Figure 4c,d shows that the presentation is similar except that the control signals and uncertainty estimates are somewhat different at the moment of fault occurrence. This indicates that the L1 adaptive controller outputs smoother and faster convergence with more stable performance. Combined with Figure 3 and Figure 4, it can be seen that the L1 adaptive controller can compensate well for the influences of sensor faults, input constraint and external disturbances; moreover, it can realize accurate and stable tracking of a given constant or time-varying input signal.
- Case 3. Actuator faults (multiplicative faults and additive faults)
The following multiplicative actuator faults are considered:
This fault model shows that actuators have constant multiplicative faults with when , which implies that the actuators lose half of their effectiveness. Furthermore, the actuator faults are eliminated when . The simulation results of the L1 adaptive controller and MRAC are compared in Figure 5.
From Figure 5a,b, it can be seen that the tracking error of the L1 adaptive controller is smaller than that of MRAC, while the overshoot is also smaller. Moreover, Figure 5c shows that the MRAC has large fluctuations in the control inputs in order to compensate for the effect of actuator faults, whereas the L1 adaptive controller has very small and smoother fluctuations and converges more quickly. Figure 5d clearly demonstrates that the L1 adaptive controller also guarantees a smooth and bounded lumped uncertainty estimation. Figure 5 shows that the L1 adaptive controller designed in this paper has a better control performance under the action of constant multiplicative actuator faults, providing the advantages of strong tracking performance, a smooth and bounded control input signal, and uncertainty estimation.
The following multiplicative and additive actuator fault model is also considered:
This fault model shows that the actuators have constant multiplicative faults with when , which indicates that actuators lose 80% of their effectiveness. The actuators endure constant multiplicative faults and time-varying additive faults when . The simulation results of the L1 adaptive controller and MRAC are compared in Figure 6.
The response curves of the system with multiplicative and additive actuator faults are shown in Figure 6. From Figure 6c, it can be seen that when multiplicative and additive actuator faults occur at the same time, the L1 adaptive controller outputs smoother control signals to compensate for these faults. It can clearly be observed that the tracking error of MRAC reaches more than 10% in Figure 6a and even larger in Figure 6b, while the L1 adaptive controller still converges to zero as in the case of a single multiplicative fault. Figure 6d illustrates that when additive actuator faults are added at , the estimate of the lumped uncertainty presents a larger fluctuation compared with the previous moments when only a single multiplicative fault is present, but still maintains a bounded and smooth estimation. A look at Figure 5 and Figure 6 reveals that the L1 adaptive controller has better tracking performance, stronger stability, and fault tolerance than MRAC.
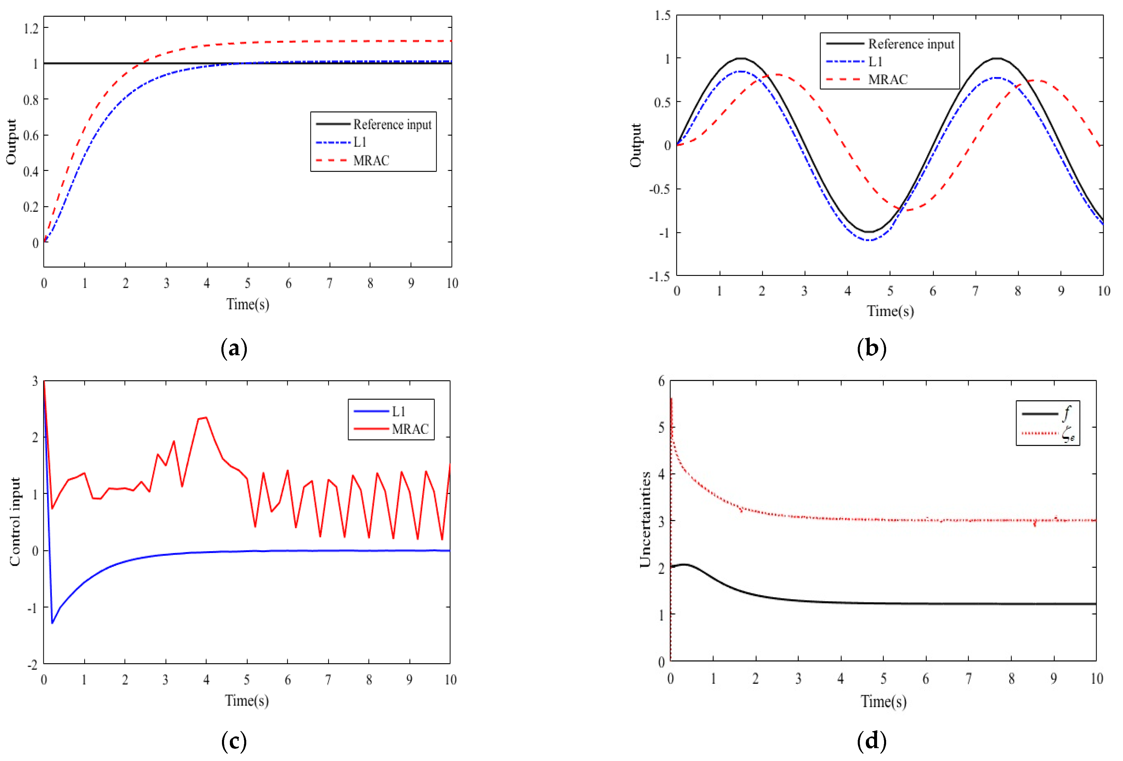
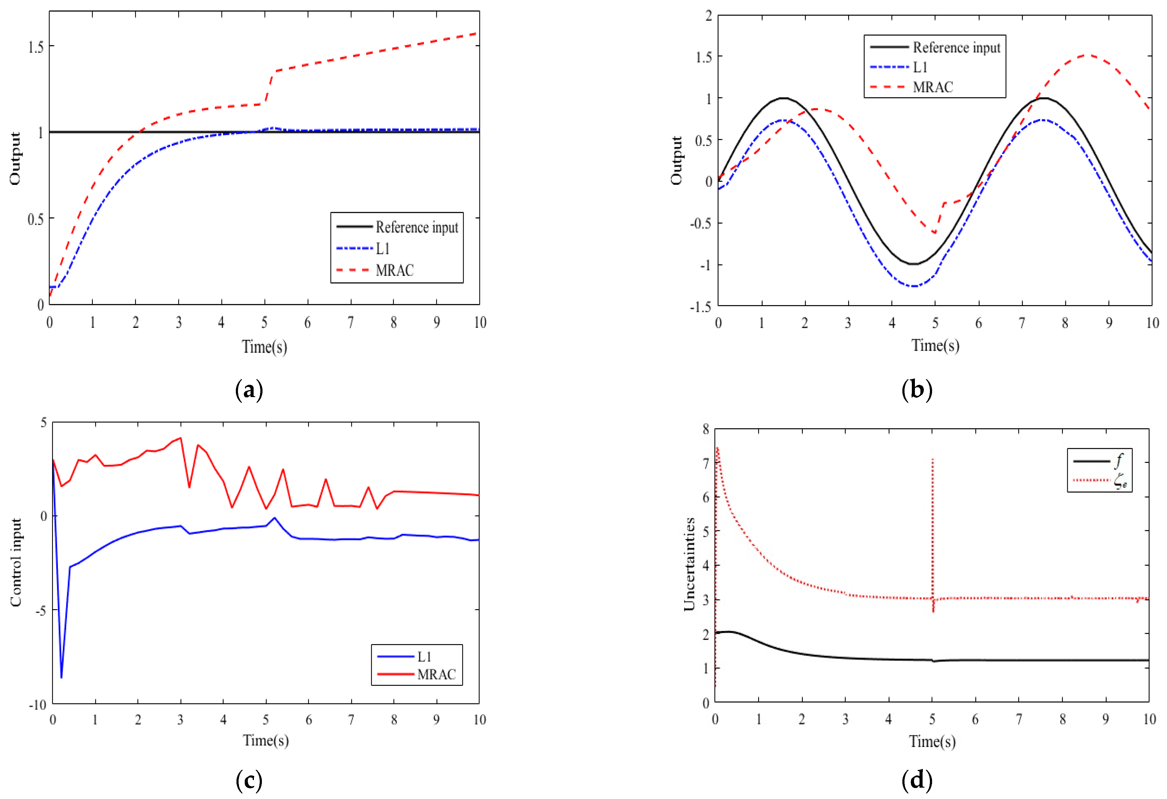
- Case 4. Actuator faults and sensor faults (constant faults and time-varying faults)
The following multiple faults are considered:
Actuator faults:
Sensor faults:
This fault model shows that the actuators have constant multiplicative faults with when , which indicates that actuators have only 20% of control effectiveness. The actuators have time-varying multiplicative faults and constant additive faults when , and there are only constant multiplicative faults in the system when . Meanwhile, the sensors have constant bias faults with a magnitude of 0.1 when , and have time-varying faults when . The simulation results of the L1 adaptive controller and MRAC are compared in Figure 7.
From Figure 7a,b, it can be seen that the output signal of MRAC cannot track the reference input well and the tracking error keeps increasing from , due to the simultaneous effect of actuator and sensor faults. On the other hand, the output signals of the L1 adaptive controller maintain smooth and stable responses, except for slight fluctuations at the moment of faults occurrence. The control input curve of the L1 adaptive controller in Figure 7c shows that at the moments when the faults change, ( and ), the control input signal oscillates slightly in order to counteract the performance degradation caused by the faults, but quickly returns to the equilibrium position. The control input signal is stable and converges fast. Meanwhile, the control signal of MRAC oscillates for a period of time before stabilizing; the same is valid for the lumped uncertainty estimation curve illustrated in Figure 7d. Synthesizing the response curves in Figure 2, Figure 3, Figure 4, Figure 5, Figure 6 and Figure 7, it can be concluded that the L1 adaptive controller exhibits excellent tracking performance, good stability, and fault tolerance in all four simulation scenarios.
6. Conclusions
In this paper, an L1 adaptive fault-tolerant controller against multiple faults, input constraint, and external disturbances was designed. Sensor faults and input constraint are transformed and reorganized through state expansion and nonlinear function approximation. Combined with actuator faults, external disturbances, and approximation errors, an uncertain nonlinear system with unknown parameters and lumped uncertainties was developed. Moreover, the design of the L1 adaptive fault-tolerant controller compensates for the effects of uncertainties. With the integrated effect of the state predictor, adaptive laws, and control law components, the L1 adaptive controller achieves concise and effective control without additional fault observers or estimators. The comparative simulation results demonstrate that the designed controller has good stability, fault tolerance, and tracking performance. The performance of the proposed controller will be further implemented and validated in the future using nonlinear systems such as unmanned aerial vehicles and unmanned surface vehicles. Meanwhile, fault-tolerant control for other types of sensor faults, such as stuck faults and loss of effectiveness faults, is another future research direction.
Author Contributions
Conceptualization, Y.Z. and H.G.; methodology, H.L.; software, Y.Z.; validation, H.L. and Y.Z.; formal analysis, Y.Z.; writing—original draft preparation, H.G.; writing—review and editing, Y.Z. All authors have read and agreed to the published version of the manuscript.
Funding
This work was supported by the Key Fields Special Project of Guangdong Provincial Colleges and Universities under grant 2021ZDZX1082.
Data Availability Statement
The data are contained within the article.
Conflicts of Interest
The authors declare no conflicts of interest.
References
- Chen, L.; Alwi, H.; Edwards, C.; Sato, M. Flight evaluation of an LPV sliding mode observer for sensor FTC. IEEE Trans. Control Syst. Technol. 2022, 30, 1319–1327. [Google Scholar] [CrossRef]
- Xiao, S.Y.; Dong, J.X. Robust adaptive fault-tolerant tracking control for uncertain linear systems with actuator failures based on the closed-loop reference model. IEEE Trans. Syst. Man Cybern. Syst. 2020, 50, 3448–3455. [Google Scholar] [CrossRef]
- Gao, Z.; Chen, Y.D.; Li, W.Q.; Song, Y.D. Robust adaptive fault-tolerant proportional-derivative tracking control for six-degrees of freedom unmanned aerial vehicles. Int. J. Robust Nonlinear Control 2022, 32, 9761–9775. [Google Scholar] [CrossRef]
- Cao, L.; Li, H.Y.; Dong, G.W.; Lu, R.Q. Event-triggered control for multiagent systems with sensor faults and input saturation. IEEE Trans. Syst. Man Cybern. Syst. 2021, 51, 3855–3866. [Google Scholar] [CrossRef]
- Ding, R.Q.; Cheng, M.; Zheng, S.; Xu, B. Sensor-fault-tolerant operation for the independent metering control system. IEEE-ASME Trans. Mechatron. 2021, 26, 2558–2569. [Google Scholar] [CrossRef]
- Wang, B.; Shen, Y.Y.; Zhang, Y.M. Active fault tolerant control for a quadrotor helicopter against actuator faults and model uncertainties. Aerosp. Sci. Technol. 2020, 99, 105745. [Google Scholar] [CrossRef]
- Kazemi, H.; Yazdizadeh, A. Optimal state estimation and fault diagnosis for a class of nonlinear systems. IEEE/CAA J. Autom. 2020, 7, 517–526. [Google Scholar] [CrossRef]
- Wang, R.J.; Zhao, C.J.; Bai, Y.; Du, W.H.; Wang, J.Y. An actuator fault detection and reconstruction scheme for hex-rotor unmanned aerial vehicle. IEEE Access 2019, 7, 93937–93951. [Google Scholar] [CrossRef]
- Huang, C.; Huang, H.L.; Naghdy, F.; Du, H.P.; Ma, D.Z. Actuator fault tolerant control for steer-by-wire systems. Int. J. Control 2021, 94, 3123–3134. [Google Scholar] [CrossRef]
- Kang, Y.F.; Yao, L.; Wang, H. Fault isolation and fault-tolerant control for Takagi-Sugeno fuzzy time-varying delay stochastic distribution systems. IEEE Trans. Fuzzy Syst. 2022, 30, 1185–1195. [Google Scholar] [CrossRef]
- Xu, D.Z.; Zhu, F.L.; Zhou, Z.P.; Yan, X.G. Distributed fault detection and estimation in cyber–physical systems subject to actuator faults. ISA Trans. 2020, 104, 162–174. [Google Scholar] [CrossRef]
- Liu, C.; Jiang, B.; Patton, R.J.; Zhang, K. Hierarchical structure-based adaptive fault-tolerant consensus control for multiple 3-DOF laboratory helicopters. Int. J. Adapt. Control 2020, 34, 992–1012. [Google Scholar] [CrossRef]
- Liu, C.; Zhao, X.; Wang, X.F.; Ren, X.Q. Adaptive fault identification and reconfigurable fault-tolerant control for unmanned surface vehicle with actuator magnitude and rate faults. Int. J. Robust Nonlinear Control 2023, 33, 5463–5483. [Google Scholar] [CrossRef]
- Zhong, Y.J.; Zhang, Y.M.; Ge, S.Z.S.; He, X. Robust distributed sensor fault detection and diagnosis within formation control of multiagent systems. IEEE Trans. Aerosp. Electron. Syst. 2023, 59, 1340–1353. [Google Scholar] [CrossRef]
- Lyu, P.; Liu, S.C.; Lai, J.Z.; Liu, J.Y. An analytical fault diagnosis method for yaw estimation of quadrotors. Control Eng. Pract. 2019, 86, 118–128. [Google Scholar] [CrossRef]
- Lu, P.; Kampen, E.J.V.; Visser, C.D.; Chu, Q.P. Air data sensor fault detection and diagnosis in the presence of atmospheric turbulence: Theory and experimental validation with real flight data. IEEE Trans. Control Syst. Technol. 2021, 29, 2255–2263. [Google Scholar] [CrossRef]
- Wang, H.; Yao, L.N. Sensor fault diagnosis and fault-tolerant control for stochastic distribution time-delayed control systems. Int. J. Adapt. Control 2019, 33, 1395–1406. [Google Scholar] [CrossRef]
- Chen, F.Y.; Gong, J.X.; Li, Y.Q. Adaptive diagnosis and compensation for hypersonic flight vehicle with multisensor faults. Int. J. Robust Nonlinear Control 2019, 29, 6145–6163. [Google Scholar] [CrossRef]
- Ma, X.J.; Liu, S.Q.; Cheng, H.H. Civil aircraft fault tolerant attitude tracking based on extended state observers and nonlinear dynamic inversion. J. Syst. Eng. Electron. 2022, 33, 180–187. [Google Scholar] [CrossRef]
- Wang, J.Q.; Fang, F.; Yi, X.J.; Liu, Y.J. Dynamic event-triggered fault estimation and sliding mode fault-tolerant control for networked control systems with sensor faults. Appl. Math. Comput. 2021, 389, 125558. [Google Scholar] [CrossRef]
- Ding, J.Y.; Liu, Y.; Yu, J.Y.; Yang, X.B. Dissipativity-based integrated fault estimation and fault tolerant control for IT2 polynomial fuzzy systems with sensor and actuator faults. IEEE Trans. Fuzzy Syst. 2023, 31, 2956–2965. [Google Scholar] [CrossRef]
- Zhu, L.; Li, X.F.; Huang, D.Q.; Dong, H.R.; Cai, L.C. Distributed cooperative fault-tolerant control of high-speed trains with input saturation and actuator faults. IEEE Trans. Intell. Veh. 2023, 8, 1241–1251. [Google Scholar] [CrossRef]
- Yang, C.G.; Huang, D.Y.; He, W.; Cheng, L. Neural control of robot manipulators with trajectory tracking constraints and input saturation. IEEE Trans. Neural Netw. Learn. 2021, 32, 4231–4242. [Google Scholar] [CrossRef] [PubMed]
- Do, V.T.; Lee, S.G. Neural integral backstepping hierarchical sliding mode control for a ridable ballbot under uncertainties and input saturation. IEEE Trans. Syst. Man Cybern. Syst. 2021, 51, 7214–7227. [Google Scholar] [CrossRef]
- Zhang, Y.Q.; Liu, Y.J.; Liu, L. Minimal learning parameters-based adaptive neural control for vehicle active suspensions with input saturation. Neurocomputing 2020, 396, 153–161. [Google Scholar] [CrossRef]
- Wei, Y.L.; Sheng, L.; Gao, M.; Ma, Y.H. Anti-saturation fault-tolerant control for Markov jump nonlinear systems with unknown control coefficients and unmodeled dynamics. Nonlinear Anal. Hybrid 2023, 50, 101384. [Google Scholar] [CrossRef]
- Liang, H.J.; Liu, G.L.; Huang, T.W.; Lam, H.K.; Wang, B.H. Cooperative fault-tolerant control for networks of stochastic nonlinear systems with nondifferential saturation nonlinearity. IEEE Trans. Syst. Man Cybern. Syst. 2022, 52, 1362–1372. [Google Scholar] [CrossRef]
- Hu, Q.L.; Shao, X.D.; Guo, L. Adaptive fault-tolerant attitude tracking control of spacecraft with prescribed performance. IEEE-ASME Trans. Mechatron. 2018, 23, 331–341. [Google Scholar] [CrossRef]
- Yan, X.H.; Chen, M.; Feng, G.; Wu, Q.X.; Shao, S.Y. Fuzzy robust constrained control for nonlinear systems with input saturation and external disturbances. IEEE Trans. Fuzzy Syst. 2021, 29, 345–356. [Google Scholar] [CrossRef]
- Yu, Z.Q.; Qu, Y.H.; Zhang, Y.M. Distributed fault-tolerant cooperative control for multi-UAVs under actuator fault and input saturation. IEEE Trans. Control Syst. Technol. 2019, 27, 2417–2429. [Google Scholar] [CrossRef]
- Yu, Z.Q.; Zhang, Y.M.; Jiang, B.; Fu, J.; Jin, Y.; Chai, T.Y. Composite adaptive disturbance observer-based decentralized fractional-order fault-tolerant control of networked UAVs. IEEE Trans. Syst. Man Cybern. Syst. 2022, 52, 799–813. [Google Scholar] [CrossRef]
- Lee, D.; Leeghim, H. Reaction wheel fault-tolerant finite-time control for spacecraft attitude tracking without unwinding. Int. J. Robust Nonlinear Control 2020, 30, 3672–3691. [Google Scholar] [CrossRef]
- Gao, J.W.; Fu, Z.M.; Zhang, S. Adaptive fixed-time attitude tracking control for rigid spacecraft with actuator faults. IEEE Trans. Ind. Electron. 2019, 66, 7141–7149. [Google Scholar] [CrossRef]
- Yang, P.; Liu, P.; Wen, C.W.; Geng, H.L. Fault-tolerant control for a class of n-order systems based on fast terminal sliding mode and extended state observer. Meas. Control-UK 2021, 54, 1234–1244. [Google Scholar] [CrossRef]
- Bayless, J.A.; Voglewede, P.A. Joystick steering in recreational boats using L1 adaptive control. J. Dyn. Syst. Meas. Control 2020, 142, 064501. [Google Scholar] [CrossRef]
- Alyazidi, N.M.; Mahmoud, M.S. L1 adaptive networked controller for islanded distributed generation systems in a microgrid. Int. J. Syst. Sci. 2018, 49, 2507–2524. [Google Scholar] [CrossRef]
- Park, H.S.; Kim, Y.D. Adaptive fault tolerant flight control for input redundant systems using a nonlinear reference model. IEEE Trans. Aerosp. Electron. Syst. 2021, 57, 3337–3356. [Google Scholar] [CrossRef]
- Cao, C.Y.; Hovakimyan, N. L1 adaptive controller for a class of systems with unknown nonlinearities: Part I. In Proceedings of the 2008 ACC, Seattle, WA, USA, 11–13 June 2008; pp. 4093–4098. [Google Scholar] [CrossRef]
- Cao, C.Y.; Hovakimyan, N. Novel L1 neural network adaptive control architecture with guaranteed transient performance. IEEE Trans. Neural Netw. 2007, 18, 1160–1171. [Google Scholar] [CrossRef]
- Pomet, J.B.; Praly, L. Adaptive Nonlinear Regulation: Estimation from the Lyapunov Equation. IEEE Trans. Autom. Control. 1992, 37, 729–740. [Google Scholar] [CrossRef]
Disclaimer/Publisher’s Note: The statements, opinions and data contained in all publications are solely those of the individual author(s) and contributor(s) and not of MDPI and/or the editor(s). MDPI and/or the editor(s) disclaim responsibility for any injury to people or property resulting from any ideas, methods, instructions or products referred to in the content. |
© 2024 by the authors. Licensee MDPI, Basel, Switzerland. This article is an open access article distributed under the terms and conditions of the Creative Commons Attribution (CC BY) license (https://creativecommons.org/licenses/by/4.0/).







