Abstract
In order to obtain information regarding changes in the air cushion flow field and load-bearing characteristics of a single row hole air cushion belt conveyor, a structural model of the air cushion of the belt conveyor was established, with the single row hole air cushion belt conveyor as the research object. Firstly, according to the theory of fluid lubrication, a mathematical model of the air cushion was established. Then, the effects of air cushion thickness, pore velocity, and belt velocity on the pressure and bearing characteristics of the air cushion flow field were studied using FLUENT software. In addition, the equivalent stress, displacement, and pressure curves between the air cushion flow field and the conveyor belt and the material were analyzed using the two-way fluid–solid coupling method. Finally, the experimental platform of a single row hole air cushion belt conveyor was built, and the flow field and bearing characteristics of the belt were verified through experiments. The results show that reducing the thickness of the air cushion and increasing the pore flow rate can improve the pressure and bearing characteristics of the air cushion, while speed has little effect at lower belt speeds.
1. Introduction
The working principle of the air-cushion belt conveyor is that the fan sends a certain flow and pressure of air into the air chamber. The gas flows out through the air holes onto the disk groove, generating an air film with a certain pressure between the disk groove and the conveyor belt, thus forming an air cushion to support the conveyor belt and the materials on it. The air cushion conveyor utilizes air cushions instead of traditional idlers, converting the rolling friction between the conveyor belt and idlers into fluid friction between the conveyor belt and the disk groove, with air as the medium [1]. Therefore, the formation of a uniform and stable air cushion state is key to the design and operation of air cushion belt conveyors.
In terms of gas film thickness, Wu et al. introduced a method for assessing the thickness of the air film in an air cushion belt conveyor. They developed accompanying software to automatically generate a curve depicting the variations in air film thickness [2]. Zhu et al. constructed a mathematical model for the air film and researched on the thickness of the air film in air cushion belt conveyors, utilizing gap flow theory and experimental methods [3]. Pang summarized and introduced four calculation methods for the air film thickness of an air cushion belt conveyor based on the theory of incompressible viscous fluid flow [4]. Xiong et al. analyzed the thermal elastic deformation characteristics of air-lubricated thrust bearings based on fluid–structure coupling. They found that the thermal warping deformation of the rotor at low speeds plays a dominant role in increasing the thickness of the air film [5]. Hou et al. proposed a parallel hybrid floating height prediction model that can predict the floating height of the strip in an air-cushioned furnace under low floating conditions [6,7,8].
Researching air cushion pressure, Ji et al. constructed a mathematical model of the air cushion pressure field based on theoretical research, carrying out a numerical simulation of the air cushion pressure field [9]. Pang et al. devised a formula to calculate the air cushion pressure at different groove positions and its theoretical distribution curve. They used FLUENT6.2 software to simulate the starting flow field [10]. Huang analyzed two kinds of air cushion pressure calculation methods for the purpose of reasonable fan selection [11]. Zhang et al. employed the finite element method to compute the air cushion pressure of an air cushion belt conveyor and performed experimental validation [12]. Yang et al. studied the pressure distribution in the air cushion chamber of an air-cushion-supported catamaran under low and high-speed conditions [13]. Jing, et al. employed the boundary element method to compute and examine the motion response of a barge platform assisted by a zero-pressure air cushion when subjected to both regular and irregular waves [14]. Eremeyev et al. proposed a dynamic mathematical model of a balloon-type air cushion vehicle that can predict all the main characteristics of ship motion, such as trajectory, force, moment, and air cushion pressure [15]. Xu et al. conducted a numerical study on the pressure response characteristics of the cushion system of an air cushion vehicle [16]. Wu et al. studied the contact interaction between a finger and an object when wearing air-cushioned gloves and concluded that the internal air pressure can adjust the contact characteristics of the fingertip object [17]. Finally, Lu et al. analyzed the influence of cushion pressure and airflow on the resistance performance of an air-cushion-supported catamaran from the perspective of total resistance [18].
In terms of air cushion bearing capacity, Li simplified the gas film bearing problem of an air cushion belt conveyor to a two-dimensional gas lubrication problem represented by the Navier–Stokes equation and calculated the numerical relationship of the design parameters such as gas film bearing capacity using the finite element method [19]. Mo et al. took an air-floating guide rail in the form of a single row of orifices as the research object and obtained the changing trend of the air-floating guide rail’s bearing capacity along with the gas film’s thickness [20]. Li et al. studied the influence of structural parameters on the bearing capacity of spiral groove hydrodynamic thrust gas bearings under variable operating conditions [21]. Zhang et al. analyzed the bearing characteristics of micro spiral groove thrust air bearings in an ammonia–air mixed environment [22]. Fan et al. studied the characteristics of a gas film flow field and the change in bearing capacity near the orifice of an aerostatic journal bearing under eccentricity conditions and different gas supply pressures [23]. Guo et al. studied the film-forming behavior of an air-cushioned belt conveyor under a stable load [24], while Zhang et al. analyzed the loading capacity of gas film and verified the stability of its bearing capacity through experiments [25]. Quan et al. studied an air bearing and obtained the load-bearing capacity and its variation and extruded film air bearing. Reducing the gap between the bearing and the rotor, increasing the amplitude of the bearing sleeve, and increasing the contact area between the bearing and the rotor can improve the load-bearing capacity of the extruded film air bearing [26].
Researching air film stiffness, Yu et al. conducted numerical simulation and analysis on the air film stiffness of non-contact dynamic sealing spiral grooves. The air film stiffness decreased with the increase of air film thickness, and the curve of air film stiffness with thickness tended to be stable with the rise of air film thickness [27]. Ding et al. analyzed the testing and stability of the air film stiffness of spiral groove dry gas seals. They tested three prototypes with different helix angles in the experiment and found that when the helix angle was 74°, the air film stiffness was the highest, and the air film stability was the best [28,29]. Hashimoto et al. proposed an optimal design method to minimize the friction torque and maximize the gas film stiffness of spiral and bone-suction gas film thrust bearings [30]. Ibrahim et al. obtained the optimized dynamic stiffness by changing the allowable film thickness [31]. Lin et al. analyzed the individual stiffness and vibration error sources of a hydrostatic guideway. They obtained the micro-errors of the gas film stiffness and individual stiffness of four different cross-section bearings caused by random air vibration [32]. Moreover, Chen et al. analyzed the vibration of a gas-bearing table under the micro-scale effect. According to the Reynolds equation and the airflow characteristics, considering different microscopic factors, the stiffness (K) and damping (C) of the gas film were obtained [33].
Many scholars at home and abroad have done much work on the air cushion belt conveyor, mainly focusing on numerical simulation. However, there are few studies on the flow field characteristics and bearing characteristics of the air cushion belt conveyor through the two-way fluid–solid coupling analysis method. The change in the pressure of the air cushion field will cause the conveyor belt to deform, and the thickness of the air cushion will also change, resulting in movement and displacement in the fluid area. The two-way fluid–solid coupling analysis can better analyze the air cushion’s flow field and bearing characteristics than the one-way analysis. Based on predecessors, this paper studies air cushions’ flow field and bearing characteristics using theoretical derivation, numerical simulation, and experimental verification. The air cushion flow field’s pressure and velocity distribution law are obtained, and the bearing capacity of the air cushion is analyzed, which provides a basis for the optimal design of the air cushion belt conveyor.
2. Theoretical Analysis of Air Cushion Flow Field
2.1. Theoretical Distribution of Air Cushion Pressure
Figure 1 shows a cross-sectional diagram of the air cushion belt conveyor. The air cushion pressure is equal to the pressure carried by the air cushion belt conveyor, which is a necessary condition for its operation. The pressure is generated by the weight of the conveyor belt, the additional bending deformation force is required for the conveyor belt to bend into a disk-shaped groove, and the pressure is generated by the weight of the material.
Figure 1.
Air cushion belt conveyor cross-sectional diagram.
The calculation equation for the air cushion pressure is as follows [34]:
where is the transverse stiffness of the conveyor belt, N/m; is the width of the conveyor belt, mm; is the groove position angle, rad; is the weight of conveyor belt per unit length, N/m; is material density, kg/m3; is the acceleration of gravity, m/s2; is the maximum disk groove position angle, rad; is the radius of the groove, mm; and is the material accumulation angle.
2.2. Gas Flow Model near the Pores
The theoretical thickness of the air cushion on the belt conveyor is theoretically 3–5 mm, and the variation range is relatively small. Therefore, the gas flow of the air hole attachment can be regarded as the radial gap source flow between the parallel disks [35], as shown in Figure 2.
Figure 2.
Schematic diagram of pore radial gap source flow.
The parallel disk model is symmetrical to the axis. Due to the relatively small thickness of the air cushion, it is possible to consider , , . The Navier–Stokes equation represented by a cylindrical coordinate system can be simplified as follows:
The continuity equation is simplified to
The pressure and velocity distribution equations of the flow field near the hole can be obtained as follows:
where is the radial mass force, m/s2; is air density, kg/m3; is the air cushion pressure, Pa; is the inlet pressure, Pa; is the total pressure difference, Pa; is the radius of the disk, mm; is the pore radius, mm; is air viscosity, m2/s; is the speed, m/s; is the mass force in the direction, m/s2; is the dynamic viscosity of air, Pa·s; and is the thickness of the air cushion, mm.
2.3. Cross-Section Gas Outflow Model
The material on the conveyor belt is distributed on the conveyor belt in the middle thick and thin areas on both sides, which also leads to the gradual decrease in air cushion pressure from the middle to the edges along the bandwidth direction. Similarly, the thickness of the air cushion is in the direction of the bandwidth, the middle thick edge is relatively thin, and the radius of the groove is much larger than the thickness of the air cushion. Therefore, the angle-wedge-shaped gap formed by the conveyor belt and the disk groove can be used, that is, the air cushion transverse gap flow model, as shown in Figure 3.
Figure 3.
Wedge gap flow model.
For the above reasons, the following can be considered: , , mass force , .
The pressure distribution and temperature of the cross-section of the air cushion remain basically unchanged. The air cushion is regarded as incompressible flow, and the density is constant. At this time, the N–S equation can be simplified as follows:
The continuous equation can be simplified to
Continuing to simplify the above equations, the velocity and pressure distribution of the air cushion along the cross-section can be obtained:
where is the pressure at the center of the air cushion, Pa; is the pressure at the outlet of the air cushion, Pa; is the thickness at the center of the air cushion, mm; and is the thickness at the outlet of the air cushion, mm.
2.4. Air Cushion Stiffness Analysis
The stiffness of the air cushion can reflect its carrying capacity: the greater the stiffness, the greater the carrying capacity. When the load changes, the air cushion has a stronger anti-interference ability and stronger stability. Analogous to spring stiffness, air cushion stiffness can be defined as follows:
where is the air cushion bearing capacity, N, is the stiffness of air film, N/mm.
3. Numerical Simulation of Air Cushion Field
The simulation hardware device used was an Intel (R) Xeon (R) Gold 6133 CPU @ 2.5 GHz 2.49 GHz (two-core processor) equipped with 96 GB RAM and a Win10 64-bit operating system workstation. The simulation environment was Workbench 2021R1.
3.1. Model Foundation
The radius of the groove is 1007 mm, and the width of the conveyor belt is 1000 mm. The thickness of the outlet on the left and right sides of the air cushion model is , and the thickness of the middle of the air cushion is . Based on the upper surface of the disc groove, the arcs are made at the three points determined by and values, respectively, as the position of the lower surface of the conveyor belt. The cross-section of the air cushion thickness is made with the upper surface of the disc groove and the lower surface of the conveyor belt as the edge, and then stretched along the direction to form a complete air cushion model. The front and rear sides of the air cushion are set as symmetrical surfaces, and the left and right sides are gas outlets. The model of the air cushion is shown in Figure 4.
Figure 4.
Air cushion model.
3.2. Influence of Air Cushion Thickness on the Pressure of Air Cushion Flow Field and Bearing Capacity of Air Cushion
Considering the symmetry of the geometric model, a half air cushion model is used for the analysis. The mesh is polyhedral mesh divided by Fluent mesh, and the minimum orthogonal mass is 0.35. Due to the relatively small thickness of the air cushion, the boundary layer is set to two layers. Due to the relatively low pressure and velocity of the air cushion, air is considered an incompressible fluid, and the influence of air gravity is ignored. The static pressure at the inlet of the air cushion pressure is set to 6.8 kPa, the outlet pressure on both sides of the air cushion is set to 0 kPa, and we assume that the fluid is air at temperature of 300 K. The density is constant as the default of the software, the density is 1.225 kg/m3, and the viscosity is 1.7894 × 10−5 kg/m·s. The three-dimensional dual-precision model is adopted. The turbulence model uses the standard model. The coupled solution method is used. At the same time, the residual curve is selected as the monitoring window to observe the iterative process of the solution process.
Because this paper analyzes the single row hole air cushion belt conveyor and since the air hole spacing is not very large, the pressure between the two pores is relatively stable, and the mutual influence is not very large. However, the pressure loss of the air cushion belt conveyor in the cross-section is larger than that in the running direction, so, the following focuses on the analysis of a curve pressure distribution along the bandwidth near the air cushion hole and on the cross-section.
Under the condition that the radius of the groove is constant, the diameter of the hole is 8 mm, the distance between the holes is 100 mm, and the thickness of the outlet on both sides is 0.5 mm. Figure 5a–d illustrates the wall pressure distribution corresponding to the central hole with air cushion thicknesses of 3 mm, 4 mm, 5 mm, and 6 mm. From the pressure cloud map, it can be concluded that the pressure around the central hole decreases approximately monotonically from the inside out along the radius direction of the central hole. Due to the existence of the gas eddy current effect, the pressure value of some areas in the center of adjacent pores is lower than that of adjacent areas. The smaller the thickness of the air cushion, the larger the pressure near the center of the pore, and the more uniform the distribution of the larger pressure value. The maximum pressure appears in the center of the air hole, and the pressure peaks are 6718, 6697, 6705, and 6785 Pa, respectively. The maximum value of the wall pressure does not increase with the decrease in air cushion thickness, but the distribution of a larger pressure value is more uniform, which also reflects the complexity of the pressure generation in the air cushion flow field.
Figure 5.
Wall pressure distribution corresponding to the center hole of different air cushion thicknesses. (a) Air cushion thickness of 3 mm. (b) Air cushion thickness of 4 mm. (c) Air cushion thickness of 5 mm. (d) Air cushion thickness of 6 mm.
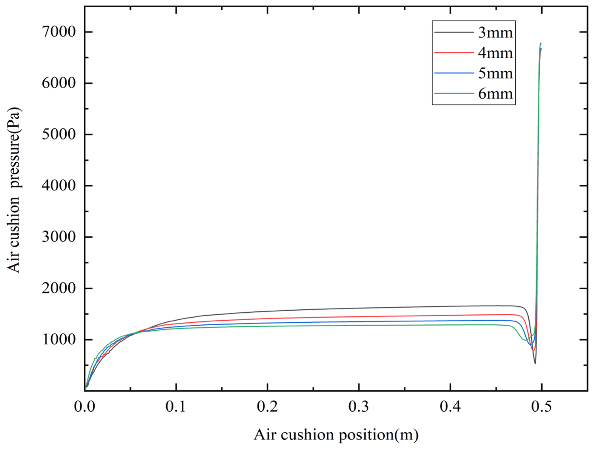
The variation curves of the air cushion pressure with different air cushion thicknesses are shown in Figure 6. The maximum pore pressure is located in the center of the pore. Due to the generation of eddy currents near the pores, gas flow pulsations and pressure losses occur, resulting in certain fluctuations in the pressure values near the pores. The larger the thickness of the air cushion, the more intense the pressure fluctuations near the pores. The pressure distribution curves of the different air cushion thicknesses are basically the same, and the pressure at the same position of the air cushion decreases with an increase in the air cushion thickness. The pressure of the air cushion is symmetrical around the central hole, and the pressure of the cross-section of the air cushion exhibits an approximately flat-top distribution.
Figure 6.
Air cushion pressure distribution of different air cushion thicknesses.
The thickness interval of the air cushion is 0.5 mm, and the bearing capacity of the air cushion for seven kinds of air cushion thicknesses is obtained. The relationship between the thickness of the air cushion and the bearing capacity is shown in Figure 7. It can be seen from the figure that as the thickness of the air cushion increases, its bearing capacity gradually decreases. Using interpolation and fitting methods, we can deduce that the thickness of the air cushion is inversely proportional to its load-bearing capacity.
Figure 7.
Relationship between air cushion thickness and air cushion bearing capacity.
According to Equation (16), the stiffness of the air cushion can be obtained by deriving the fitted air cushion bearing equation. Equation (17) shows that the air cushion stiffness has a linear relationship with the thickness of the air cushion and decreases with a decrease in thickness.
3.3. Influence of Air Hole Velocity on Air Cushion Flow Field Pressure and Bearing Capacity
Under the condition that the radius of the groove is constant, the diameter of the hole is 8 mm, the spacing of the holes is 100 mm, the thickness of the air cushion is 3 mm, and the thickness of the outlets on both sides is 0.5 mm. Figure 8a–d shows the wall pressure distribution corresponding to the center hole of the hole velocity of 70 m/s, 80 m/s, 90 m/s, and 100 m/s. As it can be seen from the pressure cloud diagram, the maximum pressure appears at the center of the hole, and the pressure peaks are 5944, 7714, 9727, and 11,932 Pa, respectively. The pressure peak increases gradually with an increase in the flow velocity.
Figure 8.
Wall pressure distribution corresponding to central holes of different pore velocities. (a) Air holel velocity of 70 m/s. (b) Air holel velocity of 80 m/s. (c) Air holel velocity of 90 m/s. (d) Air holel velocity of 100 m/s.
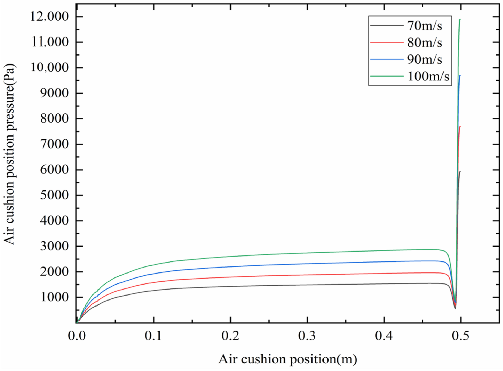
The variation curves of air cushion pressure at different pore velocities are shown in Figure 9. The maximum pore pressure is located near the center of the pore. The distribution curves of air cushion pressure at different pore velocities are basically the same, and the pressure at the same position of the air cushion increases with an increase in pore velocity.
Figure 9.
Air cushion pressure distribution at different pore velocities.
The pore velocity interval is 10 m/s, and the air cushion bearing capacity of seven kinds of pore velocity is obtained. The relationship between air cushion velocity and air cushion bearing capacity is shown in Figure 10. From the diagram, it can be seen that with an increase in the air cushion flow rate, which is equivalent to an increase in the air supply volume of the fan, the air cushion bearing capacity also gradually increases. Using the interpolation fitting method, it can be concluded that the air cushion thickness has a linear relationship with the air cushion bearing capacity.
Figure 10.
Relationship between pore flow velocity and air cushion bearing capacity.
3.4. Influence of Belt Speed on Air Cushion Flow Field Pressure and Bearing Capacity
Under the condition that the radius of the groove is constant, the diameter of the hole is 8 mm, the hole spacing is 100 mm, the thickness of the air cushion is 3 mm, the thickness of the outlet on both sides is 0.5 mm, and the inlet pressure is 6800 Pa. Figure 11a–d shows the wall pressure distribution corresponding to the central hole with velocities of 1 m/s, 3 m/s, 5 m/s, and 7 m/s. The speed of the conveyor belt is to set the upper surface of the air cushion, that is, the surface in contact with the conveyor belt, as the moving wall surface and the other wall surfaces are set unchanged. Then, the running speed of the conveyor belt is simulated by setting different speeds. The pressure cloud map reveals that the maximum pressure appears at the center of the air hole, and the peak pressures are 6678, 6677, 6677, and 6675 Pa, respectively. Compared with the data in Figure 5a, the dynamic pressure generated by the low belt speed does not have much of an effect on the pressure corresponding to the wall surface of the center hole and only slightly decreases.
Figure 11.
Wall pressure distribution corresponding to the center hole of different belt speeds. (a) Belt speed of 1 m/s. (b) Belt speed of 3 m/s. (c) Belt speed of 5 m/s. (d) Belt speed of 7 m/s.
Figure 12 shows the curves of the air cushion pressure at different belt speeds. The maximum pore pressure is located near the center of the pore. When the belt speed is low, the pressure distribution curves basically coincide; thus, it can be concluded that a lower belt speed will not have much influence on the air cushion pressure.
Figure 12.
Air cushion pressure distribution at different belt speeds.
At a speed interval of 1 m/s, the bearing capacity of seven kinds of air cushions with speed is obtained. Figure 13 shows the relationship between the belt speed and the bearing capacity of the air cushion. The diagram reveals that the difference in the bearing capacity of the air cushion at different belt speeds is minimal, indicating that the air cushion conveyor is particularly suitable for high-speed operation.
Figure 13.
Air cushion bearing capacity at different belt speeds.
3.5. Fluid–Solid Coupling Analysis of Air Cushion Flow Field, Conveyor Belt, and Material
The conveyor belt and material are supported by a very thin layer of air cushioning for air cushion belt conveyors. The pressure exerted by the air cushion causes deformation in the conveyor belt, and the altered shape of the conveyor belt, in turn, influences the thickness of the air cushion, leading to displacement and motion within the fluid domain. This interactive dynamic should be analyzed through bidirectional fluid–structure coupling. This mutually influential relationship should be analyzed using two-way fluid–solid coupling. This approach considers the simulation of fluid and solid characteristics at the same time so that the results are closer to the real situation. In the coupling simulation, in order to provide the flow channel of the airflow and the boundary conditions of the flow field, the initial thickness of the air cushion flow field is set to 1 mm, and the inlet pressure is 6800 Pa. Gravity loads are applied on conveyor belts and materials, as shown in Figure 14. The lower surface of the conveyor belt is set to the Fluid Solid Interface, and symmetrical constraints are added at the specified positions of the three surfaces.
Figure 14.
Constraints and loads.
The data transfer between the coupling surface in the fluid analysis and the fluid–solid interface in the solid analysis is set. The minimum number of coupling iterations is two, the maximum number of iterations is five, the time step is 0.001 s, and the simulation time is 0.1 s. The density, elastic modulus, and Poisson’s ratio of the conveyor belt and the material are set as shown in Table 1.
Table 1.
Solid domain material properties.
Figure 15 is the equivalent stress cloud diagram of the conveyor belt and the material at the time of 0.1 s. It can be seen that the stress in the bearing area of the conveyor belt is very small due to the gravity of the material. However, the stress at the connection between the bearing area and the non-bearing area of the conveyor belt is large. This is because there is no material in the non-bearing area, and the amount of suspension in the conveyor belt is slightly larger under the action of air cushion pressure, resulting in a larger stress on the upper surface.
Figure 15.
Equivalent stress cloud diagram at 0.1 s.
The maximum and minimum equivalent stress curves of the conveyor belt during the fluid–solid coupling process are shown in Figure 16. The maximum equivalent stress changes considerably at 0–0.04 s, and the maximum equivalent stress is stable near 15,200 Pa after 0.04 s. The minimum equivalent stress gradually stabilizes at 0.06 s and then stabilizes near 0.78 Pa.
Figure 16.
Equivalent stress change curves. (a) Maximum equivalent stress change curve. (b) Minimum equivalent stress change curve.
Figure 17 is the displacement curve of the conveyor belt. The variation trend of the maximum and minimum displacement curves is basically similar. From the beginning of the conveyor belt, there is a small increase, and it gradually stabilizes at 0.1 s. From the size of the stable value, the difference between the maximum and minimum displacement values is not large.
Figure 17.
Displacement change curve.
Figure 18 shows the pressure distribution of the air cushion at 0.1 s. The figure shows that the pressure near the air inlet is maximum. It then gradually decreases from the center of the conveyor belt towards the sides, eventually reaching zero. This behavior aligns with the characteristic that the air cushion pressure depends on the load. After loading, the conveyor belt undergoes elastic deformation, and the air cushion pressure obtained from the fluid–solid coupling simulation is basically consistent with the theoretical calculation.
Figure 18.
Air cushion pressure distribution at 0.1 s.
4. Experimental Platform Construction and Experimental Verification
The experimental platform is shown in Figure 19, with a length of 3 m. The mechanical structure mainly comprises of a disk groove and a gas chamber. The micro-differential pressure transmitter model is GH-130/Y-B8-mA, the range is 0–10 kPa, 24 V DC input, 4–20 mA DC output, and the stability is ±0.5%. The laser displacement sensor model is BL-100 NZ, its measurement range is 65~135 mm, the accuracy is 0.075 mm, the power supply voltage is 24 V, and the reaction time is 10 ms. The micro-differential pressure transmitter measures the pressure value at the lower hole of the conveyor belt. The laser displacement sensor is arranged above the conveyor belt to measure the displacement in the vertical direction of the conveyor belt, and the gas film thickness is calculated. The core of the control system is the PLC. The PLC transmits the control signal to the inverter to control the fan speed, which can change the air cushion pressure and air cushion thickness. Labview2018 software was used to design the system data acquisition software. The data acquisition module can monitor the pressure in real-time and alert when the pressure value exceeds the limit value.
Figure 19.
Experimental platform.
Figure 20 shows the cross-section of material accumulation. The experimental material is coal, the density is 1300 kg/m3, and the loading mass is 150 kg. The conveyor belt is a wire rope core conveyor belt of type ST-2000, with a bandwidth of 1000 mm, a thickness of 22 mm, and a mass per unit length of 34 kg.
Figure 20.
Material accumulation cross-section.
The air cushion pressure was measured in the experiment, and the average was calculated from three sets of measurements. From Table 2, the theoretical values of the central hole air cushion pressure exhibit a slight discrepancy when compared to the measured values, with the theoretical values consistently higher than the experimental measurements. Due to the influence of the elasticity of the conveyor belt, the force condition changes when the suspension condition occurs, which increases the curvature of the conveyor belt and results in additional pressure on the air cushion. However, in the actual situation, this elastic strain will be restored, reducing additional stress. The theoretical calculation does not consider the additional stress caused by the bending of the conveyor belt, and the pressure value will be smaller than the measured value.
Table 2.
Comparison of air cushion pressure results.
Figure 21 shows the thickness distribution of the air cushion. The thickness measured during the experiment is not much different from the theoretical calculation; the middle value is large, and the edge value is small. However, the edge change of the conveyor belt measured during the experiment is slightly different from the theoretical calculation, and the change range at the edge is faster. The reason for this may be that the displacement of the edge part of the conveyor belt is relatively unstable due to the absence of load.
Figure 21.
Air cushion thickness distribution.
5. Conclusions and Perspectives
On the basis of constructing the ideal parameter model, this paper assumes that the load of the conveyor belt is evenly distributed to simplify the research on the air cushion flow field and the bearing characteristics of the single-row hole air cushion belt conveyor, and reveals the influence of air cushion thickness, air hole velocity, and belt speed on the air cushion performance. Some conclusions are drawn as follows:
- In this study, the air cushion structure model of the air cushion belt conveyor is first constructed, and the theoretical formula of the air cushion pressure and the velocity and pressure distribution of the gas inflow and outflow model is obtained through mechanical analysis. These theoretical results provide a solid theoretical basis for the subsequent numerical simulation and experimental analysis of air cushions.
- Under certain conditions, this study reveals the influence of air cushion thickness, pore velocity, and belt velocity on the performance of air cushions. Specifically, reducing the thickness of the air cushion can improve its pressure and bearing capacity. The pore velocity is linearly and positively correlated with its bearing capacity. At the same time, the study also found that at a lower belt speed, the change of belt speed has little effect on the air cushion performance and bearing capacity, which indicates that the air cushion conveyor is very suitable for high belt speed operation.
- In this study, the two-way fluid–solid coupling method is used to further analyze the maximum equivalent stress, displacement curve, and air cushion pressure distribution of the conveyor belt. Through numerical simulation and experimental verification, we obtained the relationship between air cushion pressure and air cushion thickness and found that the theoretical calculation was basically consistent with the experimentally measured values, which verified the accuracy and reliability of the research results.
Due to the uneven thickness of the air cushion during the operation of the air cushion conveyor, the research on the flow field characteristics and bearing characteristics of the air cushion conveyor is still very challenging. This paper can be regarded as a preliminary attempt to study the air cushion flow field and bearing characteristics of single row hole air cushion belt conveyors. The conclusion is helpful to the system design of single row hole air cushion belt conveyors. It should also be noted that the influence of gas eddy current effect on the flow field and bearing characteristics of the air cushion is not considered in the theoretical analysis of the air cushion in this paper, which is also important for the design of the air cushion belt conveyor. Therefore, further research work should be carried out on the interaction of gas eddies on the air cushion flow field and load-bearing characteristics.
Author Contributions
Conceptualization, Y.W.; methodology, Y.W.; investigation, Y.W., L.W. and L.T.; writing—original draft, Y.W.; writing—review and editing, Z.K.; supervision, Z.K.; project administration, Z.K. All authors have read and agreed to the published version of the manuscript.
Funding
This work was supported by National Natural Science Foundation of China under grant 52174147 (project title: Research on Intelligent Control and Fault Diagnosis of Autonomous Inspection Robot for Belt Conveyor in Harsh Environment); Key Technology Research and Industrialization of Intelligent Lower Transportation Expandable Belt Conveyor Equipment (Taishan Industry Leading Talent Program).
Data Availability Statement
The data presented in this study are available on request from the corresponding author.
Conflicts of Interest
The authors declare no conflicts of interest.
References
- Xue, H.; Fu, T.; Liu, Y. Dynamic Analysis of Air Cushion Flow Field of Multi-row Hole Air Cushion Belt Conveyor. Hoisting Conveying Mach. 2009, 4, 64–67. [Google Scholar]
- Wu, F.; Jia, Z.H.; Wang, Y. Calculation of Air Film Thickness of Air Cushion Belt Conveyor. J. Taiyuan Univ. Sci. Technol. 2001, 22, 85–87. [Google Scholar]
- Zhu, X.L.; Rui, Y.N.; Zhu, H.M. Study on air film thickness of air cushion belt conveyor. J. Mech. Strength 2017, 39, 723–726. [Google Scholar]
- Pang, M.J. Calculation of gas film thickness of air cushion belt conveyor. Colliery Mech. Electr. Technol. 2006, 2, 46–49. [Google Scholar]
- Xiong, C.; Xu, B.; Yu, H.; Huang, Z.; Chen, Z. A thermo-elastic-hydrodynamic model for air foil thrust bearings considering thermal seizure and failure analyses. Tribol. Int. 2023, 183, 108373. [Google Scholar] [CrossRef]
- Hou, S.; Liu, J.; Lv, W. Flotation Height Prediction under Stable and Vibration States in Air Cushion Furnace Based on Hard Division Method. Math. Probl. Eng. 2019, 2019, 5713602. [Google Scholar] [CrossRef]
- Hou, S.; Han, X.; Zhang, X.; Bai, M.; Hua, F. Hard-Division and Multi-Model Based Floating Height Prediction for Air Cushion Furnace with Hybrid Nozzles. IEEE Access 2020, 8, 194685–194699. [Google Scholar] [CrossRef]
- Hou, S.; Zhang, X.; Dai, W.; Han, X.; Hua, F. Multi-Model- and Soft-Transition-Based Height Soft Sensor for an Air Cushion Furnace. Sensors 2020, 20, 926. [Google Scholar] [CrossRef] [PubMed]
- Ji, X.F.; Jin, Y.; Han, W.J. Numerical Simulation Study on Air Cushion Pressure Field of Air Cushion Belt Conveyor. J. Chang. Univ. Sci. Technol. (Nat. Sci. Ed.) 2009, 32, 102–104. [Google Scholar]
- Pang, M.J.; Zhang, S.L. Air cushion pressure field research and numerical simulation of air cushion belt conveyor. Coal Mine Mach. 2006, 27, 38–40. [Google Scholar]
- Huang, Y. Calculation of air-cushion pressure of air-cushion belt conveyor. Coal Mine Mach. 1997, 5, 10–12. [Google Scholar]
- Zhang, L.Y.; Wang, X.M.; Sun, Y. Theoretical and Experimental Study on Air Cushion Pressure of Air Cushion Belt Conveyor. J. Taiyuan Univ. Sci. Technol 1996, 4, 60–64+70. [Google Scholar]
- Yang, J.L.; Sun, H.B.; Li, X.W.; Liu, X. Flow field characteristic analysis of cushion system of partial air cushion support catamaran in regular waves. Pol. Marit. Res. 2022, 29, 21–32. [Google Scholar] [CrossRef]
- Jing, F.; Xu, L.; Guo, Z.; Liu, H. A Theoretical Study on the Hydrodynamics of a Zero-Pressurized Air-Cushion-Assisted Barge Platform. J. Mar. Sci. Eng. 2020, 8, 664. [Google Scholar] [CrossRef]
- Eremeyev, V.O.; Peplin, F.S.; Tumanin, A.V. Mathematical model of dynamics of Air Cushion Vehicle with ballonet type skirt on water. Procedia Eng. 2017, 206, 354–359. [Google Scholar] [CrossRef]
- Xu, S.; Tang, Y.; Chen, K.; Zhang, Z.; Ma, T.; Tang, W. Numerical investigation on pressure responsiveness properties of the skirt-cushion system of an air cushion vehicle. Int. J. Nav. Archit. Ocean. Eng. 2020, 12, 928–942. [Google Scholar] [CrossRef]
- Wu, J.Z.; Wimer, B.M.; Welcome, D.E.; Dong, R.G. An analysis of contact stiffness between a finger and an object when wearing an air-cushioned glove: The effects of the air pressure. Med. Eng. Phys. 2012, 34, 386–393. [Google Scholar] [CrossRef]
- Lu, S.; Zou, J.; Zhang, Y.; Guo, Z. Experimental and Numerical Study on Motion and Resistance Characteristics of the Partial Air Cushion Supported Catamaran. Water 2019, 11, 1033. [Google Scholar] [CrossRef]
- Li, Y.K. Finite element analysis of air-film carrying capacity of belt air-cushion conveyor. Lubr. Eng. 2000, 5, 14–16. [Google Scholar]
- Mo, D.Y.; Ma, P.; Lian, H.S. Mathematical model improvement and verification analysis of bearing capacity of single-row orifice air-floating guideway. Lubr. Eng. 2019, 44, 88–94. [Google Scholar]
- Li, Y.L.; Dong, Z.Q. The influence of structural parameters on the bearing capacity of spiral groove hydrodynamic thrust gas bearing under variable operating conditions. Bearing 2022, 38, 23–28+40. [Google Scholar]
- Zhang, C.W.; Ge, Q.J.; Xie, Z.J. Analysis of load-bearing characteristics of micro-spiral-grooved thrust air bearing in helium-air mixed environment. J. Tribol. 2018, 38, 213–219. [Google Scholar]
- Fan, C.; Han, S.H.; Li, B. Analysis of gas film flow field and load-bearing characteristics of aerostatic journal bearings. Mech. Des. Manuf. 2021, 1, 45–49. [Google Scholar]
- Guo, S.; Liu, J.; Li, Z.; Zhang, D.; Huang, W. Experimental research on air film formation behavior of air cushion belt conveyor with stable load. Sci. China Technol. Sci. 2013, 56, 1424–1434. [Google Scholar] [CrossRef]
- Zhang, B.; Meng, W.; Zhang, H. Research on the pressure field and loading characteristics of air film of air cushion belt conveyor. AIP Adv. 2022, 12, 095123. [Google Scholar] [CrossRef]
- Quan, H.; Lan, J.; Du, Y. Research on load characteristics of squeeze-film air bearings based on fluid–solid coupling. Phys. Fluids 2023, 35, 016125. [Google Scholar] [CrossRef]
- Yu, S.R.; Cao, X.Y.; Ding, X.X. Numerical Simulation and Analysis of Gas Film Stiffness of Non-contact Dynamic Seal Spiral Groove. Fluid Mach. 2012, 40, 16–20. [Google Scholar]
- Ding, X.X.; Zhang, H.Z.; Su, H. Gas film stiffness test and stability analysis of spiral groove dry gas seal. Vib. Shock 2013, 32, 163–168+190. [Google Scholar]
- Ding, X.X.; Zhang, H.Z.; Zhang, W.Z. Vibration test and stability analysis of spiral groove dry gas seal. J. Vib. Meas. Diagn. 2013, 33, 231–235+337–338. [Google Scholar]
- Hashimoto, H.; Ochiai, M.; Nanba, T. Theoretical Analysis and Optimum Design of High Speed Air Film Thrust Bearings (Application to Optimum Design Problem). J. Adv. Mech. Des. Syst. Manuf. 2007, 1, 306–318. [Google Scholar] [CrossRef][Green Version]
- Ibrahim, M.D.; Namba, T.; Ochiai, M.; Hashimoto, H. Optimum Design of Thrust Air Bearing for Hard Disk Drive Spindle Motor. J. Adv. Mech. Des. Syst. Manuf. 2010, 4, 70–81. [Google Scholar] [CrossRef][Green Version]
- Lin, J.J.; Li, D.S.; Zhang, W. Analysis on the Individual Stiffness of the Aerostatic Guide Way and Error Sources of its Vibration. Adv. Mater. Res. 2012, 472–475, 862–868. [Google Scholar] [CrossRef]
- Chen, D.; Dong, L.; Pan, R.; Fan, J.; An, C. Vibration analysis of air-bearing work-stage under micro-scale effect. Proc. Inst. Mech. Eng. Part K J. Multi-Body Dyn. 2018, 232, 521–535. [Google Scholar] [CrossRef]
- Peng, X.X. Quantitative research on air cushion parameters of air cushion conveyor. Mech. Res. Appl. 2010, 23, 4–6+10. [Google Scholar]
- Li, J.F.; Zhang, S.L.; Zhou, H.Q. Experimental study on air cushion flow field of air cushion belt conveyor. Coal Mine Mach. 2009, 30, 71–73. [Google Scholar]
Disclaimer/Publisher’s Note: The statements, opinions and data contained in all publications are solely those of the individual author(s) and contributor(s) and not of MDPI and/or the editor(s). MDPI and/or the editor(s) disclaim responsibility for any injury to people or property resulting from any ideas, methods, instructions or products referred to in the content. |
© 2024 by the authors. Licensee MDPI, Basel, Switzerland. This article is an open access article distributed under the terms and conditions of the Creative Commons Attribution (CC BY) license (https://creativecommons.org/licenses/by/4.0/).




















