Abstract
BaTiO3-based piezoelectric ceramics have attracted considerable attention in recent years due to their tunable phase structures and good piezoelectric properties. In this work, the (1 − x)BaTiO3−xCaSnO3 (0.00 ≤ x ≤ 0.16, abbreviated as BT−xCS) solid solutions, were prepared by traditional solid-state reaction methods. The phase transitions, microstructure, dielectric, piezoelectric, and ferroelectric properties of BT-xCS have been investigated in detail. The coexistence of rhombohedral, orthorhombic, and tetragonal phases near room temperature, i.e., polymorphic phase transition (PPT), has been confirmed by X-ray diffraction and temperature-dependent dielectric measurements in the compositions range of 0.06 ≤ x ≤ 0.10. The multiphase coexistence near room temperature provides more spontaneous polarization vectors and facilitates the process of polarization rotation and extension by an external electric field, which is conducive to the enhancement of piezoelectric response. Remarkably, the composition of BT-0.08CS exhibits optimized piezoelectric properties with a piezoelectric coefficient d33 of 620 pC/N, electromechanical coupling factors kp of 58%, kt of 40%, and a piezoelectric strain coefficient d33* of 950 pm/V.
1. Introduction
In recent years, BaTiO3-based piezoelectric ceramics have attracted considerable attention because of their tunable phase structures and good piezoelectric response [1,2,3,4,5,6,7,8,9,10]. Generally, the boosted piezoelectric response is always accompanied with the formation of morphotropic phase boundary (MPB) or polymorphic phase transition (PPT). The enhanced piezoelectric properties near MPB are associated with easy path for polarization rotation as revealed in anisotropic flattened free energy profiles [11,12,13,14,15]; and the mechanisms of the increased piezoelectric properties near PPT are related to the lower energy barriers of multiphase coexistence, as the composition-induced phase transitions at PPT can facilitate the process of polarization rotation and extension under an external electric field, leading to enhanced dielectric and piezoelectric properties [16,17,18,19,20,21,22]. Therefore, the vital point of improving piezoelectric response of BaTiO3 is to induce the phase transitions by forming MPB or PPT via composition designing strategy [23,24,25,26,27,28,29,30].
The schematic diagrams of phase transitions of pure BaTiO3 in the temperature range from −90 °C to 130 °C are shown in Figure 1. There are four phases: rhombohedral (R) phase, orthorhombic (O) phase, tetragonal (T) phase, and cubic (C) phase; and three phase transitions: ferroelectric-ferroelectric phase transitions of R to O phase with TR-O of ~−90 °C and O to T phase with TO-T of ~5 °C, and the ferroelectric-paraelectric phase transition T to C phase with TR-O of ~130 °C. Great efforts have been made to adjust phase transitions of BaTiO3-based ceramics in order to enhance their dielectric, ferroelectric, and piezoelectric properties. For example, the strontium-doped BaTiO3 ceramics exhibit diffused phase transitions due to compositional inhomogeneity [31,32,33]; the BaTiO3-BiMO3 (where M represents Sc3+, In3+, etc.) solid solutions present phase transition from normal ferroelectrics to relaxor ferroelectrics by compositional design, and the hysteresis loop characteristics of relaxor ferroelectrics are conducive to the enhancement of energy storage properties [34,35,36]; the (Ba, Ca)(Ti1−xMx)O3 (where M represents Zr4+, Hf4+, Sn4+, etc.) ceramics are the most widely investigated BaTiO3-based ceramics with enhanced piezoelectric properties in recent years due to their tunable phase transitions with the variation of M concentration [37,38,39,40,41,42,43]. A high piezoelectric constant d33 of 485 pC/N with electromechanical coupling coefficient kp of 39% and mechanical quality factor Qm of 191 was achieved in the (Ba0.95Ca0.05)(Ti0.90Sn0.10)O3 ceramics with 3 mol% Li2CO3 by constructing the phase coexistence of R and T phases at room temperature (RT) [37]. The improved piezoelectric and dielectric properties, with a d33 of 407 pC/N, dielectric constant εr of 5500, and dielectric loss tanδ of 0.3%, have been obtained in the (1 − x)Ba0.98Ca0.02Ti0.94Sn0.06O3-xBa0.85Ca0.15Ti0.9Zr0.1O3 ceramics, where the phase coexistence of orthorhombic and tetragonal phases is identified with x = 0.40 [38]. Significantly enhanced piezoelectric properties with a d33 of 515 pC/N and a field-induced strain d33* of 1293 pm/V at 10 kV were acquired in the ternary system BaTiO3-CaTiO3-BaSnO3, where the several phase transitions (R-O, O-T and T-C) are designed near RT [39]. As indicated in previous investigations, (Ba, Ca)(Ti1−xMx)O3 based ceramics are good piezoelectric ceramic materials operating at room temperature. Therefore, the investigations on the enhanced piezoelectric properties of (Ba, Ca)(Ti1−xMx)O3 solid solutions are of great interest for BaTiO3-based ceramics.
Figure 1.
Schematic diagrams of phase transitions for pure BaTiO3 in the temperature range from −90 °C to 130 °C.
Note that the B-site doping cations of Zr4+, Hf4+, Sn4+ have similar effects on inducing the phase transitions in the (Ba, Ca)(Ti1−xMx)O3 ceramics, while the Sn4+ ion has a significant impact on the construction of phase boundary [41]. Additionally, it has been confirmed that the introduction of CaSnO3 decreases the c/a ratio of BaTiO3 [44], and the distortion of lattice structure may have great influence on the piezoelectric properties. However, few reports on the dielectric, piezoelectric, and ferroelectric properties of the CaSnO3 modified BaTiO3 ceramics exist in the literature. Therefore in this work, (1 − x)BaTiO3-xCaSnO3 (BT-xCS) solid solutions have been prepared by the conventional solid-state reaction method. The microstructure, phase structure, dielectric, ferroelectric, and piezoelectric properties have been investigated in detail.
2. Materials and Methods
(1 − x)BaTiO3-xCaSnO3 (abbreviated as BT-xCS, x = 0.00, 0.02, 0.04, 0.06, 0.08, 0.10, 0.12, 0.14, and 0.16) ceramics were prepared by conventional solid-state reaction method. Analytical-grade BaCO3 (>99.5%), TiO2 (>99.8%), CaCO3 (>99.5%), and SnO2 (>99.5%) were used as raw materials. The powders were weighed according to the stoichiometric compositions, and then wet-milled in polyethylene bottles with ZrO2 balls for 12 h in ethanol. The milled powders were dried and calcined at 1200 °C for 3 h. Afterwards, the calcined powders were milled, dried, grinded, and granulated with polyvinyl alcohol (PVA) binder and subsequently pressed into discs with diameters of 12.0 mm and thicknesses of 2.0 mm at a pressure of 150 MPa. After binder burn-out at 650 °C, the green compacts were placed in Al2O3 crucibles with self-source. The samples were sintered at 1380 °C for 3 h, and then furnace-cooled down to room temperature.
The phase structure was characterized by an X-ray diffractometer (Smartlab SE, Rigaku Corporation, Tokyo, Japan) with Cu Kα radiation in the 2θ range of 20–80°. The natural surface morphology of the sintered ceramics was carried out by field-emission scanning electron microscopy (Helios G4 UC, Thermo Fisher Scientific, Hillsboro, OR, USA), and the intercept method was used to measure the grain size using the software of ImageJ. Before the electrical measurements, both sides of the sintered ceramics were polished, and fired at 600 °C for 30 min after the silver electrodes were screen-printed on both polished surfaces of ceramics. The dielectric properties were tested by an impedance analyzer (E4990A, Keisight Technologies, Santa Rosa, CA, USA). Hysteresis loops were measured by a ferroelectric analyzer (TF Analyzer 2000, aixACCT Systems GmbH, Aachen, Germany). The piezoelectric constant d33 was measured using a d33 meter (YE2730A, Sinocera Piezotronics, Inc., Yangzhou, China) after the sample was poled in silicone oil under a direct-current (DC) electric field of 40 kV/cm at room temperature. The electromechanical coupling factor kt and kp were determined by the IEEE resonance method with E4990A impedance analyzer.
3. Results and Discussion
3.1. Phase Structure
Figure 2a presents the powder X-ray diffraction (PXRD) patterns of BT-xCS (0.00 ≤ x ≤ 0.16) ceramics, and the standard diffraction peaks are also presented for comparison, as indicated in the bottom of Figure 2a with vertical black lines. Herein the JCPDS cards of Nos. 85–1790, 81–2200, 79–2265 and 79–2263 are rhombohedral, orthorhombic, tetragonal, and cubic phase of BT, respectively. As shown in Figure 2a, all the BT-xCS compositions exhibit pure perovskite structure without any trace of secondary or impure phases detected. In terms of Shannon’s work, the effective ionic radius of XIIBa2+, VITi4+, XIICa2+, and VISn4+ are 161 pm, 60.5 pm, 134 pm, and 69 pm, respectively. According to the fundamentals of radius matching rule, Ca2+ ions and Sn4+ ions occupy the A-site (Ba-site) and B-site (Ti-site) of BaTiO3 lattice, respectively. Additionally, the tolerance factor of perovskite structure is usually used to evaluate the stability of crystal structure, which can be determined by the following equation:
where RA, RB, and RO represent the ionic radius of the A-, B-site, and O2- in ABO3 structure, respectively. It is commonly recognized that the perovskite structure is stable with 0.77 < t < 1.09, and the value of t locates between 1.062 and 1.039 for BT-xCS (0.00 ≤ x ≤ 0.16), indicating the stable structure of BT-xCS solid solutions in this work. The enlarged (200) diffraction peaks with angles from 44.6° to 47.0° are given in Figure 2b to clearly show the phase evolutions. It is clear that the diffraction peaks of the compositions with x < 0.04 are assigned to the T phase, and those of the compositions with x > 0.12 correspond to the C phase. Note that the diffraction peaks of the compositions with 0.06 ≤ x ≤ 0.10 are not separately matched well with those four R, T, O, and C phases, which can be described as phase coexistence. Similar results have been reported in other elements modified BT-based ceramics [38,39,40,41,42]. Furthermore, the (200) peak shifts slightly towards higher degrees with the increase of x content, indicating the shrinkage of the lattice parameters, and this can be ascribed to the decrease of the ionic radius in A-site, 134 pm for Ca2+ compared with 161 pm for Ba2+ in 12-fold coordination.
t = (RA + RO)/√2(RB + RO)
Figure 2.
(a) Powder X-ray diffraction patterns of BT-xCS in the 2θ range of 20–80°, and (b) the enlarged patterns from 44.6° to 47.0°.
3.2. Dielectric Properties
In order to further investigate the phase transition behavior of BT-xCS ceramics, the temperature-dependent dielectric constant εr and dielectric loss tanδ measured at 100 kHz in the temperature range from −50 °C to 150 °C are shown in Figure 3. The room temperature dielectric constant εr and dielectric loss tanδ of BT-xCS measured at 100 kHz are listed in Table 1. The value of εr increases initially from 1966 to 10,811 as the x content increases from 0.00 to 0.14, and then decreases to 8,803 at x = 0.16. Meanwhile, the dielectric loss tanδ of BT-xCS ceramics is low (tanδ < 0.06) within the investigated temperature range. The variation of εr is mainly due to the evolution of phase transitions around room temperature. As shown in Figure 3, there are two significant dielectric anomalies for the compositions of x = 0.00 and 0.02 within the investigated temperature range, and the dielectric anomalies correspond to the ferroelectric-ferroelectric phase transition (O-T) at TO-T and the paraelectric-ferroelectric phase transition (T-C) at TC, respectively. For the compositions of 0.04 ≤ x ≤ 0.10, another ferroelectric-ferroelectric phase transition (R-O) at TR-O arises. With the increase of x content, the TR-O and TO-T shift to higher temperature, while the TC shifts to lower temperature, resulting in the merging of three phase transition peaks into one broad peak at TC for the composition of x = 0.12, and the R-O and O-T phase transitions disappear gradually with x ≥ 0.12. The phase transition temperatures (TR-O, TO-T, and TC) of BT-xCS are also summarized in Table 1. The TR-O increases from −26.1 °C to 5.2 °C as the x content increases from 0.04 to 0.10, the TO-T increases from 16.6 °C to 24.5 °C as the x increases from 0.00 to 0.10, and the TC decreases from 126.9 °C to −4.3 °C as the x increases from 0.00 to 0.16, respectively.
Figure 3.
Temperature-dependent dielectric constant ε and loss tanδ of BT-xCS (0.00 < x < 0.16) measured at 100 kHz.
Table 1.
Dielectric properties and phase transition temperatures of BT-xCS.
3.3. Phase Transition
The phase diagrams of BT-xCS are established according to the temperature-dependent dielectric results, as shown in Figure 4a. The phase diagrams consist of three ferroelectric phase regions, R, O, and T phases and one paraelectric phase region, C phase, which visually demonstrates the phase transitions. The TC decreases almost linearly with the increase of x content, which is mainly influenced by the substitution of Sn4+ for Ti4+ ions, as the Ca2+ in A-site of BT generally has little effects on the TC [45]. However, the substitution of Sn4+ for Ti4+ significantly affects the stability of BO6 octahedron and decreases the tetragonality c/a. Similar results have been reported in Sn4+-modified BaTiO3 [46,47]. The TR-O and TO-T increase at different rising rate as the x content increases from 0.00 to 0.10, and merge into TC around room temperature for the composition of x = 0.12. Herein the shadow area represents the phase components around room temperature. Figure 4b presents the lattice parameters as a function of x content based on the refining PXRD data. The composition-dependent lattice parameters are considered as the further evidence of phase evolution. As indicated by the yellow symbols (lattice parameters of T phase), the c decreases but the a increases as the x content increases from 0.00 to 0.10, which means that the ratio of c/a decreases and also suggests that the structure tends to be an R or C phase. Furthermore, combining the PXRD results, the phase structure for the compositions of 0.06 ≤ x ≤ 0.10 cannot be simply identified as the T phase, and thereby the lattice parameters of these compositions are also given based on the R and O phases. As shown in Figure 4a,b, the results of lattice parameters show close conformance with the dielectric phase diagrams. The TO-T, TR-O, and TC coincide gradually at room temperature for the compositions of 0.06 ≤ x ≤ 0.10, resulting in the formation of polymorphic phase transition (PPT) of R-O and O-T phase transitions around room temperature, i.e., the coexistence of R, O, and T phases.
Figure 4.
(a) Phase diagrams, and (b) lattice parameters as a function of CS content.
3.4. Microstructural Properties
Previous investigations have shown that the BaTiO3-based ceramics exhibit an enhanced dielectric response as the grain size decreases to micron level due to the grain size effect [48,49]. The SEM images and grain distributions of BT-xCS (0.02 ≤ x ≤ 0.16) ceramics are shown in Figure 5. All the samples are densely sintered with distinctive grain boundaries, and the relative density of each composition is over 95%. The insets of Figure 5 are the distributions of grain size and the average grain size corresponding to each composition. It is obvious that the microstructure of BT-xCS is dependent on the substitution of CS. The grain distributions are inhomogeneous in the compositions of x < 0.06, which are similar to the grain morphology of pure BT [36]. For example, the grain size of large grains in the composition of x = 0.02 is approximately 20 μm and that of small grains is only about 4 μm. The variation of grain growth in the range of 0.06 ≤ x ≤ 0.10 may be ascribed to the phase transition around room temperature induced by composition. With further increase of x content, the grain tends to distribute homogeneously and the grain size is nearly unchanged in the compositions of x > 0.08. However, further doping of CS (x = 0.16) leads to the decrease in grain size, which may be attributed to the excess doping of CS concentrates near grain boundaries and inhibits the grain growth of BT-xCS ceramics.
Figure 5.
SEM images of BT-xCS and the corresponding grain size distributions.
3.5. Piezoelectric Properties
Figure 6 shows the composition-dependent piezoelectric constant d33, planar electromechanical coupling factor kp, and thickness electromechanical coupling factor kt of BT-xCS ceramics. The d33 values are summarized in Table 2; the values of d33 increases initially from 350 pC/N for pure BaTiO3 to 620 pC/N for the composition of x = 0.08, and then decreases rapidly to 130 pC/N at x = 0.16. There are two reasons for the enhancement of piezoelectric response. According to the polarization deflection theory proposed by Fu and Cohen [18], the coexistence of R, O, T phases at x = 0.08 provides more spontaneous polarization vectors [41,42,50], resulting in the increase of piezoelectricity. On the other hand, the low energy barriers in the region of phase boundaries can greatly facilitate the process of polarization rotation and extension under an external electric field [16,17,18], which can be responsible for the significant enhancement of piezoelectric response. Meanwhile, there are similar variation tendencies of kp and kt, and the values of kp and kt increase initially as the x content increases from 0.00 to 0.08, and then decreases with the x content further increasing to 0.16. The composition with x = 0.08 exhibits optimal piezoelectric properties, with the maximum d33 value of 620 pC/N, kp of 58%, and kt of 40%.
Figure 6.
Composition-dependent piezoelectric constant d33, planar electromechanical coupling factor kp, and thickness electromechanical coupling factor kt of BT-xCS ceramics.
Table 2.
Ferroelectric and piezoelectric properties of BT-xCS ceramics.
3.6. Ferroelectric Properties
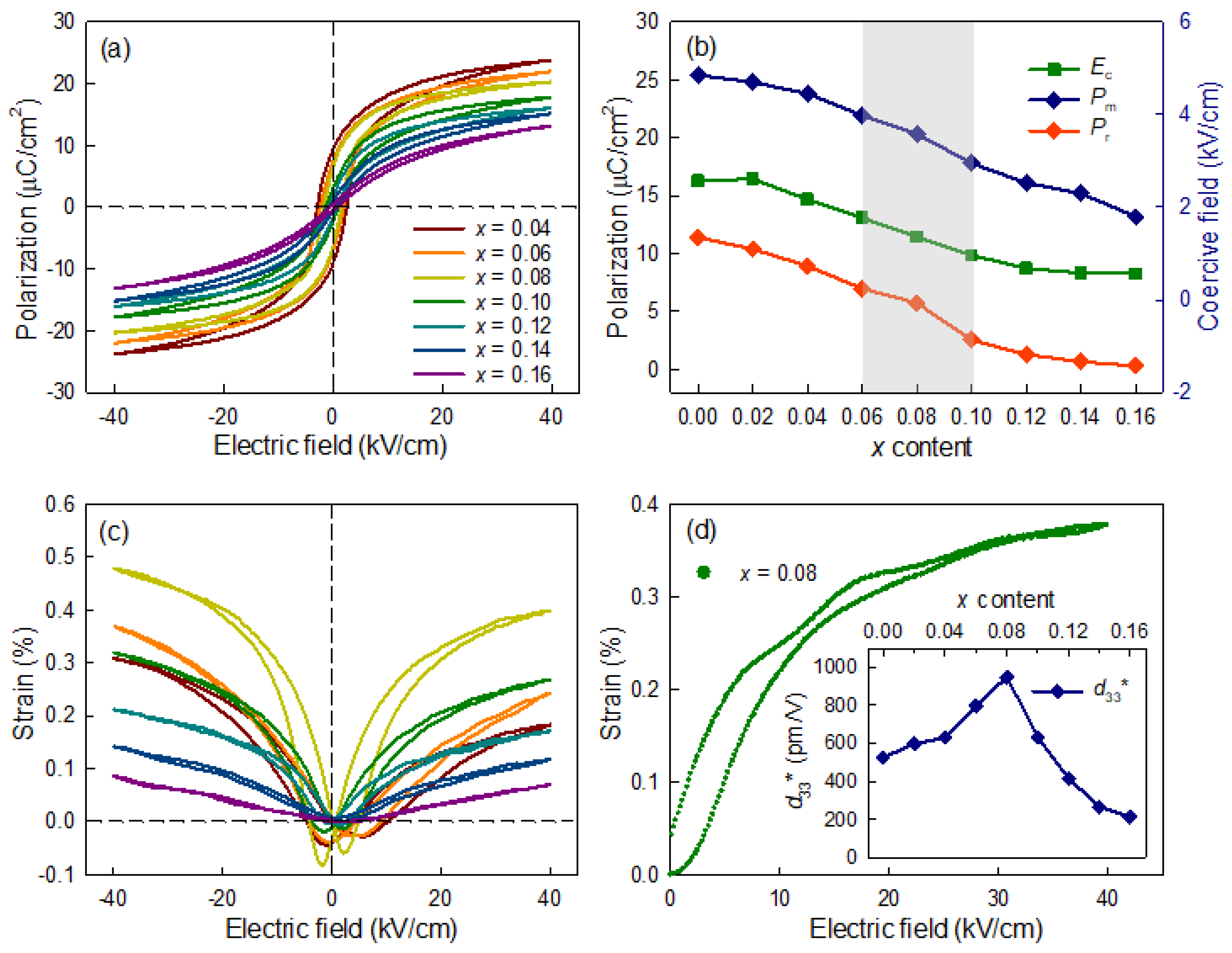
Figure 7a shows the polarization-electric field (P-E) loops of BT-xCS (0.04 ≤ x ≤ 0.16) under the driven electric field of 40 kV/cm. The P-E loops tend to become “slim” with the increase of x content. The loop for the composition of x = 0.16 presents a “curve”, demonstrating that the BT-0.16CS ceramic is transformed to the paraelectric phase [51]. The maximum polarization Pm, remnant polarization Pr and coercive field Ec, derived from P-E loops, are displayed in Figure 7b as a function of x content, and the corresponding values are summarized in Table 2. It is clear that the Pm, Pr, and Ec exhibit the similar decline tendency with the increase of x content. Note that the value of Ec decreases from 2.57 kV/cm to 0.57 kV/cm as the x content increases from 0.00 to 0.16, leading to an easier domain switching under the external electric field. The reduction of Ec can be attributed to the instability of the ferroelectric domains. It has been well established that the stability of ferroelectric domain is determined by the coupling of A-site cations and BO6 octahedron with ferroelectric properties for an ABO3 type perovskite structure, and the distortion of lattice structure induced by the substitution of Ca2+ and Sn4+ weakens the coupling between A-site cation and BO6 octahedron of BT-xCS, resulting in the instability of the ferroelectric domains and thereby decreasing the value of Ec [52,53]. Meanwhile, Pm and Pr decrease from 25.4 μC/cm2 and 11.40 μC/cm2 to 13.2 μC/cm2 and 0.29 μC/cm2 as the x content increases from 0.00 to 0.16, respectively. Figure 7c exhibits the bipolar field-induced strain as a function of electric field of BT-xCS (0.04 ≤ x ≤ 0.16) ceramics under the electric field of 40 kV/cm. Butterfly-shape S-E loops are observed in the compositions of x < 0.10, and this type loop is intrinsically determined by their ferroelectric phase structure. The loops tend to be slender in the compositions of x > 0.10. The values of positive strain Spos and negative strains Sneg increase initially to 4.02% and 0.75% at x = 0.08, and then decrease to 0.67% and almost zero at x = 0.16, respectively. Since the external electric field is much higher than Ec, the values of Spos are very close to that of the maximum strain induced by the unipolar electric field (Suni) [54]. The unipolar field-induced strain of BT-0.08CS is presented in Figure 7d, and the maximum value of Suni reaches 0.38% under the electric field of 40 kV/cm. The derived piezoelectric strain coefficient d33* as a function of x content is shown in the inset of Figure 7d. The values of d33* are calculated according to the following equation:
where Smax and Emax are the maximum values of strain and electric field obtained from the unipolar strain loops, as d33* calculated from unipolar S-E loops are more representable than that from bipolar loops [45]. As shown in Table 2, the excellent piezoelectric response with large d33* value of 950 pm/V is obtained for the BT-0.08CS, which is caused by the PPT around the room temperature [39].
d33* = Smax/Emax
Figure 7.
(a) P-E loops of BT-xCS, (b) the corresponding coercive field Ec, the maximum polarization Pm, and the remnant polarization Pr as a function of CS contents, (c) the bipolar S-E loops of BT-xCS, and (d) the unipolar S-E loop of BT-0.08CS as a function of applied electric field.
4. Conclusions
The (1 − x)BaTiO3-xCaSnO3 (0.00 ≤ x ≤ 0.16) solid solutions have been prepared by the traditional solid-state reaction methods. The coexistence of R, O, T phases in the compositions with 0.06 ≤ x ≤ 0.10 is revealed by the PXRD results, and also confirmed by the temperature-dependent dielectric measurements. The composition of BT-0.08CS exhibits optimized piezoelectric properties, which is attributed to the polymorphic phase transition. A high piezoelectric coefficient d33 of 620 pC/N and a large piezoelectric strain coefficient d33* of 950 pm/V are achieved, demonstrating the enhanced piezoelectric properties of BT-xCS ceramics.
Author Contributions
Conceptualization, C.-M.W.; investigation, Q.W. and H.-Z.Y.; writing—original draft preparation, Q.W.; writing—review and editing, Q.W., X.Z., and C.-M.W.; supervision, C.-M.W.; funding acquisition, X.Z. and C.-M.W.; All authors have read and agreed to the published version of the manuscript.
Funding
This research was funded by the National Natural Science Foundation of China under Grant No. 51872166, the Key Research and Development Program of Shandong Province of China under Grant No. 2019GGX102064, the Key Research and Development Program of Shandong Province of China under Grant No. 2019JZZY010313, and Shandong Provincial Natural Science Foundation-Quantum Science Research Joint fund under Grant No. ZR2020LLZ006.
Data Availability Statement
Please contact with the corresponding author.
Conflicts of Interest
The authors declare no conflict of interest. The funders had no role in the design of the study; in the collection, analyses, or interpretation of data; in the writing of the manuscript, or in the decision to publish the results.
References
- Shrout, T.R.; Zhang, S.J. Lead-free piezoelectric ceramics: Alternatives for PZT? J. Electroceram. 2007, 19, 113–126. [Google Scholar] [CrossRef]
- Rödel, J.; Jo, W.; Seifert, K.T.P.; Anton, E.-M.; Granzow, T.; Damjanovic, D. Perspective on the Development of Lead-free Piezoceramics. J. Am. Ceram. Soc. 2009, 92, 1153–1177. [Google Scholar] [CrossRef]
- Li, W.; Xu, Z.; Chu, R.; Fu, P.; Zang, G. Enhanced ferroelectric properties in (Ba1−xCax)(Ti0.94Sn0.06)O3 lead-free ceramics. J. Eur. Ceram. Soc. 2012, 32, 517–520. [Google Scholar] [CrossRef]
- Wu, B.; Xiao, D.; Wu, W.; Zhu, J.; Chen, Q.; Wu, J. Microstructure and electrical properties of (Ba0.98Ca0.02)(Ti0.94Sn0.06)O3-modified Bi0.51Na0.50TiO3 lead-free ceramics. Ceram. Int. 2012, 38, 5677–5681. [Google Scholar] [CrossRef]
- Panda, P.K. Review: Environmental friendly lead-free piezoelectric materials. J. Mater. Sci. 2009, 44, 5049–5062. [Google Scholar] [CrossRef]
- Takenaka, T.; Maruyama, K.-I.; Sakata, K. (Bi1/2Na1/2)TiO3-BaTiO3 System for Lead-Free Piezoelectric Ceramics. Jpn. J. Appl. Phys. 1991, 30, 2236–2239. [Google Scholar] [CrossRef]
- Liu, W.; Ren, X. Large Piezoelectric Effect in Pb-Free Ceramics. Phys. Rev. Lett. 2009, 103, 257602. [Google Scholar] [CrossRef]
- Horchidan, N.; Padurariu, L.; Ciomaga, C.E.; Curecheriu, L.; Airimioaei, M.; Doroftei, F.; Tufescu, F.; Mitoseriu, L. Room temperature phase superposition as origin of enhanced functional properties in BaTiO3-based ceramics. J. Eur. Ceram. Soc. 2020, 40, 1258–1268. [Google Scholar] [CrossRef]
- Tan, Y.; Viola, G.; Koval, V.; Yu, C.; Mahajan, A.; Zhang, J.; Zhang, H.; Zhou, X.; Tarakina, N.V.; Yan, H. On the origin of grain size effects in Ba(Ti0.96Sn0.04)O3 perovskite ceramics. J. Eur. Ceram. Soc. 2019, 39, 2064–2075. [Google Scholar] [CrossRef]
- Pomyai, P.; Munthala, D.; Sonklin, T.; Supruangnet, R.; Nakajima, H.; Janphuang, P.; Dale, S.M.; Glaum, J.; Pojprapai, S. Electrical fatigue behavior of Ba0.85Ca0.15Zr0.1Ti0.9O3 ceramics under different oxygen concentrations. J. Eur. Ceram. Soc. 2021, 41, 2497–2505. [Google Scholar] [CrossRef]
- Ahart, M.; Somayazulu, M.; Cohen, R.E.; Ganesh, P.; Dera, P.; Mao, H.-K.; Hemley, R.J.; Ren, Y.; Liermann, P.; Wu, Z. Origin of morphotropic phase boundaries in ferroelectrics. Nature 2008, 451, 545–548. [Google Scholar] [CrossRef]
- Kutnjak, Z.; Petzelt, J.; Blinc, R. The giant electromechanical response in ferroelectric relaxors as a critical phenomenon. Nature 2006, 441, 956–959. [Google Scholar] [CrossRef] [PubMed]
- Gao, J.; Xue, D.; Wang, Y.; Wang, D.; Zhang, L.; Wu, H.; Guo, S.; Bao, H.; Zhou, C.; Liu, W.; et al. Microstructure basis for strong piezoelectricity in Pb-free Ba(Zr0.2Ti0.8)O3-(Ba0.7Ca0.3)TiO3 ceramics. Appl. Phys. Lett. 2011, 99, 092901. [Google Scholar] [CrossRef]
- Gao, J.; Zhang, L.; Xue, D.; Kimoto, T.; Song, M.; Zhong, L.; Ren, X. Symmetry determination on Pb-free piezoceramic 0.5Ba(Zr0.2Ti0.8)O3-0.5(Ba0.7Ca0.3)TiO3 using convergent beam electron diffraction method. J. Appl. Phys. 2014, 115, 054108. [Google Scholar] [CrossRef]
- Xue, D.; Zhou, Y.; Bao, H.; Zhou, C.; Gao, J.; Ren, X. Elastic, piezoelectric, and dielectric properties of Ba(Zr0.2Ti0.8)O3-50(Ba0.7Ca0.3)TiO3 Pb-free ceramic at the morphotropic phase boundary. J. Appl. Phys. 2011, 109, 054110. [Google Scholar] [CrossRef]
- Damjanovic, D. A morphotropic phase boundary system based on polarization rotation and polarization extension. Appl. Phys. Lett. 2010, 97, 062906. [Google Scholar] [CrossRef]
- Zhou, C.; Liu, W.; Xue, D.; Ren, X.; Bao, H.; Gao, J.; Zhang, L. Triple-point-type morphotropic phase boundary based large piezoelectric Pb-free material-Ba(Ti0.8Hf0.2)O3-(Ba0.7Ca0.3)TiO3. Appl. Phys. Lett. 2012, 100, 222910. [Google Scholar] [CrossRef]
- Fu, H.; Cohen, R.E. Polarization rotation mechanism for ultrahigh electromechanical response in single-crystal piezoelectrics. Nature 2000, 403, 281–283. [Google Scholar] [CrossRef]
- Zhang, L.; Zhang, M.; Wang, L.; Zhou, C.; Zhang, Z.; Yao, Y.; Zhang, L.; Xue, D.; Lou, X.; Ren, X. Phase transitions and the piezoelectricity around morphotropic phase boundary in Ba(Zr0.2Ti0.8)O3-x(Ba0.7Ca0.3)TiO3 lead-free solid solution. Appl. Phys. Lett. 2014, 105, 162908. [Google Scholar] [CrossRef]
- Zhao, L.; Ke, X.; Zhou, Z.; Liao, X.; Li, J.; Wang, Y.; Wu, M.; Li, T.; Bai, Y.; Ren, X. Large electrocaloric effect over a wide temperature range in BaTiO3-modified lead-free ceramics. J. Mater. Chem. C 2019, 7, 1353–1358. [Google Scholar] [CrossRef]
- Gao, J.; Ke, X.; Acosta, M.; Glaum, J.; Ren, X. High piezoelectricity by multiphase coexisting point: Barium titanate derivatives. MRS Bull. 2018, 43, 595–599. [Google Scholar] [CrossRef]
- Guo, H.; Voas, B.K.; Zhang, S.; Zhou, C.; Ren, X.; Beckman, S.P.; Tan, X. Polarization alignment, phase transition, and piezoelectricity development in polycrystalline 0.5Ba(Zr0.2Ti0.8)O3-0.5(Ba0.7Ca0.3)TiO3. Phys. Rev. B 2014, 90, 014103. [Google Scholar] [CrossRef]
- Xue, D.; Zhou, Y.; Bao, H.; Gao, J.; Zhou, C.; Ren, X. Large piezoelectric effect in Pb-free Ba(Ti,Sn)O3-x(Ba,Ca)TiO3 ceramics. Appl. Phys. Lett. 2011, 99, 122901. [Google Scholar] [CrossRef]
- Zhou, P.-F.; Zhang, B.-P.; Zhao, L.; Zhao, X.-K.; Zhu, L.-F.; Cheng, L.-Q.; Li, J.-F. High piezoelectricity due to multiphase coexistence in low-temperature sintered (Ba,Ca)(Ti,Sn)O3-CuOx ceramics. Appl. Phys. Lett. 2013, 103, 172904. [Google Scholar] [CrossRef]
- Zhu, L.-F.; Zhang, B.-P.; Zhao, X.-K.; Zhao, L.; Yao, F.-Z.; Han, X.; Zhou, P.-F.; Li, J.-F. Phase transition and high piezoelectricity in (Ba,Ca)(Ti1-xSnx)O3 lead-free ceramics. Appl. Phys. Lett. 2013, 103, 072905. [Google Scholar] [CrossRef]
- Chen, Z.; Li, Z.; Ma, M.; Zhao, T.; Qiu, J.; Ding, J. Effect of Nd2O3 doping on the electrical properties of Ba0.96Ca0.04Ti0.90Sn0.10O3 ceramics. J. Rare Earths 2018, 36, 745–749. [Google Scholar] [CrossRef]
- Zhao, L.; Zhang, B.-P.; Wang, W.-Y.; Ding, Y.-H.; Zhang, S.-M.; Zhu, L.-F.; Wang, N. Effect of B2O3 on phase structure and electrical properties of CuO-modified (Ba,Ca)(Ti,Sn)O3 lead-free piezoceramics sintered at a low-temperature. Ceram. Int. 2016, 42, 7366–7372. [Google Scholar] [CrossRef]
- Zhao, L.; Zhang, B.-P.; Zhou, P.-F.; Zhu, L.-F.; Wang, N. Piezoelectric and ferroelectric properties of (Ba,Ca)(Ti,Sn)O3 lead-free ceramics sintered with Li2O additives: Analysis of point defects and phase structures. Ceram. Int. 2016, 42, 1086–1093. [Google Scholar] [CrossRef]
- Noritake, K.; Sakamoto, W.; Yuitoo, I.; Takeuchi, T.; Hayashi, K.; Yogo, T. Fabrication of lead-free piezoelectric Li2CO3-added (Ba,Ca)(Ti,Sn)O3 ceramics under controlled low oxygen partial pressure and their properties. Jpn. J. Appl. Phys. 2017, 57, 021501. [Google Scholar] [CrossRef]
- Chen, Z.-H.; Li, Z.-W.; Xu, J.-J.; Guo, H.-F.; Zhang, B.; Ding, J.-N.; Qiu, J.-H. Improvement on electrical properties of Ba0.9Ca0.1Ti0.9Sn0.1O3 ceramics with the addition of CeO2. J. Alloys Compd. 2017, 720, 562–566. [Google Scholar] [CrossRef]
- Tiwari, V.S.; Singh, N.; Pandey, D. Diffuse ferroelectric transition and relaxational dipolar freezing in (Ba,Sr)TiO3. J. Phys. Condens. Matter 1995, 7, 1441–1460. [Google Scholar] [CrossRef]
- Singh, N.; Pandey, D. Diffuse ferroelectric transition and relaxational dipolar freezing in: II. Role of Sr concentration in the dynamics of freezing. J. Phys. Condens. Matter 1996, 8, 4269–4287. [Google Scholar] [CrossRef]
- Singh, N.; Singh, A.P.; Prasad, C.D.; Pandey, D. Diffuse ferroelectric transition and relaxational dipolar freezing in: III. Role of order parameter fluctuations. J. Phys. Condens. Matter 1996, 8, 7813–7827. [Google Scholar] [CrossRef]
- Ogihara, H.; Randall, C.A.; Trolier-McKinstry, S. Weakly Coupled Relaxor Behavior of BaTiO3-BiScO3 Ceramics. J. Am. Ceram. Soc. 2009, 92, 110–118. [Google Scholar] [CrossRef]
- Shen, Z.; Wang, X.; Luo, B.; Li, L. BaTiO3-BiYbO3 perovskite materials for energy storage applications. J. Mater. Chem. A 2015, 3, 18146–18153. [Google Scholar] [CrossRef]
- Wang, Q.; Gong, P.-M.; Wang, C.-M. High recoverable energy storage density and large energy efficiency simultaneously achieved in BaTiO3-Bi(Zn1/2Zr1/2)O3 relaxor ferroelectrics. Ceram. Int. 2020, 46, 22452–22459. [Google Scholar] [CrossRef]
- Zhao, L.; Zhang, B.-P.; Zhou, P.-F.; Zhao, X.-K.; Zhu, L.-F. Phase Structure and Property Evaluation of (Ba,Ca)(Ti,Sn)O3 Sintered with Li2CO3 Addition at Low Temperature. J. Am. Ceram. Soc. 2014, 97, 2164–2169. [Google Scholar] [CrossRef]
- Wu, J.; Habibul, A.; Cheng, X.; Wang, X.; Zhang, B. Orthorhombic-tetragonal phase coexistence and piezoelectric behavior in (1-x)(Ba,Ca)(Ti,Sn)O3-x(Ba,Ca)(Ti,Zr)O3 lead-free ceramics. Mater. Res. Bull. 2013, 48, 4411–4414. [Google Scholar] [CrossRef]
- Janbua, W.; Bongkarn, T.; Kolodiazhnyi, T.; Vittayakorn, N. High piezoelectric response and polymorphic phase region in the lead-free piezoelectric BaTiO3-CaTiO3-BaSnO3 ternary system. RSC Adv. 2017, 7, 30166–30176. [Google Scholar] [CrossRef]
- Zhu, L.-F.; Zhang, B.-P.; Zhao, X.-K.; Zhao, L.; Zhou, P.-F.; Li, J.-F. Enhanced Piezoelectric Properties of (Ba1-xCax)(Ti0.92Sn0.08)O3 Lead-Free Ceramics. J. Am. Ceram. Soc. 2013, 96, 241–245. [Google Scholar] [CrossRef]
- Zhao, C.; Wang, H.; Xiong, J.; Wu, J. Composition-driven phase boundary and electrical properties in (Ba0.94Ca0.06)(Ti1-xMx)O3 (M = Sn, Hf, Zr) lead-free ceramics. Dalton Trans. 2016, 45, 6466–6480. [Google Scholar] [CrossRef] [PubMed]
- Kalyani, A.K.; Krishnan, H.; Sen, A.; Senyshyn, A.; Ranjan, R. Polarization switching and high piezoelectric response in Sn-modified BaTiO3. Phys. Rev. B 2015, 91, 024101. [Google Scholar] [CrossRef]
- Gao, J.; Hu, X.; Zhang, L.; Li, F.; Zhang, L.; Wang, Y.; Hao, Y.; Zhong, L.; Ren, X. Major contributor to the large piezoelectric response in (1-x)Ba(Zr0.2Ti0.8)O3-x(Ba0.7Ca0.3)TiO3 ceramics: Domain wall motion. Appl. Phys. Lett. 2014, 104, 252909. [Google Scholar] [CrossRef]
- Donohue, J.; Miller, S.J.; Cline, R.F. The effect of various substituents on the lattice constants of tetragonal titanate. Acta Cryst. 1958, 11, 693–695. [Google Scholar] [CrossRef]
- Acosta, M.; Novak, N.; Rojas, V.; Patel, S.; Vaish, R.; Koruza, J.; Rossetti, G.A.; Rödel, J. BaTiO3-based piezoelectrics: Fundamentals, current status, and perspectives. Appl. Phys. Rev. 2017, 4, 041305. [Google Scholar] [CrossRef]
- Lei, C.; Bokov, A.A.; Ye, Z.G. Ferroelectric to relaxor crossover and dielectric phase diagram in the BaTiO3-BaSnO3 system. J. Appl. Phys. 2007, 101, 084105. [Google Scholar] [CrossRef]
- Du, F.; Cui, B.; Cheng, H.; Niu, R.; Chang, Z. Synthesis, characterization, and dielectric properties of Ba(Ti1-xSnx)O3 nanopowders and ceramics. Mater. Res. Bull. 2009, 44, 1930–1934. [Google Scholar] [CrossRef]
- Frey, M.H.; Payne, D.A. Grain-size effect on structure and phase transformations for barium titanate. Phys. Rev. B 1996, 54, 3158–3168. [Google Scholar] [CrossRef]
- Chen, Y.; Ye, H.; Wang, X.; Li, Y.; Yao, X. Grain size effects on the electric and mechanical properties of submicro BaTiO3 ceramics. J. Eur. Ceram. Soc. 2020, 40, 391–400. [Google Scholar] [CrossRef]
- Zhu, L.-F.; Zhang, B.-P.; Zhao, L.; Li, S.; Zhou, Y.; Shi, X.-C.; Wang, N. Large piezoelectric effect of (Ba,Ca)TiO3-xBa(Sn,Ti)O3 lead-free ceramics. J. Eur. Ceram. Soc. 2016, 36, 1017–1024. [Google Scholar] [CrossRef]
- Long, P.; Liu, X.; Long, X.; Yi, Z. Dielectric relaxation, impedance spectra, piezoelectric properties of (Ba, Ca)(Ti, Sn)O3 ceramics and their multilayer piezoelectric actuators. J. Alloys Compd. 2017, 706, 234–243. [Google Scholar] [CrossRef]
- Thomas, N.W. A new framework for understanding relaxor ferroelectrics. J. Phys. Chem. Solids 1990, 51, 1419–1431. [Google Scholar] [CrossRef]
- Chen, M.; Xu, Q.; Kim, B.H.; Ahn, B.K.; Chen, W. Effect of CeO2 addition on structure and electrical properties of (Na0.5Bi0.5)0.93Ba0.07TiO3 ceramics prepared by citric method. Mater. Res. Bull. 2008, 43, 1420–1430. [Google Scholar] [CrossRef]
- Zhang, M.-H.; Wang, K.; Zhou, J.-S.; Zhou, J.-J.; Chu, X.; Lv, X.; Wu, J.; Li, J.-F. Thermally stable piezoelectric properties of (K, Na)NbO3-based lead-free perovskite with rhombohedral-tetragonal coexisting phase. Acta Mater. 2017, 122, 344–351. [Google Scholar] [CrossRef]
Publisher’s Note: MDPI stays neutral with regard to jurisdictional claims in published maps and institutional affiliations. |
© 2021 by the authors. Licensee MDPI, Basel, Switzerland. This article is an open access article distributed under the terms and conditions of the Creative Commons Attribution (CC BY) license (https://creativecommons.org/licenses/by/4.0/).






