Next Article in Journal
Photogrammetric Measurement and Analysis of the Shape Profile of Pneumatic Artificial Muscles
Next Article in Special Issue
Road Roughness Estimation Based on the Vehicle Frequency Response Function
Previous Article in Journal
Contactless Picking of Objects Using an Acoustic Gripper
 
 
Font Type:
Arial Georgia Verdana
Font Size:
Aa Aa Aa
Line Spacing:
Column Width:
Background:
Article

Investigation of Mechanical and Damping Performances of Cylindrical Viscoelastic Dampers in Wide Frequency Range

1
Key Laboratory of C&PC Structures of the Ministry of Education, Southeast University, Nanjing 211189, China
2
Nanjing Dongrui Damping Control Technology Co., Ltd., Nanjing 210033, China
3
College of Mechanical and Electronic Engineering, Nanjing Forestry University, Nanjing 210037, China
4
College of Civil Engineering, Xi’an University of Architecture and Technology, Xi’an 710055, China
*
Author to whom correspondence should be addressed.
Actuators 2021, 10(4), 71; https://doi.org/10.3390/act10040071
Submission received: 6 March 2021 / Revised: 28 March 2021 / Accepted: 2 April 2021 / Published: 4 April 2021
(This article belongs to the Special Issue Vibration Control and Structure Health Monitoring)

Abstract

:
This paper aims to develop viscoelastic dampers, which can effectively suppress vibration in a wide frequency range. First, several viscoelastic materials for damping performance were selected, and different batches of cylindrical viscoelastic dampers were fabricated by overall vulcanization. Second, the dynamic mechanical properties of the cylindrical viscoelastic dampers under different amplitudes and frequencies are tested, and the hysteretic curves under different loading conditions are obtained. Finally, by calculating the dynamic mechanical properties of the cylindrical viscoelastic dampers, the energy dissipation performance of these different batches of viscoelastic dampers is compared and analyzed. The experimental results show that the cylindrical viscoelastic damper presents a full hysteretic curve in a wide frequency range, in which the maximum loss factor can reach 0.57. Besides, the equivalent stiffness, storage modulus, loss factor, and energy consumption per cycle of the viscoelastic damper raise with the frequency increasing, while the equivalent damping decreases with the increase of frequency. When the displacement increases, the energy consumption per cycle of the viscoelastic damper rises rapidly, and the equivalent stiffness, equivalent damping, storage modulus, and loss factor change slightly.

1. Introduction

Viscoelastic dampers are widely used in the fields of civil engineering, machinery, and precision instruments due to its low cost, simple structure, and satisfactory shock absorption performance [1,2,3,4,5,6,7,8]. When the structure is subjected to external excitation, the viscoelastic damper will undergo shear deformation, which will then dissipate the energy of vibration. In the past few decades, researchers have been doing experimental and theoretical research on viscoelastic dampers [9,10,11,12].
Chang et al. [13] carried out experimental research on the performance of three kinds of dampers with different sizes and found that the stiffness and energy dissipation capacity of the three kinds of dampers decreased in varying degrees with the ambient temperature increasing. Soong et al. and Tsai et al. [14,15,16] conducted performance tests on viscoelastic dampers at different temperatures, different displacement amplitudes, and different frequencies, respectively. The results show that temperature, frequency, and displacement amplitudes are the main factors affecting the viscoelastic damper performance. Bergman et al. [17] also found that the mechanical performance of viscoelastic dampers is greatly affected by the ambient temperature and excitation frequency. The changing trend of the influencing factors on the mechanical properties of viscoelastic dampers has been concluded in above studies. There are few studies devoted to improving the energy dissipation performance of viscoelastic dampers from the perspective of materials.
Cazenove et al. [18] have studied the temperature rise effect of a plate viscoelastic damper, which shows that the temperature rise is a factor to be considered in the design of viscoelastic damper. Xu et al. [10,19,20] carried out performance tests of viscoelastic dampers with different rubber substrates under different temperatures, frequencies, and strain amplitudes, and carried out experimental research on the fatigue performance and ultimate deformation of the plate dampers. A series of novel vibration isolation devices based on viscoelastic materials have been developed [21,22,23,24], and its sufficient horizontal performance and vertical performance in experimental research has been presented. All the damper types studied above are based on plate damper, which limits the mechanical properties of viscoelastic damper to a certain extent. The cylindrical viscoelastic damper, in which viscoelastic material is wrapped by a steel plate with satisfactory performance, strong integrity, and large shear area per unit volume, is worth studying.
Additionally, plenty of experimental research on the viscoelastic damping structure have been carried out. Chang and Soong et al. [16,25] conducted shaking table tests on a 2/5 scale five-story steel structure model with viscoelastic dampers and its full-scale model, respectively, and investigated the influence of temperature and frequency on the vibration reduction effect of viscoelastic dampers. Aiken et al. [26] and others conducted shaking table tests on a nine-story steel structure model with a scale of one-fourth of the pure frame, additional steel brace, and viscoelastic damper, and compared the vibration reduction effects of several schemes, indicating that the viscoelastic damper has a better vibration reduction effect. Min et al. [27] carried out a shaking table analysis on a five-story steel structure with viscoelastic damping, and the results show that it has a good damping effect. Rao [8] introduced the application of passive damping technology using viscoelastic materials to control noise and vibration in vehicles. It can be seen above that viscoelastic dampers for high-frequency machinery and low-frequency building applications have been studied, but it has not been found that a specific viscoelastic damper can present sufficient mechanical properties at both low and high frequencies.
In this paper, it is necessary to study the energy dissipation performance of cylindrical viscoelastic dampers in a wide frequency range. Several batches of cylindrical viscoelastic dampers are made for different viscoelastic materials, and their mechanical properties are tested under different loading conditions. The polymer before vulcanization is prepared through mechanical mixing of nitrile butadiene rubber and some additives, and three batches of eight viscoelastic dampers were produced by a plate vulcanizer. The performance under different amplitudes and frequencies of these dampers is tested by a hydraulic servo machine, and the test results of these dampers are analyzed and compared.

2. Methodology and Theory of Viscoelastic Dampers Performance Test

Viscoelastic dampers are often subjected to alternating loads. For the convenience of analysis and mathematical treatment, a series of sine function combinations can be used to describe various complex alternating loads. Therefore, the dynamic mechanical performance test of the viscoelastic damper in this paper is also carried out by applying a sinusoidal excitation. From the basic theory of viscoelasticity, we know that viscoelastic materials show a hysteresis phenomenon under a cyclic load, and the strain response of materials lags behind the change of stress. It is because of this hysteresis that viscoelastic materials can dissipate energy during deformation.
Suppose that a sinusoidal alternating strain is applied to the viscoelastic material. The strain is as follows:
ε ( t ) = ε 0 sin ω t
where ω is the angular frequency and ε 0 is the maximum strain of the viscoelastic material. As the stress response of viscoelastic material is ahead of the strain by a phase angle δ , the stress response is as follows.
σ ( t , ω ) = σ 0 sin ( ω t + δ )
where σ 0 is the maximum stress of the viscoelastic material. The above formula is expanded as follows.
σ ( t , ω ) = σ 0 sin ω t cos δ + σ 0 cos ω t sin δ   = ε 0 [ E ( ω ) sin ω t + E ( ω ) cos ω t ]
where E ( ω ) = ( σ 0 / ε 0 ) cos δ and E ( ω ) = ( σ 0 / ε 0 ) sin δ are storage modulus and loss modulus of viscoelastic material, respectively. The storage modulus E represents the work done by the stress in phase with the strain, which is converted into energy and stored in the sample, and the energy of this part can make its elastic deformation recover. The loss modulus represents the energy lost by the transformation into heat during deformation. The ratio of loss modulus and storage modulus is the loss factor η of viscoelastic material.
η = E E = tan δ
By introducing Equation (1) into Equation (3), the following equation can be obtained.
cos ω t = 1 ε 0 E ( ω ) [ σ ( t , ω ) E ( ω ) ε ( t ) ]
The expression of sin ω t can be obtained from Equation (1), combining the above equation with sin 2 ω t + cos 2 ω t = 1 .
( σ ( t , ω ) E ( ω ) ε ( t ) ε 0 E ( ω ) ) 2 + ( ε ( t ) ε 0 ) 2 = 1
According to the above analysis, the relationship between force and displacement of viscoelastic damper conforms to Equation (6), which is also in the form of the elliptic equation. The relationship between the force F and displacement u of viscoelastic damper is given as follows [12].
[ F K d 1 u η K d 1 u 0 ] 2 + [ u u 0 ] 2 = 1
where K d 1 is the energy storage stiffness of the damper, and u0 is the maximum displacement of the damper. F0 is the maximum force of the damper, F1 is the damping force at the maximum displacement u0, and F2 is the damping force at the zero displacement, as shown in Figure 1.
The loading control and data acquisition system of the test system are controlled by a computer. During the test, the loading displacement and loading frequency are controlled, and the corresponding displacement and load values are collected.
To further analyze the dynamic mechanical properties of viscoelastic damper, it is necessary to calculate the storage modulus, loss modulus, loss factor, equivalent damping, equivalent stiffness, and single cycle energy consumption through a hysteretic curve. Therefore, the testing principle of viscoelastic damper and the acquisition method of corresponding mechanical parameters are briefly introduced.
The modulus of viscoelastic material can be expressed in the form of a complex modulus, as follows.
E * ( ω ) = E ( ω ) + i E ( ω )
where is the form of viscoelastic material modulus in the frequency domain, which is also commonly used by us. Equation (8) usually represents the dynamic modulus of tension compression deformation, and the corresponding shear dynamic modulus can be expressed as:
G * ( ω ) = G 1 ( ω ) + i G 2 ( ω )
where G 1 ( ω ) and G 2 ( ω ) are shear storage modulus and shear loss modulus, respectively.
The values of F0, F1, F2, and u0 can be obtained from the experimental hysteretic curves, and the viscoelastic layer number nn, shear area Av, and shear thickness hv can be obtained from the design parameters of viscoelastic damper, as shown in Table 1. The performance of viscoelastic damper is usually expressed by energy storage stiffness K d 1 , equivalent damping C e and single cycle energy consumption E d , as follows [10].
K d 1 = n n G 1 A v h v
C e = n n G 2 A v ω h v
E d = n n π G 2 A v u 0 2 / h v
It can be seen from the above formula that the storage modulus G 1 and loss modulus G 2 of viscoelastic material are related to the equivalent stiffness K d 1 and equivalent damping C e of the viscoelastic damper, while the equivalent stiffness and equivalent damping of viscoelastic damper can be directly obtained from the test data, as follows [12].
K d 1 = F 1 u 0
C e = F 2 ω u 0
Therefore, the relevant parameters of viscoelastic materials can be obtained through the above relationship from the test data as follows [19].
G 1 = K d 1 h v n n A v = F 1 h v n n A v u 0
η = F 2 / F 1
G 2 = η G 1
It can be seen from the above process that the mechanical parameters of viscoelastic materials and dampers for every single frequency can be calculated discretely based on the hysteretic curve obtained from the viscoelastic damper test and combined with Equations (13)–(17).

3. Production Process of Cylindrical Viscoelastic Dampers

Viscoelastic material directly determines the dynamic mechanical properties of viscoelastic damper. It is a kind of composite material that mainly includes the following four parts: matrix material, vulcanization system, reinforcement filling system, and anti-aging system.
The matrix material is a high molecular polymer with viscoelastic properties, which is the most important component in the formulation of viscoelastic materials. The type and amount of matrix play a decisive role in the properties of viscoelastic materials. As soon as the matrix material is specified, other mixing media as well as processing technology are determined. The loss factor of matrix polymer materials should be high, and the temperature range of the glass transition zone should be close to the service temperature range. Based on the study of the vibration reduction mechanism of viscoelastic materials [28], it can be known that the damping performance of matrix materials with more free network chains is higher, and the damping performance of matrix materials with a higher content of side groups of molecular chains is better. The viscoelastic material developed in this paper is high acrylonitrile butadiene rubber. In addition to its good damping performance, it also has the advantages of good processing performance, fast curing speed, and good mechanical properties. Usually, viscoelastic materials need to be vulcanized to form a cross-linking network structure between rubber molecular chains and improve their physical and mechanical properties to meet the application requirements. Therefore, the vulcanization system is a main content of viscoelastic material formulation design, which has a certain impact on the mechanical properties and damping properties of viscoelastic materials. Generally, the influence of the vulcanization system on the mechanical properties and damping properties of viscoelastic materials is contradictory, and the increase of the vulcanization degree will lead to the increase of mechanical properties, such as tensile strength and the decrease of damping properties such as loss factor. Because the base rubber in this paper is Nitrile rubber, the sulfur curing system is chosen. The reinforcement filling system is an important part of viscoelastic materials, and its effects on the properties of viscoelastic materials mainly include: (1) reinforcement, low strength of the pure polymer, and fillers, such as carbon black, which need to be added to improve the elastic modulus and tensile strength of materials and reduce the creep of materials. (2) In addition, changing the dynamic mechanical properties of materials, some fillers (such as mica) can significantly improve the internal friction energy of the materials. At the same time, the glass transition temperature of viscoelastic material can be changed by the filling system, and the temperature corresponding to the damping peak can be adjusted to match the temperature range. Carbon black and graphite powder are used in the filling and reinforcing system of viscoelastic materials developed in this paper. The protection system is mainly used to avoid or slow down the aging of viscoelastic materials in a harsh environment and improve the service life of materials. After adding the antioxidant, the viscoelastic material can maintain its performance for a long time in the process of use, and meet the use requirements.
The production process of viscoelastic materials includes three stages: plasticization, mixing, and vulcanization. The main purpose of plasticizing is to change the rheological properties of rubber, increase the plasticity, reduce the viscosity, and make it match with various additives in the mixing stage better. Mixing is the process of mixing raw rubber or plastic rubber and a compounding agent in the mixing machine until they are evenly dispersed. In the mixing process, the rubber and the compounding agent are mixed by the mechanical force of the rubber mixer, and evenly dispersed, which promotes the rubber and the compounding agent to have a certain chemical and physical action, thus, forming a more complex micro multi-phase structure and fundamentally changing the performance of the rubber mixture. Mixing is an important process that directly affects the mechanical properties of materials. The vulcanization process is carried out on the plate vulcanizing machine because the cylindrical viscoelastic damper in this paper adopts a vulcanization bonding integrated type, and the aluminum cylinder and viscoelastic material are filled into the mold before vulcanization. The corresponding adhesive is applied on the bonding contact surface in advance, and the determined vulcanization conditions (temperature: 160 ℃, time: 15 mins, and pressure: 10 MPa) are set on the vulcanizing machinea Finally, the mold with a viscoelastic damper inside is put on the plate curing machine for curing, as shown in Figure 2.
As shown in Figure 3, the cylindrical viscoelastic damper is composed of an inner aluminum cylinder, an outer aluminum cylinder, and a viscoelastic layer bonded by vulcanization between the inner and outer cylinders. The viscoelastic layer is 50 mm in height, 5 mm in thickness, 46 mm in the outer diameter, 36 mm in the inner diameter, and 6437 mm2 in a shear area. In practical application, the inner aluminum tube and the outer aluminum tube of the damper will be, respectively, installed between the base of the isolation structure and the damping components. The relative displacement between the inner and outer tubes will lead to the shear deformation of the viscoelastic layer, which plays the role of energy dissipation and vibration reduction.

4. Performance Tests on Cylindrical Viscoelastic Dampers

4.1. Test Setup

The dynamic mechanical property tests on cylindrical viscoelastic dampers are carried out on a 10 kN hydraulic servo fatigue machine (Figure 4a). The loading frequency of the testing machine can reach 50 Hz, the control displacement accuracy can reach 5 μm, and the maximum loading force is 10 kN, which is suitable for the dynamic mechanical performance test of the damper under the conditions of high frequency and small amplitude.
To obtain the hysteretic curves of a cylindrical viscoelastic damper, the mechanical properties of the viscoelastic damper under different working conditions (excitation frequency and displacement amplitude) were tested, and the effects of ambient temperature, loading frequency, and displacement amplitude on the mechanical properties and energy dissipation performance of viscoelastic damper were studied. In this paper, three batches of materials are composed of NBR, carbon black, graphite, sulfur, zinc oxide, stearic acid, and antioxidant, in which the damping agents are different including one damper in the first batch, marked as X01, three dampers in the second batch, marked as Y01, Y02, and Y03, four dampers in the third batch, marked as Y01-01 ~ 04. There are a total of eight damper specimens. Mica is added in the first batch of X01, three kinds of hindered phenols (AO60, AO80, and AO1098) are added in the second batch, and different fractions of AO60 are added in the third batch. The corresponding loading conditions are shown in Table 2.
In the process of each damper test, it should be checked that the connection between the chuck of the hydraulic servo machine and the test piece is firm and the viscoelastic layer has not degummed or torn to ensure that the collected test data are accurate and effective. The data acquisition system (Figure 4b) shows that the hysteretic curve is full under each working condition, which indicates that all parts of the specimen are well-connected. After every certain condition is loaded for 10 cycles, the loading frequency and amplitude need to be changed through the loading control software shown in Figure 4b for the next condition.

4.2. Analysis and Discussion of Test Results

Figure 5 and Figure 6 show the force-displacement hysteretic curves of dampers X01 and Y02 at different frequencies. It can be seen that the hysteretic curves of the damper under different test conditions are standard ellipse shapes, which indicates that the damper has better energy dissipation capacity. At the same time, it can be seen that, with the increase of loading frequency, the tilt angle of the hysteretic curve increases, and the elliptic curve becomes fuller. At a low frequency, such as 0.1 Hz, the hysteresis curve is flat, while, at a high frequency, such as 10 Hz, the hysteresis curve is very full. This phenomenon shows that the stiffness and energy dissipation capacity of the viscoelastic damper increase with the rise in frequency.
Figure 7 and Figure 8 are force-displacement hysteretic curves of different displacement amplitudes of damper No. Y02 and Y01-03, respectively. It can be seen from the figure that the force-displacement hysteretic curves of the specimens under different working conditions are full ellipses. The results show that the viscoelastic damper has good energy dissipation capacity in a micro-vibration environment. At the same frequency and temperature, the envelope area of the curve increases with the rise of the displacement amplitude. This phenomenon shows that the energy dissipation of a single loop increases with the growth of the displacement amplitude. It can also be seen from the figure that the inclination angle of the hysteretic curve of the damper is only slightly reduced and basically remains unchanged, which indicates that the displacement amplitude has almost no effect on the stiffness of the damper.
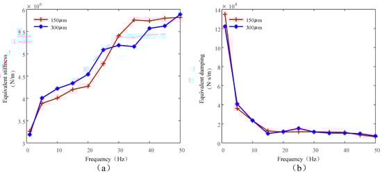
Figure 9 shows the equivalent stiffness and equivalent damping of the viscoelastic damper specimen X01 at different frequencies. It can be seen that, under the same displacement amplitude, the equivalent stiffness of the viscoelastic damper increases with the rise of frequency. Under the same displacement amplitude, the equivalent damping decreases with the increase of frequency. In the lower frequency range, it can be seen that the equivalent damping decreases sharply, and, with the increase of frequency, the reduction tends to moderate, and the difference of equivalent stiffness and equivalent damping is small under different displacement amplitudes.
Figure 10 shows the storage modulus and loss factor of the viscoelastic damper specimen X01 at different frequencies. It can be seen that the storage modulus and loss factor of viscoelastic materials increase with the growth of frequency. The change of dynamic mechanical properties of viscoelastic materials with frequency is mainly related to the motion state of molecular chain and the relaxation time of the material. In the tested frequency range, with the increase of the excitation frequency, the external load action time becomes shorter, gradually approaching the relaxation time of the molecular chain. The motion of the chain segment intensifies, and the interaction between the chains strengthens, so the performance indexes are increased.
When the frequency is 1 Hz, the curves of equivalent stiffness and equivalent damping of viscoelastic damper specimen Y01 ~ 03 varying with amplitude have been drawn, as shown in Figure 11. The relative difference between the equivalent stiffness and the equivalent damping of specimen Y01 ~ 03 is less than 20%. The damping parameters of the three specimens are in good agreement, which indicates that the viscoelastic damper has a good consistency. Taking Y03 as an example, when the loading frequency is 1 Hz, the change rates of equivalent stiffness and equivalent damping are −1.26%, −2.40%, and −0.5%, −1.52%, respectively, when the displacement amplitude is from 0.1 to 0.15 mm and 0.15 to 0.2 mm. It can be seen that, when the displacement amplitude is very small, the equivalent stiffness and damping of viscoelastic damper slightly decrease with the increase of displacement, and the effect of displacement amplitude on the stiffness and damping of the viscoelastic damper is very small.
Figure 12 shows the storage modulus and loss factor of viscoelastic material under different amplitudes of specimen Y01~03 at the frequency of 1 Hz. Taking Y03 as an example, when the loading frequency is 1 Hz and the displacement amplitude is from 0.1 to 0.15 mm and 0.15 to 0.2 mm, the change rates of storage modulus and loss factor are −0.79%, −2.56%, 0.39%, and 1.01%, respectively, and the growth rates of single cycle energy consumption are 124.26% and 75.14%. It can be seen that, with the increase of displacement amplitude, the energy consumption of a single loop increases greatly. When the displacement amplitude is very small, the displacement amplitude slightly affects the storage modulus and loss factor of the viscoelastic damper.
When the displacement amplitude is 0.2 mm, the equivalent stiffness and damping curves of specimen Y01-01 ~ 04 at different frequencies have been plotted, as shown in Figure 13. Similar to the change law of mechanical properties of specimen X01, the stiffness of the viscoelastic damper increases slightly with the rise in frequency. When the frequency is small, the stiffness increases rapidly with the growth in frequency. When the frequency is large, the stiffness increases slowly and the curve tends to be smooth. The equivalent damping of the viscoelastic damper decreases with the increase of frequency. When the frequency is small, the decrease is faster. When the frequency is high, the decrease is slower and the curve tends to be smooth. It can be seen from the figure that the stiffness of the four damper specimens is slightly different from other specimens except for Y02-02. The damping parameters of the four specimens are in good agreement, which indicates that the viscoelastic damper has a good consistency.
Figure 14 shows the equivalent stiffness and damping of specimen Y01-01 ~ 04 under different amplitudes at the frequency of 5 Hz. Taking Y01-01 as an example, when the displacement amplitude is from 0.1 to 0.2 mm, 0.2 to 0.5 mm, and 0.5 to 1 mm, the change rates of equivalent stiffness and damping are −5.66%, −7.39%, −10.24%, and −6.63%, 0.64%, 0.64%, and 17.94%, respectively. It can be seen that the stiffness and equivalent damping of viscoelastic damper decrease slightly with the increase of displacement, which is consistent with the stable slope and fullness of the hysteresis curve at different displacements in Figure 7 and Figure 8.
Figure 15a,b, respectively, show the energy consumption of a single cycle under different frequencies and different displacements when the displacement amplitude of specimen Y01-01 ~ 04 is 0.2 mm and the frequency is 5 Hz. It can be seen from the curve that the damping parameters of the four specimens are in good agreement, which indicates that the viscoelastic damper has a good consistency. Taking the specimen Y01-01 as an example, when the displacement amplitude is 0.2 mm, and the frequency is from 1 to 10 Hz, 10 to 20 Hz, 20 to 30 Hz, 30 to 40 Hz, and 40 to 50 Hz, the increasing values of energy consumption of a single cycle are 0.034 N·m, 0.03 N·m, 0.028 N·m, 0.039 N·m, and 0.047 N·m, respectively. When the frequency is 5 Hz, the increasing values of energy consumption of a single cycle are 0.071 N·m, 0.605 N·m, and 1.397 N·m, respectively, when the displacement is from 0.1 to 0.2 mm, 0.2 to 0.5 mm, and 0.5 to 1 mm. It can be seen that the energy dissipation of a single loop of viscoelastic damper raises with the frequency and displacement increasing.

5. Conclusions

In this paper, several batches of cylindrical viscoelastic dampers are vulcanized for different viscoelastic materials, and the dynamic mechanical properties are tested at different frequencies and amplitudes. The main conclusions are as follows.
(1) The cylindrical viscoelastic dampers present a full hysteretic curve and excellent damping performance in a wide frequency range, which further promotes the application of viscoelastic damper under different frequency conditions.
(2) The equivalent stiffness, storage modulus, loss factor, and energy consumption per cycle of the viscoelastic damper increase with the rise in frequency, while the equivalent damping decreases with the increase in frequency.
(3) When the displacement increases, the energy consumption per cycle of the viscoelastic damper increases rapidly, and the equivalent stiffness, equivalent damping, storage modulus, and loss factor change slightly.

Author Contributions

Conceptualization, T.G. and X.-H.H.; methodology, Y.-Q.G.; software, T.G.; validation, T.G., Y.-Q.G. and Z.-F.H.; formal analysis, T.G.; investigation, T.G.; resources, X.-H.H.; data curation, T.G.; writing—original draft preparation, T.G.; writing—review and editing, Y.-Q.G.; visualization, Z.-W.H.; supervision, Y.-Q.G.; project administration, X.-H.H.; funding acquisition, Y.-Q.G. All authors have read and agreed to the published version of the manuscript.

Funding

This study was financially supported by the National Key Research and Development Program of China (2016YFE0200500), the National Key R&D Programs of China (Grant Number: 2019YFE0121900), Jiangsu International Science and Technology Cooperation Program (BZ2018058), National Natural Science Foundation of China (Grant Number: 56237845), Natural Science Foundation of Jiangsu Province (Grant Number: BK20170684), and the State Foundation for Studying Abroad, China.

Institutional Review Board Statement

Not applicable.

Informed Consent Statement

Informed consent was obtained from all subjects involved in the study.

Data Availability Statement

Not applicable.

Conflicts of Interest

The authors declare no conflict of interest.

References

  1. Kim, J.; Ryu, J.; Chung, L. Seismic performance of structures connected by viscoelastic dampers. Eng. Struct. 2006, 28, 183–195. [Google Scholar] [CrossRef]
  2. Rashid, A.; Nicolescu, C.M. Design and implementation of tuned viscoelastic dampers for vibration control in milling. Int. J. Mach. Tools Manuf. 2008, 48, 1036–1053. [Google Scholar] [CrossRef]
  3. Paolacci, F. An energy-based design for seismic resistant structures with viscoelastic dampers. Earthq. Struct. 2013, 4, 2. [Google Scholar] [CrossRef]
  4. Tsai, C.S.; Lee, H.H. Applications of viscoelastic dampers to high-rise buildings. J. Struct. Eng. 1993, 119, 1222–1233. [Google Scholar] [CrossRef]
  5. Xu, Z.D. Earthquake mitigation study on viscoelastic dampers for reinforced concrete structures. J. Vib. Control 2007, 13, 29–43. [Google Scholar] [CrossRef]
  6. Xu, Z.D.; Shen, Y.P.; Zhao, H.T. A synthetic optimization analysis method on structures with viscoelastic dampers. Soil Dyn. Earthq. Eng. 2003, 23, 683–689. [Google Scholar] [CrossRef]
  7. Moliner, E.; Museros, P.; Martínez-Rodrigo, M.D. Retrofit of existing railway bridges of short to medium spans for high-speed traffic using viscoelastic dampers. Eng. Struct. 2012, 40, 519–528. [Google Scholar] [CrossRef]
  8. Rao, M.D. Recent applications of viscoelastic damping for noise control in automobiles and commercial airplanes. J. Sound Vib. 2003, 262, 457–474. [Google Scholar] [CrossRef]
  9. Lewandowski, R.; Pawlak, Z.Ł. Dynamic analysis of frames with viscoelastic dampers modelled by rheological models with fractionalderivatives. J. Sound Vib. 2011, 330, 923–936. [Google Scholar] [CrossRef]
  10. Xu, Z.D.; Liao, Y.X.; Ge, T.; Xu, C. Experimental and theoretical study of viscoelastic dampers with different matrix rubbers. J. Eng. Mech. 2016, 142, 04016051. [Google Scholar] [CrossRef]
  11. Chang, K.C.; Soong, T.T.; Lai, M.L.; Neilson, E.J. Viscoelastic dampers as energy dissipation devices for seismic applications. Earthq. Spectra 1993, 9, 371–387. [Google Scholar] [CrossRef]
  12. Xu, Z.D.; Xu, C.; Hu, J. Equivalent fractional Kelvin model and experimental study on viscoelastic damper. J. Vib. Control 2015, 21, 2536–2552. [Google Scholar] [CrossRef]
  13. Chang, K.C.; Lai, M.L.; Soong, T.T.; Hao, D.S.; Yeh, Y.C. Seismic Behavior and Design Guidelines for Steel Frame Structures with Added Viscoelastic Dampers; National Center for Earthquake Engineering Research: Buffalo, NY, USA, 1993. [Google Scholar]
  14. Shen, K.L.; Soong, T.T.; Chang, K.C.; Lai, M.L. Seismic behaviour of reinforced concrete frame with added viscoelastic dampers. Eng. Struct. 1995, 17, 372–380. [Google Scholar] [CrossRef]
  15. Tsai, C.S. Temperature effect of viscoelastic dampers during earthquakes. J. Struct. Eng. 1994, 120, 394–409. [Google Scholar] [CrossRef]
  16. Chang, K.C.; Soong, T.T.; Oh, S.T.; Lai, M.L. Seismic behavior of steel frame with added viscoelastic dampers. J. Struct. Eng. 1995, 121, 1418–1426. [Google Scholar] [CrossRef]
  17. Bergman, D.M.; Hanson, R.D. Viscoelastic mechanical damping devices tested at real earthquake displacements. Earthq. Spectra 1993, 9, 389–417. [Google Scholar] [CrossRef]
  18. De Cazenove, J.; Rade, D.A.; De Lima, A.M.G.; Araújo, C.A. A numerical and experimental investigation on self-heating effects in viscoelastic dampers. Mech. Syst. Signal Process. 2012, 27, 433–445. [Google Scholar] [CrossRef]
  19. Xu, Z.D.; Ge, T.; Liu, J. Experimental and theoretical study of high-energy dissipation-viscoelastic dampers based on acrylate-rubber matrix. J. Eng. Mech. 2020, 146, 04020057. [Google Scholar] [CrossRef]
  20. Xu, Z.D.; Wang, D.X.; Shi, C.F. Model, tests and application design for viscoelastic dampers. J. Vib. Control 2011, 17, 1359–1370. [Google Scholar] [CrossRef]
  21. Xu, Z.D.; Lu, L.H.; Shi, B.Q.; Huang, X.; Zeng, X. Experimental and numerical studies on vertical properties of a new multi-dimensional earthquake isolation and mitigation device. Shock Vib. 2013, 20, 401–410. [Google Scholar] [CrossRef]
  22. Xu, Z.D.; Gai, P.P.; Zhao, H.Y.; Huang, X.H.; Lu, L.-Y. Experimental and theoretical study on a building structure controlled by multi-dimensional earthquake isolation and mitigation devices. Nonlinear Dyn. 2017, 89, 723–740. [Google Scholar] [CrossRef]
  23. Xu, Z.D.; Xu, F.H.; Chen, X. Vibration suppression on a platform by using vibration isolation and mitigation devices. Nonlinear Dyn. 2016, 83, 1341–1353. [Google Scholar] [CrossRef]
  24. Xu, Z.D.; Ge, T.; Miao, A. Experimental and theoretical study on a novel multi-dimensional vibration isolation and mitigation device for large-scale pipeline structure. Mech. Syst. Signal Process. 2019, 129, 546–567. [Google Scholar] [CrossRef]
  25. Chang, K.C.; Lin, Y.L. Seismic response of full-scale structure with added viscoelastic dampers. J. Struct. Eng. 2004, 130, 600–608. [Google Scholar] [CrossRef]
  26. Aiken, I.D.; Nims, D.K.; Whittaker, A.S.; Kelly, M.K. Testing of passive energy dissipation systems. Earthq. Spectra 1993, 9, 335–370. [Google Scholar] [CrossRef]
  27. Min, K.; Kim, J.; Lee, S. Vibration tests of 5-storey steel frame with viscoelastic dampers. Eng. Struct. 2004, 26, 831–839. [Google Scholar] [CrossRef]
  28. Lin, Y.Y. Polymer Viscoelasticity: Basics, Molecular Theories, Experiments and Simulations; World Scientific: Singapore, 2010. [Google Scholar]
Figure 1. Force-displacement hysteresis curve.
Figure 1. Force-displacement hysteresis curve.
Actuators 10 00071 g001
Figure 2. Vulcanization process of viscoelastic damper: (a) mold. (b) Flat vulcanizing machine.
Figure 2. Vulcanization process of viscoelastic damper: (a) mold. (b) Flat vulcanizing machine.
Actuators 10 00071 g002
Figure 3. Cylindrical viscoelastic damper. (a) cross Section; (b) physical map.
Figure 3. Cylindrical viscoelastic damper. (a) cross Section; (b) physical map.
Actuators 10 00071 g003
Figure 4. Test setup of viscoelastic dampers: (a) loading device and (b) data acquisition system.
Figure 4. Test setup of viscoelastic dampers: (a) loading device and (b) data acquisition system.
Actuators 10 00071 g004
Figure 5. The hysteresis curves of specimen X01 at the same displacement amplitude with different frequencies: (a) 150 μm, (b) 300 μm.
Figure 5. The hysteresis curves of specimen X01 at the same displacement amplitude with different frequencies: (a) 150 μm, (b) 300 μm.
Actuators 10 00071 g005
Figure 6. The hysteresis curves of specimen Y02 at the same displacement amplitude with different frequencies: (a) 1~10 Hz, (b) 10~50 Hz.
Figure 6. The hysteresis curves of specimen Y02 at the same displacement amplitude with different frequencies: (a) 1~10 Hz, (b) 10~50 Hz.
Actuators 10 00071 g006
Figure 7. The hysteresis curves of specimen Y02 at the same frequency with different displacements: (a) 30 Hz, (b) 50 Hz.
Figure 7. The hysteresis curves of specimen Y02 at the same frequency with different displacements: (a) 30 Hz, (b) 50 Hz.
Actuators 10 00071 g007
Figure 8. The hysteresis curves of specimen Y01-03 at the same frequency with different displacements: (a) 10 Hz, (b) 40 Hz.
Figure 8. The hysteresis curves of specimen Y01-03 at the same frequency with different displacements: (a) 10 Hz, (b) 40 Hz.
Actuators 10 00071 g008
Figure 9. Dynamic parameters of specimen X01 vary with frequency: (a) equivalent stiffness, and (b) equivalent damping.
Figure 9. Dynamic parameters of specimen X01 vary with frequency: (a) equivalent stiffness, and (b) equivalent damping.
Actuators 10 00071 g009
Figure 10. Dynamic parameters of specimen X01 vary with frequency: (a) storage modulus and (b) loss factor.
Figure 10. Dynamic parameters of specimen X01 vary with frequency: (a) storage modulus and (b) loss factor.
Actuators 10 00071 g010
Figure 11. Dynamic parameters of specimens Y01~03 vary with displacement at 1 Hz: (a) equivalent stiffness and (b) equivalent damping.
Figure 11. Dynamic parameters of specimens Y01~03 vary with displacement at 1 Hz: (a) equivalent stiffness and (b) equivalent damping.
Actuators 10 00071 g011
Figure 12. Dynamic parameters of specimens Y01~03 vary with displacement at 1 Hz: (a) storage modulus, (b) loss factor, and (c) energy dissipation.
Figure 12. Dynamic parameters of specimens Y01~03 vary with displacement at 1 Hz: (a) storage modulus, (b) loss factor, and (c) energy dissipation.
Actuators 10 00071 g012
Figure 13. Dynamic parameters of specimens Y01-01~04 vary with frequency at 0.2 mm: (a) equivalent stiffness and (b) equivalent damping.
Figure 13. Dynamic parameters of specimens Y01-01~04 vary with frequency at 0.2 mm: (a) equivalent stiffness and (b) equivalent damping.
Actuators 10 00071 g013
Figure 14. Dynamic parameters of specimens Y01-01~04 vary with displacement at 5 Hz: (a) equivalent stiffness and (b) equivalent damping.
Figure 14. Dynamic parameters of specimens Y01-01~04 vary with displacement at 5 Hz: (a) equivalent stiffness and (b) equivalent damping.
Actuators 10 00071 g014
Figure 15. Energy dissipation of specimens Y01-01~04 vary with (a) frequency at 0.2 mm and (b) displacement at 5 Hz.
Figure 15. Energy dissipation of specimens Y01-01~04 vary with (a) frequency at 0.2 mm and (b) displacement at 5 Hz.
Actuators 10 00071 g015
Table 1. Size of the viscoelastic dampers.
Table 1. Size of the viscoelastic dampers.
Viscoelastic Layer Number nnShear Area AvShear Thickness hv
16437 mm25 mm
Table 2. Loading procedure of property tests on the viscoelastic dampers.
Table 2. Loading procedure of property tests on the viscoelastic dampers.
Specimen TypeSpecimen NumberDisplacement Amplitude d (mm)Frequency f (Hz)Number of Cycles
Cylindrical VE damperX010.15, 0.31, 5, 10, 15, 20, 25, 30, 35, 40, 45, 5010
Y010.1, 0.15, 0.31, 2, 5, 8, 10, 20, 30, 40, 50
Y02
Y03
Y01-010.1, 0.2, 0.5, 1.01, 2, 5, 8, 10, 20, 30, 40, 50
Y01-021, 2, 5, 8, 10, 20, 30, 40, 50
Y01-031, 2, 5, 8, 10, 20, 30, 40, 50
Y01-041, 2, 5, 8, 10, 20, 30, 40, 50
Publisher’s Note: MDPI stays neutral with regard to jurisdictional claims in published maps and institutional affiliations.

Share and Cite

MDPI and ACS Style

Ge, T.; Huang, X.-H.; Guo, Y.-Q.; He, Z.-F.; Hu, Z.-W. Investigation of Mechanical and Damping Performances of Cylindrical Viscoelastic Dampers in Wide Frequency Range. Actuators 2021, 10, 71. https://doi.org/10.3390/act10040071

AMA Style

Ge T, Huang X-H, Guo Y-Q, He Z-F, Hu Z-W. Investigation of Mechanical and Damping Performances of Cylindrical Viscoelastic Dampers in Wide Frequency Range. Actuators. 2021; 10(4):71. https://doi.org/10.3390/act10040071

Chicago/Turabian Style

Ge, Teng, Xing-Huai Huang, Ying-Qing Guo, Ze-Feng He, and Zhong-Wei Hu. 2021. "Investigation of Mechanical and Damping Performances of Cylindrical Viscoelastic Dampers in Wide Frequency Range" Actuators 10, no. 4: 71. https://doi.org/10.3390/act10040071

APA Style

Ge, T., Huang, X.-H., Guo, Y.-Q., He, Z.-F., & Hu, Z.-W. (2021). Investigation of Mechanical and Damping Performances of Cylindrical Viscoelastic Dampers in Wide Frequency Range. Actuators, 10(4), 71. https://doi.org/10.3390/act10040071

Note that from the first issue of 2016, this journal uses article numbers instead of page numbers. See further details here.

Article Metrics

Back to TopTop