Respiratory Microbiome of Carbapenem-Resistant Acinetobacter baumannii Ventilator-Associated Pneumonia: A Pilot Study from the Republic of Korea
Abstract
1. Introduction
2. Materials and Methods
2.1. Study Design
2.2. Respiratory Specimen Collection
2.3. DNA Extraction and 16S rRNA Sequencing
2.4. Diversity Assessment
2.5. Statistical Analysis
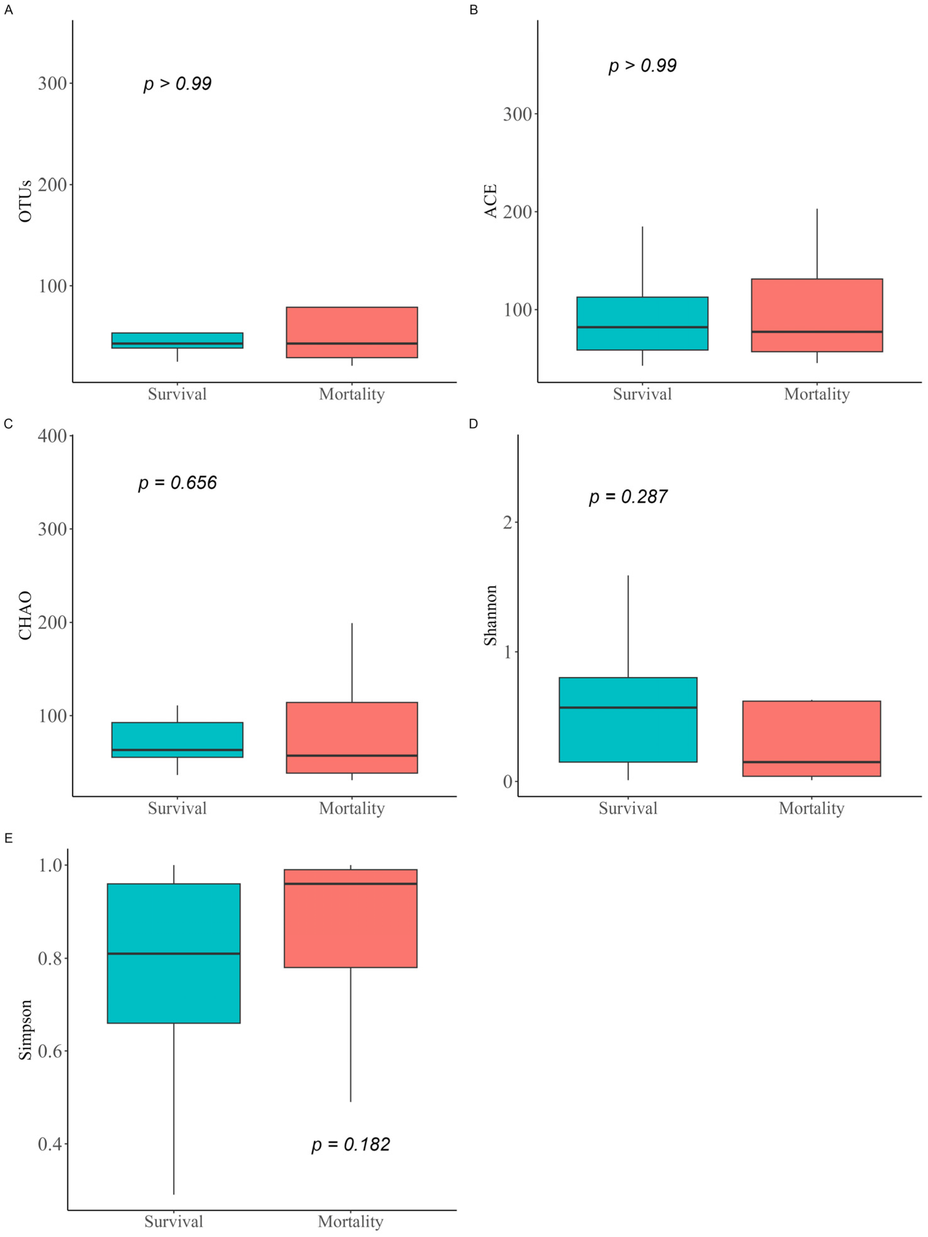
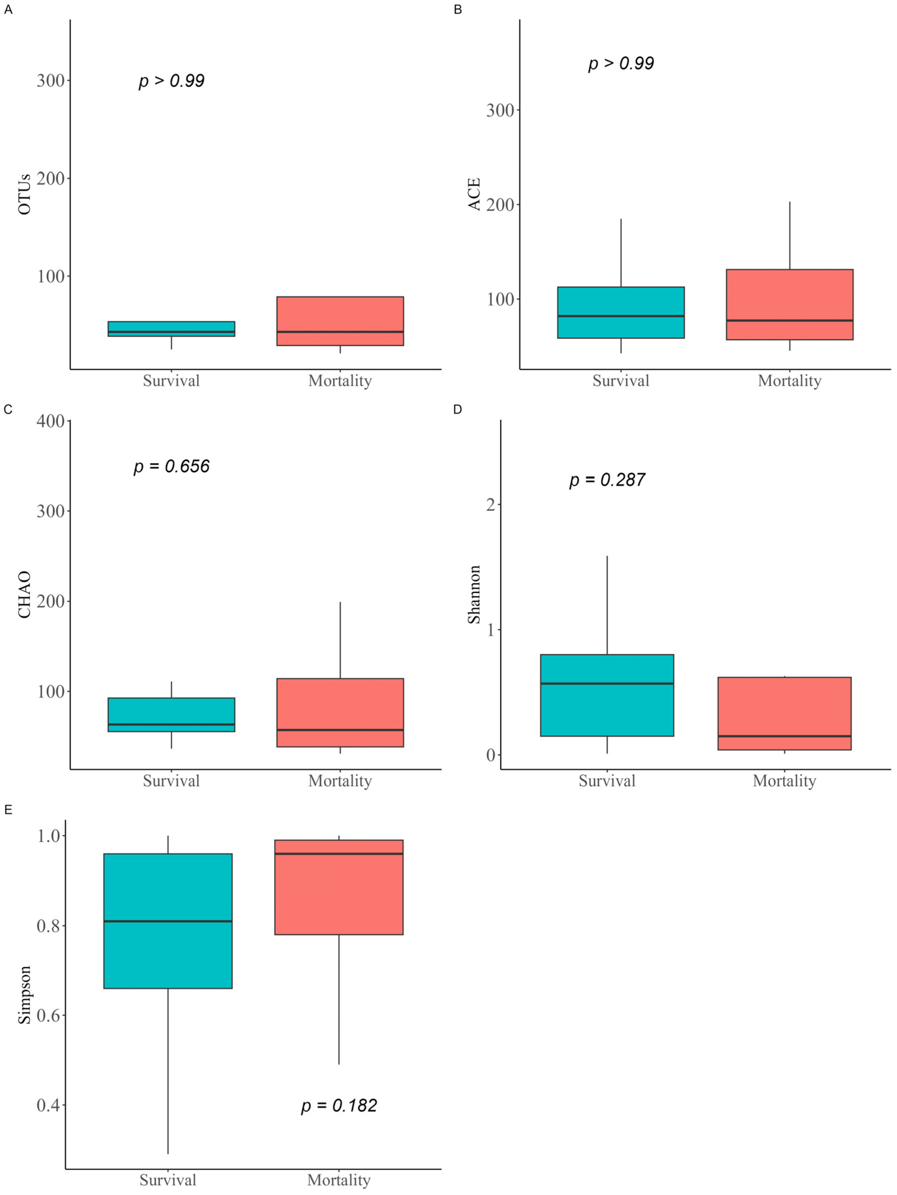
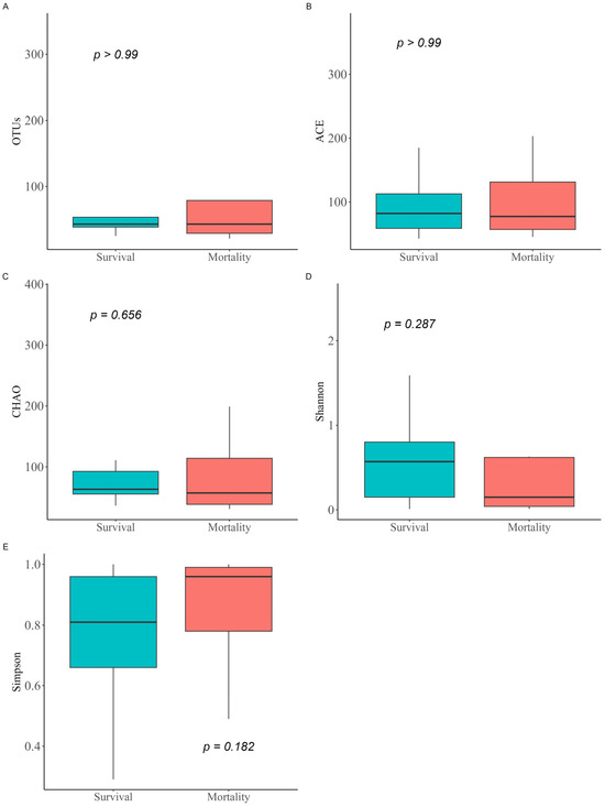
3. Results
4. Discussion
5. Conclusions
Supplementary Materials
Author Contributions
Funding
Institutional Review Board Statement
Informed Consent Statement
Data Availability Statement
Conflicts of Interest
Abbreviations
| ACE | abundance-based coverage estimator |
| CRAB | Carbapenem-resistant A. baumannii |
| ICU | intensive care unit |
| IQR | interquartile range |
| OTU | operational taxonomic unit |
| PCoA | principal coordinate analysis |
| PCR | polymerase chain reaction |
| SOFA | Sequential Organ Failure Assessment |
| VAP | Ventilator-associated pneumonia |
References
- Howroyd, F.; Chacko, C.; MacDuff, A.; Gautam, N.; Pouchet, B.; Tunnicliffe, B.; Weblin, J.; Gao-Smith, F.; Ahmed, Z.; Duggal, N.A.; et al. Ventilator-associated pneumonia: Pathobiological heterogeneity and diagnostic challenges. Nat. Commun. 2024, 15, 6447. [Google Scholar] [CrossRef] [PubMed]
- Colaneri, M.; Montrucchio, G.; Scaglione, G.; Monti, G.; Tricella, G.; Genovese, C.; Agostini, F.; Dore, F.; Viaggi, B.; Brazzi, L.; et al. Incidence, microbiology, and mortality of ventilation-associated pneumonia in a large Italian cohort of critically ill patients: Results from the PROSAFE project. Clin. Microbiol. Infect. 2025, 31, 1491–1499. [Google Scholar] [CrossRef]
- Papazian, L.; Klompas, M.; Luyt, C.E. Ventilator-associated pneumonia in adults: A narrative review. Intensive Care Med. 2020, 46, 888–906. [Google Scholar] [CrossRef]
- Kim, E.J.; Kwak, Y.G.; Park, S.H.; Kim, S.R.; Shin, M.J.; Yoo, H.M.; Han, S.H.; Kim, D.W.; Choi, Y.H.; Yoo, J.H. Trends in device utilization ratios in intensive care units over 10-year period in South Korea: Device utilization ratio as a new aspect of surveillance. J. Hosp. Infect. 2018, 100, e169–e177. [Google Scholar] [CrossRef]
- Mumtaz, H.; Saqib, M.; Khan, W.; Ismail, S.M.; Sohail, H.; Muneeb, M.; Sheikh, S.S. Ventilator associated pneumonia in intensive care unit patients: A systematic review. Ann. Med. Surg. 2023, 85, 2932–2939. [Google Scholar] [CrossRef]
- Wong, D.; Nielsen, T.B.; Bonomo, R.A.; Pantapalangkoor, P.; Luna, B.; Spellberg, B. Clinical and Pathophysiological Overview of Acinetobacter Infections: A Century of Challenges. Clin. Microbiol. Rev. 2017, 30, 409–447. [Google Scholar] [CrossRef]
- Miller, W.R.; Arias, C.A. ESKAPE pathogens: Antimicrobial resistance, epidemiology, clinical impact and therapeutics. Nat. Rev. Microbiol. 2024, 22, 598–616. [Google Scholar] [CrossRef]
- Ling, W.; Furuya-Kanamori, L.; Ezure, Y.; Harris, P.N.A.; Paterson, D.L. Adverse clinical outcomes associated with carbapenem-resistant Acinetobacter (CRA) infections: A systematic review and meta-analysis. JAC Antimicrob. Resist. 2021, 3, dlab157. [Google Scholar] [CrossRef]
- Nelson, R.E.; Hyun, D.; Jezek, A.; Samore, M.H. Mortality, Length of Stay, and Healthcare Costs Associated with Multidrug-Resistant Bacterial Infections Among Elderly Hospitalized Patients in the United States. Clin. Infect. Dis. 2022, 74, 1070–1080. [Google Scholar] [CrossRef] [PubMed]
- Chang, Y.; Jeon, K.; Lee, S.M.; Cho, Y.J.; Kim, Y.S.; Chong, Y.P.; Hong, S.B. The Distribution of Multidrug-resistant Microorganisms and Treatment Status of Hospital-acquired Pneumonia/Ventilator-associated Pneumonia in Adult Intensive Care Units: A Prospective Cohort Observational Study. J. Korean Med. Sci. 2021, 36, e251. [Google Scholar] [CrossRef] [PubMed]
- Luyt, C.E.; Hékimian, G.; Koulenti, D.; Chastre, J. Microbial cause of ICU-acquired pneumonia: Hospital-acquired pneumonia versus ventilator-associated pneumonia. Curr. Opin. Crit. Care 2018, 24, 332–338. [Google Scholar] [CrossRef] [PubMed]
- Kao, H.H.; Peng, C.K.; Sheu, C.C.; Lin, Y.C.; Chan, M.C.; Wang, S.H.; Chen, C.M.; Shen, Y.C.; Zheng, Z.R.; Lin, Y.T.; et al. Mortality and ventilator dependence in critically ill patients with ventilator-associated pneumonia caused by carbapenem-resistant Acinetobacter baumannii. J. Microbiol. Immunol. Infect. 2023, 56, 822–832. [Google Scholar] [CrossRef]
- Fromentin, M.; Ricard, J.D.; Roux, D. Respiratory microbiome in mechanically ventilated patients: A narrative review. Intensive Care Med. 2021, 47, 292–306. [Google Scholar] [CrossRef] [PubMed]
- Fernández-Barat, L.; López-Aladid, R.; Torres, A. Reconsidering ventilator-associated pneumonia from a new dimension of the lung microbiome. eBioMedicine 2020, 60, 102995. [Google Scholar] [CrossRef]
- Guidelines for the management of adults with hospital-acquired, ventilator-associated, and healthcare-associated pneumonia. Am. J. Respir. Crit. Care Med. 2005, 171, 388–416. [CrossRef]
- Kelly, B.J.; Imai, I.; Bittinger, K.; Laughlin, A.; Fuchs, B.D.; Bushman, F.D.; Collman, R.G. Composition and dynamics of the respiratory tract microbiome in intubated patients. Microbiome 2016, 4, 7. [Google Scholar] [CrossRef]
- Conway Morris, A.; Gadsby, N.; McKenna, J.P.; Hellyer, T.P.; Dark, P.; Singh, S.; Walsh, T.S.; McAuley, D.F.; Templeton, K.; Simpson, A.J.; et al. 16S pan-bacterial PCR can accurately identify patients with ventilator-associated pneumonia. Thorax 2017, 72, 1046–1048. [Google Scholar] [CrossRef]
- Emonet, S.; Lazarevic, V.; Leemann Refondini, C.; Gaïa, N.; Leo, S.; Girard, M.; Nocquet Boyer, V.; Wozniak, H.; Després, L.; Renzi, G.; et al. Identification of respiratory microbiota markers in ventilator-associated pneumonia. Intensive Care Med. 2019, 45, 1082–1092. [Google Scholar] [CrossRef]
- Kitsios, G.D.; Nguyen, V.D.; Sayed, K.; Al-Yousif, N.; Schaefer, C.; Shah, F.A.; Bain, W.; Yang, H.; Fitch, A.; Li, K.; et al. The upper and lower respiratory tract microbiome in severe aspiration pneumonia. iScience 2023, 26, 106832. [Google Scholar] [CrossRef]
- Yang, J.; Li, J.; Zhang, L.; Shen, Z.; Xiao, Y.; Zhang, G.; Chen, M.; Chen, F.; Liu, L.; Wang, Y.; et al. Highly diverse sputum microbiota correlates with the disease severity in patients with community-acquired pneumonia: A longitudinal cohort study. Respir. Res. 2024, 25, 223. [Google Scholar] [CrossRef] [PubMed]
- Qi, X.; Qu, H.; Yang, D.; Zhou, L.; He, Y.W.; Yu, Y.; Qu, J.; Liu, J. Lower respiratory tract microbial composition was diversified in Pseudomonas aeruginosa ventilator-associated pneumonia patients. Respir. Res. 2018, 19, 139. [Google Scholar] [CrossRef]
- Yoon, J.G.; Lim, S.; Hyun, H.J.; Seong, H.; Noh, J.Y.; Song, J.Y.; Kim, W.J.; Cheong, H.J. Respiratory microbiome and clinical course of carbapenem-resistant Acinetobacter baumannii pneumonia in critically Ill patients. Medicine 2024, 103, e38988. [Google Scholar] [CrossRef] [PubMed]
- Xiao, T.; Guo, Q.; Zhou, Y.; Shen, P.; Wang, Y.; Fang, Q.; Li, M.; Zhang, S.; Guo, L.; Yu, X.; et al. Comparative Respiratory Tract Microbiome Between Carbapenem-Resistant Acinetobacter baumannii Colonization and Ventilator Associated Pneumonia. Front. Microbiol. 2022, 13, 782210. [Google Scholar] [CrossRef]
- Montassier, E.; Kitsios, G.D.; Radder, J.E.; Le Bastard, Q.; Kelly, B.J.; Panzer, A.; Lynch, S.V.; Calfee, C.S.; Dickson, R.P.; Roquilly, A. Robust airway microbiome signatures in acute respiratory failure and hospital-acquired pneumonia. Nat. Med. 2023, 29, 2793–2804. [Google Scholar] [CrossRef]
- Adukauskiene, D.; Ciginskiene, A.; Adukauskaite, A.; Koulenti, D.; Rello, J. Clinical Features and Outcomes of Monobacterial and Polybacterial Episodes of Ventilator-Associated Pneumonia Due to Multidrug-Resistant Acinetobacter baumannii. Antibiotics 2022, 11, 892. [Google Scholar] [CrossRef] [PubMed]
- Tan, C.A.Z.; Lam, L.N.; Biukovic, G.; Soh, E.Y.; Toh, X.W.; Lemos, J.A.; Kline, K.A. Enterococcus faecalis Antagonizes Pseudomonas aeruginosa Growth in Mixed-Species Interactions. J. Bacteriol. 2022, 204, e0061521. [Google Scholar] [CrossRef] [PubMed]
- Almeida-Santos, A.C.; Novais, C.; Peixe, L.; Freitas, A.R. Enterococcus spp. as a Producer and Target of Bacteriocins: A Double-Edged Sword in the Antimicrobial Resistance Crisis Context. Antibiotics 2021, 10, 1215. [Google Scholar] [CrossRef]
- Abanoz, H.S.; Kunduhoglu, B. Antimicrobial Activity of a Bacteriocin Produced by Enterococcus faecalis KT11 against Some Pathogens and Antibiotic-Resistant Bacteria. Korean J. Food Sci. Anim. Resour. 2018, 38, 1064–1079. [Google Scholar] [CrossRef]



| Study Population (N = 20) | Survival Group (N = 11) | Mortality Group (N = 9) | p-Value | |
|---|---|---|---|---|
| Age, years | 69.0 (61.5–79.0) | 62.0 (56.5–75.5) | 72.0 (66.0–81.0) | 0.254 |
| Age ≥ 65 years | 13 (65.0%) | 5 (45.5%) | 8 (88.9%) | 0.120 |
| Sex, male | 13 (65.0%) | 9 (81.8%) | 4 (44.4%) | 0.203 |
| BMI, kg/m2 | 22.9 (20.4–26.1) | 21.9 (21.0–25.1) | 24.4 (19.3–26.1) | 0.820 |
| Comorbidities | ||||
| Hypertension | 5 (25.0%) | 4 (36.4%) | 1 (11.1%) | 0.436 |
| Cerebrovascular accident | 3 (15.0%) | 2 (18.2%) | 1 (11.1%) | >0.99 |
| Diabetes mellitus | 8 (40.0%) | 5 (45.5%) | 3 (33.3%) | 0.927 |
| Chronic kidney disease | 4 (20.0%) | 2 (18.2%) | 2 (22.2%) | >0.99 |
| Chronic liver disease | 1 (5.0%) | 0 | 1 (11.1%) | >0.918 |
| Asthma | 1 (5.0%) | 1 (9.1%) | 0 | >0.99 |
| Bronchiectasis | 2 (10.0%) | 1 (9.1%) | 1 (11.1%) | >0.99 |
| COPD | 5 (25.0%) | 2 (18.2%) | 3 (33.3%) | 0.795 |
| Interstitial lung disease | 3 (15.0%) | 1 (9.1%) | 2 (22.2%) | 0.850 |
| Cancer | 7 (35.0%) | 2 (18.2%) | 5 (55.6%) | 0.203 |
| Connective tissue disease | 2 (10.0%) | 0 | 2 (22.2%) | 0.369 |
| Charlson comorbidity index | 5.0 (3.0–7.0) | 3.0 (2.5–5.0) | 7.0 (6.0–9.0) | 0.024 |
| Mechanical ventilation days before the diagnosis of CRAB VAP | 14.0 (9.0–31.5) | 14.0 (9.5–21.5) | 14.0 (10.0–36.0) | 0.675 |
| Vasopressor during ICU stay | 20 (100.0%) | 11 (100.0%) | 9 (100.0%) | |
| Prone position during ICU stay | 1 (5.0%) | 1 (9.1%) | 0 | >0.99 |
| Continuous renal replacement therapy | 4 (20.0%) | 1 (9.1%) | 3 (33.3%) | 0.432 |
| ECMO | 2 (10.0%) | 2 (18.2%) | 0 | 0.549 |
| SOFA score | 6.0 (4.5–7.0) | 6.0 (3.5–7.0) | 6.0 (5.0–8.0) | 0.490 |
| Laboratory test | ||||
| White blood cell, /μL | 9800 (8200–15000) | 9.3 (8.2–12.0) | 14.2 (9.1–18.8) | 0.201 |
| Lymphocyte count, /μL | 900 (500–1200) | 1000.0 (915.0–1525.0) | 600.0 (260.0–1010.0) | 0.046 |
| Hemoglobin, g/dL | 8.6 (7.7–9.2) | 8.6 (7.7–8.9) | 8.8 (8.3–10.0) | 0.543 |
| Platelet count, 103/μL | 255.0 (165.0–369.5) | 253.0 (198.0–412.5) | 271.(92.0–295.0) | 0.305 |
| Blood urea nitrogen, mg/dL | 26.1 (11.9–39.5) | 20.9 (11.9–31.6) | 36.0 (22.9–46.1) | 0.224 |
| Creatinine, mg/dL | 0.6 (0.4–0.9) | 0.6 (0.4–0.7) | 0.7 (0.4–0.9) | 0.820 |
| Arterial lactate, mmol/L | 1.6 (0.9–1.9) | 1.5 (0.9–1.7) | 1.9 (1.1–2.9) | 0.177 |
| C-reactive protein, mg/L | 64.5 (31.6–110.0) | 59.9 (33.4–79.7) | 82.9 (32.8–123.6) | 0.370 |
| Antibiotics on sampling date | ||||
| Cephalosporin | 1 (5.0%) | 1 (9.1%) | 0 | >0.99 |
| Penicillin | 7 (35.0%) | 4 (36.4%) | 3 (33.3%) | >0.99 |
| Carbapenem | 14 (70.0%) | 7 (63.6%) | 7 (77.8%) | 0.844 |
| Quinolone | 9 (45.0%) | 5 (45.5%) | 4 (44.4%) | >0.99 |
| Aminoglycoside | 3 (15.0%) | 1 (9.1%) | 2 (22.2%) | 0.850 |
| Colistin | 6 (30.0%) | 2 (18.2%) | 4 (44.4%) | 0.433 |
| Glycopeptide | 12 (60.0%) | 9 (81.8%) | 3 (33.3%) | 0.081 |
| Outcomes | ||||
| In-ICU mortality or mortality within 28 days of ICU discharge | 9 (45.0%) | 0 | 9 (100%) | <0.001 |
| In-ICU mortality | 5 (25.0%) | 0 | 5 (55.6%) | 0.02 |
| 28-day mortality | 8 (40.0%) | 0 | 8 (88.9%) | <0.001 |
| 60-day mortality | 10 (50.0%) | 1 (9.1%) | 9 (100.0%) | <0.001 |
| In-hospital mortality | 11 (55.0%) | 2 (18.2%) | 9 (100.0%) | 0.001 |
| Univariate Analysis | Multivariable Analysis | |||||||
|---|---|---|---|---|---|---|---|---|
| OR | 2.5% | 97.5% | p-Value | OR | 2.5% | 97.5% | p-Value | |
| Relative abundance of Enterococcus genus ≥ 1% | 0.04 | 0.00 | 0.50 | 0.008 | 0.06 | <0.001 | 0.77 | 0.029 |
| Charlson comorbidity index | 1.52 | 1.07 | 2.46 | 0.018 | 1.43 | 0.97 | 2.41 | 0.070 |
| Age ≥ 65 years | 6.70 | 1.00 | 78.5 | 0.05 | ||||
| Lymphocyte count < 1000/μL | 2.19 | 0.40 | 13.47 | 0.367 | ||||
| Male sex | 0.22 | 0.03 | 1.29 | 0.094 | ||||
| Proteobacteria to Firmicutes ratio | 1.00 | 1.00 | 1.00 | 0.181 | ||||
| Proteobacteria to Bacteroidetes ratio | 1.00 | 1.00 | 1.00 | 0.200 | ||||
| Firmicutes to Bacteroidetes ratio | 1.00 | 0.99 | 1.00 | 0.248 | ||||
| SOFA score | 1.12 | 0.85 | 1.55 | 0.421 | ||||
Disclaimer/Publisher’s Note: The statements, opinions and data contained in all publications are solely those of the individual author(s) and contributor(s) and not of MDPI and/or the editor(s). MDPI and/or the editor(s) disclaim responsibility for any injury to people or property resulting from any ideas, methods, instructions or products referred to in the content. |
© 2025 by the authors. Licensee MDPI, Basel, Switzerland. This article is an open access article distributed under the terms and conditions of the Creative Commons Attribution (CC BY) license (https://creativecommons.org/licenses/by/4.0/).
Share and Cite
Lee, S.J.; Seong, J.; Lee, J.A.; Lee, Y.; Kim, J.H.; Ahn, J.Y.; Ku, N.S.; Choi, J.Y.; Yeom, J.-S.; Jeong, S.J. Respiratory Microbiome of Carbapenem-Resistant Acinetobacter baumannii Ventilator-Associated Pneumonia: A Pilot Study from the Republic of Korea. Pathogens 2025, 14, 1141. https://doi.org/10.3390/pathogens14111141
Lee SJ, Seong J, Lee JA, Lee Y, Kim JH, Ahn JY, Ku NS, Choi JY, Yeom J-S, Jeong SJ. Respiratory Microbiome of Carbapenem-Resistant Acinetobacter baumannii Ventilator-Associated Pneumonia: A Pilot Study from the Republic of Korea. Pathogens. 2025; 14(11):1141. https://doi.org/10.3390/pathogens14111141
Chicago/Turabian StyleLee, Se Ju, Jaeeun Seong, Jung Ah Lee, Yongseop Lee, Jung Ho Kim, Jin Young Ahn, Nam Su Ku, Jun Yong Choi, Joon-Sup Yeom, and Su Jin Jeong. 2025. "Respiratory Microbiome of Carbapenem-Resistant Acinetobacter baumannii Ventilator-Associated Pneumonia: A Pilot Study from the Republic of Korea" Pathogens 14, no. 11: 1141. https://doi.org/10.3390/pathogens14111141
APA StyleLee, S. J., Seong, J., Lee, J. A., Lee, Y., Kim, J. H., Ahn, J. Y., Ku, N. S., Choi, J. Y., Yeom, J.-S., & Jeong, S. J. (2025). Respiratory Microbiome of Carbapenem-Resistant Acinetobacter baumannii Ventilator-Associated Pneumonia: A Pilot Study from the Republic of Korea. Pathogens, 14(11), 1141. https://doi.org/10.3390/pathogens14111141

