Abstract
Rodents carry many ectoparasites, such as ticks, lice, fleas, and mites, which have potential public health importance. Middle Eastern countries are hotspots for many emerging and re-emerging infectious diseases, such as plague, leishmaniasis, Crimean Congo hemorrhagic fever, and Q fever, due to their ecological, socioeconomic, and political diversity. Rodent ectoparasites can act as vectors for many of these pathogens. Knowledge of rodent ectoparasites is of prime importance in controlling rodent ectoparasite-borne zoonotic diseases in this region. The current systematic review and meta-analysis performs a comprehensive synthesis of the available knowledge, providing an evidence-based overview of the ectoparasites detected on rodents in Middle Eastern countries. Following a systematic search in Pubmed, Scopus, and Web of Science, a total of 113 published articles on rodent ectoparasites were studied and analyzed. A total of 87 rodent species were documented, from which Mus musculus, Rattus norvegicus, and Rattus rattus were found to be the most common. Fleas were the most reported ectoparasites (87 articles), followed by mites (53), ticks (44), and lice (25). Xenopsylla cheopis, Polyplax spinulosa, Ornithonyssus bacoti, and Hyalomma rhipicephaloides were the most commonly described fleas, lice, mites, and ticks, respectively. Based on the reviewed articles, the median flea, louse, mite, and tick indices were highest in Israel (4.15), Egypt (1.39), Egypt (1.27), and Saudi Arabia (1.17), respectively. Quantitative meta-analysis, using a random-effects model, determined the overall pooled flea prevalence in the Middle East as 40% (95% CI: 25–55, I2 = 100%, p < 0.00001), ranging between 13% (95% CI: 0–30, I2 = 95%, p < 0.00001) in Iran and 59% (95% CI: 42–77, I2 = 75%, p < 0.00001) in Israel. The overall pooled louse prevalence was found to be 30% (95% CI: 13–47, I2 = 100%, p < 0.00001), ranging between 25% in Iran (95% CI: 1–50, I2 = 99%) and 38% in Egypt (95% CI: 7–68, I2 = 100%). In the case of mites, the pooled prevalence in this region was 33% (95% CI: 11–55, I2 = 100%, p < 0.00001), where the country-specific prevalence estimates were 30% in Iran (95% CI: 4–56, I2 = 99%) and 32% in Egypt (95% CI: 0–76, I2 = 100%). For ticks, the overall prevalence was found to be 25% (95% CI: 2–47, I2 = 100%, p < 0.00001), ranging from 16% in Iran (95% CI: 7–25, I2 = 74%) to 42% in Egypt (95% CI: 1–85, I2 = 100%). The control of rodent ectoparasites should be considered to reduce their adverse effects. Using the One Health strategy, rodent control, and precisely control of the most common rodent species, i.e., Mus musculus, Rattus norvegicus, and Rattus rattus, should be considered to control the rodent-borne ectoparasites in this region.
Keywords:
rodents; ectoparasites; fleas; lice; mites; ticks; Middle East; systematic review; meta-analysis 1. Introduction
Ectoparasites are organisms that infest the exterior surface, such as skin or its integument, of a host [1,2]. The vast majority of human and animal ectoparasites are arthropods. Ectoparasites can cause multiple health problems for the host, such as anemia, hypersensitivity, irritability, and skin lesions [2]. They also act as vectors of many pathogens of public and animal health importance, such as Crimean-Congo hemorrhagic fever virus (CCHFV), Coxiella, Rickettsia and Hymenolepis [3,4,5,6].
Rodents are the largest and most diverse group of animals among mammals in the world [7]. These animals are one of the major causes of crop and resource damage worldwide [8]. Moreover, after bats, rodents have the highest importance for carrying zoonotic pathogens [9]. Since the middle ages, rodents have contributed to the spread of many disease pandemics, such as plague, murine typhus, and leishmaniasis. Rodents carry different ectoparasites, which act as vectors of these pathogens [10]. There are many other zoonotic pathogens, such as Hymenolepis diminuta, Bartonella sp., Coxiella burnetii, and Rickettsia sp., which have been identified from rodent-borne fleas, mites, and ticks [4,11,12]. Rodents carry many ectoparasites, such as lice, fleas, ticks, and mites [10], that are associated with low socioeconomic status, war, famine, climatic events (e.g., floods), and environmental changes, facilitating the transmission of pathogens among the human and animal populations [13,14,15].
The Middle East is centered on Afro-Eurasia, and includes member countries of the Gulf Cooperation Council (Bahrain, Kuwait, Oman, Qatar, Saudi Arabia, and United Arab Emirates (UAE)), in addition to Cyprus, Iran, Iraq, Israel, Jordan, Lebanon, Palestine, Syria, Turkey, and Yemen [16,17]. Countries in the Middle East are hotspots for emerging and re-emerging infectious diseases, partly because of their ecological, cultural, socioeconomic, and political diversity, but also due to the unrest, conflict, and wars in this region [18,19]. The lack of relevant information on infectious diseases, their sources, and their diversity is a major drawback for public health studies in this area, possibly misguiding both civilians and governments in their attempts at mitigation [20].
In the past, the Middle East experienced several rodent ectoparasite-associated disease epidemics that caused the loss of millions of lives, such as plague and murine typhus [21,22,23]. Even today, many Middle Eastern countries remain at risk of particular rodent ectoparasite-associated infectious diseases, such as leishmaniasis [24]. As such, it is of the utmost importance for regional health authorities to control the spread of rodents and their ectoparasites, and fully-characterize their ecological niche and diversity. To date, several studies have been undertaken on rodent ectoparasites and related diseases in this region. However, to the best of our knowledge, this is the first systematic review that aims to summarize, analyze and interpret the available baseline data to provide an in-depth understanding of the presence and abundance of rodent ectoparasites in this region.
2. Methods
This systematic review was conducted in full accordance with the preferred reporting items for systematic reviews and meta-analysis (PRISMA) guidelines (Figure 1 and Supplementary Table S1) [25]. One author performed the search in electronic databases, two authors cross-examined the titles, abstracts, and full-texts of the retrieved citations against a set of predetermined selection criteria, and then one author compiled the relevant data. Subsequently, three authors organized the data and conducted the meta-analysis. The review protocol was registered in Open Science Framework (OSF) Registries under the following DOI: 10.17605/OSF.IO/RPYK8.
Figure 1.
Systematic review preferred reporting items for systematic reviews and meta-analysis (PRISMA) flow diagram describing the selection of published articles on rodent ectoparasites in the Middle East and the inclusion/exclusion process used in the study.
2.1. Search Strategy
Systematic searches on PubMed, Scopus, and Web of Science were performed by 16 October 2020. The search covered every original research article published in English containing field information on rodent ectoparasites in the Middle Eastern countries without any restrictions on publication dates. Following a previous systematic review [26], the keywords included (Rodent OR Rat OR Jird OR Gerbil OR Vole OR Mouse OR Hamster OR Porcupine OR Squirrel OR Jerboa) AND (Ectoparasite OR Flea OR Mite OR Lice OR Tick) AND (17 Middle Eastern countries name linked with OR). We used advanced search strategies, i.e., [Title/Abstract] in PubMed, [TITLE-ABS-KEY] in Scopus, and [Topic] in Web of Science, to screen the searches.
2.2. Search of Relevant Articles
At first, EndNote X9 (Clarivate Analytics, Philadelphia, PA, USA) was used to identify and exclude duplicate studies. Imported citations were then transferred to Rayyan (https://rayyan.qcri.org/) for title and abstract screening. If any article’s title and abstract were ambiguous in terms of relevance to our study, it was subjected to full-text analysis.
2.3. Quality Assessment of the Selected Articles
The quality assessment of all included articles was conducted using a modified version of the critical appraisal tool for prevalence studies created by the Joanna Briggs Institute and reported by Munn et al. [27]. A checklist with 10 questions was used (Supplementary Table S2) to assess the risk of confounding bias, selection bias, and bias related to measurement and data analysis. Each question was answered either with “yes”, “no”, “unclear” or “not/applicable”. A score was calculated as the number of questions answered with a “yes” for each study. According to this score, studies were categorized into three groups based on their quality: low (a score of 0–4), intermediate (5–6), and high quality (7–10). Representative samples were those with basic characteristics that mimic our targeted population (rodents and ectoparasites) selected through the fieldwork. For practical reasons, the adequate sample size for each study was estimated in a case-by-case manner, taking into account the geographical area it represents, study type, and the rodent species in question. The sampling location and other details of the setting of fieldwork had to be described appropriately. Studies had to explain how they identified different rodents and ectoparasite species in detail, or use valid references of identification methods. Additionally, articles had to explicitly report the calculations of ectoparasite indices and prevalence, or provide enough baseline data for the reviewers to calculate these measures on their behalf. The appropriateness of statistical analysis was evaluated in relation to the objectives of each study. Important subgrouping was expected according to the type and species of rodents and ectoparasites.
2.4. Data Extraction
We considered only the field reports on rodent ectoparasites for data extraction. The extracted variables were the country and year of sampling, rodent-specific data (species, gender, total rodent count, and the number of ectoparasite-infected rodents), ectoparasite-specific data (type, species, and total number), and the associating factors for ectoparasite abundance on rodents (Supplementary Table S3). The taxonomy of all reported rodents and ectoparasites were verified through online databases, namely the National Center for Biotechnology Information (NCBI) Taxonomy Browser, the Global Biodiversity Information Facility (GBIF), Animal Diversity Web (ADW), and the Zoological Institute of Russian Academy of Sciences.
2.5. Data Analysis
The extracted data were organized and stored in Microsoft Excel (MS Office, 2019) spreadsheets. The initial descriptive analysis of the included studies was conducted using the same application. Ectoparasite indices were calculated for each of the four types of ectoparasites (fleas, lice, mites, and ticks) by dividing the total numbers detected for the specific ectoparasite by the total number of sampled rodents [28]. Central tendency and dispersion were calculated for country-specific ectoparasite indices and illustrated in Boxplots using the BoxplotR web tool [29]. An ectoparasite’s prevalence was calculated by dividing the total number of ectoparasite-positive rodents over the total number of sampled rodents, and was expressed in decimals. Quantitative meta-analysis was conducted by one co-author (K.E.) using Review Manager 5.3 (The Nordic Cochrane Centre, Cochrane Collaboration, Copenhagen, Denmark), and the results were verified by another co-author (MMH) using STATA/IC-13.0 (Stata Corp, 4905 Lakeway Drive, College Station, Texas 77845, USA). In both instances, a random-effects model was applied to calculate the pooled prevalence of all types of ectoparasites with 95% confidence intervals (CI). Studies were weighted according to the inverse of variance. The prevalence reported by each study was used as the effect estimate, and its standard error (SE) was calculated using the formula SE = SQRT(p(1 − p)/n), where p is the reported prevalence, and n is its sample size. The Inconsistency Index (I2) was used to assess the degree of heterogeneity among studies, as it is known to be less influenced by the number of included studies. According to the country and rodent species, subgroup meta-analyses were performed to investigate possible explanations of significant heterogeneity (I2 > 75%). However, each subgroup had to be represented by at least three studies to be included for analysis. The results of all meta-analyses were illustrated in forest plots. Finally, funnel plots were generated and visually-examined to assess the possibility of publication bias.
3. Results
3.1. Descriptive Analysis
The literature search resulted in 113 articles (Figure 1) published from 1914 to 2020 [3,4,5,11,12,14,24,30,31,32,33,34,35,36,37,38,39,40,41,42,43,44,45,46,47,48,49,50,51,52,53,54,55,56,57,58,59,60,61,62,63,64,65,66,67,68,69,70,71,72,73,74,75,76,77,78,79,80,81,82,83,84,85,86,87,88,89,90,91,92,93,94,95,96,97,98,99,100,101,102,103,104,105,106,107,108,109,110,111,112,113,114,115,116,117,118,119,120,121,122,123,124,125,126,127,128,129,130,131,132,133,134,135]. The articles were covering 11 out of 17 Middle Eastern countries (Figure 2). However, no information was available from the countries Bahrain, Iraq, Jordan, Oman, Syria, or the UAE. Among the 113 published articles, 82 articles focused on rodent fleas, 38 on rodent lice, 53 on rodent mites, and 44 on rodent ticks. A total of 61 (54%) articles were of high quality, followed by 29 (26%) with intermediate quality, and 23 (20%) were low-quality articles (Supplementary Table S2). The visual examination of funnel plots revealed evidence of possible publication bias in all meta-analyses, as more articles were near the top, with an asymmetrical distribution on both sides of the overall pooled prevalence estimate (Supplementary Figure S1).
Figure 2.
The map describes the Middle Eastern countries with the total number of studies and the number of ectoparasite species detected on rodents (the letters F, L, M, and T indicate information available about fleas, lice, mites, and ticks, respectively).
The 113 studies examined at least 26,003 rodents from 87 rodent species belonging to seven families (Supplementary Table S4a). Among these, Mus musculus (9% of total examined rodents), Rattus norvegicus (48%), and Rattus rattus (19%) were found to be the most common and widely-distributed rodents. Moreover, Acomys cahirinus, Acomys dimidiatus, Apodemus mystacinus, Apodemus sylvaticus, Cricetulus migratorius, Gerbillus nanus, Jaculus jaculus, Meriones crassus, Meriones libycus, and Meriones tristrami were reported from at least three countries of the Middle East, and can be considered as widely-distributed rodents in this region.
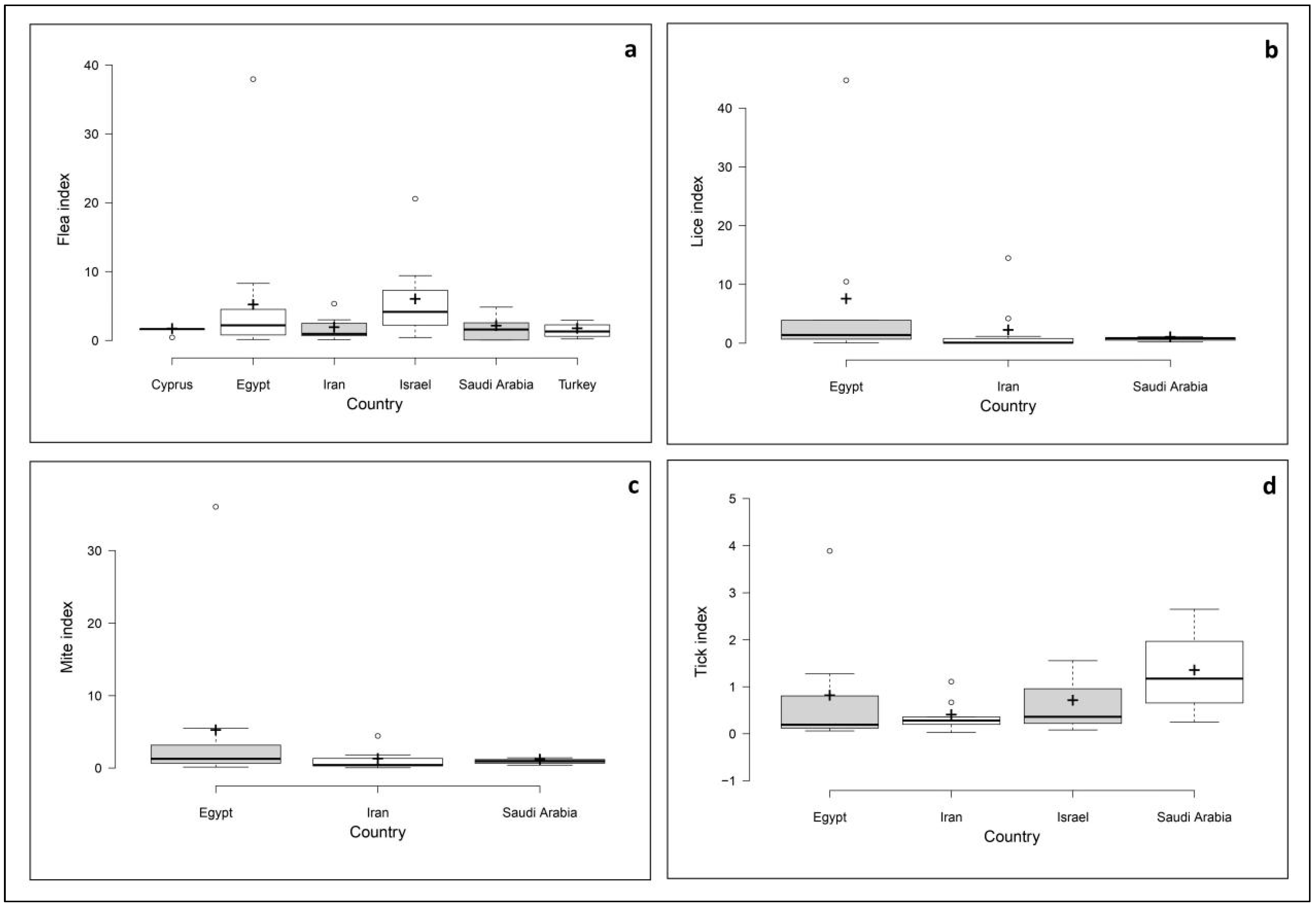
Based on the reviewed articles, the Boxplots (Figure 3) summarize the results of the reported ectoparasite indices in some of the Middle Eastern countries. The median flea index was the highest in Israel (4.15) and lowest in Iran (0.95). In the case of louse, it ranged from a median of 0.09 in Iran to 1.39 in Egypt. The median mite index was 0.42 in Iran, 0.94 in Saudi Arabia, and 1.27 in Egypt, whereas the median tick indices in Middle Eastern countries were 0.19 in Egypt, 0.28 in Iran, 0.36 in Israel, and 1.17 in Saudi Arabia.
Figure 3.
Ectoparasite indices in the Middle Eastern countries; (a) flea index, (b) louse index, (c) mite index, and (d) tick index. Centerlines indicate the medians; box limits indicate the 25 to 75 percentiles as determined by R software; whiskers extend the interquartile range 1.5-fold from the 25 to the 75 percentiles; outliers are represented by dots; crosses represent sample means.
3.2. Fleas Carried by Rodents in the Middle East
Based on the records of 82 articles with rodent fleas, a total of 67,057 fleas were examined, which were from 104 flea species (Supplementary Table S4b), of which most of the fleas were Xenopsylla cheopis, Echidnophaga gallinacea, and Xenopsylla cleopatrae (23.6%, 16.3%, and 14.9% of total fleas, respectively). The most frequently reported species of fleas were Xenopsylla cheopis (41 reports), Leptopsylla segnis (22), and Ctenocephalides felis (19). Fifteen species of fleas were reported from at least three countries, such as Echidnophaga murina, Leptopsylla segnis, Leptopsylla taschenbergi, Nosopsyllus fasciatus, Nosopsyllus iranus, Parapulex chephrenis, Pulex irritans, Stenoponia tripectinata, Xenopsylla astia, Xenopsylla cheopis, Xenopsylla cleopatrae, Xenopsylla conformis, Xenopsylla nubica, and Xenopsylla ramesis.
The overall pooled flea prevalence in the Middle East was found to be 40% (95% CI: 25–55, I2 = 100%, p < 0.00001), ranging between 13% (95% CI: 0–30, I2 = 95%, p < 0.00001) in Iran and 59% (95% CI: 42–77, I2 = 75%, p < 0.00001) in Israel (Figure 4 and Figure 5). Species-specific prevalence was calculated only for three rodent species: Mus musculus (27%, 95% CI: 6–48, I2 = 98%), Rattus norvegicus (48%, 95% CI: 14–81, I2 = 100%) and Rattus rattus (35%, 95% CI: 0–75, I2 = 100%) (Figure 6).
Figure 4.
Forest plot of the pooled overall flea prevalence on rodents in the Middle Eastern countries. The central red square represents point estimates, whereas the square size represents the weight of each study in the meta-analysis.
Figure 5.
Forest plot illustrating subgroup meta-analysis of country-specific flea prevalence on rodents in the Middle Eastern countries. The central red square represents point estimates, whereas the square size represents the weight of each study in the meta-analysis.
Figure 6.
Forest plot illustrating subgroup meta-analysis of flea prevalence according to rodent species in Middle Eastern countries. The central red square represents point estimates, whereas the square size represents the weight of each study in the meta-analysis.
3.3. Lice Carried by Rodents in the Middle East
The 39 articles studied a collective 31,543 lice on rodents, and detected 28 species of lice in the Middle Eastern rodents (Supplementary Table S4c). However, Polyplax spinulosa represented 88.79% of the total lice, and was reported by 25 articles from Egypt, Iran, Kuwait, Palestine and Saudi Arabia.
For rodents in this region, the overall pooled louse prevalence was 30% (95% CI: 13–47, I2 = 100%, p < 0.00001), ranging between 25% in Iran (95% CI: 1–50, I2 = 99%) and 38% in Egypt (95% CI: 7–68, I2 = 100%) (Figure 7 and Figure 8). Moreover, the louse prevalence was 23% in Mus musculus (95% CI: 7–68, I2 = 100%), and 53% in Rattus rattus (95% CI: 7–68, I2 = 100%) (Figure 9).
Figure 7.
Forest plot of the pooled overall louse prevalence on rodents in the Middle Eastern countries. The central red square represents point estimates, whereas the square size represents the weight of each study in the meta-analysis.
Figure 8.
Forest plot illustrating subgroup meta-analysis of country-specific louse prevalence on rodents in the Middle Eastern countries. The central red square represents point estimates, whereas the square size represents the weight of each study in the meta-analysis.
Figure 9.
Forest plot illustrating subgroup meta-analysis of country-specific louse prevalence on rodents in Middle Eastern countries. The central red square represents point estimates, whereas the square size represents the weight of each study in the meta-analysis.
3.4. Mites Carried by Rodents in the Middle East
The review detected 134 species (Supplementary Table S4d) of mites (n = 26,476) on rodents in Middle Eastern countries, of which 73% were from three species, i.e., Laelaps nuttalli (29%), Ornithonyssus bacoti (34%), and Radfordia ensifera (10%). However, Echinolaelaps echidninus, Eulaelaps stabularis, Haemolaelaps glasgowi, Laelaps nuttalli, and Ornithonyssus bacoti were reported from at least three countries of the Middle East, whereas Ornithonyssus bacoti and Laelaps nuttalli were the highest reported mites (24 and 20 studies respectively out of 51 total studies on mites).
The overall pooled mite prevalence in the Middle East was 33% (95% CI: 11–55, I2 = 100%, p < 0.00001) (Figure 10). Country-specific prevalence was calculated for Iran (30%, 95% CI: 4–56, I2 = 99%) and Egypt (32%, 95% CI: 0–76, I2 = 100%) (Figure 11). The prevalence also varied according to rodent species, from 29% in Mus musculus (95% CI: 9–49, I2 = 96%) to 56% in Rattus rattus (95% CI: 1–100, I2 = 100%) (Figure 12).
Figure 10.
Forest plot of the pooled overall mite prevalence on rodents in the Middle Eastern countries. The central red square represents point estimates, whereas the square size represents the weight of each study in the meta-analysis.
Figure 11.
Forest plot illustrating subgroup meta-analysis of country-specific mite prevalence on rodents in the Middle Eastern countries. The central red square represents point estimates, whereas the square size represents the weight of each study in the meta-analysis.
Figure 12.
Forest plot illustrating subgroup meta-analysis of country-specific mite prevalence on rodents in the Middle Eastern countries. The central red square represents point estimates, whereas the square size represents the weight of each study in the meta-analysis.
3.5. Ticks Carried by Rodents in the Middle East
The reviewed studies identified 2897 ticks from at least 27 species (Supplementary Table S4e), of which 69.7% and 15.7% were Hyalomma rhipicephaloides and Ixodes eldaricus, respectively. Three species of ticks were reported from more than three countries, such as Ixodes spp., Rhipicephalus sanguineus, and Rhipicephalus turanicus.
The overall tick prevalence in this region was 25% (95% CI: 2–47, I2 = 100%, p < 0.00001) (Figure 13), ranging from 16% in Iran (95% CI: 7–25, I2 = 74%) to 42% in Egypt (95% CI: 1–85, I2 = 100%) (Figure 14). The tick prevalence also varied according to rodent species, from 11% in Rattus norvegicus (95% CI: 0–25, I2 = 82%), to 24% in Mus musculus (95% CI: 0–52, I2 = 91%) (Figure 15).
Figure 13.
Forest plot of the pooled overall tick prevalence on rodents in Middle Eastern countries. The central red square represents point estimates, whereas the square size represents the weight of each study in the meta-analysis.
Figure 14.
Forest plot illustrating subgroup meta-analysis of country-specific tick prevalence on rodents in Middle Eastern countries. The central red square represents point estimates, whereas the square size represents the weight of each study in the meta-analysis.
Figure 15.
Forest plot illustrating subgroup meta-analysis of country-specific tick prevalence on rodents in the Middle Eastern countries. The central red square represents point estimates, whereas the square size represents the weight of each study in the meta-analysis.
4. Discussion
Our study reviewed the published literature on rodent ectoparasites in the Middle Eastern countries to provide a comprehensive overview of rodent ectoparasites in this region. Most of the studies were from Iran, Egypt, and Israel (82 out of 113). A previous history of rodent-borne disease epidemics, such as plague, leishmaniasis, and murine typhus, may be behind the increased interest in rodent-related pathogens by researchers in these countries [26]. Ectoparasite index and prevalence are suitable descriptors to quantify parasites in a host or estimate ectoparasite abundance [136,137]. These indices are essential to use in conjunction with rodent and vector surveillance to estimate human and epizootic risks [28]. However, the current review failed to calculate the pooled abundance of most Middle Eastern countries, possibly affecting the generalizability of our results and emphasizing the need for further detailed studies to understand the rodent ectoparasite abundance in this region, the resultant threat to the local population, and the necessary control measures.
Although there were no rodent ectoparasite reports from Bahrain, Iraq, Jordan, Oman, Syria, and UAE in our systematic review, there are rodent-related ectoparasites reported in some of these countries from non-rodent hosts. The brown dog tick, Rhipicephalus sanguineus, is abundant on stray dogs in Jordan [138]. Rhipicephalus sanguineus and Xenopsylla astia were identified on domestic cats in UAE [139]. This indicates that there is a considerable gap in the knowledge in these countries where rodent-borne zoonoses are concerned. A previous review reported a knowledge gap as regards rodent-borne helminths in some of these countries, such as Bahrain and Oman [26], suggesting that it is essential to conduct more comprehensive studies on rodent-borne diseases, including ectoparasites, in certain countries such as UAE, Jordan, Oman, Iraq, and Bahrain.
The present review listed a total of 87 species of rodents that occur in the Middle Eastern region. In Iran, 79 species of rodents have been described, of which 15 are considered common, i.e., Allactaga sp., Apodemus witherbyi, Dryomys nitedula, Gerbillus nanus, Jaculus blanfordi, Meriones crassus, Meriones libycus, Meriones persicus, Microtus socialis, Mus musculus, Nesokia indica, Rattus norvegicus, Rattus rattus, Rhombomys opimus, Tatera indica [140,141]. Seventeen species of rodents are reported in Sinai, Egypt: Acomys cahirinus, Acomys russatus, Dipodillus dasyurus, Eliomys quercinus, Gerbillus andersoni, Gerbillus gerbillus, Gerbillus pyramidium, Jaculus jaculus, Jaculus orientalis, Meriones crassus, Meriones sacramenti, Meriones tristrami, Mus musculus, Psammomys obesus, Rattus norvegicus, Rattus rattus, Sekeetamys calurus [142]. All these common rodents in Iran and Egypt have been reported in this present review.
Some of the rodent ectoparasites addressed in this review have high public and animal health importance. Similar to their impact on humans and other animals, they can also cause certain diseases in the host rodents. Nevertheless, the ectoparasites identified in this review are not always rodent-specific. The host specificity of ectoparasites generally falls within one of three broad categories: (i) ectoparasites specific to rodents, which do not, or only accidentally, infest other mammals (including humans) and birds; (ii) ectoparasites specific to other species that accidentally attack rodents; or (iii) ectoparasites with a broad host range. Rodent fur mites Radfordia musculi, Radfordia musculinus, Radfordia affinis, and Radfordia ensifera are mainly found in laboratory rodents [143,144,145]. Dermanyssus gallinae and Ornithonyssus sylviarum are poultry mites [82,135,146,147,148,149]. They attack humans and other mammals accidentally when exposed to them [150,151]. Some mites were detected on rodents from Egypt, Iran, and Turkey [54,98,121], such as Macrocheles spp. Tryophagus sp. and Zygoribatula sp., which are known as non-parasitic mites [152,153,154]. Reports of these mites parasitizing on rodents may be accidental infestations. On the other hand, some ectoparasites have a broad host range and can infect different birds or mammals, including humans and rodents. An excellent example is the soft tick Ornithodoros sp., which can parasitize humans, rodents, livestock, and poultry [155,156].
There is considerable public health importance attributed to ectoparasites with a broad host range, mainly if this includes humans, such as Ctenocephalides canis and Ctenocephalides felis, which can infest dogs, cats, rodents, and humans. These fleas carry multiple zoonotic pathogens, such as Bartonella, Rickettsia felis, Dipylidium caninum, and Yersinia pestis, which can be transmitted at the humans–animal interface [157,158,159,160]. The Oriental rat flea Xenopsylla cheopis is an essential vector of Bartonellosis, plague, and murine typhus [160,161]. The tropical rat mite Ornithonyssus bacoti can transmit numerous pathogens such as Rickettsia typhi (murine typhus), Coxiella burnetti (Q-fever), and Trypanosoma cruzi (Chagas’ disease) [162]. The northern fowl mite Ornithonyssus sylviarum can bite humans and cause allergic reactions [163]. Ornithodoros sp. has been described to carry Alkhurma hemorrhagic fever virus in Saudi Arabia [164]; Borrelia sp. in Egypt [165,166,167], Iran [168,169], Israel [170,171], Jordan [172], Palestine [171] and Turkey [155]; and CCHFV in Iran [156]. Rhipicephalus spp. were also found to carry genomes of CCHFV in Iran [156] and Saudi Arabia [173], and Coxiella, Francisella, Rickettsia, Babesia, and Theileria in Turkey [174]. Moreover, many ectoparasites, such as the house dust mite Cheyletus sp., cause allergy in humans [175]. Infestation with Dermanyssus gallinae and Dermanyssus americanus can cause dermatitis in humans [151,176].
However, meticulously-designed and well-implemented control programs against rodent ectoparasites are of the utmost importance to regional health authorities to control rodent ectoparasite-borne zoonotic diseases effectively. A useful approach would be to limit the spread of rodents themselves. Many of the reviewed articles in this study [30,34,40] stated that rodent abundance is a crucial contributing factor to rodent-borne ectoparasites abundance. The season and location of trapping are other significant determinants of ectoparasites abundance [43,44,47]. More concentration is required to control the three commensal rodents, i.e., Mus musculus, Rattus norvegicus, and Rattus rattus. These rodents have been identified as the most common and extensively-distributed rodent species in the Middle Eastern countries by a previous study [26], and the current study as well. However, rodents are essential components of an ecosystem [140,177], with undeniable benefits for their environment. Therefore, multidisciplinary teams working under the One Health umbrella are necessary to control rodents and rodent-borne ectoparasites with public health importance.
5. Conclusions
Rodent ectoparasites, including rodent fleas, lice, mites, and ticks, in Middle Eastern countries, including Cyprus, Egypt, Iran, Israel, Kuwait, Lebanon, Palestine, Qatar, KSA, Turkey, and Yemen, have been reported. In total, 104 flea species, 28 louse species, 134 mite species, and 27 tick species have been detected on 87 rodent species in these countries. Some rodent ectoparasites have substantial public health importance as they are known to carry a broad spectrum of zoonotic pathogens. Besides the One Health approach for rodent control, some other factors such as rodent abundance, season of the year, and trapping location should be considered during the rodent ectoparasite control program. Our systematic review reveals knowledge gaps on rodent ectoparasites in this region, suggesting that it is essential to conduct countrywide in-depth studies on rodent ectoparasites and their public health importance. As the threats of zoonotic diseases increase, including rodent-borne diseases, it is crucial to expand all efforts from all angles to mitigate these threats.
Supplementary Materials
The following are available online at https://www.mdpi.com/2076-0817/10/2/139/s1, Figure S1: Funnel plots of overall rodent ectoparasite prevalence and subgroup analysis, Table S1: Prisma 2009 checklist, Table S2: Quality assessment of the 113 studied articles, Table S3: Extracted data from the selected 113 studies, Table S4: Rodents, fleas, lice, mites, and ticks on prevailing rodents in the Middle East.
Author Contributions
Conceptualization, M.M.I., E.F., and Z.M.-K.; methodology, M.M.I., E.F., K.E., and M.M.H.; formal analysis, M.M.I., K.E., and M.M.H.; writing—original draft preparation, M.M.I., K.E., M.M.H., and Z.M.-K.; writing—review and editing, M.M.I., D.B., F.S., J.M.M., H.A.-R., and Z.M.-K.; visualization, D.B., E.F., and Z.M.-K.; supervision, Z.M.-K. All authors have read and agreed to the final draft of the manuscript.
Funding
This research was funded by the Ministry of Public Health, Qatar.
Acknowledgments
The authors acknowledge the Qatar National Library to access many journal articles and get many old dated articles.
Conflicts of Interest
The authors declare no conflict of interest.
References
- Pollack, R.J.; Engelman, D.; Steer, A.C.; Norton, S.A. Ectoparasites. In International Encyclopedia of Public Health, 2nd ed.; Quah, S.R., Ed.; Academic Press: Oxford, UK, 2017; pp. 417–428. [Google Scholar] [CrossRef]
- Hopla, C.E.; Durden, L.A.; Keirans, J.E. Ectoparasites and classification. Rev. Sci Tech. 1994, 13, 985–1017. [Google Scholar] [CrossRef] [PubMed]
- Morick, D.; Krasnov, B.R.; Khokhlova, I.S.; Shenbrot, G.I.; Kosoy, M.Y.; Harrus, S. Bartonella Genotypes in Fleas (Insecta: Siphonaptera) Collected from Rodents in the Negev Desert, Israel. Appl. Environ. Microbiol. 2010, 76, 6864–6869. [Google Scholar] [CrossRef] [PubMed]
- Psaroulaki, A.; Chochlakis, D.; Ioannou, I.; Angelakis, E.; Tselentis, Y. Presence of Coxiella burnetii in Fleas in Cyprus. Vector-Borne Zoonotic Dis. 2014, 14, 685–687. [Google Scholar] [CrossRef] [PubMed]
- Reeves, W.K.; Loftis, A.D.; Szumlas, D.E.; Abbassy, M.M.; Helmy, I.M.; Hanafi, H.A.; Dasch, G.A. Rickettsial pathogens in the tropical rat mite Ornithonyssus bacoti (Acari: Macronyssidae) from Egyptian rats (Rattus spp.). Exp. Appl. Acarol. 2007, 41, 101–107. [Google Scholar] [CrossRef]
- Mansfield, K.L.; Jizhou, L.; Phipps, L.P.; Johnson, N. Emerging Tick-Borne Viruses in the Twenty-First Century. Front. Cell Infect. Microbiol. 2017, 7, 298. [Google Scholar] [CrossRef]
- Wilson, D.E.; Reeder, D.M. Mammal Species of the World: A Taxonomic and Geographic Reference; Johns Hopkins University Press: Baltimore, MD, USA, 2005. [Google Scholar]
- Indiana Department of Health. Rats and Mice. Available online: https://www.in.gov/isdh/23256.htm (accessed on 19 December 2020).
- Luis, A.D.; Hayman, D.T.S.; O’Shea, T.J.; Cryan, P.M.; Gilbert, A.T.; Pulliam, J.R.C.; Mills, J.N.; Timonin, M.E.; Willis, C.K.R.; Cunningham, A.A.; et al. A comparison of bats and rodents as reservoirs of zoonotic viruses: Are bats special? Proc. Biol. Sci. 2013, 280, 20122753. [Google Scholar] [CrossRef]
- Meerburg, B.G.; Singleton, G.R.; Kijlstra, A. Rodent-borne diseases and their risks for public health. Crit. Rev. Microbiol. 2009, 35, 221–270. [Google Scholar] [CrossRef]
- Christou, C.; Psaroulaki, A.; Antoniou, M.; Toumazos, P.; Ioannou, I.; Mazeris, A.; Chochlakis, D.; Tselentis, Y. Rickettsia typhi and Rickettsia felis in Xenopsylla cheopis and Leptopsylla segnis parasitizing rats in Cyprus. Am. J. Trop Med. Hyg 2010, 83, 1301–1304. [Google Scholar] [CrossRef]
- Loftis, A.D.; Reeves, W.K.; Szumlas, D.E.; Abbassy, M.M.; Helmy, I.M.; Moriarity, J.R.; Dasch, G.A. Surveillance of Egyptian fleas for agents of public health significance: Anaplasma, Bartonella, Coxiella, Ehrlichia, Rickettsia, and Yersinia pestis. Am. J. Trop. Med. Hyg. 2006, 75, 41–48. [Google Scholar] [CrossRef]
- Semenza, J.C.; Menne, B. Climate change and infectious diseases in Europe. Lancet Infect. Dis. 2009, 9, 365–375. [Google Scholar] [CrossRef]
- Al-Awadi, A.R.; Al-Kazemi, N.; Ezzat, G.; Saah, A.J.; Shepard, C.; Zaghloul, T.; Gherdian, B. Murine typhus in Kuwait in 1978. Bull. World Health Organ. 1982, 60, 283–289. [Google Scholar] [PubMed]
- Ahmad, K. War and gerbils compound Afghan leishmaniasis epidemic. Lancet Infect. Dis. 2002, 2, 268. [Google Scholar] [CrossRef]
- Worldatlas. Middle East Countries. Available online: https://www.worldatlas.com/articles/middle-east-countries.html (accessed on 31 May 2019).
- Worldatlas. Gulf Cooperation Council (GCC) Countries. Available online: https://www.worldatlas.com/articles/gulf-cooperation-council-gcc-countries.html (accessed on 31 May 2019).
- Buliva, E.; Elhakim, M.; Tran Minh, N.N.; Elkholy, A.; Mala, P.; Abubakar, A.; Malik, S.M.M.R. Emerging and Reemerging Diseases in the World Health Organization (WHO) Eastern Mediterranean Region-Progress, Challenges, and WHO Initiatives. Front. Public Health 2017, 5, 276. [Google Scholar] [CrossRef] [PubMed]
- Stewart, F. Root causes of violent conflict in developing countries. BMJ 2002, 324, 342–345. [Google Scholar] [CrossRef] [PubMed]
- Bannazadeh Baghi, H.; Alinezhad, F.; Kuzmin, I.; Rupprecht, C.E. A Perspective on Rabies in the Middle East-Beyond Neglect. Vet. Sci 2018, 5, 67. [Google Scholar] [CrossRef]
- Hashemi Shahraki, A.; Carniel, E.; Mostafavi, E. Plague in Iran: Its history and current status. Epidemiol. Health 2016, 38, e2016033. [Google Scholar] [CrossRef]
- Trevisanato, S.I. The ‘Hittite plague’, an epidemic of tularemia and the first record of biological warfare. Med. Hypotheses 2007, 69, 1371–1374. [Google Scholar] [CrossRef]
- Rosenthal, T.; Michaeli, D. Murine typhus and spotted fever in Israel in the seventies. Infection 1977, 5, 82–84. [Google Scholar] [CrossRef]
- Sanborn, C.C.; Hoogstraal, H. Some Mammals of Yemen and Their Ectoparasites; Chicago Natural History Museum: Chicago, IL, USA, 1953. [Google Scholar]
- Moher, D.; Liberati, A.; Tetzlaff, J.; Altman, D.G. Preferred reporting items for systematic reviews and meta-analyses: The PRISMA statement. PLoS Med. 2009, 6, e1000097. [Google Scholar] [CrossRef]
- Islam, M.M.; Farag, E.; Hassan, M.M.; Bansal, D.; Awaidy, S.A.; Abubakar, A.; A-Romaihi, H.; Mkhize-Kwitshana, H. Helminth Parasites among Rodents in the Middle East Countries: A Systematic Review and Meta-Analysis. Animals 2020, 10, 2342. [Google Scholar] [CrossRef]
- Munn, Z.; Moola, S.; Riitano, D.; Lisy, K. The development of a critical appraisal tool for use in systematic reviews addressing questions of prevalence. Int. J. Health Policy Manag. 2014, 3, 123–128. [Google Scholar] [CrossRef] [PubMed]
- Davis, D.T.; World Health, O. Plague Manual: Epidemiology, Distribution, Surveillance and Control; World Health Organization: Geneva, Swetzerland, 1999. [Google Scholar]
- Spitzer, M.; Wildenhain, J.; Rappsilber, J.; Tyers, M. BoxPlotR: A web tool for generation of box plots. Nat. Methods 2014, 11, 121–122. [Google Scholar] [CrossRef]
- Abd El-Halim, A.S.; Allam, K.A.; Metwally, A.M.; El Boraey, A.M. Seasonal variation of infestation rate with lice, tick and mite among rodents in certain Egyptian regions. J. Egypt. Soc. Parasitol. 2009, 39, 617–624. [Google Scholar] [PubMed]
- Abdel-Rahman, E.H.; Abdelgadir, M.; AlRashidi, M. Ectoparasites burden of House mouse (Mus musculus linnaeus, 1758) from Hai’l of Saudi Arabia. Saudi J. Biol. Sci. 2020, 27, 2238–2244. [Google Scholar] [CrossRef] [PubMed]
- Abo-Elmaged, T.M.; Desoky, A.E.A.S.S. Parasitological survey of rodent in cultivated and reclaimed land at Assiut, Egypt. Asian J. Appl. Sci. 2014, 7, 96–101. [Google Scholar] [CrossRef][Green Version]
- Abu-Madi, M.A.; Lewis, J.W.; Mikhail, M.; El-Nagger, M.E.; Behnke, J.M. Monospecific helminth and arthropod infections in an urban population of brown rats from Doha, Qatar. J. Helminthol. 2001, 75, 313–320. [Google Scholar] [CrossRef]
- Abu-Madi, M.A.; Behnke, J.M.; Mikhail, M.; Lewis, J.W.; Al-Kaabi, M.L. Parasite populations in the brown rat Rattus norvegicus from Doha, Qatar between years: The effect of host age, sex and density. J. Helminthol. 2005, 79, 105–111. [Google Scholar] [CrossRef]
- Acici, M.; Demirtas, S.; Umur, S.; Gurler, A.T.; Bolukbas, C.S. Infestations of flea species on small, wild mammals in the provinces of Aydin and Manisa in the Aegean Region, Turkey. Turk. J. Vet. Anim. Sci. 2017, 41, 449–452. [Google Scholar] [CrossRef]
- Aktaş, M. Ctenophthalmus harputus, a new Spalax flea from Turkey. Med. Vet. Entomol. 1989, 3, 23–27. [Google Scholar] [CrossRef]
- Al Hindi, A.I.; Abu-Haddaf, E. Gastrointestinal parasites and ectoparasites biodiversity of Rattus rattus trapped from Khan Younis and Jabalia in Gaza strip, Palestine. J. Egypt. Soc. Parasitol. 2013, 43, 259–268. [Google Scholar] [CrossRef]
- Alahmed, A.M.; Al-Dawood, A.S. Rodents and their ectoparasites in Wadi Hanifah, Riyadh City, Saudi Arabia. J. Egypt. Soc. Parasitol. 2001, 31, 737–743. [Google Scholar] [PubMed]
- Allam, K.A.; Shalaby, A.A.; Ashour, M.A. Seasonal distribution of fleas infesting rodents in various Egyptian eco-geographical areas and their susceptibility to malathion. J. Egypt. Soc. Parasitol. 2002, 32, 405–414. [Google Scholar] [PubMed]
- Allymehr, M.; Tavassoli, M.; Manoochehri, M.H.; Ardavan, D. Ectoparasites and gastrointestinal helminths of house mice (Mus musculus) from poultry houses in northwest Iran. Comp. Parasitol. 2012, 79, 283–287. [Google Scholar] [CrossRef]
- Al-Mohammed, H.I. Taxonomical studies of ticks infesting wild rodents from Asir Province in Saudi Arabia. J. Egypt. Soc. Parasitol. 2008, 38, 1–8. [Google Scholar]
- Alsarraf, M.; Mierzejewska, E.J.; Mohallal, E.M.E.; Behnke, J.M.; Bajer, A. Genetic and phylogenetic analysis of the ticks from the Sinai Massif, Egypt, and their possible role in the transmission of Babesia behnkei. Exp. Appl. Acarol. 2017, 72, 415–427. [Google Scholar] [CrossRef]
- Antoniou, M.; Psaroulaki, A.; Toumazos, P.; Mazeris, A.; Ioannou, I.; Papaprodromou, M.; Georgiou, K.; Hristofi, N.; Patsias, A.; Loucaides, F.; et al. Rats as indicators of the presence and dispersal of pathogens in cyprus: Ectoparasites, parasitic helminths, enteric bacteria, and encephalomyocarditis virus. Vector Borne Zoonotic Dis. 2010, 10, 867–873. [Google Scholar] [CrossRef]
- Arafa, M.S.; Mahdi, A.H.; Khalil, M.S. Seasonal observations on the Cairo spiny mouse, Acomys cahirinus (E. Geoffroy, St. Hilaire, 1803) and its fleas in Egypt. J. Egypt. Public Health Assoc. 1973, 48, 60–71. [Google Scholar]
- Asiry, K.A.; Fetoh, B.E.A. Occurrence of ectoparasitic arthropods associated with rodents in Hail region northern Saudi Arabia. Environ. Sci. Pollut. Res. 2014, 21, 10120–10128. [Google Scholar] [CrossRef]
- Bacot, A.; Petrie, G.F.; Todd, R.E. The fleas found on rats and other rodents, living in association with man, and trapped in the towns, villages and nile boats of upper Egypt. J. Hyg. 1914, 14, 498–508. [Google Scholar] [CrossRef][Green Version]
- Bahgat, I.M. Monthly abundance of rodent and their ectoparasites in newly settled areas, east of lakes, Ismailia Governorate, Egypt. J. Egypt. Soc. Parasitol. 2013, 43, 387–398. [Google Scholar] [CrossRef]
- Bajer, A.; Harris, P.D.; Behnke, J.M.; Bednarska, M.; Barnard, C.J.; Sherif, N.; Clifford, S.; Gilbert, F.S.; Siński, E.; Zalat, S. Local variation of haemoparasites and arthropod vectors, and intestinal protozoans in spiny mice (Acomys dimidiatus) from four montane wadis in the St Katherine Protectorate, Sinai, Egypt. J. Zool. 2006, 270, 9–24. [Google Scholar] [CrossRef]
- Bakr, M.E.; Morsy, T.A.; Nassef, N.E.; El Meligi, M.A. Mites infesting commensal rodents in Shebin El Kom, Menoufia G., Egypt. J. Egypt. Soc. Parasitol. 1995, 25, 853–859. [Google Scholar] [PubMed]
- Bakr, M.E.; Morsy, T.A.; Nassef, N.E.; El Meligi, M.A. Flea ectoparasites of commensal rodents in Shebin El Kom, Menoufia Governorate, Egypt. J. Egypt. Soc. Parasitol. 1996, 26, 39–52. [Google Scholar] [PubMed]
- Bochkov, A.; Malikov, V.; Arbobi, M. Trichoecius calomysci sp. n. (Acari: Myocoptidae), a new mite species from Iran. Folia Parasitol. 1999, 46, 316–318. [Google Scholar]
- Bochkov, A.; Arbobi, M.; Malikov, V. Notes on mites of the family Myobiidae (Acari: Prostigmata) parasitising rodents (Mammalia: Rodentia) in Iran. Folia Parasitol. 2000, 47, 73–77. [Google Scholar] [CrossRef]
- Chegeni, A.H.; Mostafavi, E.; Mohammadi, A.; Mahmoudi, A.; Kayedi, M.H. The parasitism of Persian jird by immature stages of Hyalomma asiaticum (Acari: Ixodidae) and its identification using molecular approaches in Iran. Persian J. Acarol. 2018, 7, 381–392. [Google Scholar]
- Cicek, H.; Stanyukovich, M.; Yağci, S.; Aktaş, M.; Karaer, Z. Gamasine mite (Parasitiformes: Mesostigmata) infestations of small mammals (Mammalia: Rodentia, Insectivora) in Turkey. Turk. Parazitol. Derg. 2008, 32, 65–70. [Google Scholar]
- Dahesh, S.M.; Mikhail, M.W. Surveillance of Trypanosoma spp. of Rodents and Studies in Their Transmission Probability by Fleas in Some Rural Egyptian Areas. J. Egypt. Soc. Parasitol. 2016, 46, 157–166. [Google Scholar] [CrossRef]
- Darvishi, M.M.; Youssefi, M.R.; Changizi, E.; Lima, R.R.; Rahimi, M.T. A new flea from Iran. Asian Pac. J. Trop. Dis. 2014, 4, 85–87. [Google Scholar] [CrossRef]
- El Bahrawy, A.A.; al Dakhil, M.A. Studies on the ectoparasites (fleas and lice) on rodents in Riyadh and its surroundings, Saudi Arabia. J. Egypt. Soc. Parasitol. 1993, 23, 723–735. [Google Scholar]
- El Kady, G.A.; Shoukry, A.; Ragheb, D.A.; el Said, A.M.; Habib, K.S.; Morsy, T.A. Mites (acari) infesting commensal rats in Suez Canal zone, Egypt. J. Egypt. Soc. Parasitol. 1995, 25, 417–425. [Google Scholar] [PubMed]
- El Kady, G.A.; El Shazly, A.M.; Mikhail, M.W.; Bahgat, I.M. Ectoparasites of commensal rodents in Talkha Center, Dakahlia Governorate, Egypt. J. Egypt. Soc. Parasitol. 2007, 37, 825–833. [Google Scholar] [PubMed]
- El-Bahrawy, A.A.; al-Dakhil, M.A. Studies on the interrelation between rodents and their ectoparasitic acarines in Riyadh region, Saudi Arabia. J. Egypt. Soc. Parasitol. 1993, 23, 675–685. [Google Scholar] [PubMed]
- El-Kady, G.A.; Makled, K.M.; Morsy, T.A.; Morsy, Z.S. Rodents, their seasonal activity, ecto- and blood-parasites in Saint Catherine area, South Sinai Governorate, Egypt. J. Egypt. Soc. Parasitol. 1998, 28, 815–826. [Google Scholar] [PubMed]
- El-Kammah, K.M.; Oyoun, L.M.; El Kady, G.A. Laelaps sinai sp. nov. (Laelapinae, Laelapidae), a parasite of Gerbillus pyramium in El Arish, North Sinai, Egypt. J. Egypt. Soc. Parasitol. 1994, 24, 167–171. [Google Scholar] [PubMed]
- Eslami, A.; Yousefi, A.; Dowling, A.P.G. Prevalence of ectoparasites in black rat (Rattus rattus) from Mangrove forests of Qeshm Island, Iran. Comp. Clin. Pathol. 2018, 27, 1583–1586. [Google Scholar] [CrossRef]
- Farhang-Azad, A.; Neronov, V. The flea fauna of the great gerbil (Rhombomys opimus Licht.) in Iran. Folia Parasitol. 1973, 20, 343–351. [Google Scholar]
- Gaaboub, I.A.; Widaatalla, A.E.E.; Kelada, N.L. Survey of Rats and Mice and Their Ectoparasites in Relation to Cultivated Areas in the Vicinity of Alexandria Governorate, Egypt. J. Agric. Sci. 1981, 97, 551–555. [Google Scholar] [CrossRef]
- Gaaboub, I.A.; Donia, A.H.; Kelada, N.L.; Abdelkarim, M.E.H. Ectoparasites of Some Rodents from the Edge of the Western Desert Near Alexandria, Egypt. Insect Sci. Its Appl. 1982, 3, 145–150. [Google Scholar] [CrossRef]
- Garrett, D.A.; Allred, D.M. Mesostigmatid mites from Turkey, with keys to genera and species. J. Med. Entomol. 1971, 8, 292–298. [Google Scholar] [CrossRef]
- Gholipoury, M.; Rezai, H.R.; Namroodi, S.; Arab Khazaeli, F. Zoonotic and non-zoonotic parasites of wild rodents in Turkman Sahra, northeastern Iran. Iran. J. Parasitol. 2016, 11, 350–357. [Google Scholar] [PubMed]
- Hamidi, K.; Nassirkhani, M. Annotated checklist of fleas (Insecta: Siphonaptera) and lice (Insecta: Anoplura) associated with rodents in Iran, with new reports of fleas and lice. J. Vector Borne Dis 2019, 56, 134–145. [Google Scholar] [CrossRef] [PubMed]
- Hanafi-Bojd, A.A.; Shahi, M.; Baghaii, M.; Shayeghi, M.; Razmand, N.; Pakari, A. A study on rodent ectoparasites in Bandar Abbas: The main economic southern seaport of Iran. Iran. J. Environ. Health Sci. Eng. 2007, 4, 173–176. [Google Scholar]
- Harrison, A.; Robb, G.N.; Alagaili, A.N.; Hastriter, M.W.; Apanaskevich, D.A.; Ueckermann, E.A.; Bennett, N.C. Ectoparasite fauna of rodents collected from two wildlife research centres in Saudi Arabia with discussion on the implications for disease transmission. Acta Trop. 2015, 147, 1–5. [Google Scholar] [CrossRef] [PubMed]
- Hawlena, H.; Abramsky, Z.; Krasnov, B.R. Ectoparasites and age-dependent survival in a desert rodent. Oecologia 2006, 148, 30–39. [Google Scholar] [CrossRef]
- Hoogstraal, H.; Traub, R. The fleas (Siphonaptera) of Egypt. Host-parasite relationships of rodents of the families Spalacidae, Muridae, Gliridae, Dipodidae, and Hystricidae. J. Egypt. Public Health Assoc. 1965, 40, 343–379. [Google Scholar]
- Hoogstraal, H.; Kaiser, M.N.; Ormsbee, R.A.; Osborn, D.J.; Hemly, I.; Gaber, S. Hyalomma (Hyalommina) Rhipicephaloides Neumann (Ixodoidea: Ixodidae): Its identity, hosts, and ecology, and Rickettsia conori, R. prowazeki, and Coxiella burneti infections in rodent hosts in Egypt. J. Med. Entomol. 1967, 4, 391–400. [Google Scholar] [CrossRef]
- Imam, Z.I.; Salah, A.M. Preliminary notes on typhus amon rodents in U.A.R. J. Egypt. Public Health Assoc. 1966, 41, 133–143. [Google Scholar]
- Karaer, Z.; Kurtdede, A.; Ural, K.; Sari, B.; Cingi, C.C.; Karakurum, M.C.; Haydardedeoglu, A.E. Demodicosis in a Golden (Syrian) hamster (Mesocricetus auratus). Ank. Univ. Vet. Fak. Derg. 2009, 56, 227–229. [Google Scholar]
- Keskin, A.; Beaucournu, J.C. Descriptions of Two New Species and a New Subspecies of the Genus Ctenophthalmus (Insecta: Siphonaptera: Ctenophthalmidae) from Turkey. J. Med. Entomol. 2019, 56, 1275–1282. [Google Scholar] [CrossRef]
- Keskin, A.; Selçuk, A.Y.; Kefelioğlu, H. Ticks (Acari: Ixodidae) infesting some small mammals from Northern Turkey with new tick–host associations and locality records. Exp. Appl. Acarol. 2017, 73, 521–526. [Google Scholar] [CrossRef] [PubMed]
- Keskin, A.; Selçuk, A.; Kefelioğlu, H. Ticks (Acari: Ixodidae) infesting some wild animals and humans in Turkey: Notes on a small collection. Acarol. Stud. 2019, 1, 11–15. [Google Scholar]
- Keskin, A.; Selçuk, A.Y.; Kefelioğlu, H.; Beaucournu, J.C. Fleas (Insecta: Siphonaptera) collected from some small mammals (Mammalia: Rodentia, Eulipotyphla) in Turkey, with new records and new host associations. Acta Trop. 2020, 208, 105522. [Google Scholar] [CrossRef] [PubMed]
- Khajeh, A.; Razmi, G.; Darvish, J. A study of ectoparasites in wild rodents of the Jaz Murian area in the southeast of Iran. Asian Pac. J. Trop. Dis. 2017, 7, 418–421. [Google Scholar] [CrossRef]
- Kia, E.; Moghddas-Sani, H.; Hassanpoor, H.; Vatandoost, H.; Zahabiun, F.; Akhavan, A.; Hanafi-Bojd, A.; Telmadarraiy, Z. Ectoparasites of rodents captured in bandar abbas, southern iran. Iran. J. Arthropod Borne Dis. 2009, 3, 44–49. [Google Scholar] [PubMed]
- Kim, K.C.; Emerson, K.C. Sucking lice (Anoplura) from Iranian mammals. J. Med. Entomol. 1971, 8, 7–16. [Google Scholar] [CrossRef]
- Krasnov, B.R.; Shenbrot, G.I.; Khokhlova, I.S.; Degen, A.A.; Rogovin, K.A. On the biology of Sundevall’s jird (Meriones crassus Sundevall, 1842) (Rodentia: Gerbillidae) in the Negev Highlands, Israel. Mammalia 1996, 60, 375. [Google Scholar] [CrossRef]
- Krasnov, B.R.; Shenbrot, G.I.; Medvedev, S.G.; Vatschenok, V.S.; Khokhlova, I.S. Host-habitat relations as an important determinant of spatial distribution of flea assemblages (Siphonaptera) on rodents in the Negev Desert. Parasitology 1997, 114, 159–173. [Google Scholar] [CrossRef]
- Krasnov, B.; Shenbrot, G.; Khokhlova, I.; Medvedev, S.; Vatschenok, V. Habitat dependence of a parasite-host relationship: Flea (Siphonaptera) assemblages in two gerbil species of the Negev Desert. J. Med. Entomol. 1998, 35, 303–313. [Google Scholar] [CrossRef]
- Krasnov, B.R.; Hastriter, M.W.; Medvedev, S.G.; Shenbrot, G.I.; Khokhlova, I.S.; Vatschenok, V.S. Additional records of fleas (siphonaptera) on wild rodents in the southern part of Israel. Isr. J. Zool. 1999, 45, 333–340. [Google Scholar]
- Krasnov, B.R.; Burdelova, N.V.; Shenbrot, G.I.; Khokhlova, I.S. Annual cycles of four flea species in the central Negev desert. Med. Vet. Entomol. 2002, 16, 266–276. [Google Scholar] [CrossRef] [PubMed]
- Krasnov, B.R.; Khokhlova, I.S.; Shenbrot, G.I. Density-dependent host selection in ectoparasites: An application of isodar theory to fleas parasitizing rodents. Oecologia 2003, 134, 365–372. [Google Scholar] [CrossRef] [PubMed]
- Krasnov, B.R.; Morand, S.; Khokhlova, I.S.; Shenbrot, G.I.; Hawlena, H. Abundance and distribution of fleas on desert rodents: Linking Taylor’s power law to ecological specialization and epidemiology. Parasitology 2005, 131, 825–837. [Google Scholar] [CrossRef] [PubMed]
- Krasnov, B.R.; Shenbrot, G.I.; Khokhlova, I.S.; Hawlena, H.; Degen, A.A. Sex ratio in flea infrapopulations: Number of fleas, host gender and host age do not have an effect. Parasitology 2008, 135, 1133–1141. [Google Scholar] [CrossRef] [PubMed]
- Lehmann, T. Ectoparasite impacts on Gerbillus andersoni allenbyi under natural conditions. Parasitology 1992, 104 (Pt. 3), 479–488. [Google Scholar] [CrossRef]
- Lehmann, T. Reproductive activity of Synosternus cleopatrae (Siphonaptera: Pulicidae) in relation to host factors. J. Med. Entomol. 1992, 29, 946–952. [Google Scholar] [CrossRef]
- Lewis, R.E. A preliminary list of the fleas of Lebanon. Proc. R. Entomol. Soc. Lond. Ser. Agen. Entomol. 1962, 37, 49–60. [Google Scholar] [CrossRef]
- Lewis, R.E. The fleas (Siphonaptera) of Egypt. New records. J. Parasitol. 1966, 52, 1167–1171. [Google Scholar] [CrossRef]
- Mahdi, A.H.; Arafa, M.S. Seasonal observations on the house mouse, Mus musculus (Cretzeschmar, 1826), and its fleas in Alexandria, U.A.R. J. Egypt. Public Health Assoc. 1971, 46, 106–113. [Google Scholar]
- Mikhail, M.W.; Soliman, M.I.; El-Halim, A.S.A. Infestation rate of tick, mite and lice among rodent species in Menoufia governorate, Egypt. J. Egypt. Soc. Parasitol. 2010, 40, 425–438. [Google Scholar]
- Mohammadi, A.; Sedaghat, M.M.; Abai, M.R.; Darvish, J.; Mobedi, I.; Mahmoudi, A.; Mostafavi, E. Wild Rodents and Their Ectoparasites in an Enzootic Plague Focus, Western Iran. Vector Borne Zoonotic Dis. 2020, 20, 334–347. [Google Scholar] [CrossRef] [PubMed]
- Moravvej, G.; Hamidi, K.; Nourani, L.; Bannazade, H. Occurrence of ectoparasitic arthropods (Siphonaptera, Acarina, and Anoplura) on rodents of Khorasan Razavi Province, northeast of Iran. Asian Pac. J. Trop. Dis. 2015, 5, 716–720. [Google Scholar] [CrossRef]
- Morick, D.; Baneth, G.; Avidor, B.; Kosoy, M.Y.; Mumcuoglu, K.Y.; Mintz, D.; Eyal, O.; Goethe, R.; Mietze, A.; Shpigel, N.; et al. Detection of Bartonella spp. in wild rodents in Israel using HRM real-time PCR. Vet. Microbiol. 2009, 139, 293–297. [Google Scholar] [CrossRef] [PubMed]
- Morsy, T.A.; Michael, S.A.; Bassili, W.R.; Saleh, M.S. Studies on rodents and their zoonotic parasites, particularly leishmania, in Ismailiya Governorate, Egypt. J. Egypt. Soc. Parasitol. 1982, 12, 565–585. [Google Scholar] [PubMed]
- Morsy, T.A.; Fayad, M.E.; Abou Shady, M.K.; Yousef, N.S. Ectoparasites of rodents in Suez governorate with special reference to fleas. J. Egypt. Soc. Parasitol. 1986, 16, 457–468. [Google Scholar]
- Morsy, T.A.; el-Ela, R.G.; el Gozamy, B.M. The commensal rodents and their flea fauna in Alexandria City, Egypt. J. Egypt. Soc. Parasitol. 1988, 18, 11–28. [Google Scholar]
- Morsy, T.A.; El Bahrawy, A.F.; El Dakhil, M.A. Ecto- and blood parasites affecting Meriones rex trapped in Najran, Saudi Arabia. J. Egypt. Soc. Parasitol. 2001, 31, 399–405. [Google Scholar]
- Mostafavi, E.; Shahraki, A.H.; Japoni-Nejad, A.; Esmaeili, S.; Darvish, J.; Sedaghat, M.M.; Mohammadi, A.; Mohammadi, Z.; Mahmoudi, A.; Pourhossein, B.; et al. A Field Study of Plague and Tularemia in Rodents, Western Iran. Vector Borne Zoonotic Dis. 2017, 17, 247–253. [Google Scholar] [CrossRef]
- Mumcuoglu, K.Y.; Frish, K.; Sarov, B.; Manor, E.; Gross, E.; Gat, Z.; Galun, R. Ecological studies on the brown dog tick Rhipicephalus sanguineus (Acari: Ixodidae) in southern Israel and its relationship to spotted fever group rickettsiae. J. Med. Entomol. 1993, 30, 114–121. [Google Scholar] [CrossRef]
- Mumcuoglu, K.Y.; Ioffe-Uspensky, I.; Alkrinawi, S.; Sarov, B.; Manor, E.; Galun, R. Prevalence of vectors of the spotted fever group Rickettsiae and murine typhus in a Bedouin town in Israel. J. Med. Entomol. 2001, 38, 458–461. [Google Scholar] [CrossRef]
- Nasereddin, A.; Risheq, A.; Harrus, S.; Azmi, K.; Ereqat, S.; Baneth, G.; Salant, H.; Mumcuoglu, K.Y.; Abdeen, Z. Bartonella species in fleas from Palestinian territories: Prevalence and genetic diversity. J. Vector Ecol. 2014, 39, 261–270. [Google Scholar] [CrossRef] [PubMed]
- Nateghpour, M.; Akhavan, A.A.; Hanafi-Bojd, A.A.; Telmadarraiy, Z.; Ayazian Mavi, S.; Hosseini-Vasoukolaei, N.; Motevalli-Haghi, A.; Akbarzadeh, K. Wild rodents and their ectoparasites in Baluchistan area, southeast of Iran. Trop. Biomed. 2013, 30, 72–77. [Google Scholar] [PubMed]
- Oyoun, L.M.; el Kammah, K.M.; el Kady, G.A. The fur mite Listrophorus arishi: Sp. nov. (Listrophorinae, Listrophoridae) of jerboes in North Sinai, Egypt. J. Egypt. Soc. Parasitol. 1994, 24, 173–176. [Google Scholar] [PubMed]
- Pourhossein, B.; Esmaeili, S.; Gyuranecz, M.; Mostafavi, E. Tularemia and plague survey in rodents in an earthquake zone in southeastern Iran. Epidemiol. Health 2015, 37, e2015050. [Google Scholar] [CrossRef] [PubMed]
- Psaroulaki, A.; Antoniou, M.; Papaeustathiou, A.; Toumazos, P.; Loukaides, F.; Tselentis, Y. First detection of Rickettsia felis in Ctenocephalides felis fleas parasitizing rats in Cyprus. Am. J. Trop. Med. Hyg. 2006, 74, 120–122. [Google Scholar] [CrossRef] [PubMed]
- Psaroulaki, A.; Antoniou, M.; Toumazos, P.; Mazeris, A.; Ioannou, I.; Chochlakis, D.; Christophi, N.; Loukaides, P.; Patsias, A.; Moschandrea, I.; et al. Rats as indicators of the presence and dispersal of six zoonotic microbial agents in Cyprus, an island ecosystem: A seroepidemiological study. Trans. R. Soc. Trop. Med. Hyg. 2010, 104, 733–739. [Google Scholar] [CrossRef]
- Rahdar, M.; Vazirianzadeh, B.; Rointan, E.S.; Amraei, K. Identification of collected ectoparasites of rodents in the west of Khuzestan Province (Ahvaz and Hovizeh), southwest of Iran. Asian Pac. J. Trop. Dis. 2015, 5, 627–631. [Google Scholar] [CrossRef]
- Reeves, W.K.; Szumlas, D.E.; Moriarity, J.R.; Loftis, A.D.; Abbassy, M.M.; Helmy, I.M.; Dasch, G.A. Louse-borne bacterial pathogens in lice (Phthiraptera) of rodents and cattle from Egypt. J. Parasitol. 2006, 92, 312–318. [Google Scholar] [CrossRef]
- Rifaat, M.A.; Morsy, T.A.; Abdel Mawla, M.M. Seasonal activity of Rattus norvegicus and flea index in Port Said Governorate, Egypt. J. Egypt. Soc. Parasitol. 1981, 11, 525–532. [Google Scholar]
- Rzotkiewicz, S.; Gutiérrez, R.; Krasnov, B.R.; Morick, D.; Khokhlova, I.S.; Nachum-Biala, Y.; Baneth, G.; Harrus, S. Novel evidence suggests that a ‘Rickettsia felis-like’ organism is an endosymbiont of the desert flea, Xenopsylla ramesis. Mol. Ecol. 2015, 24, 1364–1373. [Google Scholar] [CrossRef]
- Shamsi, M.; Stekolnikov, A.A.; Saboori, A.; Hakimitabar, M.; Golpayegani, A.Z. Contributions to the fauna of chigger mites (Acariformes: Trombiculidae) of Iran. Zootaxa 2020, 4834, 301–355. [Google Scholar] [CrossRef] [PubMed]
- Shayan, A.; Rafinejad, J. Arthropod parasites of rodents in Khorram Abbad district, Lorestan Provincen of Iran. Iran. J. Public Health 2006, 35, 70–76. [Google Scholar]
- Shirazi, S.; Bahadori, F.; Mostafaei, T.S.; Ronaghi, H. First report of Polyplax sp. in a Persian squirrel (Scuirus anomalus) in Tabriz, Northwest of Iran. Türkiye Parazitoloji Dergisi 2013, 37, 299–301. [Google Scholar] [CrossRef]
- Soliman, S.; Main, A.J.; Marzouk, A.S.; Montasser, A.A. Seasonal studies on commensal rats and their ectoparasites in a rural area of Egypt: The relationship of ectoparasites to the species, locality, and relative abundance of the host. J. Parasitol. 2001, 87, 545–553. [Google Scholar] [CrossRef]
- Soliman, S.; Marzouk, A.S.; Main, A.J.; Montasser, A.A. Effect of sex, size, and age of commensal rat hosts on the infestation parameters of their ectoparasites in a rural area of Egypt. J. Parasitol. 2001, 87, 1308–1316. [Google Scholar] [CrossRef]
- Soliman, M.I.; Abd El-Halim, A.S.; Mikhail, M.W. Rodent borne diseases and their fleas in Menoufia Governorate, Egypt. J. Egypt. Soc. Parasitol. 2010, 40, 107–117. [Google Scholar]
- Stekol’nikov, A.A. A new subgenus and species of the chigger mite genus Neotrombicula (Acari: Trombiculidae). Acarologia 1999, 40, 407–412. [Google Scholar]
- Stekolnikov, A.A.; Al-Ghamdi, S.Q.; Alagaili, A.N.; Makepeace, B.L. First data on chigger mites (Acariformes: Trombiculidae) of Saudi Arabia, with a description of four new species. Syst. Appl. Acarol. 2019, 24, 1937–1963. [Google Scholar] [CrossRef]
- Tajedin, L.; Rassi, Y.; Oshaghi, M.; Telmadarraiy, Z.; Akhavan, A.; Abai, M.; Arandian, M. Study on Ectoparasites of Rhombomys opimus, the Main Reservoir of Zoonotic Cutaneous Leishmaniasis in Endemic Foci in Iran. Iran. J. Arthropod Borne Dis. 2009, 3, 41–45. [Google Scholar]
- Telmadarraiy, Z.; Vatandoost, H.; Mohammadi, S.; Akhavan, A.A.; Abai, M.R.; Rafinejad, J.; Kia, E.B.; Naini, F.F.; Jedari, M.; Aboulhasani, M. Determination of Rodent Ectoparasite Fauna in Sarpole-Zahab District, Kermanshah Province, Iran, 2004–2005. Iran. J. Arthropod Borne Dis. 2007, 1, 5. [Google Scholar]
- Uslu, U.; Dik, B.; Gökçen, A. Ectoparasites of the ground squirrel (Citellus citellus (L.)) in Turkey. Türkiye Parazitoloji Dergisi 2008, 32, 142–145. [Google Scholar]
- Yeruham, I.; Hadani, A.; Galker, F.; Rosen, S. The Occurrence of Ixodes-Eldaricus (Dzhaparidze, 1950) (Acarina, Ixodidae) in Israel. Acarologia 1995, 36, 191–193. [Google Scholar]
- Younis, T.A.; Fayad, M.E.; el Hariry, M.A.; Morsy, T.A. Interaction between acari ectoparasites and rodents in Suez Governorate, Egypt. J. Egypt. Soc. Parasitol. 1995, 25, 377–394. [Google Scholar] [PubMed]
- Yousefi, A.; Nosrati, M.R.C.; Karimi, A.; Naisi, S. Leptopsylla taschenbergi taschenbergi (Siphonaptera: Leptopsyllidae), new flea from Iran. Asian Pac. J. Trop. Dis. 2015, 5, 606–607. [Google Scholar] [CrossRef]
- Yousefi, A.; Rahbari, S.; Eslami, A. Ectoparasites associated with small mammals (orders Insectivora, Eulipotyphla, and Rodentia) in Razan plain, western region of Iran. Comp. Clin. Pathol. 2018, 27, 667–671. [Google Scholar] [CrossRef]
- Zarei, Z.; Mohebali, M.; Heidari, Z.; Kia, E.B.; Azarm, A.; Bakhshi, H.; Davoodi, J.; Hassanpour, H.; Roohnavaz, M.; Khodabakhsh, M.; et al. Wild Rodent Ectoparasites Collected from Northwestern Iran. J. Arthropod Borne Dis. 2017, 11, 36–41. [Google Scholar]
- Zeese, W.; Khalaf, S.A.; Abou el-Ela, R.G.; Morsy, T.A. Rodents and their ectoparasites in Sharkia Governorate, Egypt. J. Egypt. Soc. Parasitol. 1990, 20, 827–835. [Google Scholar]
- Zendehfili, H.; Zahirnia, A.H.; Maghsood, A.H.; Khanjani, M.; Fallah, M. Ectoparasites of rodents captured in Hamedan, Western Iran. J. Arthropod Borne Dis. 2015, 9, 267–273. [Google Scholar]
- Cole, L.C.; Koepke, J.A. Public Health Weekly Reports for OCTOBER 11, 1946. Public Health Rep. 1946, 61, 1469–1500. [Google Scholar] [CrossRef]
- Rozsa, L.; Reiczigel, J.; Majoros, G. Quantifying Parasites in Samples of Hosts. J. Parasitol. 2000, 86, 228–232. [Google Scholar] [CrossRef]
- Qablan, M.A.; Kubelova, M.; Siroky, P.; Modry, D.; Amr, Z.S. Stray dogs of northern Jordan as reservoirs of ticks and tick-borne hemopathogens. Parasitol. Res. 2012, 111, 301–307. [Google Scholar] [CrossRef] [PubMed]
- Schuster, R.K.; Thomas, K.; Sivakumar, S.; O’Donovan, D. The parasite fauna of stray domestic cats (Felis catus) in Dubai, United Arab Emirates. Parasitol. Res. 2009, 105, 125–134. [Google Scholar] [CrossRef] [PubMed]
- Rabiee, M.H.; Mahmoudi, A.; Siahsarvie, R.; Kryštufek, B.; Mostafavi, E. Rodent-borne diseases and their public health importance in Iran. PLoS Negl. Trop. Dis. 2018, 12, e0006256. [Google Scholar] [CrossRef] [PubMed]
- Yusefi, G.H.; Faizolahi, K.; Darvish, J.; Safi, K.; Brito, J.C. The species diversity, distribution, and conservation status of the terrestrial mammals of Iran. J. Mammal. 2019, 100, 55–71. [Google Scholar] [CrossRef]
- Morsy, T.A.; Shoukry, A.; El kady, G.A. A review and distribution map of rodents in Sinai, Egypt. J. Egypt. Soc. Parasitol. 1988, 18, 683–692. [Google Scholar]
- Bornstein, D.A.; Scola, J.; Rath, A.; Warren, H.B. Multimodal approach to treatment for control of fur mites. J. Am. Assoc. Lab. Anim. Sci. 2006, 45, 29–32. [Google Scholar]
- Gonenc, B.; Sarimehmetoglu, H.O.; Ica, A.; Kozan, E. Efficacy of selamectin against mites (Myobia musculi, Mycoptes musculinus and Radfordia ensifera) and nematodes (Aspiculuris tetraptera and Syphacia obvelata) in mice. Lab. Anim. 2006, 40, 210–213. [Google Scholar] [CrossRef]
- Kondo, S.; Taylor, A.; Chun, S. Elimination of an Infestation of Rat Fur Mites (Radfordia ensifera) from a Colony of Long Evans Rats, Using the Micro-dot Technique for Topical Administration of 1% Ivermectin. Contemp. Top. Lab. Anim. Sci. 1998, 37, 58–61. [Google Scholar]
- Eladl, A.H.; Hamed, H.R.; El-Shafei, R.A. Prevalence of mites and their impact on laying hen (Gallus gallus domesticus) farm facilities in Egypt, with an analysis of deltamethrin residues in eggs and tissue. Avian Pathol. 2018, 47, 161–171. [Google Scholar] [CrossRef]
- Rezaei, F.; Hashemnia, M.; Chalechale, A.; Seidi, S.; Gholizadeh, M. Prevalence of ectoparasites in free-range backyard chickens, domestic pigeons (Columba livia domestica) and turkeys of Kermanshah province, west of Iran. J. Parasit. Dis. Off. Organ. Indian Soc. Parasitol. 2016, 40, 448–453. [Google Scholar] [CrossRef]
- Gokbulut, C.; Ozuicli, M.; Aslan, B.; Aydin, L.; Cirak, V.Y. The residue levels of spinosad and abamectin in eggs and tissues of laying hens following spray application. Avian Pathol. 2019. [Google Scholar] [CrossRef] [PubMed]
- Murillo, A.C.; Mullens, B.A. A review of the biology, ecology, and control of the northern fowl mite, Ornithonyssus sylviarum (Acari: Macronyssidae). Vet. Parasitol. 2017, 246, 30–37. [Google Scholar] [CrossRef] [PubMed]
- Cafiero, M.A.; Barlaam, A.; Camarda, A.; Radeski, M.; Mul, M.; Sparagano, O.; Giangaspero, A. Dermanysuss gallinae attacks humans. Mind the gap! Avian Pathol. 2019, 48 (Suppl. 1), S22–S34. [Google Scholar] [CrossRef] [PubMed]
- Rosen, S.; Yeruham, I.; Braverman, Y. Dermatitis in humans associated with the mites Pyemotes tritici, Dermanyssus gallinae, Ornithonyssus bacoti and Androlaelaps casalis in Israel. Med. Vet. Entomol. 2002, 16, 442–444. [Google Scholar] [CrossRef]
- Kamaruzaman, N.A.C.; Mašán, P.; Velásquez, Y.; González-Medina, A.; Lindström, A.; Braig, H.R.; Perotti, M.A. Macrocheles species (Acari: Macrochelidae) associated with human corpses in Europe. Exp. Appl. Acarol. 2018, 76, 453–471. [Google Scholar] [CrossRef] [PubMed]
- Grobler, L.; Bayram, S.; Çobanoglu, S. Two New Records of Oribatula (Zygoribatula) Species (Acari: Oribatida) from Turkey, with Redescriptions. Zool. Sci. 2005, 22, 1345, 1347–1351. [Google Scholar] [CrossRef]
- Jeon, S.-J.; Kim, E.J.; Oh, J.; Yun, C.-Y. Tryophagus putrescentiae induces inflammatory cytokine secretions from the human cell lines THP-1 and EoL-1 cells. Entomol. Res. 2020, 50, 361–368. [Google Scholar] [CrossRef]
- Bakirci, S.; Aysul, N.; Bilgic, H.B.; Hacilarlioglu, S.; Eren, H.; Karagenc, T. Tick Bites on Humans in Southwestern Region of Turkey: Species Diversity. Türkiye Parazitoloji Dergisi 2019, 43, 30–35. [Google Scholar] [CrossRef]
- Telmadarraiy, Z.; Chinikar, S.; Vatandoost, H.; Faghihi, F.; Hosseini-Chegeni, A. Vectors of Crimean Congo Hemorrhagic Fever Virus in Iran. J. Arthropod Borne Dis. 2015, 9, 137–147. [Google Scholar]
- Ahn, K.S.; Huh, S.E.; Seol, S.W.; Kim, H.J.; Suh, K.H.; Shin, S. Ctenocephalides canis is the dominant flea species of dogs in the Republic of Korea. Parasit Vectors 2018, 11, 196. [Google Scholar] [CrossRef]
- Linardi, P.M.; Santos, J.L. Ctenocephalides felis felis vs. Ctenocephalides canis (Siphonaptera: Pulicidae): Some issues in correctly identify these species. Rev. Bras. Parasitol. Vet. 2012, 21, 345–354. [Google Scholar] [CrossRef] [PubMed]
- Beugnet, F.; Labuschagne, M.; Fourie, J.; Jacques, G.; Farkas, R.; Cozma, V.; Halos, L.; Hellmann, K.; Knaus, M.; Rehbein, S. Occurrence of Dipylidium caninum in fleas from client-owned cats and dogs in Europe using a new PCR detection assay. Vet. Parasitol. 2014, 205, 300–306. [Google Scholar] [CrossRef] [PubMed]
- Leulmi, H.; Socolovschi, C.; Laudisoit, A.; Houemenou, G.; Davoust, B.; Bitam, I.; Raoult, D.; Parola, P. Detection of Rickettsia felis, Rickettsia typhi, Bartonella Species and Yersinia pestis in Fleas (Siphonaptera) from Africa. PLoS Negl. Trop. Dis. 2014, 8, e3152. [Google Scholar] [CrossRef] [PubMed]
- Brouqui, P.; Raoult, D. Arthropod-borne diseases in homeless. Ann. N. Y. Acad. Sci. 2006, 1078, 223–235. [Google Scholar] [CrossRef] [PubMed]
- Valiente Moro, C.; Chauve, C.; Zenner, L. Vectorial role of some dermanyssoid mites (Acari, Mesostigmata, Dermanyssoidea). Parasite 2005, 12, 99–109. [Google Scholar] [CrossRef]
- Lutsky, I.; Bar-Sela, S. Northern fowl mite (Ornithonyssus sylviarum) in occupational asthma of poultry workers. Lancet 1982, 2, 874–875. [Google Scholar] [CrossRef]
- Charrel, R.N.; Fagbo, S.; Moureau, G.; Alqahtani, M.H.; Temmam, S.; de Lamballerie, X. Alkhurma hemorrhagic fever virus in Ornithodoros savignyi ticks. Emerg. Infect. Dis. 2007, 13, 153–155. [Google Scholar] [CrossRef]
- Shanbaky, N.M.; Helmy, N. First record of natural infection with Borrelia in ornithodoros (Ornithodoros) savignyi. Reservoir potential and specificity of the tick to Borrelia. J. Egypt. Soc. Parasitol. 2000, 30, 765–780. [Google Scholar]
- Helmy, N. Seasonal abundance of Ornithodoros (O.) savignyi and prevalence of infection with Borrelia spirochetes in Egypt. J. Egypt. Soc. Parasitol. 2000, 30, 607–619. [Google Scholar]
- Khalil, G.M.; Helmy, N.; Hoogstraal, H.; el-Said, A. Seasonal dynamics of Ornithodoros (Pavlovskyella) Erraticus (Acari: Ixodoidea: Argasidae) and the spirochete Borrelia crocidurae in Egypt. J. Med. Entomol. 1984, 21, 536–539. [Google Scholar] [CrossRef]
- Telmadarraiy, Z.; Nasirian, H.; Vatandoost, H.; Abuolhassani, M.; Tavakoli, M.; Zarei, Z.; Banafshi, O.; Rafinejad, J.; Salarielac, S.; Faghihi, F. Comparative susceptibility of cypermethrin in Ornithodoros lahorensis Neuman and Argas persicus Oken (Acari: Argasidae) field populations. Pak. J. Biol. Sci. 2007, 10, 4315–4318. [Google Scholar] [CrossRef] [PubMed]
- Naddaf, S.R.; Ghazinezhad, B.; Kazemirad, E.; Cutler, S.J. Relapsing fever causative agent in Southern Iran is a closely related species to East African borreliae. Ticks Tick Borne Dis. 2017, 8, 882–886. [Google Scholar] [CrossRef] [PubMed]
- Baneth, G.; Nachum-Biala, Y.; Halperin, T.; Hershko, Y.; Kleinerman, G.; Anug, Y.; Abdeen, Z.; Lavy, E.; Aroch, I.; Straubinger, R.K. Borrelia persica infection in dogs and cats: Clinical manifestations, clinicopathological findings and genetic characterization. Parasit Vectors 2016, 9, 244. [Google Scholar] [CrossRef] [PubMed]
- Safdie, G.; Farrah, I.Y.; Yahia, R.; Marva, E.; Wilamowski, A.; Sawalha, S.S.; Wald, N.; Schmiedel, J.; Moter, A.; Gobel, U.B.; et al. Molecular characterization of Borrelia persica, the agent of tick borne relapsing fever in Israel and the Palestinian Authority. PLoS ONE 2010, 5, e14105. [Google Scholar] [CrossRef]
- Babudieri, B. Relapsing fever in Jordan. Bull. World Health Organ. 1957, 16, 911–928. [Google Scholar]
- el-Azazy, O.M.; Scrimgeour, E.M. Crimean-Congo haemorrhagic fever virus infection in the western province of Saudi Arabia. Trans. R. Soc. Trop. Med. Hyg. 1997, 91, 275–278. [Google Scholar] [CrossRef]
- Brinkmann, A.; Hekimoglu, O.; Dincer, E.; Hagedorn, P.; Nitsche, A.; Ergunay, K. A cross-sectional screening by next-generation sequencing reveals Rickettsia, Coxiella, Francisella, Borrelia, Babesia, Theileria and Hemolivia species in ticks from Anatolia. Parasit Vectors 2019, 12, 26. [Google Scholar] [CrossRef]
- Gill, N.K.; Dhaliwal, A.K. Seasonal Variation of Allergenic Acarofauna From the Homes of Allergic Rhinitis and Asthmatic Patients. J. Med. Entomol. 2018, 55, 262–268. [Google Scholar] [CrossRef]
- Naltsas, S.; Hodge, S.J.; Gataky, G.J., Jr.; Owen, L.G. Eczematous dermatitis caused by Dermanyssus americanus. Cutis 1980, 25, 429–431. [Google Scholar]
- Khaghani, R. The Economic and Health Impact of Rodent in Urban Zone And Harbours and Their Control Methods. Ann. Mil. Health Sci. Res. 2007, 4, 1071–1078. [Google Scholar]
Publisher’s Note: MDPI stays neutral with regard to jurisdictional claims in published maps and institutional affiliations. |
© 2021 by the authors. Licensee MDPI, Basel, Switzerland. This article is an open access article distributed under the terms and conditions of the Creative Commons Attribution (CC BY) license (http://creativecommons.org/licenses/by/4.0/).














