What Comes after Cabinet? Post-Cabinet Careers of German Regional Ministers between 1945 and 2014
Abstract
1. Introduction
2. Research on Ministerial Careers in Germany and Three Blocks of Research Questions
- (1)
- Does it help to be a cabinet member of a state government to further a political career after the time in the state executive? In other words, is the state cabinet position just a staging post on the road to a more prestigious political position and thus a stepping stone that helps to achieve ambitious political plans, or is it a dead end for any career in German politics? Are there any frequently occurring trajectories? Furthermore, can we identify factors supporting or hindering such multilevel political careers?
- (2)
- What types of post-cabinet careers do we find? What other, nonpolitical positions do former ministers occupy in the private sector, in foundations, or in academia? Are these jobs well-paid positions for old party soldiers who can no longer be kept in the political business (e.g., because of their age or because of scandals), or is a well-paid job in lobbying even more desirable than a high-ranking job in politics?
- (3)
- Are there any significant differences within the post-ministerial career pattern? Does it change through the decades? Are there significant differences according to the party of the minister, the gender, or the state he or she has been working in?
3. Materials and Methods
- (1)
- Regular sequence plots are ultimately a graphical translation of the STS format structure presented in Table 1. Each horizontal line represents one post-ministerial career, and the different colors represent the different positions. These plots are well suited if you are interested to see which career steps follow each other for every single case. However, regular sequence plots are often too fuzzy to gain insight in any general patterns. Figure A1 in the Appendix A depicting the complete dataset as a regular sequence plot can serve as an example.
- (2)
- In transversal frequency plots, each column (=year) gives the frequencies of the statuses. These plots help to understand the general patterns in the data and are thus the most appropriate way of presenting sequence data for our purposes here.
4. Results
4.1. Descriptive Analysis
4.2. The Overall Sequence Picture
4.3. Gender Differences
4.4. Party Effects?
4.5. Consequences of the Last Portfolio for the Post-Ministerial Career
- (1)
- For a position within the private sector (either self-employed or as an employee), the best starting points are the ministries of economy and transportation, finance, or construction and housing.
- (2)
- The best chances to become a member of the federal government lie with prime ministers, ministers for federal affairs, and the heads of the state chancelleries. Because all of these positions already work together closely with the federal government, this might explain their superior chances to switch to the federal level. Other ministries, such as the ministries of agriculture, education, or justice, provide fewer opportunities to make it to the federal level.
- (3)
- Not surprising is the fact that ministers of the interior and justice often continue their careers as lawyers or judges.
4.6. Changes through Time
- (1)
- Until the 1960s, up to 20 percent of all ministers died during the observed ten years after they left the cabinet. This percentage is much lower in the following decades. On the one hand, this is due to a trend toward younger cabinets and, on the other hand, due to the increasing life expectancy in Germany.12
- (2)
- Especially in the 1960s, “pension” is a large position. This indicates that in that decade, the position of a state minister represented the apex of a political career for many politicians. They reached this high level mostly at the end of their professional career and then went on to their pension and/or died. It is astounding that in the 1960s, only about 40 percent of the ministers were either not dead or in retirement ten years after leaving the cabinet. In the 1990s, this number rose to about 85 percent.
- (3)
- Work in foundations has expanded since the 1970s.
- (4)
- Positions in the private sector and as lawyers have also become more frequent, especially since the 1990s.
4.7. Differences between the States?
- (1)
- In Baden-Wuerttemberg, many more former ministers work as managers and in the private sector than in the other states.
- (2)
- The chances to use the position in the state cabinet as a stepping stone for a position at the federal level are much lower for ministers in the eastern German states (except for Saxony).
- (3)
- The best chances to make it to the Bundestag lie with ministers from Berlin, North-Rhine-Westphalia, and Rhineland-Palatinate.
- (4)
- Local politics is a likely option particularly for eastern German state ministers.
- (5)
- The number of former cabinet members working in the judicial system, mainly as lawyers, but also as judges (including the Federal Constitutional Court), varies considerably among the states. While in Bavaria, Bremen, and Mecklenburg West-Pomerania virtually no former cabinet member changes into the judicial system, in Thuringia, Saxony, or Hamburg, former ministers on average stay more than half a year of the ten observed years within the judicial system.
- (6)
- The possibilities for former ministers to once again become ministers at a state level are also very unevenly distributed: In Bremen, Mecklenburg West-Pomerania, Saxony, and Schleswig-Holstein, a return to a position within a state executive is very rare, whereas this career pattern makes up a significant proportion in Berlin, Hamburg, and Lower-Saxony.
4.8. From State to Event Sequences: What Are the Most Frequent Transition Sequences?
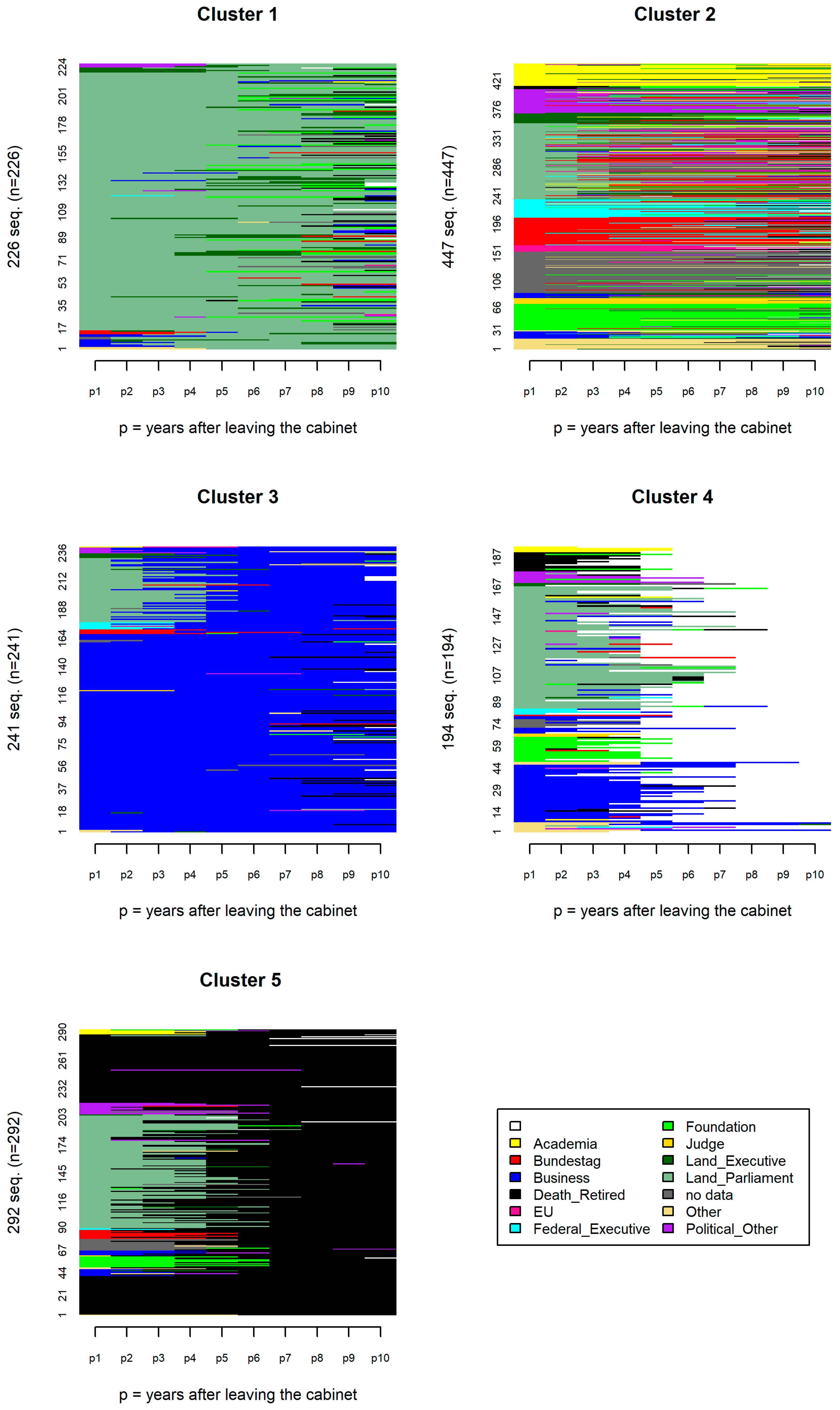
4.9. Five Clusters of Post-Ministerial Careers
5. Conclusions and Limitations
Funding
Data Availability Statement
Conflicts of Interest
Appendix A
| Reduced Alphabet Code | Original Code | Description |
|---|---|---|
| Land_Parliament | p_land_lt | Member of a state parliament |
| p_land_lt_president | President of a state parliament | |
| p_land_lt_vice | Vice-president of a state parliament | |
| Bundestag | p_fed_bt | Member of the Bundestag |
| EU | p_eu | EU (Parliament, Commission, Agencies) |
| Land_Executive | p_land_minprä | Prime minister of a state |
| p_land_min | Minister of a state | |
| p_land_secretary | State secretary of a state | |
| Federal_Executive | p_fed_chancellor | Federal Chancellor |
| p_fed_min | Federal minister | |
| p_fed_president | Federal President | |
| p_fed_secretary | State secretary federal level | |
| Political_Other | p_local | Local politics (e.g., mayor, city councilor) |
| p_other | Other political engagement (mostly party business, advising politicians) | |
| Judge | j_bverfg | Judge at the Federal Constitutional Court |
| j_judge | Judge | |
| Economy/private sector | e_ent | Self-employed (e.g., founder of a company, farmer, corporate consultant) |
| e_manager | Manager, Member of a board of directors, Member of an advisory committee | |
| j_lawyer | Lawyer | |
| media | Media | |
| Other | adm | Administration |
| church | Priest, church administration | |
| dipl | Diplomacy (Federal Foreign Office, ambassador) | |
| e_union | Member of employee’s or employer’s associations | |
| Foundation | foundation | Registered association, charitable foundation, voluntary work |
| Academia | uni | University (full) professor, researcher at research institute |
| Death_Retired | death | Death |
| pension | Pension, retired |




| 1 | They ask: “what was your profession immediately after you left the parliament?” (Best et al. 2008, p. 15). See Edinger and Schwarz for a more detailed analysis of the same dataset (Edinger and Schwarz 2009). |
| 2 | For western Germany and Berlin, this means after 1945, for eastern Germany the observation period starts with the first state cabinets after the fall of the Berlin Wall in 1990. |
| 3 | The decision to also include incomplete sequences, i.e., data on post-ministerial careers for which less than 10 years are known, is due to the idea of showing that the method of sequence analysis can also deal with such right-truncated data. The alternative of including only those sequences in the analysis for which a complete 10 years (which of course, is also an arbitrary period) could be observed would mean a significant reduction in the dataset to be analyzed and thus an unnecessary loss of information. |
| 4 | While from a political science point of view the coding decision to primarily focus on political positions makes sense, other research questions that are more concerned with the social or economic level of a post-ministerial career could make use of different coding criteria. For example, the question whether a position is unpaid or paid, and if it is paid how much income is generated by it, might be relevant. Yet, also from a data availability point of view, it is often very hard to know whether a position is paid, unpaid, or officially unpaid, but includes high expenses allowances, which are ultimately equivalent to a salary. |
| 5 | I used curricula vitae from official websites of state and federal ministries, state parliaments, Bundestag and the EU parliament, personal homepages of the politicians, party websites, Munzinger Archive, and Wikipedia. Furthermore, especially for the more problematic cases in terms of data availability, I searched online newspapers for articles about the post-ministerial career. Particularly articles with the headlines “whatever happened to…?” or “where are they now?” can be fruitful sources of information for this kind of study. |
| 6 | For such an approach, see Borchert and Stolz (2011). |
| 7 | Either the same costs can be assumed for all transformations or different costs can be assumed, depending on the transition. This can be theoretically justified (e.g., assuming that a transition from a state minister to the federal chancellor’s office is a larger one than a transition as a member of parliament to the Bundestag. Alternatively, costs can be determined using empirical transition data. The more frequently a particular transition occurs in the dataset, the lower the costs would then be set. Different options to tackle the problem of how to set the costs for transitions, especially for social science sequences with their strong sensitivity to time, have been proposed (Elzinga 2003, 2005; Halpin 2010, 2014; Martin and Wiggins 2011). |
| 8 | This example is adapted from Elzinga (2007, p. 14). |
| 9 | Turner-Zwinkels and Mills (2020) propose a fuzzy clustering algorithm for their sequence analysis of preparliamentary careers in the Netherlands. |
| 10 | The category “manager” also includes salaried members of boards of directors and salaried members of advisory boards. |
| 11 | An example is former federal minister of agriculture and consumer protection, Ilse Aigner, who left the federal level at her own request to become the Bavarian minister of economy. Particularly in Bavaria, it does not seem to be completely self-evident which political level is held in the highest esteem. In this regard, the German federal system in some way resembles patterns known from Belgium (Dodeigne 2014). |
| 12 | Particularly in the years after the Second World War, a number of relatively old politicians became ministers who had already been politicians in the Weimar Republic and held no connections to the Nazis. The most famous example is probably Konrad Adenauer, the first Federal Chancellor, who had been mayor of Cologne from 1917 to 1933. |
| 13 | Performing the test with the Bonferroni-correction indeed no longer reports any significant differences. Yet, this correction is extremely conservative, which makes it very likely that also, in reality, significant differences are no longer detected. Thus, I believe the chi-square test to be the better option here. |
| 14 | Silhouette analysis is a method developed by Rousseeuw (1987) to compare different clustering solutions by distinguishing clear-cut clusters from weak ones using the so-called silhouette measure that can be calculated for every single case. If this measure is positive (as close to 1 as possible), the clustering algorithm puts the case into the best-fitting cluster. If the silhouette measure is instead negative, the case then lies on average closer to a neighboring cluster than to the objects within its own cluster. |
| 15 | In this respect, the situation in Germany differs, for example, from that in Spain, which is also federally organized, where the vast majority of national ministers are recruited in local and regional executives (see Rodriguez-Teruel 2011). |
References
- Aassve, Arnstein, Francesco C. Billari, and Raffaella Piccarreta. 2007. Strings of Adulthood: A Sequence Analysis of Young British Women’s Work-Family Trajectories. European Journal of Population 23: 369–88. [Google Scholar] [CrossRef]
- Abbott, Andrew. 1983. Sequences of Social Events: Concepts and Methods for the Analysis of Order in Social Processes. Historical Methods 16: 129–47. [Google Scholar] [CrossRef]
- Abbott, Andrew. 1984. Event Sequence and Event Duration: Colligation and Measurement. Historical Methods 17: 192–204. [Google Scholar] [CrossRef]
- Abbott, Andrew. 1995. Sequence Analysis: New Methods for Old Ideas. Annual Review of Sociology 21: 93–113. [Google Scholar] [CrossRef]
- Aisenbrey, Silke, and Anette E. Fasang. 2010. New Life for Old Ideas: The ‘Second Wave’ of Sequence Analysis Bringing the ‘Course’ Back into the Life Course. Sociological Methods and Research 38: 420–62. [Google Scholar] [CrossRef]
- Ali, Anwar Syed. 2003. Karrierewege Und Rekrutierungsmuster Bei Regierungsmitgliedern Auf Bundesebene 1949–2002. Martin-Luther-Universität Halle-Wittenberg. Available online: http://sundoc.bibliothek.uni-halle.de/diss-online/03/04H114/index.htm (accessed on 25 September 2023).
- Barban, Nicola, and Francesco C. Billari. 2012. Classifying Life Course Trajectories: A Comparison of Latent Class and Sequence Analysis. Journal of the Royal Statistical Society: Series C 61: 756–84. [Google Scholar] [CrossRef]
- Best, Heinrich, Michael Edinger, and Lars Vogel. 2008. Deutsche Abgeordnetenbefragung. Ergebnisse Der Befragung Ehemaliger Abgeordneter. Jena: Friedrich Schiller Universität Jerna. [Google Scholar]
- Best, Heinrich, Stefan Jahr, and Lars Vogel. 2011. Karrieremuster Und Karrierekalküle Deutscher Parlamentarier. In Politik Als Beruf. Edited by Michael Edinger and Werner J. Patzelt. Wiesbaden: VS-Verlag, pp. 168–212. [Google Scholar]
- Bienen, Henry, and Nicolas van de Walle. 1991. Of Time and Power. Leadership Duration in the Modern World. Stanford: Stanford University Press. [Google Scholar]
- Bienen, Henry, and Nicolas van de Walle. 1992. A Proportional Hazard Model of Leadership Duration. Journal of Politics 54: 685–717. [Google Scholar] [CrossRef]
- Binderkrantz, Anne Skorkjær, Marie Kaldahl Nielsen, Helene Helboe Pedersen, and Mathias Wessel Tromborg. 2020. Pre-Parliamentary Party Career and Political Representation. West European Politics 43: 1315–38. [Google Scholar] [CrossRef]
- Blanchard, Philippe, Felix Bühlmann, and Jacques-Antoine Gauthier, eds. 2014. Advances in Sequence Analysis: Theory, Method, Applications. Cham: Springer. [Google Scholar]
- Blondel, Jean. 1991. The Post-Ministerial Careers. In The Profession of Government Ministers in Western Europe. Edited by Jean Blondel and Jean-Louis Thiebault. Houndmills, Basingstoke and Hampshire: Macmillan, pp. 153–73. [Google Scholar]
- Blondel, Jean, and Jean-Louis Thiébault. 1991. The Profession of Government Minister in Western Europe. London: Macmillan. [Google Scholar]
- Borchert, Jens, and Klaus Stolz. 2011. German Political Careers: The State Level as an Arena in Its Own Right? Regional & Federal Studies 21: 205–22. [Google Scholar]
- Box-Steffensmeier, Janet M., and Bradford S. Jones. 1997. Time Is of the Essence. Event History Models in Political Science. American Journal of Political Science 41: 1414–61. [Google Scholar] [CrossRef]
- Brzinsky-Fay, Christian, and Ulrich Kohler. 2010. New Developments in Sequence Analysis. Sociological Methods & Research 38: 359–64. [Google Scholar]
- Byrne, Christopher, and Kevin Theakston. 2016. Leaving the House: The Experience of Former Members of Parliament Who Left the House of Commons in 2010. Parliamentary Affairs 69: 686–707. [Google Scholar] [CrossRef]
- Claessen, Clint, Stefanie Bailer, and Tomas Turner-Zwinkels. 2021. The Winners of Legislative Mandate: An Analysis of Post-parliamentary Career Positions in Germany and the Netherlands. European Journal of Political Research 60: 25–45. [Google Scholar] [CrossRef]
- Claveria, Sílvia, and Tània Verge. 2015. Post-Ministerial Occupation in Advanced Industrial Democracies: Ambition, Individual Resources and Institutional Opportunity Structures. European Journal of Political Research 54: 819–35. [Google Scholar] [CrossRef]
- Cornwell, Benjamin. 2015. Social Sequence Analysis: Methods and Applications. Structural Analysis in the Social Sciences. New York: Cambridge University Press. [Google Scholar]
- Dodeigne, Jérémy. 2014. (Re-)Assessing Career Patterns in Multi-Level Systems: Insights from Wallonia in Belgium. Regional & Federal Studies 24: 151–71. [Google Scholar] [CrossRef]
- Dogan, Mattei. 1979. How to Become a Cabinet Minister in France: Career Pathways, 1870–1978. Comparative Politics 12: 1. [Google Scholar] [CrossRef]
- Dowding, Keith M. 2009. The Selection of Ministers in Europe: Hiring and Firing. Routledge Advances in European Politics. London: Routledge, vol. 52. [Google Scholar]
- Dörrenbächer, Nora. 2016. Patterns of Post-Cabinet Careers: When One Door Closes Another Door Opens? Acta Politica 51: 472–91. [Google Scholar] [CrossRef]
- Edinger, Michael, and Bertram Schwarz. 2009. Leben Nach Dem Mandat—Eine Studie Zu Ehemaligen Abgeordneten (Heft 35 Sonderforschungsbereich 580). Jena: Friedrich Schiller Universität Jerna. [Google Scholar]
- Elzinga, Cees H. 2003. Sequence Similarity: A Non-Aligning Technique. Sociological Methods and Research 32: 3–29. [Google Scholar]
- Elzinga, Cees H. 2005. Combinatorial Representations of Token Sequences. Journal of Classification 22: 87–118. [Google Scholar] [CrossRef][Green Version]
- Elzinga, Cees H. 2007. Sequence Analysis: Metric Representations of Categorical Time Series. Amsterdam: Department of Social Science Research Methods, Vrije Universiteit Amsterdam. [Google Scholar]
- Escobar-Lemmon, Maria, and Michelle M. Taylor-Robinson. 2009. Getting to the Top: Career Paths of Women in Latin American Cabinets. Political Research Quarterly 62: 685–99. [Google Scholar] [CrossRef]
- Fischer, Jörn, and André Kaiser. 2009a. Hiring and Firing Ministers under Informal Constraints: Germany. In The Selection of Ministers in Europe. Hiring and Firing. Edited by Keith Dowding and Patrick Dumont. London: Routhledge, pp. 21–40. [Google Scholar]
- Fischer, Jörn, and André Kaiser. 2009b. Linkages between Parliamantary and Ministerial Careers in Germany, 1949–2008. The Budestag as Recruitment Pool. German Politics 18: 140–54. [Google Scholar]
- Fischer, Jörn, and André Kaiser. 2010. Der Bundestag: Sprungbrett Oder Auffangbecken? Ministerkarrieren Zwischen Parlament Und Exekutive. Zeitschrift Für Parlamentsfragen 41: 36–41. [Google Scholar]
- Fischer, Jörn, and André Kaiser. 2011. Wie Gewonnen, so Zerronnen? Selektions- Und Deselektionsmechanismen in Den Karrieren Deutscher Bundesminister. In Politik Als Beruf (Politische Vierteljahresschrift Sonderheft 44). Edited by Michael Edinger and Werner Patzelt. Wiesbaden: VS-Verlag, pp. 192–212. [Google Scholar]
- Fischer, Jörn, André Kaiser, and Ingo Rohlfing. 2006. The Push and Pull of Ministerial Resignations in Germany, 1969–2005. West European Politics 29: 709–35. [Google Scholar] [CrossRef]
- Fischer, Jörn, Keith Dowding, and Patrick Dumont. 2012. The Duration and Durability of Cabinet Ministers. International Political Science Review 33: 505–19. [Google Scholar] [CrossRef]
- Gabadinho, Alexis, Gilbert Ritschard, Matthias Studer, and Nicolas S. Müller. 2011. Mining Sequence Data in R with TraMineR Package: A User’s Guide. Geneva: University of Geneva. Available online: http://traminer.unige.ch/ (accessed on 25 September 2023).
- Gauthier, Jacques-Antoine, Eric D. Widmer, Philipp Bucher, and Cédric Notredame. 2010. Multichannel Sequence Analysis Applied to Social Science Data. Sociological Methodology 40: 1–38. [Google Scholar] [CrossRef]
- Gauthier, Jacques-Antoine, Felix Bühlmann, and Philippe Blanchard. 2014. Introduction: Sequence Analysis in 2014. In Advances in Sequence Analysis. Edited by Jacques-Antoine Gauthier, Felix Bühlmann and Philippe Blanchard. New York: Springer, pp. 1–17. [Google Scholar]
- Gruber, Andreas K. 2008. Der Weg Nach Ganz Oben—Karriereverläufe Deutscher Spitzenpolitiker. Wiesbaden: VS-Verlag. [Google Scholar]
- Halpin, Brendan. 2010. Optimal Matching Analysis and Life-Course Data: The Importance of Duration. Sociological Methods and Research 38: 365–88. [Google Scholar] [CrossRef]
- Halpin, Brendan. 2014. Three Narratives of Sequence Analysis. In Advances in Sequence Analysis: Theory, Method, Applications. Edited by Philippe Blanchard, Felix Bühlmann and Jacques-Antoine Gauthier. Cham: Springer, pp. 75–103. [Google Scholar]
- Herrick, Rebekah, and David L. Nixon. 1996. Is There Life after Congress? Patterns and Determinants of Post-Congressional Careers. Legislative Studies Quarterly 21: 489. [Google Scholar] [CrossRef]
- Herzog, Dietrich. 1975. Politische Karrieren—Selektion Und Professionalisierung Politischer Führungsgruppen. Opladen: Westdt. Verlag. [Google Scholar]
- Huber, John D., and Cecilia Martinez-Gallardo. 2008. Replacing Cabinet Ministers: Patterns of Ministerial Stability in Parliamentary Democracies. American Political Science Review 102: 169–80. [Google Scholar] [CrossRef]
- Jäckle, Sebastian. 2011. Determinanten Der Regierungsbeständigkeit in Parlamentarischen Systemen. Berlin: LIT. [Google Scholar]
- Jäckle, Sebastian. 2012. A New Measure of Political Stability—Portfolio Duration in the German Länder and Its Determinants (1990–2010). Zeitschrift Für Staats- Und Europawissenschaften 10: 338–60. [Google Scholar]
- Jäckle, Sebastian. 2013. Ministerial Turnover in the German Länder (1991–2010). Zeitschrift Für Vergleichende Politikwissenschaft 7: 27–48. [Google Scholar] [CrossRef]
- Jäckle, Sebastian. 2016. Pathways to Karlsruhe: A Sequence Analysis of the Careers of German Federal Constitutional Court Judges. German Politics 25: 25–53. [Google Scholar]
- Jäckle, Sebastian. 2017. Sequenzanalyse. In Neue Trends in den Sozialwissenschaften. Edited by Sebastian Jäckle. Wiesbaden: Springer Fachmedien Wiesbaden, pp. 333–63. [Google Scholar] [CrossRef]
- Jäckle, Sebastian, and Matthew Kerby. 2018. Temporal Methods in Political Elite Studies. In The Palgrave Handbook of Political Elites. Edited by Heinrich Best and John Higley. London: Palgrave Macmillan UK, pp. 115–33. [Google Scholar] [CrossRef]
- Kerby, Matthew. 2009. Worth the Wait: The Determinants of Ministerial Appointment in Canada, 1935–2008. Canadian Journal of Political Science 42: 593–612. [Google Scholar] [CrossRef]
- Kerby, Matthew, and Feodor Snagovsky. 2021. Not All Experience Is Created Equal: MP Career Typologies and Ministerial Appointments in the Canadian House of Commons, 1968–2015. Government and Opposition 56: 326–44. [Google Scholar] [CrossRef]
- Küpper, Moritz, and Georg Wenzelburger. 2013. Seiteneinsteiger in Den Bundestag. Eine Analyse von Cross-Over-Karrieren 1949–2009. Zeitschrift Für Parlamentsfragen 44: 526–45. [Google Scholar]
- Lesnard, Laurent. 2014. Using Optimal Matching Analysis in Sociology: Cost Setting and Sociology of Time. In Advances in Sequence Analysis. Edited by Philippe Blanchard, Felix Bühlmann and Jacques-Antoine Gauthier. New York: Springer, pp. 39–50. [Google Scholar]
- Lindholm, Johan, Mattias Derlén, and Daniel Naurin. 2022. The Ideal Justice: Who Are Selected to Serve and What Does It Say about Swedish High Courts? Tidsskrift for Rettsvitenskap 135: 397–431. [Google Scholar] [CrossRef]
- MacIndoe, Heather, and Andrew Abbott. 2004. Handbook of Data Analysis. In Sequence Analysis and Optimal Matching Techniques for Social Science Data. Edited by M. Hardy and A. Bryman. Thousand Oaks: SAGE, pp. 387–406. [Google Scholar]
- Manow, Philip. 2012. Wahlkreis- Oder Listenabgeordneter, Typus Oder Episode? Eine Sequenzanalyse Der Wege in Den Bundestag. Politische Vierteljahresschrift 53: 53–78. [Google Scholar] [CrossRef]
- Martin, Peter, and Richard D. Wiggins. 2011. Optimal Matching Analysis. In The SAGE Handbook of Innovation in Social Research Methods. Edited by W. Paul Vogt and Malcolm Williams. Los Angeles: SAGE, pp. 385–408. [Google Scholar]
- Mills, Melinda. 2011. Introducing Survival and Event History Analysis. Los Angeles: Sage. [Google Scholar]
- Nicholls, Keith. 1991. The Dynamics of National Executive Service: Ambition Theory and the Careers of Presidential Cabinet Members. The Western Political Quarterly 44: 149. [Google Scholar] [CrossRef]
- Nyrup, Jacob, and Stuart Bramwell. 2020. Who Governs? A New Global Dataset on Members of Cabinets. American Political Science Review 114: 1366–74. [Google Scholar] [CrossRef]
- Ohmura, Tamaki, Stefanie Bailer, Peter Meiβner, and Peter Selb. 2018. Party Animals, Career Changers and Other Pathways into Parliament. West European Politics 41: 169–95. [Google Scholar] [CrossRef]
- Patzelt, Werner J. 1997. German MPs and Their Roles. Journal of Legislative Studies 3: 55–78. [Google Scholar] [CrossRef]
- Piccarreta, Raffaella, and Orna Lior. 2010. Exploring Sequences: A Graphical Tool Based on Multi-Dimensional Scaling. Journal of the Royal Statistical Society: Series A 173: 165–84. [Google Scholar] [CrossRef]
- Pollock, Gary. 2007. Holistic Trajectories: A Study of Combined Employment, Housing and Family Careers by Using Multiple-Sequence Analysis. Journal of the Royal Statistical Society: Series A (Statistics in Society) 170: 167–83. [Google Scholar] [CrossRef]
- Robette, Nicolas, and Xavier Bry. 2012. Robette, Nicolas, and Xavier Bry. 2012. Harpoon or Bait? A Comparison of Various Metrics in Fishing for Sequence Patterns. Bulletin of Sociological Methodology/Bulletin de Méthodologie Sociologique 116: 5–24. [Google Scholar]
- Rodriguez-Teruel, Juan. 2011. Ministerial and Parliamentary Elites in Multilevel Spain 1977–2009. Comparative Sociology 10: 887–907. [Google Scholar] [CrossRef]
- Rousseeuw, Peter J. 1987. Silhouettes: A Graphical Aid to the Interpretation and Validation of Cluster Analysis. Journal of Computational and Applied Mathematics 20: 53–65. [Google Scholar] [CrossRef]
- Scarrow, Susan E. 1997. Political Career Paths and the European Parliament. Legislative Studies Quarterly 22: 253–63. [Google Scholar] [CrossRef]
- Stolz, Klaus. 2003. Moving up, Moving down: Political Careers across Territorial Levels. European Journal of Political Research 42: 223–48. [Google Scholar] [CrossRef]
- Stolz, Klaus. 2011. The Regionalization of Political Careers in Spain and the UK. Regional & Federal Studies 21: 223–43. [Google Scholar] [CrossRef]
- Stolz, Klaus, and Jörn Fischer. 2014. Post-Cabinet Careers of Regional Ministers in Germany, 1990–2011. German Politics 23: 157–73. [Google Scholar] [CrossRef]
- Turner-Zwinkels, Tomas, and Melinda C. Mills. 2020. Pathways to Power: The Role of Preparliamentary Careers and Political Human Capital in the Obtainment of Cabinet Positions. Legislative Studies Quarterly 45: 207–52. [Google Scholar] [CrossRef]
- Vogel, Lars. 2009. Der Weg Ins Kabinett—Karrieren von Ministern in Deutschland. Europäische Hochschulschriften. Frankfurt: Peter Lang, vol. 576. [Google Scholar]
- Würfel, Maximilian. 2018. Life After the Bundestag: An Analysis of the Post-Parliamentary Careers of German MPs. German Politics 27: 295–316. [Google Scholar] [CrossRef]












| Name | State | Party | Sex | Last Portfolio | End of Spell | p1 | p2 | … | p9 | p10 |
|---|---|---|---|---|---|---|---|---|---|---|
| Elisabeth Heister-Neumann | NI | CDU | 0 | Education | 27 April 2010 | p_land_lt | p_land_lt | … | ||
| Franz Heitgres | HH | KPD | 1 | Compensation and refugee relief | 15 November 1946 | foundation | foundation | … | no data | no data |
| Steffen Heitmann | SN | CDU | 1 | Justice | 15 September 2000 | p_land_lt | p_land_lt | … | p_land_lt | foundation |
| Arthur Heitschmidt | SL | FDP | 1 | Finance and forestry | 27 January 1963 | death | death | … | death | death |
| Person | State 1 | State 2 | State 3 | State 4 | State 5 | State 6 | State 7 |
|---|---|---|---|---|---|---|---|
| X: | U | A | U | P | U | A | |
| Y: | A | U | J | O | |||
| Z: | U | A | P | U | J | O | O |
| Former… | Chancellor | Interior | Foreign | Finance | Economy |
|---|---|---|---|---|---|
| regional prime minister | 5 (33%) | 1 (5%) | 2 (13%) | 6 (27%) | 2 (9%) |
| regional minister | 3 (56%) | 3 (14%) | 5 (31%) | 5 (23%) | 8 (36%) |
| regional prime minister or regional minister | 7 (78%) | 4 (19%) | 7 (44%) | 8 (36%) | 9 (41%) |
| federal minister (in different department) | 5 (56%) | 8 (38%) | 11 (69%) | 11 (50%) | 8 (36%) |
| sum | 9 | 21 | 16 | 22 | 22 |
Disclaimer/Publisher’s Note: The statements, opinions and data contained in all publications are solely those of the individual author(s) and contributor(s) and not of MDPI and/or the editor(s). MDPI and/or the editor(s) disclaim responsibility for any injury to people or property resulting from any ideas, methods, instructions or products referred to in the content. |
© 2023 by the author. Licensee MDPI, Basel, Switzerland. This article is an open access article distributed under the terms and conditions of the Creative Commons Attribution (CC BY) license (https://creativecommons.org/licenses/by/4.0/).
Share and Cite
Jäckle, S. What Comes after Cabinet? Post-Cabinet Careers of German Regional Ministers between 1945 and 2014. Soc. Sci. 2023, 12, 601. https://doi.org/10.3390/socsci12110601
Jäckle S. What Comes after Cabinet? Post-Cabinet Careers of German Regional Ministers between 1945 and 2014. Social Sciences. 2023; 12(11):601. https://doi.org/10.3390/socsci12110601
Chicago/Turabian StyleJäckle, Sebastian. 2023. "What Comes after Cabinet? Post-Cabinet Careers of German Regional Ministers between 1945 and 2014" Social Sciences 12, no. 11: 601. https://doi.org/10.3390/socsci12110601
APA StyleJäckle, S. (2023). What Comes after Cabinet? Post-Cabinet Careers of German Regional Ministers between 1945 and 2014. Social Sciences, 12(11), 601. https://doi.org/10.3390/socsci12110601

