Next Article in Journal
What Comes after Cabinet? Post-Cabinet Careers of German Regional Ministers between 1945 and 2014
Previous Article in Journal
Exploring the Relational in Relational Wellbeing
 
 
Font Type:
Arial Georgia Verdana
Font Size:
Aa Aa Aa
Line Spacing:
Column Width:
Background:
Article

Assessing the Socioeconomic Impacts of Transitioning from Plutocracy to Meritocracy in University Admissions

Finance Department, American University of the Middle East, Al Ahmadi 15453, Kuwait
Soc. Sci. 2023, 12(11), 599; https://doi.org/10.3390/socsci12110599
Submission received: 10 September 2023 / Revised: 24 October 2023 / Accepted: 26 October 2023 / Published: 28 October 2023

Abstract

:
This paper examines the effects of transitioning from a plutocratic to a meritocratic university admission system on students and society. We develop a theoretical model to predict the socioeconomic impacts of this transition and validate our predictions using simulations and empirical data from Georgia, where education reform shifted university admissions from a plutocratic system to a meritocratic one, providing a natural experiment that enables us to validate predictions of our theoretical model. The findings demonstrate positive outcomes for individuals from low socioeconomic backgrounds, including improved educational attainment and increased labor income.

1. Introduction

The term meritocracy first appeared in Michael Young’s satirical work The Rise of the Meritocracy in 1958 when it was first published and then republished in 2017 (Young 2017). The concept of meritocracy is defined as a system in which individuals are rewarded purely on the basis of their abilities and performance, whereas in plutocracy individuals benefit from inherited privileges. For example, a plutocratic education system is one where access to education is determined by one’s wealth or social class. In such a system, individuals from wealthy backgrounds may have access to better educational resources, while those from lower-income backgrounds may have limited access to quality education. This can lead to a perpetuation of social and economic inequality, as those from privileged backgrounds are more likely to have better opportunities to succeed in life, while those from less privileged backgrounds are at a disadvantage. Ensuring equal access to affordable and quality technical, vocational, and tertiary education, including university, is one of the targets of UN sustainable development goal 4 (SDG4). The UN’s SDG4 aims to improve access to education by 2030, and moving from a plutocracy to a meritocracy helps reach this target by reducing barriers in the admission system.
In a meritocratic education system, access to education and opportunities is based on one’s abilities and achievements, rather than one’s wealth or social class. Modern societies are increasingly education-based meritocracies in which schools identify and cultivate skills and effort (Bills 2019). The impact of meritocratic university admissions can be complex and multi-faceted. There are several researchers and scholars who have questioned the benefits of existing meritocratic university admissions systems. Some authors argue that these systems perpetuate socioeconomic inequality and fail to provide equal access to higher education for marginalized groups. Richard Kahlenberg and Halley Potter (Kahlenberg 2014; Kahlenberg and Potter 2014) argue that socioeconomic diversity is just as important as racial diversity in higher education and suggest alternative admissions policies such as class-based affirmative action. Mitchell Stevens (2009) argues that merit-based admissions systems can lead to a lack of diversity and homogenization of the student body and that alternative admissions policies should be considered. Daniel Markovits (2019) argues that meritocracy is a trap that leads people to believe that their success is based on their own individual merit, when in fact it is largely determined by their social and economic heritage. Merit-based admissions may exacerbate inequalities in society by giving advantages to students from more affluent backgrounds who have more access to resources and opportunities, which helps them excel academically (Carnevale et al. 2020; Cudd 2022; Liu 2011).
On the other hand, there are researchers and scholars who defend the merit-based admissions system and argue that among other benefits it also leads to a more qualified and diverse student body. It is worth noting that the impact of meritocratic university admissions varies depending on the specific context, such as the country and higher education system. Here are a few potential benefits that have been studied in academic literature:
  • Access to higher education: Merit-based admissions may lead to increased access to higher education, especially for students from lower-income families who have excelled academically (Toutkoushian and Hillman 2012; Wikström and Wikström 2020). In his book Choosing Elites, Robert Klitgaard says that merit-based systems lead to increased access to higher education for talented students, regardless of their socioeconomic background (Klitgaard 1985).
  • Social mobility: Merit-based admissions may lead to increased social mobility in higher education, as students from lower-income backgrounds may have a better chance of getting a university degree and thus moving up the income ladder (Baum et al. 2013; Haskins 2008; Hearn and Rosinger 2014; Heo 2019).
  • Diversity: Merit-based admissions may also lead to increased racial and ethnic diversity in higher education, as students from under-represented minority groups who excel academically may have a better chance of being admitted to prestigious universities (Carnevale et al. 2014; Espenshade and Radford 2009).
This paper offers several important contributions to the research on meritocracy and university admission systems. In particular, this study investigates the impact of meritocracy on social mobility, as measured by attained education and future labor income. It specifically looks at how this impact varies for individuals with high and low socioeconomic backgrounds. Additionally, the study examines the persistence of these impacts by comparing different birth cohorts. Overall, the goal is to understand whether meritocracy can be an effective tool for promoting social mobility and reducing income inequality.
To study the impacts of meritocracy, we combine the insights from a theoretical economic model with causal evidence from a natural experiment. First, we build a model of the university admission system and derive predictions for the expected economic impacts. Using the theoretical economic model, we show that moving from a plutocratic to a meritocratic admission system can have a positive impact on society as a whole. Specifically, it can increase the average labor income, decrease the income gap between those with high and low socioeconomic backgrounds, and improve the average level of education for those with low socioeconomic backgrounds. Secondly, we show the correctness of our predictions using simulation. Finally, we test these predictions using the university admission reform in Georgia (country) as a natural experiment. In 2005, a centralized, completely merit-based university admission system replaced Georgia’s existing decentralized and notoriously corrupt admission system. We regard this reform as a change from a plutocratic, i.e., wealth-based, to a meritocratic system and use it to identify the impacts of meritocracy. This empirical study employs the household survey data of Georgia over eight years (2012–2019), which contains over 170,000 individuals.

Country Background

After the breakup of the Soviet Union in 1991, Georgia gained independence and started a transformation process from a centrally planned economy to a market economy. The process of establishing higher education institutions (we will refer to them as universities throughout the paper) became easier, resulting in a drastic increase in universities. The number of universities, both public and private, reached its peak of 198 by the 2004–2005 academic year, when the reforming of the education system started in Georgia. The new government, formed after the Rose Revolution in 2003, set out to modernize and improve the country’s education system with the goal of aligning it with European standards. One of the key changes implemented was the introduction of a new, more rigorous curriculum and standardized testing. The government also invested heavily in the modernization of school infrastructure and the training of teachers. This included the construction of new schools and the renovation of existing ones, as well as the implementation of teacher training programs. Most importantly, the government introduced a number of new educational policies aimed at increasing access to education, particularly for under-represented groups such as rural residents and ethnic minorities. These policies included the expansion of the preschool education system and the implementation of a school voucher program, which allowed parents to choose which school their child would attend.
As a result of increased standards and requirements, the number of universities gradually declined to 62 by the 2019–2020 academic year. Public universities decreased from 26 in 2000–2001 to 19 in 2019–2020, whereas private universities dropped from 145 to 43 in the same years (Table 1). The remaining private universities increased in size so that the share of students in private universities did not decline; on the contrary, the share of students in private universities increased from 24 percent in 2000–2001 to 36 percent in the 2019–2020 academic year.
In 2005, Georgia introduced a reform to its university admission system, which aimed to make the process more centralized and standardized. This reform replaced the previous system, which was based on local exams, and thus was highly corrupted. A newly established National Assessment and Examinations Centre (NAEC) became responsible for conducting centralized university entry exams ever since. The Unified National Exams (UNEs) were implemented to assess the knowledge and skills of students in a more standardized and objective way and to improve the overall quality of education in the country. As a result, the UNEs improved the fairness and objectivity of the assessment process and ensured equal opportunities from all regions of the country. To enter any public or private university in Georgia, applicants are required to pass three mandatory exams (Georgian, General Ability Test, Foreign Language) and one or more elective exams from Art, Biology, Chemistry, Civil Education, Geography, History, Literature, Math, and Physics. Admission is based on a placement score, calculated as a weighted sum of scores in each subject. Weights for each program are priority coefficients assigned to required subjects, but the sum of weights (priorities) is the same for each program. This was a breakthrough in reforming deep-rooted corruption in the post-Soviet education system, securing fair competition among the applicants in Georgia (Berglund and Engvall 2015; Chankseliani 2013; Gorgodze and Chakhaia 2021; Rostiashvili 2011). The UNEs were widely recognized as one of the most successful reforms by international organizations as well as by the population itself, observing instant direct benefits through eliminating bribery practices (Andguladze and Mindadze 2018; World Bank 2012). However, the education reform was also criticized by some for being too focused on standardized testing and for ignoring the importance of creativity and critical thinking in education. There were also concerns about the lack of resources and funding for the education system, which hindered the full implementation of the new policies.
In 2005, Georgia underwent a transformation in its education financing model as well. Prior to this change, the education financing model in Georgia followed a centralized approach, where the government directly allocated funds to public higher education institutions (HEIs). However, this system suffered from issues related to transparency and efficiency, raising concerns about potential fund misuse and hindering the development of a competitive environment among HEIs. To address these shortcomings, the state grant voucher system was introduced in 2005. This system aimed to enhance efficiency and transparency and reduce corruption. It has effectively achieved these objectives and has stimulated healthy competition between public and private HEIs. The state grant voucher scheme operates on the principle of “money follows the student.” Based on their UNE scores, eligible students receive a state grant (voucher) that covers either 100 percent, 70 percent, or 50 percent of the maximum public tuition fee, which is determined by the government. Students are empowered to choose their preferred institution, whether public or private, and the state grant is applied to cover their tuition fees. Next to these merit-based grants, there are limited numbers of need-based grants for students from disadvantaged backgrounds. The introduction of the state grant voucher system in 2005 marked a significant improvement by adopting a more transparent, student-centered approach to education financing. This approach empowered students to make choices, thereby fostering healthy competition among institutions and providing them with incentives to enhance the quality of education.
Overall, the education reform in Georgia that began after the Rose Revolution in 2003 brought significant changes to the country’s education system. While progress was made in improving the quality of education and increasing access to education, there were also challenges and criticisms of the reform. Thus, it is important to evaluate the economic impact of educational reforms by comparing the educational and career outcomes of individuals who would have attended university before and after the reform. The introduction of the UNE reform is seen as a shift from plutocracy to meritocracy, and the effects can be measured by comparing the control and treated groups as outlined in the empirical methodology section.
The rest of the paper is organized as follows. Section 2 describes the theoretical model, formulates predictions, and shows the simulated results of the model. Section 3 gives the details of the empirical methodology, describes the data, and provides regression results to test the model assumptions. The last section summarizes empirical findings and concludes.

2. Model

This section provides the theoretical framework of the university admission system to guide the interpretation of empirical findings. The theoretical model examines the economic effects of moving from plutocracy to meritocracy.

2.1. Environment

The economy is populated by school graduates, indexed by I ∈ {1, …, I}, and has an endowment of university places, indexed by p ∈ {1, …, P}. School graduates are heterogeneous in terms of their socioeconomic status w ∈ R+ and human capital h ∈ R+. University places are homogeneous and scarce, i.e., P < I. A university admission rule is a mapping that decides whether a school graduate with characteristics (w, h) becomes a university student or not.
Depending on the educational trajectory E i ∈ {0, 1}, individuals enter the labor market with a terminal human capital H i , as described in Equation (1).
H i = E i A h i γ + 1 E i h i
where A > 0 is the total factor productivity and γ > 1 is the elasticity of produced university human capital with respect to school human capital. On the one hand, university graduates with E i = 1 continue building their human capital on top of their school knowledge h i and enter the labor market with the terminal human capital H i = A h i γ . On the other hand, school graduates who do not go to university stop building their human capital and enter the labor market with the terminal human capital H i = h i . The parameter restriction on the production elasticity ensures that, due to increasing returns, better school students benefit more from university. Had we opted for diminishing returns, the best students with h i > A 1 1 γ would be better off without university. The latter does not have much empirical support. Moreover, increasing return also justifies the widely accepted meritocracy principle in university admission. Even though meritocracy is the socially optimal university admission rule, it is not always implemented in practice. Several reasons for deviating from the meritocratic principle might be corrupt decentralized university systems or affirmative action. Depending on the status quo, the impacts of the implementation of the meritocratic principle will vary. In this paper, we focus on the transition from a plutocratic to a meritocratic system. To abstract from the complexities of the real world and keep the model tractable, we consider the admission rules θ of the type described in Equations (2)–(4):
E i = 1   {   s h , w , α c *   }
with
s h , w , α = α h i + 1 α w i
and
c * = Q s 1 P I
Here, s h , w , α is the score of the applicant, parameter α ∈ [0, 1] governs the importance of meritocracy in the admission rule, and c * is the equilibrium cutoff score. When α = 0, the rule is plutocratic, i.e., status-based, and fully depends on the socioeconomic status of a school graduate. When α = 1, the rule is meritocratic, i.e., based on the initial human capital. The equilibrium cutoff score is the 1 P I -th quantile of the score distribution Q s and is the minimal score required to be admitted to university. Consequently, the cutoff is a function of the number of places at higher education institutions P, and the number of applicants I, as well as the admission rule parameter α and the joint distribution of status and skills in the economy with cdf G(h, w) and pdf g(h, w).
Everything is common knowledge. A competitive labor market uses the terminal human capital as a production input and pays the marginal product. Normalizing the output price to 1, the individual labor income y i is described in Equation (5):
y i = H i

2.2. Model Predictions

Coming back to the purpose of our model, this subsection derives several theoretical predictions of the labor market outcomes when the university admission rule becomes meritocratic, i.e., when α rises from αL ∈ (0, 1) to αH ∈ (0, 1). In what follows, we describe a number of expected short-term impacts. Short-run impacts take the population distribution of skills and socioeconomic status (SES) as given and fixed.
Prediction 1.
Average labor income (weakly) rises in the economy, i.e., E y i ( α H ) E y i ( α L ) (proof is provided in Appendix A).
School graduates with w < w ¯ gain from meritocracy and students with w < w ¯ lose. The two quantities in the equation above are average gains and average losses, respectively. The first is positive and the second is negative. We show that the derivative is weakly positive by showing that the smallest gain is at least as large as the largest loss.
Who wins? W h , w : w < w ¯ & h h ¯ w , α
M i n i m a l   G a i n = min ( h , w ) W ( A h γ h ) = min w w ¯   min h h ¯ w , α ( A h γ h )
Gain rises with initial skill. Thus, for given w , minimal gain is realized by h ¯ w , α . Moreover, for α ( 0,1 ) , h ¯ w , α decreases in w . Hence, the minimal gain is realized for the highest possible socioeconomic status (SES) and lowest possible skill.
M i n i m a l   G a i n = A h ¯ w , α γ h ¯ w , α
The maximal loss is computed in a similar way.
Who loses? L h , w : w < w ¯ & h h ¯ w , α
M a x i m a l   L o s s = max ( h , w ) L ( A h γ h ) = max w w ¯   min h h ¯ w , α ( A h γ h )
Loss rises with initial skill. Thus, for given w , maximal gain is realized by h ¯ w , α . Moreover, for α ( 0,1 ) , h ¯ w , α decreases in w . Hence, the maximal loss is realized for the lowest possible SES and highest possible skill.
M a x i m a l   L o s s = A h ¯ w , α γ h ¯ w , α
One applicant’s gain is another applicant’s loss, as the number of places is unchanged in the system. Since M a x i m a l   L o s s = M i n i m a l   G a i n   A v e r a g e   l o s s A v e r a g e   G a i n , it implies that the rise in meritocracy weakly raises average labor earnings in the economy.
Prediction 2.
The average labor income of low-SES individuals rises and that of high-SES individuals falls.
Proof. 
It follows from 1 that low SES with w w ¯  gain and others lose. □
The logic is that a bigger share of low-SES individuals is admitted into the university and thus they generate higher labor income afterwards under meritocracy than in a plutocracy admission system. And the opposite is true for high-SES individuals.
Prediction 3.
Education levels of low-SES individuals rise and that of high-SES individuals fall.
Proof is following the logic in prediction 1 (see Appendix A for a detailed proof):
E E i α | w = 0   i f   w w ¯ 0   i f   w w ¯
The logic is that a bigger share of low-SES individuals and a lower share of high-SES individuals will be admitted into the university under meritocracy than in the plutocracy admission system.

2.3. Model Limitations and Discussion

The model in this paper serves as a simplified theoretical framework, offering broad and informative predictions. It is important to note that the paper does not estimate the structural parameters of the model, and there are several reasons for this choice. First, there is a lack of high-quality data required for the clear identification of the underlying parameters. Second, due to these data limitations, we have intentionally kept the model general to ensure that our conclusions are not overly tailored to the Georgian context, making them more widely applicable. Lastly, our empirical methodology allows us to compute sufficient statistics for the economic factors of interest without the need to estimate structural parameters.
Despite this limitation, the paper does provide a brief insight into how model parameters might be identified. For instance, the educational gradient concerning socioeconomic status (SES) shortly after the introduction of meritocratic university admissions offers insights into the correlation between SES and school-based human capital. If children of wealthier parents tend to accumulate more human capital, the correlation remains positive, and the wealth gradient persists even after meritocratic university admissions are introduced. Conversely, if children of wealthier parents are less academically inclined, the correlation might be negative, potentially leading to a reversal of the wealth gradient. It is important to acknowledge that this correlation is not a fixed entity and will evolve over time, especially as wealthier parents adjust their children’s school-based human capital in response to university admission reforms. These adjustments will vary depending on the specific education system and will be influenced by factors like institutional characteristics, the quality of education, and the overall equity in compulsory education.
The initial value of α, the meritocracy parameter, can be derived from the pre-policy education gradient, given the correlation between SES and school skills. When the pre-policy system is entirely plutocratic (i.e., α → 0), there exists a wealth threshold. Above this threshold, everyone gains access to university education, while below it, nobody does. The introduction of meritocracy moderates the steepness of the wealth-based gradient, but there are inherent limitations to what meritocracy can achieve. Its impact is constrained by the underlying correlation. Given the distributional and meritocracy parameters, variations in labor earnings between university-educated and school-educated students can help determine the skill production technology parameters A and γ, which govern the returns on university education.

2.4. Simulations

In order to validate the accuracy of our model predictions, we conducted a numerical simulation involving 100 school graduates competing for 60 available university places. Each individual was assigned random characteristics from a uniform distribution ( w U ( 0,100 ) , h   U ( 0,100 ) ). Subsequently, we calculated scores based on Equation (3), admission decisions using Equation (2), and labor income using Equation (1), employing various assumed values for the parameters α , A, and γ . To assess the validity of our predictions, we performed 100 simulation runs for each distinct value of α , documenting the outcomes for further analysis. This rigorous testing approach ensures a robust evaluation of the model’s performance and provides reliable insights into the effects of different parameter values on the system.
For prediction 1, we compare average labor incomes for different values of α . In Figure 1, we present the average labor income along with a 95% confidence interval for different levels of α . These results are based on specific assumed values of γ = 1.5 and A = 1.1 .
The simulation results indicate that there is a positive relationship between the level of meritocracy in the admission system ( α ) and average income. As α increases, average labor income also increases. However, the simulation model reveals that once α reaches a certain threshold (≥0.7), further improvements in the meritocratic nature of the system do not lead to significant changes in average labor income. To ensure the robustness of our findings, we conducted additional simulations by varying the values of parameters A and γ . In Figure 2 and Figure 3, we present the results of these simulations, which corroborate the validity of the first prediction. These results underscore the consistency of our findings across different scenarios and parameter values, reinforcing the reliability of our conclusions.
To examine the second prediction, we conducted a comparison of average labor incomes between two groups: individuals from high socioeconomic backgrounds and individuals from low socioeconomic backgrounds. We categorized individuals as low SES if their wealth ( w ) is less than or equal to 50 and as high SES if their wealth exceeds 50. Figure 4 illustrates the findings for a specific set of parameters, but it is important to note that these results hold true across various values of γ   a n d   A . By analyzing the data, we observed a clear distinction in average labor incomes between the two socioeconomic groups. This supports the second prediction and highlights the role of a merit-based admission system in promoting greater economic equality and upward mobility for individuals from disadvantaged backgrounds. These results remain consistent and robust across different scenarios, further reinforcing the reliability and validity of our findings.
According to our simulation model, when a fully meritocratic system is implemented and an equal proportion of high- and low-socioeconomic-status individuals are admitted to the university, both groups have, on average, the same level of ability (h). Consequently, their labor incomes do not differ significantly. However, as the university admission system transitions from a plutocracy to a meritocracy ( α increases), we observe notable changes in average labor incomes. Specifically, the average labor income of low-SES individuals experiences an increase, while that of high-SES individuals declines.
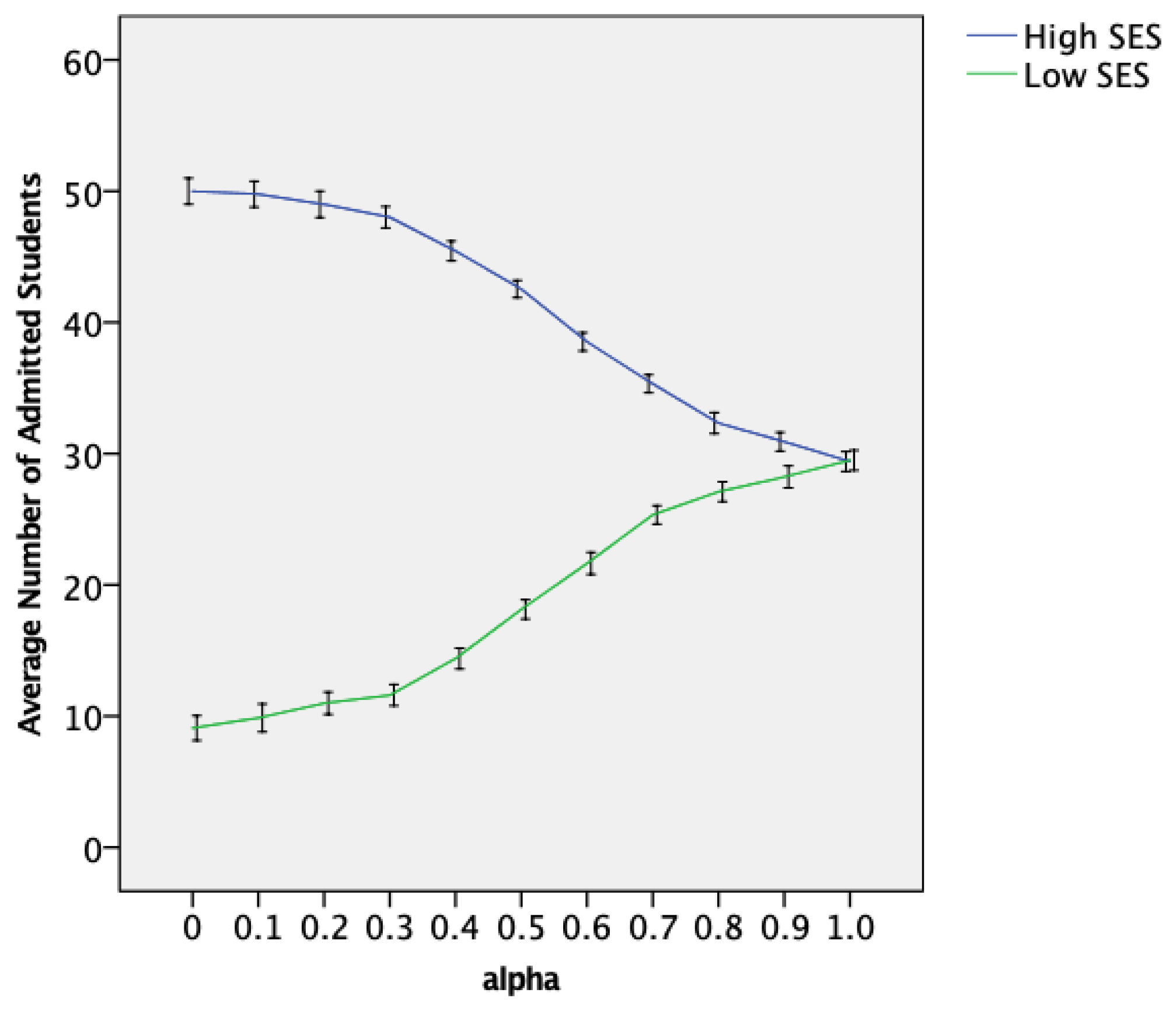
To test the third prediction, we calculated the average number of admitted individuals for both high- and low-SES groups using our simulation data. The results, presented in Figure 5 along with 95% confidence intervals, provide insights into the average number of admitted individuals for each group. These findings support the third prediction and underscore the impact of a merit-based admission system on promoting greater educational opportunities for individuals from disadvantaged backgrounds, while diminishing the advantages enjoyed by individuals from more privileged backgrounds. The results remain robust across various scenarios and further enhance the credibility and validity of our conclusions.
Figure 5 provides a visual representation of the relationship between the level of meritocracy in the university admission system ( α ) and the number of admitted individuals from different socioeconomic status groups. As the admission system becomes more meritocratic, we observe a decline in the number of admitted individuals from high-SES backgrounds and an increase in the number of admitted individuals from low-SES backgrounds. In a fully meritocratic system ( α = 1), the simulation results indicate that an approximately equal number of individuals from both low- and high-SES groups are accepted into the university. This occurs because the distribution of abilities ( h ) was uniform across all individuals in our simulation model. Conversely, in a fully plutocratic system ( α = 0), all individuals from high-SES backgrounds are admitted to the university, while the remaining places are occupied by individuals from low-SES backgrounds. These findings demonstrate the significant impact of the admission system on the representation of different SES groups within the university. A more meritocratic approach leads to a more equitable distribution of admissions, allowing individuals from diverse socioeconomic backgrounds to have equal opportunities for higher education.

3. Data and Empirical Methodology

3.1. Data

The National Statistics Office of Georgia (GeoStat) has conducted and published Integrated Household Survey (IHS) data annually since 1998. These data include information on employment and income, but before 2017, these questionnaires were combined. However, since then, the questionnaires have been separated, and more detailed data are collected and published under the title of the Labor Force Survey (LFS). The IHS data went through several changes during the period of 1998–2016, and since 2012, all the variables have been well classified and are comparable across years. Therefore, in this study, we use both IHS data from 2012–2016 and LFS data from 2017–2019. A comprehensive data cleaning process was undertaken to merge and append these datasets, as described in more detail below. Datasets are freely available at official GeoStat web page1.
Both the IHS and LFS Surveys cover the whole area of Georgia, excluding occupied territories of the country. In 1998–2016, the sample size of the IHS was about 3400 households, and it was about 6000 in 2017–2018. Until 2017, each sampled household was interviewed four times in a row for four quarters, assigning different unique identification (UID) numbers each time. The households that participated in the sample four times were excluded from the sample, and they were replaced by another randomly selected household from the same cluster (household rotation). In each month, the share of newly selected households in the total sample was 1/12; this rotation scheme allowed the renewal of the whole sample every 12 months. Thus, the actual 2012–2016 IHS data have around 11 thousand family interviews, with about 30–32 thousand individual observations annually on average (Table 2). Since 2017, a new rotation scheme 2-(2)-2 was adopted, which means that a sampled household is interviewed for two consecutive quarters and then interviewed again for the same two quarters of the next year. In each quarter, the share of newly selected households in the total sample is 1/4. Each year, the LFS covers about 20–21 thousand families (Table 2), and individual-level data of about 55–61 thousand individuals are published publicly on the official web page of GeoStat. To obtain the final master data for the analysis, we merged, appended, and cleaned the HIS and LFS databases. Overall, we have 330,664 observations during the 2012–2019 years (Table 2).
To perform our analysis, we generated new variables. “Net earnings real” was calculated by using Consumer Price Index (CPI) data from GeoStat to convert monthly nominal net earnings into real net earnings. We created dummy variable called “High SES”, which equals 1 if an individual has at least one parent with high education and 0 otherwise. This variable was used as a proxy for the socioeconomic status of the individual in the analysis.
The dataset also includes information on individuals’ living place, sex, region, and nationality. Summary statistics is provided in Table 3. The “Urban Rural” variable indicates whether an individual lives in an urban (1) or rural (2) area. The “Sex” variable has a value of 1 for females and 2 for males. The study also controls for regional differences by including a “Region” variable with 10 unique values, including Tbilisi (capital city) as a separate category. To analyze the labor market outcomes, only individuals with a positive income were considered, resulting in a sample of around 85,000 individuals. The dataset includes 10 different nationalities, coded from 1 to 9, with 97 representing other nationalities. The majority of the sample, 86%, are Georgian nationals, followed by Armenians (6%) and Azerbaijanis (5%).

3.2. Empirical Methodology

Our empirical methodology aims to test the predictions of the model and derive economically meaningful conclusions about the impacts of meritocracy. To achieve this, we formulated the problem in terms of the treatment effects framework and propose empirical specifications that capture quantities of interest.
Changes in the university admission system, henceforth termed policy changes, impact a variety of outcomes in heterogeneous ways. In general, we define the individual-level treatment effect as follows:
τ h , w = Y α H , h , w Y ( α L , h , w )
where Y α , h , w is the potential outcome Y for a student with h skills, SES, and w under the admission system α . We proxied SES with attained parental education, as described above. The fundamental problem of treatment analysis is that we do not observe the same student in the two regimes. In addition, we cannot explicitly condition on h , as we do not observe the high school skills of individuals in the household survey data. Furthermore, we are unable to distinguish between who was actually treated by the policy and who was not. However, the birth year of the individual reveals the information about whether a student was intended to be treated or not. Thus, our empirical approach seeks to identify and estimate Intent to Treat (ITT) Effects of the policy. In order to identify ITT Effects of the policy, we applied a difference in differences (DID) framework.
Our analysis focuses on age groups that have the potential to have graduated from a typical 4-year bachelor’s program. We limited our sample to relevant birth cohorts to ensure that we captured the intended policy impacts. We compared two groups: those who were required to take UNEs to enter university and those who were not. The expected applicant age is 17, and the first UNEs were organized in 2005. Those born before 1988 were not required to take the UNEs, while those born in 1988 and after were required to take them.
To avoid mistakes caused by university entry age volatility, we skipped one cohort, year 1988. Also, to check the persistence of the impact, we changed the treatment group cohorts by one year and analyzed different scenarios. Three scenarios were defined accordingly: (1) skipping those born in 1988 and comparing two groups of people, those born during 1982–1987 (control group) and those born during 1989–1994 (treatment group); (2) comparing the same control group to a new treatment group, those born during 1990–1995; and (3) comparing the same control group to a new treatment group, those born during 1991–1996. For each scenario, we took five-year cohorts and defined NAEC dummy variables accordingly. The NAEC is equal to 0 for the control group and 1 for the treatment group. For example, in scenario 1, NAEC = 0 if a person was born between 1982 and 1987 and NAEC = 1 if a person was born between 1989 and 1994. The control group includes individuals who could have entered university before the reform, between 1999 and 2004, and the treatment group includes those who could have entered university after the reform, between 2006 and 2011 (Figure 6, green row). The blue and yellow rows in Figure 6 represent scenario 2 and scenario 3, respectively.
In the initial model, using Equation (6), we controlled for individual factors such as gender, age, nationality, region of residence, and year fixed effects.
Y i = β 0 + β 1 N A E C + β 2 A g e i + β 3 A g e i 2 + β 4 G e n d e r i + β 5 11 Y e a r   d u m m i e s + β 12 20   R e g i o n   D u m m i e s + β 21 29   N a t i o n a l i t y i + ε i
where Y i is the real net income of person i . To estimate parameters, we used OLS on pooled data. The results are summarized in Table 4.
The columns in Table 4 represent different scenarios, defined above. The results show that after the reform cohorts have higher real-labor income, they confirm the first prediction of the model. The results are robust to changes in cohort years. For example, in scenario 1 of the current model, the control group contains individuals born over a period of 6 years (1982–1987), and the treatment group also contains individuals born over a period of 6 years (1989–1994). The results do not change if we reduce the year range from 6 to 5 or 4 years.
To test the second prediction of the model, we used the above-defined High SES dummy variable. The dummy variable High SES equals 1 if a person has at least one parent with high education and equals 0 otherwise. Regression Equation (7) includes the interaction term of the NAEC and High SES dummy variables.
Y i = β 0 + β 1 N A E C × H i g h _ S E S i + β 2 A g e i + β 3 A g e i 2 + β 4 G e n d e r i + β 5 11 Y e a r   d u m m i e s + β 12 20   R e g i o n   D u m m i e s + β 21 29   N a t i o n a l i t y i + ε i
The coefficient of the interaction term (NAEC = 1 and High SES = 1) is an estimated value of the difference in differences, showing that after the reform, the average real income for those with at least one parent with high education declined by about GEL 37 (34.62–71.63, Table 5, column 1), whereas for those with low SES it increased by GEL 34.62 (coefficient for NAEC dummy variable, Table 5, column 1). The results are similar in all scenarios, supporting our second prediction.
In order to test the third prediction, we used years of education as a dependent variable in regression Equation (7). The results are reported in Table 6.
According to the results, the average years of education for people with low SES has increased from 0.6 to 0.9 years (Table 6, coefficient for NAEC dummy variable) across different scenarios due to the change in the admission system from plutocratic to meritocratic. The average years of education of people with high SES declined by 0.441 (0.646–1.087) in scenario 1 and by 0.557 and 0.922 in scenarios 2 and 3, respectively, which supports our prediction 3.

4. Conclusions

This paper contributes to the debate about the impact of meritocracy by identifying the economic benefits of moving from a plutocratic to a more meritocratic admission system. In a meritocratic education system, access to education and opportunities is based on one’s abilities and achievements, rather than one’s wealth or social status. The paper provides theoretical as well as evidence-based research and analysis. Our findings indicate that a merit-based university admission system has several benefits. Firstly, the meritocratic admission system in higher education leads to an increase in average labor income across the economy and promotes economic opportunities for all. This is because a merit-based system ensures that individuals with the most potential are given the opportunity to pursue higher education, which in turn leads to better job opportunities and higher earning potential. Secondly, it promotes greater economic equality and upward mobility for individuals from disadvantaged backgrounds. By removing barriers to entry based on socioeconomic status, a merit-based system allows individuals from disadvantaged backgrounds to compete on a level playing field, which can help to reduce economic inequality. Lastly, it leads to increased educational opportunities for those from disadvantaged backgrounds and reduces educational privilege for those from more privileged backgrounds. By removing the role of family background in determining university admission, a merit-based system ensures that all individuals have an equal chance to pursue higher education, regardless of their background. This helps to reduce the impact of educational privilege and promotes greater educational opportunities for all. This paper supports the idea that transitioning from a plutocratic to a more meritocratic admission system in higher education is beneficial. While achieving a completely meritocratic admission system in higher education may not be entirely realistic, educational policies should focus on creating opportunities for all, regardless of their socioeconomic status. Policymakers should aim to design policies that promote greater economic equality through merit-based admissions. It is crucial to consider these advantages when formulating policy decisions and directing future research endeavors in this domain. By embracing meritocracy, societies can foster greater equality, enhance economic prospects, and provide equitable access to education for individuals from all walks of life.

Funding

This research received no external funding.

Institutional Review Board Statement

Not applicable.

Informed Consent Statement

Not applicable.

Data Availability Statement

The data utilized in this study is publicly available and can be accessed through the following source: https://www.geostat.ge/en/modules/categories/127/databases, Accessed on 20 May 2023.

Conflicts of Interest

The author declares no conflict of interest.

Appendix A

Proof of Prediction 1.
We need to show that E y i ( α ) α 0 .
E y i α = E H i α = E E i α A h i γ + 1 E i α h i = = E h i + 1 α h i + 1 α w i c * A h i γ h i = E h i + 1 h i c * w i α + w i A h i γ h i = E h i + 1 h i h ¯ w , α A h i γ h i = = 0 0 h g ( h , w ) d h d w + 0 h ¯ ( w , α ) A h γ h g ( h , w ) d h d w
E y i α α = 0 h ¯ w , α α A h ¯ w , α γ h ¯ w , α g h ¯ w , α , w d w = 0 c * α α c * α + w α 2 A h ¯ w , α γ h ¯ w , α   g h ¯ w , α , w d w = 0 w ¯ c * α α c * α + w α 2 A h ¯ w , α γ h ¯ w , α   g h ¯ w , α , w d w w ¯ c * α α c * α + w α 2 ( A h ¯ w , α γ h ¯ w , α )   g h ¯ w , α , w d w
where w ¯ = c * α α c * α . □
Proof of Prediction 3.
E E i α | w = E 1 { α h + 1 α w c * } | w = P h w + c * w α | w = 1 F h | w w + c * w α E E i α | w α = f h | w w + c * w α c * α α c * α + w α 2 = 0   i f   w w ¯ 0   i f   w w ¯

Note

1

References

  1. Andguladze, Natia, and Iwa Mindadze. 2018. Chapter 8 in Standard setting in Georgia: The unified national examinations. In Examination Standards: How Measures and Meanings Differ around the World. London: UCL IOE Press, pp. 133–51. [Google Scholar]
  2. Baum, Sandy, Jennifer Ma, and Kathleen Payea. 2013. Education Pays, 2013: The Benefits of Higher Education for Individuals and Society; Trends in Higher Education Series; New York: College Board. Available online: https://eric.ed.gov/?id=eD572537 (accessed on 25 May 2023).
  3. Berglund, Christofer, and Johan Engvall. 2015. How Georgia stamped out corruption on campus. Foreign Policy 3: 2015. [Google Scholar]
  4. Bills, David B. 2019. The problem of meritocracy: The belief in achievement, credentials and justice. In Research Handbook on the Sociology of Education. Cheltenham: Edward Elgar Publishing. [Google Scholar]
  5. Carnevale, Anthony P., Jeff Strohl, and Stephen J. Rose. 2014. Achieving Racial and Economic Diversity with Race-Blind Admissions Policy. Washington, DC: Georgetown University Center on Education and the Workforce. [Google Scholar]
  6. Carnevale, Anthony P., Peter Schmidt, and Jeff Strohl. 2020. The Merit Myth: How Our Colleges Favor the Rich and Divide America. New York: The New Press. [Google Scholar]
  7. Chankseliani, Maia. 2013. Higher education access in Post-Soviet Georgia: Overcoming a legacy of corruption. In Fairness in Access to Higher Education in a Global Perspective. Leiden: Brill, pp. 171–87. [Google Scholar]
  8. Cudd, Ann E. 2022. “Merit” in University Admissions. In Education, Inclusion, and Justice. Berlin: Springer, pp. 191–204. [Google Scholar]
  9. Espenshade, Thomas J., and Alexandria Walton Radford. 2009. No longer separate, not yet equal. In No Longer Separate, Not Yet Equal. Princeton: Princeton University Press. [Google Scholar]
  10. Gorgodze, Sophia, and Lela Chakhaia. 2021. The uses and misuses of centralised high stakes examinations-Assessment Policy and Practice in Georgia. Assessment in Education: Principles, Policy & Practice 28: 322–42. [Google Scholar]
  11. Haskins, Ron. 2008. Education and economic mobility. In Getting Ahead or Losing Ground: Economic Mobility in America. Washington, DC: Brookings Institution Press, pp. 99–104. [Google Scholar]
  12. Hearn, James C., and Kelly Ochs Rosinger. 2014. Socioeconomic diversity in selective private colleges: An organizational analysis. The Review of Higher Education 38: 71–104. [Google Scholar] [CrossRef]
  13. Heo, Eun Jeong. 2019. Equity and diversity in college admissions. In The Future of Economic Design. Berlin: Springer, pp. 473–78. [Google Scholar]
  14. Kahlenberg, Richard D. 2014. The Future of Affirmative Action New Paths to Higher Education Diversity after Fisher v. University of Texas. New York: The Century Foundation. [Google Scholar]
  15. Kahlenberg, Richard D., and Halley Potter. 2014. A smarter Charter: Finding What Works for Charter Schools and Public Education. New York: Teachers College Press. [Google Scholar]
  16. Klitgaard, Robert. 1985. Choosing Elites. New York: Basic Books, Inc. [Google Scholar]
  17. Liu, Amy. 2011. Unraveling the myth of meritocracy within the context of US higher education. Higher Education 62: 383–97. [Google Scholar]
  18. Markovits, Daniel. 2019. The Meritocracy Trap. New York: Penguin UK. [Google Scholar]
  19. Rostiashvili, Ketevan. 2011. Higher education in transition: From corruption to freedom of information in Post-Soviet Georgia. European Education 43: 26–44. [Google Scholar]
  20. Stevens, Mitchell L. 2009. Creating a Class. Cambridge: Harvard University Press. [Google Scholar]
  21. Toutkoushian, Robert K., and Nicholas W. Hillman. 2012. The impact of state appropriations and grants on access to higher education and outmigration. The Review of Higher Education 36: 51–90. [Google Scholar] [CrossRef]
  22. Wikström, Christina, and Mangus Wikström. 2020. Merit-based admissions in higher education. Higher Education Admission Practices: An International Perspective 34: 4–15. [Google Scholar]
  23. World Bank. 2012. Fighting Corruption in Public Services: Chronicling Georgia’s Reforms. Washington, DC: The World Bank. [Google Scholar]
  24. Young, Michael. 2017. The Rise of the Meritocracy. Oxfordshire: Routledge. [Google Scholar]
Figure 1. Average labor income ( γ = 1.5 and A = 1.1   a s s u m e d ) , with 95% CI error bars.
Figure 1. Average labor income ( γ = 1.5 and A = 1.1   a s s u m e d ) , with 95% CI error bars.
Socsci 12 00599 g001
Figure 2. Average labor income for different types of admission systems by TFP levels ( γ = 1.5   a s s u m e d ) , with 95% CI error bars.
Figure 2. Average labor income for different types of admission systems by TFP levels ( γ = 1.5   a s s u m e d ) , with 95% CI error bars.
Socsci 12 00599 g002
Figure 3. Average labor income for different types of admission system by γ (Gama) levels ( A = 1.1   a s s u m e d ) , with 95% CI error bars.
Figure 3. Average labor income for different types of admission system by γ (Gama) levels ( A = 1.1   a s s u m e d ) , with 95% CI error bars.
Socsci 12 00599 g003
Figure 4. Average labor income by SES ( γ = 1.3 ,   A = 1.1   a s s u m e d ) , with 95% CI error bars.
Figure 4. Average labor income by SES ( γ = 1.3 ,   A = 1.1   a s s u m e d ) , with 95% CI error bars.
Socsci 12 00599 g004
Figure 5. Average number of admitted individuals by SES, with 95% CI error bars.
Figure 5. Average number of admitted individuals by SES, with 95% CI error bars.
Socsci 12 00599 g005
Figure 6. Treatment and control groups, three scenarios by birth year. Note: control group birth year ∈ [1982; 1987]; treatment group birth year ∈ [1989; 1994]—scenario 1, [1990; 1995]—scenario 2, and [1991; 1996]—scenario 3.
Figure 6. Treatment and control groups, three scenarios by birth year. Note: control group birth year ∈ [1982; 1987]; treatment group birth year ∈ [1989; 1994]—scenario 1, [1990; 1995]—scenario 2, and [1991; 1996]—scenario 3.
Socsci 12 00599 g006
Table 1. Higher education institutions and enrolment.
Table 1. Higher education institutions and enrolment.
Academic YearPublic Institutions, UnitNumber of Students at Public Institutions, PersonsPrivate Institutions, UnitNumber of Students at Private Institutions, Persons
2000–200126105,82214533,138
2001–200226115,54615331,887
2002–200326122,22315431,465
2003–200426123,86615029,388
2004–200526137,02117235,440
2005–200625113,80114030,078
2006–200718110,84614829,961
2007–20081981,18913730,914
2008–20092066,49810927,139
2009–20102174,05610828,654
2011–20121970,9223324,188
2012–20131980,0093829,524
2013–20142083,2504634,460
2014–20152086,2475337,976
2015–20162090,4525442,492
2016–20172091,7405448,521
2017–20182093,6275550,181
2018–20191995,9234451,791
2019–20201995,5354353,268
Source: National Statistics Office of Georgia (GeoStat); https://www.geostat.ge/en/modules/categories/61/higher-education (Accessed on 20 May 2023).
Table 2. IHS 2012–2016 summary statistics.
Table 2. IHS 2012–2016 summary statistics.
YearN of Obs.N of UIDsAverage Monthly Net Earnings (Nominal, GEL)
201232,03211,276330.3
201331,71511,102371.3
201431,49111,165394.8
201530,42210,999427.4
201630,15310,858452.2
201754,82420,486483.3
201858,64120,349518.7
201961,38621,501551.7
Source: National Statistics Office of Georgia (GeoStat) Integrated Household Survey data, 2012–2016; Labor Force Survey data, 2017–2019.
Table 3. Summary statistics.
Table 3. Summary statistics.
MeanNMinMaxMedian
Years of education12.047330,66202111
Net earnings real377.81585,45337.4222337.104279.018
Age47.381330,6641510647
Sex1.465330,664121
Urban Rural1.608330,664122
Year2016.12330,664201220192017
Region29.278330,664114729
Nationality1.783330,6641971
Hight SES0.24289,937010
Table 4. Regression results: dependent variable is real net income.
Table 4. Regression results: dependent variable is real net income.
Scenarios
(1)(2)(3)
NAEC27.70 ***31.58 ***20.42 *
(9.271)(10.39)(11.82)
ControlsYesYesYes
Observations20,56719,52718,411
R-squared0.1460.1510.152
Standard errors in parentheses. *** p < 0.01, * p < 0.1.
Table 5. DID regression results, dependent variable is real net income.
Table 5. DID regression results, dependent variable is real net income.
Scenarios
(1)(2)(3)
NAEC = 134.62 ***46.07 ***49.90 ***
(12.64)(14.14)(15.93)
High SES = 1167.3 ***168.8 ***170.7 ***
(7.991)(7.895)(7.847)
NAEC = 1 and High SES = 1−71.63 ***
(10.85)
−83.57 ***
(11.08)
−96.15 ***
(11.56)
ControlsYesYesYes
Observations11,81611,18610,515
R-squared0.1590.1620.165
Standard errors in parentheses; *** p < 0.01.
Table 6. DID regression results, the dependent variable is years of education.
Table 6. DID regression results, the dependent variable is years of education.
Scenarios
(1)(2)(3)
NAEC = 10.646 ***0.869 ***0.855 ***
(0.0644)(0.0689)(0.0738)
High SES = 12.350 ***2.391 ***2.429 ***
(0.0451)(0.0441)(0.0431)
NAEC = 1 and High SES = 1−1.087 ***−1.426 ***−1.777 ***
(0.0575)(0.0563)(0.0552)
ControlsYesYesYes
Observations31,62131,35931,043
R-squared0.2910.3080.342
Standard errors in parentheses; *** p < 0.01.
Disclaimer/Publisher’s Note: The statements, opinions and data contained in all publications are solely those of the individual author(s) and contributor(s) and not of MDPI and/or the editor(s). MDPI and/or the editor(s) disclaim responsibility for any injury to people or property resulting from any ideas, methods, instructions or products referred to in the content.

Share and Cite

MDPI and ACS Style

Labadze, L. Assessing the Socioeconomic Impacts of Transitioning from Plutocracy to Meritocracy in University Admissions. Soc. Sci. 2023, 12, 599. https://doi.org/10.3390/socsci12110599

AMA Style

Labadze L. Assessing the Socioeconomic Impacts of Transitioning from Plutocracy to Meritocracy in University Admissions. Social Sciences. 2023; 12(11):599. https://doi.org/10.3390/socsci12110599

Chicago/Turabian Style

Labadze, Lasha. 2023. "Assessing the Socioeconomic Impacts of Transitioning from Plutocracy to Meritocracy in University Admissions" Social Sciences 12, no. 11: 599. https://doi.org/10.3390/socsci12110599

APA Style

Labadze, L. (2023). Assessing the Socioeconomic Impacts of Transitioning from Plutocracy to Meritocracy in University Admissions. Social Sciences, 12(11), 599. https://doi.org/10.3390/socsci12110599

Note that from the first issue of 2016, this journal uses article numbers instead of page numbers. See further details here.

Article Metrics

Back to TopTop