Abstract
This paper presents the study of the intervention for the acoustic correction of a modern church. The investigated church was built in the 1960s, with a brutalist style and with a squared plan. The hard materials, including a marble floor and hard plastered walls, were responsible for its reverberation time of over 5 s, resulting in poor speech comprehension. As common in worship spaces, the acoustic improvement interventions were challenged by the denial of covering the walls and the vault with conventional sound-absorbing materials due to aesthetic and architectural reasons. In order to carry out an adequate acoustic correction, while involving minimal interventions, the possibility of using light sound absorbing ceiling sheets was analyzed. The study is divided into three phases: Firstly, the acoustic characteristics of the current building were measured; then, new materials for adequate sound absorption were studied; finally, acoustic simulations were used to evaluate the effects on the acoustic characteristics for different intervention scenarios. The final room was able to shorten its reverberation time to about 2.0 s.
1. Introduction
Churches are generally acoustically reverberant places due to both being large and being full of acoustically reflective materials. Many studies have shown that the room acoustic models in these large reverberant spaces are often unique, given the non-homogenous distribution of diffusing and absorbing materials [1,2,3]. Over the centuries, the long reverberation of churches has proved to enhance the listening of organ music emitted as well as hymns, thus increasing the sense of participation of the congregation [4,5]. However, the Second Vatican Council gave more importance for the speech understanding, with the consequences that different church acoustics would be needed as long reverberation times reduce the intelligibility of speech. In fact, after the Second Vatican Council, and especially in recent decades, churches have been used for other purposes including classical music concerts as well as conventions and conferences, often revealing their acoustic limits. To reduce the reverberation in these large rooms, in order to realize conditions more suitable for speech intelligibility, inevitably requires the insertion of sound-absorbing materials. Traditional porous sound-absorbing materials can be used for the acoustic correction at medium and high frequencies [6,7]. However, in the case described in this paper, various challenges due to aesthetic and architectural requirements prevented the use of traditional materials on the walls. The request was to leave the inner walls only with white plaster. Therefore, it was necessary to find an innovative solution. Furthermore, the loudspeakers had already been installed in the church, but they had not solved the problem of understanding speech. So, it was necessary to intervene on passive acoustics with a project of correction. For the acoustic correction it was not possible to abduct a solution with the chairs padded with sound-absorbing material, as for reasons of maintenance of the chairs they had to remain in smooth wood. In the 1960s, churches were commonly made of concrete with simple geometry and a regular square plan. The inside of many brutalist modern churches is simple with a marble altar, wooden pews with no padding, and smooth plaster walls. These type of rooms have very long reverberation times. The acoustics of the church of St. Pius X in Matera (Italy), which is characterized by long reverberation times caused by a large volume and the use of reflective materials, that reflect the sound in the room, on the floors and walls. The bishop of this church requested an acoustic correction project to mitigate the poor understanding of the spoken word. In approaching the intervention, it was also required to leave the internal wall with the current smooth plaster. The church has a square plan, with four side niches and a central entrance. It has a volume of 3000 m3 and a surface area of 300 m2, while the side walls cover 680 m2, with a height of about 10 m. Figure 1 shows the interior of the church. Figure 2 shows the ground plan and section of the church; the plan whose average dimensions are 17 × 17 m. The church has a marble floor, smooth plaster walls, and large windows high up, along to the walls. The particular geometry and reflective characteristics of the boundary surfaces result in an excessive sound tail, which negatively affects the understanding of speech.
Figure 1.
Interior of the church.
Figure 2.
Ground plan and section of the church.
The first phase of this work consisted of evaluating the current acoustics of the church. The aim of the measurements was to assess whether the church had good acoustic conditions for speech understanding and to evaluate a simple minimal way to achieve better acoustic conditions.
2. Acoustic Measurements
The acoustic measurements were carried out in accordance with the ISO 3382 [8]. An omnidirectional spherical sound source (Peecker Sound mod. JA12, Reggio Emilia, Italy) was placed on the altar, with fifteen measurement microphone points being equally distributed in three rows in order to evaluate the spatial average acoustic properties of the church. In the church, the position of the speaker is univocal and is determined in the position of the altar. The acoustic measurements in the empty room were taken with an average temperature of about 15 °C and relative humidity of 50%. There were no noisy activities in the vicinity and the traffic noise was negligible considering the distance of the church from the nearest arterial road, so the background noise measured was lower than 35 dBA. Figure 3 shows the plan of the church, indicating the source position and the position of the fifteen microphone points. Figure 4 shows the position of the tools during the measurement sessions.
Figure 3.
Ground plan with the position of source and of the measurement points.
Figure 4.
Sound source and microphone during the acoustic measurements.
The impulse responses were detected with a measurement microphone GRAS Sound & Vibration A/S mod. 40 AR (Denmark). MLS signals of order 16 with a length of 5 s were generated by a 01dB-Stell Symphonie system (France) [9]. While the acoustic measurements were taken, the church was empty and the furniture consisted of hard chairs only. The sound source was placed at a height of 1.5 m from the floor and the microphone at a height of 1.3 m.
3. Results
The following acoustic parameters were analyzed: EDT, T30, C80, D50, C50, Ts, and STI. These parameters were defined to better describe the perception of a sound field, even though their prediction depends on many factors, such as the position of the sources and receivers.
Traditionally the reverberation time is the most common acoustic parameter, with it being described as the persistence of the sound after a source has stopped. The early decay time (EDT) is often shown to correlate better to the early reverberation effect in the room. The clarity measures the balance between the useful and detrimental sound for the listening perception, it represents the degree to which different reflections arrive and are perceived by the listener, with it being assessed as an early-to-late arriving sound energy ratio. In particular, the C80 is defined as the ratio, expressed in decibels, of the early energy (from 0 to 80 ms) over the late reverberant energy (from 80 ms to infinite). The definition (D50) considers the early arriving sound energy over the total sound energy and is calculated using 50 ms as the early time limit. The different requests of the several sound messages required some compromises in the acoustic goals.
Using recent studies on the typical listening preference in worship spaces [5,10], the criteria in Table 1 were considered.
Table 1.
Suitable acoustic parameter values for the different listening conditions.
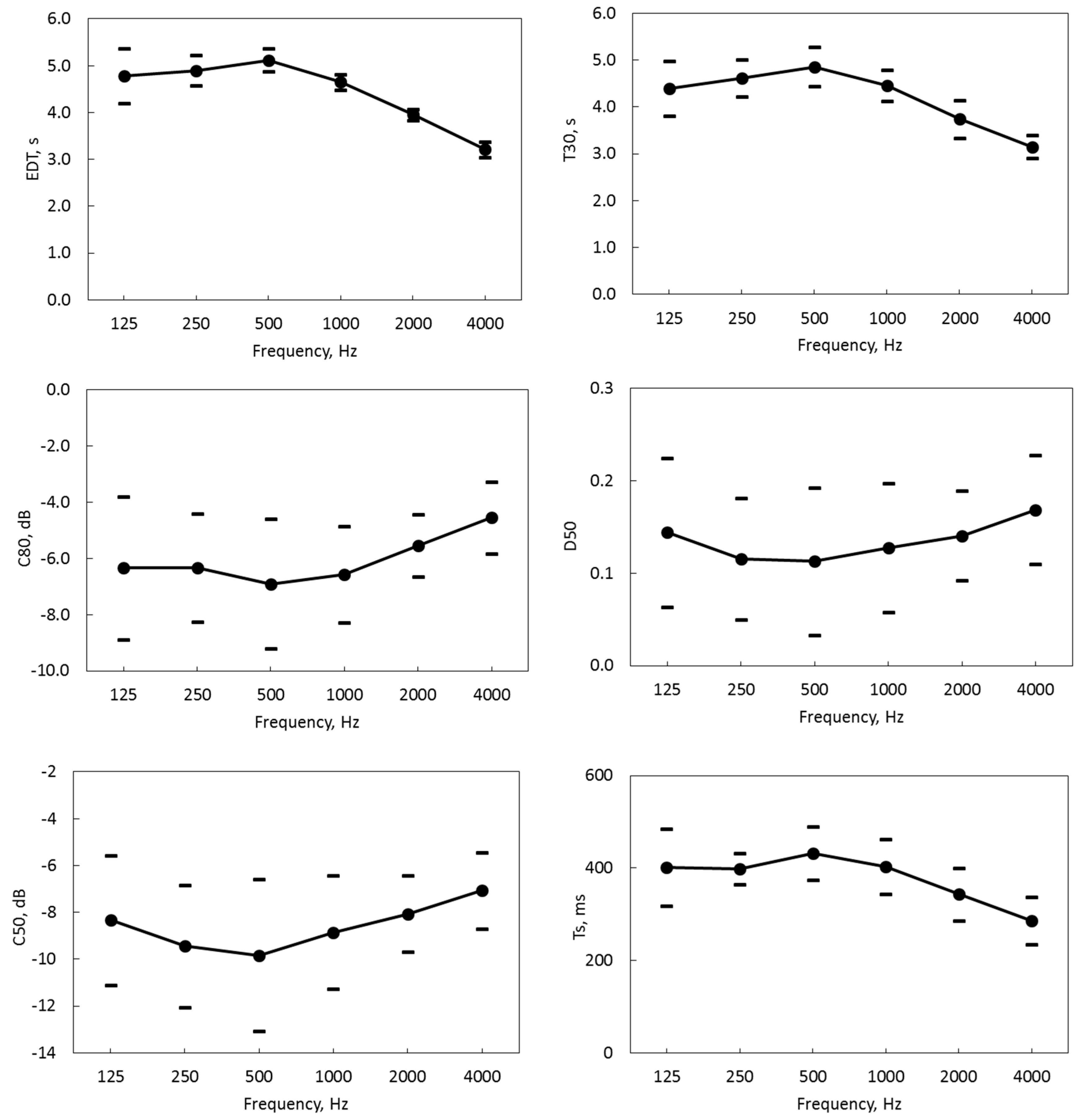
Figure 5 reports the average measured parameters of EDT, T30, C80, D50, C50, and Ts, of the fifteen receiver locations, together with the intervals of the standard deviation for each octave band from 125 Hz to 4.0 kHz. The values of the parameters EDT and T30 exceed, on average, 5.0 s, the average value of C80 = −6.0 dB, the average value of D50 = 0.11, while the average value of the parameter STI = 0.29 (+/−0.04).
Figure 5.
Measured acoustics parameters averaged among the 15 receiver positions, and relative standard deviations.
The acoustic parameter T30 shows negligible values of the standard deviation, confirming the reverberant nature of this room where this parameter is not influenced by the position of the receiver. Other parameters show standard deviation variations more significant and, furthermore, for D50, the standard deviation increases at the low frequencies. For these spaces, upon changing the position of the receiver, so do the values of the considered parameters. Similar results have been found in other monumental churches [11,12]. Current acoustics literature presents tables and diagrams that define the optimum reverberation time as a function of the intended use and the environment volume. At the frequencies of 125 and 250 Hz, the reverberation time is slightly lower than that of the 500 Hz band, due to the presence of large glass areas in the upper part of the walls; glass surfaces in the domain of the low frequencies act as extended resonators.
The speech transmission index (STI) is the acoustic parameter for assessing the goodness of speech understanding, and it showed a measured value of 0.29 (±0.04), corresponding to a value of bad intelligibility (i.e., in the room there is a poor understanding of speech). Figure 5 highlights how the value of C80 does not exceed the value of −2 dB in the range of measured frequencies. Literature reports that, for the correct listening of a musical performance, the C80 value must be within the range: −2 dB < C80 < 2 dB.
The center time (Ts) values of 90–160 ms are usually calculated for typical concert halls, while in the case of open spaces, Ts can be 230–300 ms. The main relevance that the energy with late reflections can move towards high values the gravity center of the impulse response.
4. Acoustic Properties of the Absorbent Material
The acoustic correction of rooms presents several problems due to the components of the sound tail. Moreover, the walls of the church could not be covered with traditional soundproof panels. For the acoustic correction, absorbent sheets were chosen to be installed under the ceiling at a distance from the rigid wall of 70 mm. The acoustic characteristics of this configuration were measured according to the standard EN ISO 10534-2 “Determination of sound absorption coefficient and impedance in impedance tubes transfer-function method” [13].
The measurement of the sound absorption coefficient of the sheeting was performed at normal incidence by means of an impedance tube. The measuring tube had the following dimensions: inner diameter of 100 mm, length of 560 mm, and the distance between the two microphones equal to 100 mm [14]. Figure 6 shows the sampled used for the acoustic measurements. Table 2 reports the sound absorption coefficient values in the frequency range from 125 to 4000 Hz of the sheeting, installed at a distance from the rigid wall of 70 mm.
Figure 6.
(A) Sampled used for the acoustic measurements. (B) Impedance tube.
Table 2.
Sound absorption coefficient of the sheeting, installed at a distance from the rigid wall of 70 mm.
5. Simulations
The Odeon software is used for the simulation of the sound field in the church, the classical acoustic formulas do not provide correct indications about the acoustic correction of rooms with complex geometry. The Odeon software is used to evaluate the acoustic parameters of the church, to obtain realistic data and the subsequent acoustic correction.
This software uses the principles of the geometrical acoustics and adopts a hybrid calculation method that combines the image source method and the ray-tracing method. The Odeon software imports a virtual model realized by a 3D cad [15,16]. A computer software simulation usually requires a first step that is aimed at the development of a model of the space as it is and for which acoustic measurements are available [17]. The calculations were performed by fixing set-up parameters: transition order, TO = 2; impulse response length = 5.0 s; number of late rays = 50,000; impulse response resolution = 3.0 ms; max reflection order = 2.000 [18]. The acoustic model calibration is the first step and is made by setting the absorbent coefficient values for all the surfaces of the virtual model. A second step consists of comparing the measured and simulated parameters, which allows for a suitable calibration of the acoustic model. This makes it possible to reduce the difference between the measured and simulated acoustical parameters. The calibration procedure was stopped when, for each octave band frequency (125–4000 Hz), the calculated reverberation time value was equal to the measured one [19].
In situ checks and detailed 3D drawings make it possible to realize a virtual model of the room. Thus, the virtual model drawn by a 3D cad software was imported into the room acoustics software “Odeon”. Figure 7 shows the 3D virtual model, with the sound source placed on the altar and the receivers among the pews of the congregation. The empty pews were simulated as parallelepipeds (one for each side), 0.8 m height, 6.0 m wide, and 10 m long. The area covered by the congregation was 120 m2, with the assigned value of the absorption coefficient given in [20] and a value of the scattering coefficient s = 0.5. The scattering coefficient (s) does not depend on the frequency, but rather on the geometrical surface properties. Table 3 shows the values of the sound absorption coefficient of the empty seats used in the numerical simulation [21].
Figure 7.
3D virtual model with the software “Odeon”.
Table 3.
Sound absorption coefficient values of the empty seats.
The sound absorption coefficient values of the audience were assigned, subsequently, to the values of sound coefficients of box surfaces, simulating the empty pews. Figure 8 shows the position of the audience in the church, with it corresponding to the effective area covered by the pews.
Figure 8.
Position of the audience, corresponding to the area covered by the pews.
In order to improve the acoustic characteristics of the church, the acoustic correction including the absorbent material was realized. Absorbent sheets were installed under the lateral ceiling surfaces (vaults). In the virtual model, using the software “Odeon”, the measured absorption coefficients of the acoustic properties of the lateral vaults were replaced with the sheets ones. Figure 9 shows the layout of the materials in the church. Furthermore, the effect of the presence of the audience in the church was analyzed, the values of the absorbent coefficient of the audience are reported in Table 4 [22,23]. The absorption coefficients of the audience correspond to medium configuration values [24,25]. Figure 10 shows the measured values (in empty conditions) of the acoustic parameters in comparison with acoustic absorbent systems and the presence of audience included in the virtual model.
Figure 9.
Lay-out of the absorbent materials, under lateral vaults.
Table 4.
Sound absorption coefficient of the audience.
Figure 10.
Acoustic parameters measured in comparison with acoustic absorbent systems and the presence of audience included in the virtual model.
The values reported are for the empty church in the current state; the church only with the absorbent sheets; and the church with the audience and absorbent sheets. The sheets covering the lateral vaults with an estimated area of 200 m2.
6. Discussion
The software “Odeon” was used to evaluate the effects of sheets for sound absorption installed under lateral vaults. In this way the architectural and esthetic characteristics of the church were preserved. The acoustic measurements indicate an excessive length of the sound tail, which is manifested through a reverberation time with an average value equal to 5.0 s. An average value of EDT equal to 5.0 s, a C80 average equal to −6.0 dB, and a value of D50 equal to 0.11.
The numerical simulation highlights how the presence of the audience leads to a reduction in the sound tail length. The use of sheets under the lateral vaults improves the acoustic characteristics of the church. Together with the acoustic correction, the reverberation time, at the frequency of 2000 Hz, is about 2 s, while the value of C80 is compatible with good conditions for listening to music. Furthermore, Figure 11 shows STI values at different distances of the sound source from the receivers. These are theoretical values, obtained with software “Odeon” numerical simulations in three acoustic configurations.
Figure 11.
STI values in relation to the distances, sound source—receivers.
7. Conclusions
The authors have provided useful information to designers of enclosed spaces to obtain an optimal acoustic correction for complex environments, such as churches.
In fact, churches often present critical characteristics for speech comprehension due to large volume as well as the presence of acoustically-reflective materials. In this work, the church of St. Pius X in Matera was investigated. Analysis of the data shows how, due to the absence of significant sound-absorbing surfaces, the church does not present an adequate behavior for neither understanding speech nor listening to music performance. Given the low C80 value, the church is not within the parameters suggested by current literature for good music listening. Appropriate sound-absorbing material should be placed under the vaults of the church, so the reverberation time decreases. Upon choosing the type of sound-absorbing material, and knowing the value of the absorption coefficient, it will be possible to evaluate the optimum arrangement of the walls and the areas to be covered. The evaluation of improvements of the acoustic characteristics was evaluated with the architectural acoustics software “Odeon”. The introduction of the absorbent materials for the acoustic correction decreased the length of the reverberation time and improved both the effect of the speech comprehension as well as the listening to music exhibitions.
Author Contributions
Conceptualization, G.I.; Introduction and Methodology, U.B., G.C., F.D.R., G.I., S.M., A.T.; Measurements, G.I., A.T.; Visualization map and graphs, G.C., G.I., A.T.; Analyzing Data and Interpretation, G.C., F.D.R., G.I.; Formal analysis, U.B., G.C., G.I., A.T.; Documentation and photography, A.T., S.M.; Writing – original draft, U.B., G.I., A.T.; Supervision, G.I., F.D.R.; Conclusion, U.B., G.C., F.D.R., G.I., S.M., A.T.
Funding
This research received no external funding.
Conflicts of Interest
The authors declare no conflicts of interest.
References
- Girón, S.; Álvarez-Morales, L.; Zamarreño, T. Church acoustics: A state-of-the-art review after several decades of research. J. Sound Vib. 2017, 411, 378–408. [Google Scholar] [CrossRef]
- Alonso, A.; Suárez, R.; Sendra, J.J. The Acoustics of the Choir in Spanish Cathedrals. Acoustics 2019, 1, 35. [Google Scholar] [CrossRef]
- Berardi, U.; Cirillo, E.; Martellotta, F. A comparative analysis of energy models in churches. J. Acoust. Soc. Am. 2009, 126, 1838–1849. [Google Scholar] [CrossRef] [PubMed]
- Aletta, F.; Astolfi, A. Soundscapes of buildings and built environments. Build. Acoust. 2018, 25, 195–197. [Google Scholar] [CrossRef]
- Berardi, U. A double synthetic index to evaluate the acoustics of Churches. Arch. Acoust. 2012, 37, 521–528. [Google Scholar] [CrossRef]
- Berardi, U.; Iannace, G. Acoustic characterization of natural fibers for sound absorption applications. Build. Environ. 2015, 94, 840–852. [Google Scholar] [CrossRef]
- Iannace, G. Acoustic correction of monumental Churches with ceramic material: The case of the Cathedral of Benevento (Italy). J. Low Freq. Noise Vib. Act. Control 2016, 35, 230–239. [Google Scholar] [CrossRef]
- ISO 3382-1. Acoustics-Measurement of Room Acoustic Parameters—Part 1: Performance Spaces; ISO: Geneva, Switzerland, 2009. [Google Scholar]
- Berardi, U.; Iannace, G.; Trematerra, A. The Acoustics of the Double Elliptical Vault of the Royal Palace of Caserta (Italy). Buildings 2017, 7. [Google Scholar] [CrossRef]
- Cirillo, E.; Martellotta, F. Worship, Acoustics, and Architecture; Multi Science Publishing Company Limited: Brentwood, UK, 2006. [Google Scholar]
- Berardi, U.; Iannace, G.; Ianniello, C. Acoustic intervention in a cultural heritage: The chapel of the Royal Palace in Caserta, Italy. Buildings 2015, 6. [Google Scholar] [CrossRef]
- Berardi, U. Simulation of acoustical parameters in rectangular Churches. J. Build. Perform. Simul. 2014, 7. [Google Scholar] [CrossRef]
- EN ISO 10534-2. Acoustics—“Determination of Sound Absorption Coefficient and Impedance in Impedances Tubes Transfer-Function Method”; ISO: Geneva, Switzerland, 2001. [Google Scholar]
- Iannace, G. Acoustic properties of nanofibers. Noise Vib. Worldwid. 2014, 45, 29–33. [Google Scholar] [CrossRef]
- ODEON. User Manual-Version 11. Available online: www.odeon.dk (accessed on 11 April 2018).
- Zeng, X.; Christensen, C.L.; Rindel, J.H. Practical methods to define scattering coefficients in a room acoustics computer model. Appl. Acoust. 2006, 67, 771–786. [Google Scholar] [CrossRef]
- Krokstad, A.; Strøm, S.; Sørsdal, S. Calculating the acoustical room response by the use of a ray tracing technique. J. Sound Vib. 1968, 8, 118–125. [Google Scholar] [CrossRef]
- Iannace, G.; Trematerra, A. Acoustic measurements and correction of a council room. Noise Vib. Worldwide 2014, 45, 12–16. [Google Scholar] [CrossRef]
- Christensen, C.L.; Koutsouris, G.; Rindel, J.H. The ISO 3382 parameters: Can we simulate them? Can we measure them? In Proceedings of the International Symposium on Room Acoustics, Toronto, ON, Canada, 9–10 June 2013. [Google Scholar]
- Martellotta, F.; Cirillo, E. Experimental studies of sound absorption by Church pews. Appl. Acoust. 2009, 70, 441–449. [Google Scholar] [CrossRef]
- Alvarez-Morales, L.; Martellotta, F. A geometrical acoustic simulation of the effect of occupancy and source position in historical Churches. Appl. Acoust. 2015, 91, 47–58. [Google Scholar] [CrossRef]
- Beranek, L.L.; Hidaka, T. Sound absorption in concert halls by seats, occupied and unoccupied, and by the hall’s interior surfaces. J. Acoust. Soc. Am. 1998, 104, 3169–3177. [Google Scholar] [CrossRef]
- Hidaka, T.; Nishihara, N.; Beranek, L.L. Mechanism of sound absorption by seated audiences in concert halls. J. Acoust. Soc. Am. 1996, 100, 2705–2706. [Google Scholar] [CrossRef]
- Iannace, G.; Trematerra, A. The audience effect on the acoustics of ancient theatres in modern use. In Proceedings of the 142nd Audio Engineering Society International Convention, Berlin, Germany, 20–23 May 2017. [Google Scholar]
- Iannace, G.; Trematerra, A. The acoustic effects of the audience in the modern use the of ancient theatres. J. Teknol. 2018, 80, 147–155. [Google Scholar] [CrossRef]
© 2019 by the authors. Licensee MDPI, Basel, Switzerland. This article is an open access article distributed under the terms and conditions of the Creative Commons Attribution (CC BY) license (http://creativecommons.org/licenses/by/4.0/).










