Abstract
Soft-story wood-frame buildings have been recognized as a disaster preparedness problem for decades. There are tens of thousands of these multi-family three- and four-story structures throughout California and other cities in the United States. The majority were constructed between 1920 and 1970, with many being prevalent in the San Francisco Bay Area in California. The NEES-Soft project was a five-university multi-industry effort that culminated in a series of full-scale soft-story wood-frame building tests to validate retrofit philosophies proposed by (1) the Federal Emergency Management Agency (FEMA) P-807 guidelines and (2) a performance-based seismic retrofit (PBSR) approach developed within the project. Four different retrofit designs were developed and validated at full-scale, each with specified performance objectives, which were typically not the same. This paper focuses on the retrofit design using cross laminated timber (CLT) rocking panels and presents the experimental results of the full-scale shake table test of a four-story 370 m2 (4000 ft2) soft-story test building with that FEMA P-807 focused retrofit in place. The building was subjected to the 1989 Loma Prieta and 1992 Cape Mendocino ground motions scaled to 5% damped spectral accelerations ranging from 0.2 to 0.9 g.
1. Introduction
Full-scale whole-building tests have been performed around the world only 10 to 20 times [1,2]. U.S.-based projects for the full-scale testing of light-frame wood buildings have increased significantly since the late 1990s as a result of the CUREE-Caltech Project [1,3] and projects related to the National Science Foundation (NSF) George E. Brown Jr. Network for Earthquake Engineering Simulation (NEES). A good summary is provided in a 2009 report prepared by the National Association of Home Builders Research Center [4], but significant testing has occurred in the five years since that report. For brevity, only specific projects and tests that have had a direct effect on the planning and execution of the test program presented herein are discussed. Filiatrault et al. [3] tested a rectangular two-story house, but the specimen size was limited to the shake table dimensions but nevertheless provided state-of-the-art test results. The building was designed in accordance with the 1988 Uniform Building Code [5] and performed well at code level (design basis earthquake, DBE) and near-fault (maximum considered earthquake, MCE) records from the 1994 Northridge earthquake. Gypsum wall board and stucco were shown to provide a very significant increase in strength and stiffness [3]. As part of the NEESWood Project, Filiatrault et al. [6] conducted full-scale tri-axial tests on a two-story three-bedroom 167.2 m2 (1800 ft2) townhouse with a two-car garage on the twin shake tables of the State University of New York at Buffalo. This building was also designed to the 1988 UBC [7]. The results showed that, for light-frame wood buildings typical of the 1980s to 1990s in California, only moderate damage resulted during a design-level earthquake, while significant and costly damage occurred during the maximum credible earthquake (MCE). The full building and results are available in the project report by Christovasilis et al. [8]. During the CUREE-Caltech wood-frame project, a three-story apartment building with a tuck under garage was tested by Mosalam and Mahin [9] in which they were able to confirm that these types of buildings are prone to torsional response and soft-story collapse.
Tests of a 1300 m2 (14,000 ft2) six-story apartment building were conducted by van de Lindt et al. [10] on the world’s largest shake table at the E-defense facility in Miki, Japan, as part of the NEESWood Project. The building was 12.2 m × 18.3 m (40 ft × 60 ft) in plan and 17.1 m (56 ft) tall. The full details of the test procedure and results are available in the project task report [11]. The objectives were to (1) provide a general understanding of how midrise light-frame wood buildings perform in a major earthquake and (2) provide validation for the performance-based seismic design philosophy developed within the project, which was a variation on the direct displacement design (DDD) developed by Pang et al. [7,12]. The overall performance was excellent at the MCE level, but it should be kept in mind that the test structure was designed at a level expected to provide seismic performance superior to current codes [10].
In order to retrofit at-risk wood-frame buildings against seismic excitation, van de Lindt et al. [13] and Bahmani et al. [14] validated the FEMA P807 retrofit guideline and developed and validated performance-based seismic retrofit (PBSR) methodology by conducting series of full-scale shake table experimental tests on four-story wood-frame building as part of the NEES-Soft project entitled ‘seismic risk reduction for soft-story wood-frame buildings’. Two retrofit methodologies were used to retrofit the four-story wood-frame building. The first retrofit guideline (i.e., FEMA P-807 Guideline, [15]) was developed by the Applied Technology Council (ATC) under Project 71.1 and published as Federal Emergency Management Agency (FEMA) Report P-807 [15]. The second approach, developed as part of the NEES-Soft project and termed performance-based seismic retrofit (PBSR), is a method that decouples the building deformation resulting from translation and torsion during the design process [16,17]. In the case of the four-story test building, the torsion was eliminated in the design, which is optimal but may not always be possible due to architectural (or other) constraints. The PBSR method was first introduced by Bahmani and van de Lindt [18,19] with general applicability to multi-story buildings. The full details of the building design specifics and retrofit methodologies are presented by Bahmani et al. [14]. In this paper, the FEMA P-807 retrofit design methodology is summarized and applied to a full-scale four-story test building, which has a soft and weak first story in both directions due to a combination of garage door openings and archaic materials. Mass timber, often referred to in the U.S. as cross-laminated timber (CLT), was used as the retrofit material to strengthen the first story. A total of seven 2 ft × 8 ft CLT rocking walls were installed in both the longitudinal and transverse directions at the first story of the test building as per the design proposed by the FEMA P-807 retrofit guideline [15].
Cross Laminated Timber (CLT)
CLT is an engineered wood product made up of cross-oriented layers of dimension lumber, which is either glued or mechanically connected. It was first invented in Austria in the mid-1990s and introduced in the European market shortly afterwards. It was quickly accepted for widespread applications in Europe, particularly in Austria, Germany, and Switzerland. In recent years, it has been gaining popularity in other countries such as Italy, Spain, Norway, Sweden, and the United Kingdom. At the same time it has been adopted for applications outside Europe in North America, Austria, New Zealand, and Japan. Until recently, Australia held the title for world’s tallest CLT building, belonging to the 10-story Forte Apartments in Melbourne, and the list of CLT structures there is growing steadily. CLT has been in production in New Zealand for several years now, and there are already significant examples of applications in seismic regions. Japanese researchers have recently started producing CLT using native Sugi wood, and initiatives to develop code provisions for multi-storied buildings applications are currently underway. At the moment, Canada is leading in applications in North America, with several prominent completed structures and provisions on CLT having been included in the latest revision of the Canadian Standards Association (CSA) O86-Engineering design in wood [20]. The CLT panels themselves behave almost rigidly, and the hysteresis is developed using metal connectors, brackets, and hold downs [21,22]. The technology was developed in Europe almost 20 years ago and is beginning to be used in North America and around the world. No seismic provisions for CLT are available in the U.S. yet, but a project to develop seismic response factors is nearing completion [23], and a handbook for engineering guidance was recently published [24]. Figure 1 presents 3-ply and 5-ply CLT panels. The CLT panels used to retrofit the test building in this study were made of 19.1 mm (0.75 in.) thick spruce dimension lumber.
Figure 1.
Cross laminated timber (CLT) panels: (a) 3-ply and 5-ply panels; (b) CLT cross sections.
2. Test Building Design Approach
As with all test programs, the design of a system-level specimen presents unique challenges since it is, by definition, specific, but the test objectives necessitate a generalized representation of the building space being studied, i.e., how does one validate a method with one data point? A number of site visits were conducted to identify the architecture of the test building, with the focus placed on the San Francisco Bay Area in California. Figure 2 shows photos of typical Bay Area soft-story wood-frame buildings; note the garage doors at the first story of each building in Figure 2, which can often be on more than one side.
Figure 2.
Soft-story wood buildings in the San Francisco Bay Area (Photos by Mikhail Gershfeld and Steven Pryor).
In order to investigate the performance of soft-story buildings subjected to seismic ground motion, a four-story building with a soft-story as its first story was designed and constructed on the top of the shake table at the University of California-San Diego’s outdoor shake table laboratory (Figure 3). The building represented a corner building with two adjacent buildings on the North and West sides. The test building had four garage doors at the first story on its south side and two windows and a storage and an entrance door on its east side. The upper stories each had two two-bedroom units with bay-windows on the south and east sides. It can be seen that the large openings due to garage and storage doors reduce the available space for lateral load resisting systems, i.e., shear walls; thus, the building is soft and weak at the first floor. The details of the structural and architectural drawings of the building, existing vertical and lateral load resisting systems, and types of fasteners are presented in Bahmani et al. [14] and van de Lindt et al. [13] and hence are omitted here for brevity. Figure 3 shows photos of the NEES-Soft four-story test building built at the NEES@UCSD laboratory just prior to the installation of the CLT rocking walls. The shake table is a 7.6 m (25 ft) × 12.2 m (40 ft) outdoor uni-axial shake table with a maximum gravity payload of 20,000 kN (4496 kips); full details on the shake table performance and capabilities can be found in Ozcelik et al. [25].
Figure 3.
The test building designed as part of the NEES-Soft project: (a) Southwest view; and (b) Southeast view.
Although the exterior architecture was important for the aspect ratio and determining the locations and number of openings at the soft and other stories, there were several other features of this particular building era that had to be identified, such as interior wall density, room size, nail schedules, floor diaphragm, and flooring details, and of particular note is the lack of hardware such as metal straps and plates, which were not available in this era. The test building plan dimensions were 7.3 m × 11.6 m (24 ft × 38 ft), and Figure 4 presents the architectural plan views of the first story and upper stories (floors 2–4 had the same floor plan).
Figure 4.
Floor Plans for the four-story test building: (a) First story; and (b) Upper stories.
As mentioned, certain features observed during site visits were included such as the light well that can be seen in Figure 4. However, some modifications to the archaic building materials were necessary to ensure that the test building could be repaired in a timely and financially manageable way since a number of tests were conducted at moderate to high amplitude. Table 1 provides a comparison between the features commonly found in these types of soft-story buildings and the NEES-Soft four-story test building. The effectiveness of the FEMA P-807 retrofit methodology was examined experimentally by conducting shake table tests in the summer of 2013 at the NEES@UCSD outdoor shake table facility.
Table 1.
Comparison between construction material in the archaic building and the test building.
3. Overview of the FEMA P-807 Methodology
Recognizing the high risk of collapse for these weak/soft first story wood-frame buildings, FEMA funded the Applied Technology Council (ATC), which was tasked with developing a new set of guidelines, entitled Seismic Evaluation and Retrofit of Multi-Unit Wood-Frame Buildings with Weak First Stories (FEMA P-807, [15]). In an effort to make retrofitting more affordable, the P-807 guideline proposes several novel approaches for retrofit. Specifically, the methodology focuses on buildings with soft and weak first stories, where the retrofit is limited to the first story only. This significantly reduces the probability that building occupants will have to relocate during retrofit construction; virtually all of these large buildings are multi-family rentals. In addition, FEMA P-807 focuses on identifying a lower and upper bound of strength and stiffness for the retrofit such that the retrofit does not move the soft-story up to the second level. The methodology also explicitly considers the strength and stiffness of the nonstructural walls to evaluate their contribution to overall performance, making it, in a sense, performance-based, although it has not been articulated as such. Finally, the methodology does not require explicit structural analysis of the building in question, which could include potentially expensive nonlinear analysis. This is accomplished by comparing the building in question to surrogate models, which are hundreds of similar structures (with many variants each resulting in thousands of possibilities) for which their performance has already been assessed using nonlinear response history analysis (FEMA P-807, [15]). After this entire process, performance is evaluated in probabilistic terms based on estimated fragilities from the representative surrogate model. This approach can lead to a wider range of mitigation performance options being available to the building owner voluntarily retrofitting or the jurisdiction requiring retrofitting.
In the FEMA P-807 guidelines, a consensus hazard intensity level may be used as a target for the design. For example, as part of the City of San Francisco’s mandatory retrofit ordinance, Administrative Bulletin 107 (AB-107) (City and County of San Francisco, [26]) stipulates in Section B1.1.1 that an acceptable hazard level is a spectral demand of 0.5SMS (50% MCE), calculated in accordance with ASCE-05 [27] but using a value of 1.3 for Fa in Site Class E locations. The default performance level for FEMA P-807 is what is referred to as the ‘onset of strength loss’ (OSL), which is an inter-story drift limit associated with when a combination of wall sheathing materials in a building is no longer able to resist lateral forces. There are two types of systems described in FEMA P-807, namely, low ductility systems with OSL at 1.25% inter-story drift and high ductility systems with OSL at 4% inter-story drift. OSL is also the performance level selected for use in AB-107’s implementation of P-807. Regarding the probability of exceedance (POE), AB-107 sets this at 30% but allows the POE to increase to 50% when the bottom story being retrofitted contains only parking, storage, or utility uses or occupancies (B1.1.3). At the time of the design of the four-story test building presented in this paper, the POE in AB-107 was under discussion so 20% was selected to ensure that reasonable conclusions could be drawn from the test results. Another key limitation for soft-story retrofit within the FEMA P-807 guidelines was the requirement to keep the resulting center of rigidity for the retrofitted floor within 10% of the center of rigidity of the floor above it. This constraint was in place for the NEES-Soft test building CLT retrofit. The analytical procedures in the FEMA P-807 assume that the floor diaphragm above the bottom story is adequate, the foundations below are adequate, and that there are sufficient load transfer and load path elements and connections in place to allow the system to perform as desired. If these assumptions are not accurate for the evaluated building, it would be necessary to correct these deficiencies to ensure that the performance objectives can be met.
4. Retrofit Design and Numerical Validation
A four-story wood-frame building with a soft- and weak-story at the ground level was retrofitted based on the guidelines outlined in the FEMA P-807 retrofit procedure. The large garage openings and very low shear wall density at the first floor compared to the upper floors resulted in a soft-story collapse mechanism being present. The calculated ratios of the stiffness of the first story to the second story were 41% and 26% in the X- and Y-directions, respectively. This places the building into the ‘stiffness-extreme soft story irregularities’ category per the ASCE7-10 [28] definition. In addition to the soft-story, the building was weak due to low strength load resisting elements making up the building. Therefore, this building would be categorized as structurally deficient and be prone to collapse in even a moderate earthquake.
The building was retrofitted and tested in four different phases based on two different retrofit philosophies, namely, the FEMA P-807 guideline and the PBSR. This paper focuses on the retrofit designs and validations using CLT rocking panels designed by applying the FEMA P-807 retrofit methodology. More details of the other retrofit methods and the location of the retrofit elements are presented in Bahmani et al. [14]. Along with the details of the building and retrofit design, the construction of the full-scale model and the results of shake table experimental investigation are presented in this paper. Table 2 presents the design criteria that were used in retrofitting the four-story test building per the FEMA P-807 methodology using the CLT retrofit technique.
Table 2.
Retrofit technique and design criteria.
The design limit state for the FEMA P-807 retrofit was the following: retrofit for a 20% exceedance probability of the FEMA P-807 guidelines at the 50% MCE intensity. It should be noted that, for the generic site used within the NEES-Soft project, the MCE seismic intensity was assumed to be equal to a spectral acceleration of Sa = 1.8 g. Thus a spectral acceleration of 0.9 g corresponded to a 50% intensity of the MCE. In order to verify the effectiveness of the retrofit design, the retrofitted building with CLT panels was analyzed using nonlinear time-history analysis (NLTHA) and was subjected to 44 uni-axial earthquake records (FEMA P695, [29]) scaled to a spectral acceleration of 0.9 g using the scaling approach outlined by ASCE7-10 [28]. The building was analyzed uni-axially in each direction independently using 44 ground motions since the FEMA P-807 guideline is based on evaluating the buildings in each direction separately. Figure 5 presents the rank ordered peak inter-story drift (ISD) ratios in the form of the probability of non-exceedance versus inter-story drift ratios when subjected to the 44 uni-axial far-field earthquake ground motions. It should be noted that the ISD ratios were limited to 16%, which is the upper limit of collapse range of wood-frame buildings based on the numerical study by Pang et al. [30]. It can be seen that the ISD ratios corresponding to a probability of non-exceedance (PNE) of 80% (i.e., probability of exceedance (POE) of 20%) is 3.8% in both the X- and Y-directions, which is below the 4% ISD ratio believed to be the onset of collapse as defined by the FEMA P-807 guideline. The CLT rocking panels in the Y-direction ensured that the retrofit design met the center of rigidity requirements.
Figure 5.
Probability of non-exceedance versus inter-story drift ratio of the four-story building retrofitted in accordance with P-807 guideline using CLT panels: (a) in the X-direction; and (b) in the Y-direction.
5. Cross Laminated Timber (CLT) Rocking Walls
In the P-807 retrofit guideline, the objective is to achieve an acceptable performance by limiting the retrofit to the first story (i.e., soft- and weak-story) to reduce the cost and duration of the retrofit. In order to include the CLT panels into the retrofit procedure, the hysteretic backbone of 610 mm (2 ft) long CLT panels was obtained by using the data from the experimental tests conducted at The University of Alabama (van de Lindt et al. [31]). Then the hysteretic model was fit to the experimental data and used within the FEMA P-807 Weak Story Tool (WST, [32]). The WST is a basic software package that is part of FEMA P-807 and accesses the large database of surrogate structures based on user input to determine whether or not a user-inputted retrofit solution meets the user-specified criteria/guidelines. However, as one can imagine, there are, in theory, an infinite number of solutions for retrofitting a building. Thus, while the FEMA P-807 based solutions applied in this study satisfy the guidelines, it is important to remember that they are not the only solution that could be selected by an engineer.
6. Construction of Test Building and Retrofit Installation
6.1. Building Construction
Steel interface beams were designed and installed at the top of the shake table in order to anchor the four-story test building to the shake table and accommodate the installation of anchor bolts for each wall at the first story. W16 × 61 interface beams were attached to the shake table prior to the construction of the building and the installation of retrofitting elements. It should be noted that, since the building was tested in four different testing phases, the interface beam segments were designed such that they could support all the retrofitting elements used in the four phases of testing in this study. Figure 6 presents photos of the construction of the four-story building on top of the shake table.
Figure 6.
Construction of four-story building: (a) Installation of steel interface beams; (b) Prefabrication of floors and walls; (c) Erection of the first story with large openings; (d) Erection of the second story (stories 3 and 4 had the same floor plan as story 2).
It should be noted that diagonal bracing was installed along the exterior walls of the west side of the building at the first story, which was a common construction practice during the construction of these types of buildings (Figure 7a). Additional mass was added to each floor of the building to represent the mass of the material not used in in construction of the building such as tile flooring (Figure 7b). Horizontal wood siding was used for all the exterior walls of the building. Figure 8a presents one of the garage openings at the first floor, and Figure 8b shows the north-west view of the finished four-story building with horizontal wood siding installed on the exterior walls.
Figure 7.
(a) Diagonal bracing at the west wall of the building at the first story; (b) steel plates attached to floor.
Figure 8.
(a) Garage opening at the first floor; (b) Northwest view of the four-story building.
6.2. Installation of the CLT Rocking Panel Retrofit
The CLT panels were placed based on basic constraints such as the need to park vehicles after the retrofit and still meet the guidelines of FEMA P-807. Three and four CLT panels were installed along the longitudinal (i.e., X-direction) and transverse directions (i.e., Y-direction) of the building, respectively, as shown in Figure 9. Since the shake table was uniaxial in the X-direction, the three panels rocking in the X-direction provided strength and stiffness, while the four panels in the Y-direction moved the center of rigidity closer to the center of mass, reducing torsion; recall that this is one goal within the FEMA P-807 retrofit guideline.
Figure 9.
Location of cross laminated timber (CLT) panels in the ground story.
The details of the CLT rocking wall assemblies that were used to retrofit the ground story of the four-story building are presented in Figure 10. The panels were designed such that they could rock freely using vertically slotted holes at the top shear transfer connection. The 16 mm (5/8 in.) diameter threaded rods were used at each side of the CLT panels to resist the overturning moment, and the rods were designed such that they can yield, if needed, thereby dissipating energy from the earthquake and providing the necessary ductility to the assembly. Shear connectors were added to the CLT panels to transfer the shear force from the CLT panel to the base steel (i.e., foundation) using a metal connector and 6.5 mm (1/4 in.) diameter self-tapping wood screws.
Figure 10.
Cross Laminated Timber (CLT) panels: (a) Walls installed with all associated components; (b) Vertically slotted holes at the top shear transfer connection; (c) Shear connections to the base with self-tapping wood screws.
Each CLT line of resistance consisted of two doubled CLT panels. The panels were installed over CLT bases, which were bolted to the steel framing. The transfer of shear forces was accomplished using four HGA-10 KT (Simpson Hurricane Gusset Angle) for each double panel. The transfer of uplift force was accomplished using HDU-8 hold-downs with 1.5 m (5 ft) long mild steel threaded rods designed to stretch and provide the required ductility during rocking. The top of each panel was connected to the floor framing above using a wide flange beam. The web of the beam was connected to the CLT panel using screws, and the flanges were bolted to the collectors through vertical slotted holes.
Collectors were provided by reinforcing existing second floor framing with additional framing members, blocking and strapping as needed to match the capacity of the CLT panels. Plywood panels were added to the underside of the second floor system to strengthen and stiffen the diaphragm and distribute the load to the collectors. A similar assembly was used for the transverse direction and a combination of strapping and blocking was used to develop the collector. The threaded rod length was selected to allow for the required deformation at the top of the CLT panel through rod elongation, since the observed behavior of CLT is that of a rigid body. Figure 11 presents the plywood panels at the ceiling of the first story and the framing of the flooring system of the building.
Figure 11.
First story diaphragm reinforcement: (a) Installation of plywood panels; (b) Framing of the flooring system.
7. Shake Table Test and Results
7.1. Instrumentation
The responses of the building to seismic excitation were recorded by approximately 400 sensors that were installed in different locations throughout the building. Two accelerometers were installed at every corner of each story and at the center of mass (CM) of each floor diaphragm to record the acceleration in both the X- and Y-directions. Two arrays of five accelerometers were installed at each of the two-bedroom units to record the accelerations and eventually to compute the displacement (via numerical integration over time) of the diaphragm during each seismic test. String potentiometers and linear potentiometers were installed in different locations to record the displacement of the shear walls due to shear and uplift forces. Strain gauges were installed on the threaded rods to record the strains and elongation on the rods. Twenty-two load cells were installed underneath the anchor bolts of the exterior and interior walls of the first story to record the uplift forces at each anchor bolt. Figure 12 presents the typical locations of the accelerometers and string potentiometers within the first story.
Figure 12.
Location of sensors installed in the first story: (a) accelerometers; (b) string potentiometers.
7.2. Fundamental Periods and Intrinsic Damping
In order to obtain the natural frequencies of the test building prior to and after each seismic test, a white noise test with a root-mean-square (RMS) acceleration amplitude of 0.05 g was conducted. Generally, after each seismic test the fundamental period of the building increased due to damage. Following repairs to the first story of the building, the fundamental period of the building decreased to approach the initial fundamental period of the test building at the undamaged state. Figure 13 presents the fundamental period of the building tracked during four tests.
Figure 13.
Fundamental period of the building after conducting seismic tests or repair.
The fundamental period of the building without any retrofit (i.e., the original condition) was approximately 1.0 s. The initial fundamental period of the building before applying any retrofit was 0.58 s. During repair and damage inspection, additional drywall screws were added to the drywall with loose connectors, and some drywalls were also replaced due to the observation of shear cracks and the significant lack of transferring shear force. The frequencies corresponding to the peaks obtained from the white noise test were utilized to know the intrinsic damping of the building using the half-power bandwidth method (Chopra, [33]). The 1.2% intrinsic damping obtained from the experimental test was close to the value of 1% assumed during the design of the building.
7.3. Ground Motion Records
In order to verify the effectiveness of the retrofits under seismic loading, the building was subjected to two different ground motions. The 1989 Loma Prieta-Gilroy (component G03000) earthquake record and the 1992 Cape Mendocino-Rio (component RIO360) earthquake record were selected and scaled to different spectral accelerations for each phase of testing. Table 3 presents the ground motions and their corresponding peak ground accelerations (PGA) and spectral accelerations for each phase of the test program. Figure 14 presents the spectral accelerations for the Loma Prieta and Cape Mendocino ground motions scaled to Sa = 0.9 g and the acceleration time histories of the ground motions scaled to the 50% MCE level (i.e., Sa = 0.9 g). For scaling the ground motions, 22 bi-axial far-field earthquake ground motion records of the FEMA P-695 [29] were used. Each ground motion consisted of a pair of horizontal ground motions in the X- and Y-directions. A SRSS (square root of the sum of the squares) spectrum was constructed by taking the SRSS of the five percent-damped response spectra of two components of each pair of the horizontal ground motion components. Each pair of ground motions was scaled such that, in the period range from 0.08 to 1.5 s, the average of the SRSS spectra of all pairs of components did not fall below the site design spectrum. This period range represented 0.2 times the period of the stiffest retrofitted building to 1.5 times the period of the un-retrofitted building based on the numerically predicted periods. For the generation of the design spectrum in the San Francisco Bay Area, the spectral response accelerations at short periods (Ss) and at a period of 1.0 s (S1) were 1.8 g and 1.2 g, respectively. It should be noted that the building was retrofitted in both the X- and Y-directions to withstand bi-axial ground motions and satisfy the performance criteria (i.e., translational and torsional responses); therefore, the bi-axial ground motion scaling procedure consistent with ASCE 7-10 was used even though the shake table was able to produce excitation in the X-direction only.
Table 3.
Test sequences and global response for each seismic test.
Figure 14.
Ground motions used and spectral accelerations.
7.4. Story Shears and Peak Inter-Story Drifts
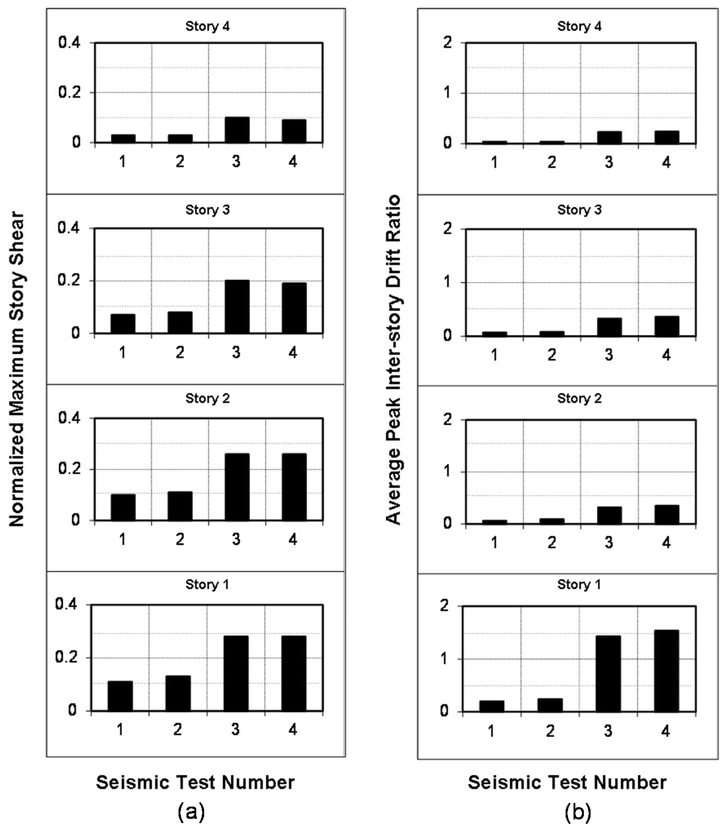
The normalized maximum story shear ratio was calculated for each story by dividing the story shear by the total weight of the building above the base steel, 467 kN (105 kips) (Figure 15a). It can be seen that the maximum story shear force at the first story was approximately 30% more than the maximum story shear at the 3rd story during Seismic Tests 3 and 4. It should be noted that these maximum shear forces do not occur at the same time.
Figure 15.
Behavior of the building over its height for each seismic test: (a) Normalized maximum story shear ratios; (b) Average peak inter-story drift ratios.
In order to investigate the performance of the retrofitted building, the maximum inter-story drifts along the X-direction (i.e., parallel to the direction of shake table motion) were obtained by taking the average displacements recorded at the corner of each story (Figure 15b). An effective height of 2438 mm (96 in.) was used in calculating the inter-story drift ratios, which was equal to the clear height of each story. It can be seen from the bar chart that the peak inter-story drift occurs at the first story (the only story that was retrofitted per the FEMA P-807 guidelines). This is typical of a soft-story building response in which the upper stories behave essentially as a rigid body and thus experience little damage. No structural or non-structural damage was found in the upper stories, with the exception of minor hairline cracks near door and window corners on the second level. Table 3 presents the values of the average peak inter-story drift ratios and the normalized maximum story shear recorded at each seismic test. It should be noted that the maximum inter-story drift ratios recorded were less than 2%, which satisfied the performance criteria.
7.5. Building Displacement Profile
Figure 16 presents the displacement profile of the test building for all four seismic tests along the X- and Y-directions when the maximum displacement relative to the ground occurs at the roof level. It should be noted that the peak inter-story drift of single stories does not necessarily occur when the roof is at its peak displacement, i.e., this would only occur in a first mode response. It can be seen from Figure 16 that the first story experienced the maximum inter-story drift among all stories for the retrofits designed in accordance with the FEMA P-807 guidelines; the inter-story drifts of the first story remained less than the drift limit defined by the FEMA P-807 document. Of note is that the Y-direction had very small inter-story drifts, indicating that the torsion was indeed removed from the original building through placement of the four Y-direction CLT rocking walls.
Figure 16.
Building displacement profile in (a) the X-direction and (b) the Y-direction.
7.6. Global Hysteresis
The inertial force at each floor diaphragm was calculated by applying Newton’s second law by using the spatial average of the acceleration time histories recorded at each corner of the stories and the mass associated with each story. The shear force at each story was then calculated for all seismic tests. Figure 17 presents the global hysteresis of the building, which is defined here as the roof displacement versus the shear force at the base of the building (i.e., base shear) for all four seismic tests. It should be noted that the global hysteresis are close to a diagonal line extending from the first to the third quarter and are relatively smooth (i.e., without spike). This behavior was expected since the FEMA P-807 retrofit tends to concentrate deformational response in the first (soft) story, thereby limiting the contribution of higher modes.
Figure 17.
Global hysteresis of the building in the X-direction (numbers shown in brackets are in mm and kN).
7.7. Time-History Response
The response to Seismic Test 4 produced the maximum displacement profile of the building (Figure 16); therefore, the time-history response of the building subjected to the Cape Mendocino-Rio record scaled to Sa = 0.9 g is selected to show the behavior of the building retrofitted with CLT rocking panels. Figure 18 presents the translational response (inter-story drift time-histories) of the first and second stories of the building in both the X- and Y-directions. Figure 18a presents the average translational responses in the X-direction (i.e., parallel to the motion of the shake table). It can be seen that the inter-story drift recorded at the first story is approximately four times the inter-story drift recorded at the second story. Thus, the first story is still soft even though it has been retrofitted. This results in more damage in the first story than in the upper stories (the upper stories only had hairline cracks in the drywall). Figure 18b presents the average translational response of the first and second stories in the Y-direction (perpendicular to the direction of shake table motion). It can be seen that the response of the building in this direction was very small; thereby demonstrating that torsion response had been effectively eliminated.
Figure 18.
Translational response of the building retrofitted with CLT panels and subjected to Cape Mendocino-Rio ground motion with peak ground accelerations (PGA) = 0.45 g: (a) X-direction; (b) Y-Direction.
7.8. Rotational Response
As mentioned previously, soft-story buildings can be soft in both translation and torsion. The four-story test building was not only soft in both translational directions but also had very low torsional stiffness due to its high stiffness irregularity in the first story (i.e., location of garage doors, window openings, etc.). The FEMA P-807 guideline is intended to eliminate the torsional response of buildings by reducing eccentricities. The inter-story rotational responses of the test building at the first and second stories during Seismic Test 4 are shown in Figure 19. It can be seen that the absolute inter-story rotational responses of the building at the first and second stories were 0.0021 radians (0.12 degrees) and 0.0003 radians (0.017 degrees), respectively; which confirms the elimination of the torsional irregularities in the retrofitted building.
Figure 19.
Inter-story rotational responses of the retrofitted building measured at the 1st and 2nd stories subjected to Cape Mendocino-Rio ground motion scaled to Sa = 0.9 g.
7.9. Energy Dissipation
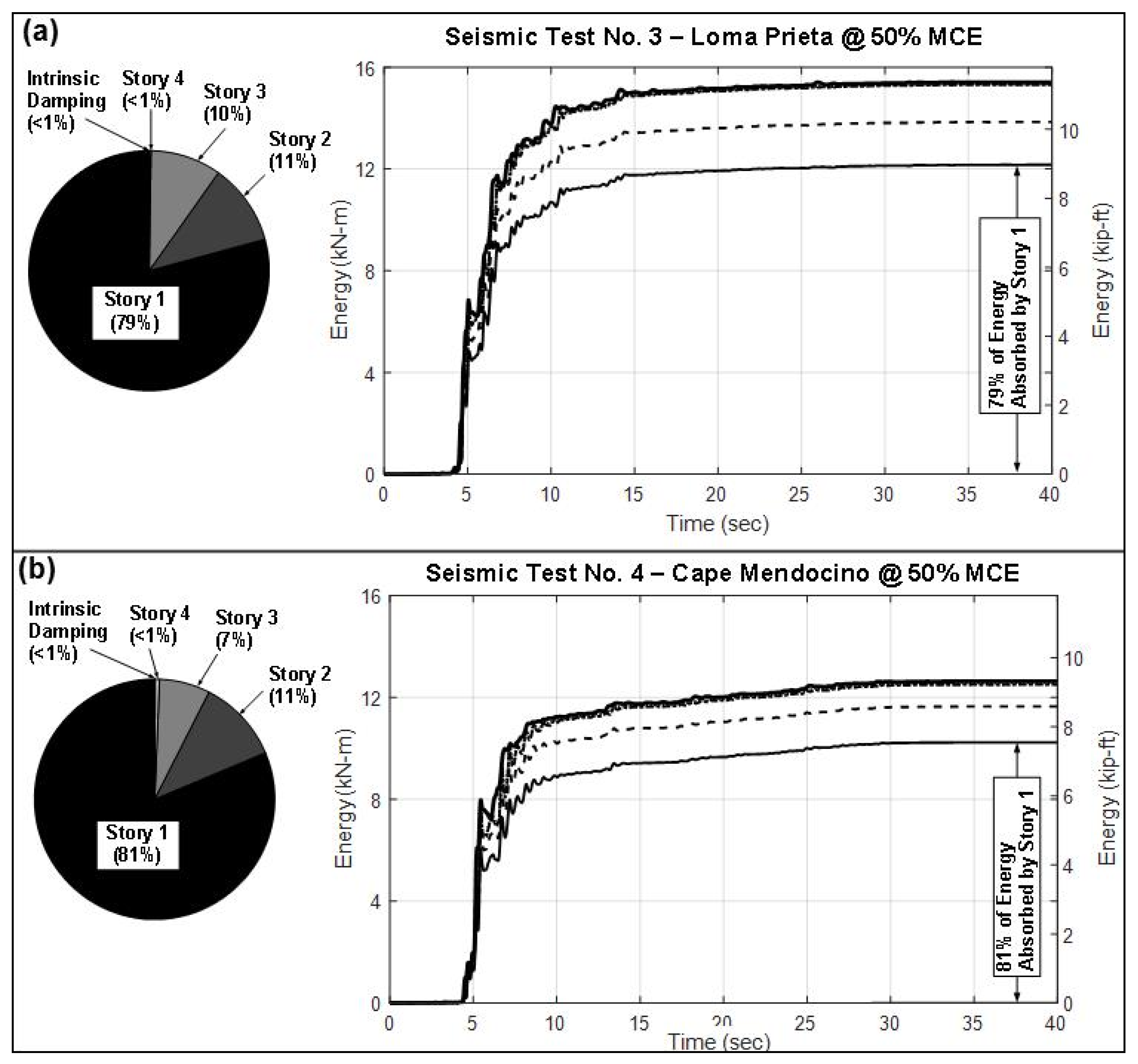
The performance of the building was evaluated with regard to the amount of earthquake energy dissipated at each story of the building. The larger the area enclosed by the hysteresis curves of the lateral resisting elements of a story, the more energy that story dissipates. The percentages of the energy dissipated at each story of the retrofitted building are shown in Figure 20. The detail of calculating dissipated energy by each story is presented in Bahmani [16]. It can be seen that about 80% of the ground motion energy was dissipated at the first story due its high displacement and nonlinear response. This confirms that the FEMA P-807 retrofit method requires the first story to absorb a significant portion of earthquake ground motion.
Figure 20.
Distribution of ground motion energy dissipated at each story of the retrofitted building subjected to (a) Loma Prieta at Sa = 0.9 g; (b) Cape Mendocino-Rio at Sa = 0.9 g.
7.10. Damage Inspection and Classification
A thorough damage inspection was conducted after each seismic test to evaluate what structural and non-structural damage occurred during each test. The life safety and collapse prevention performance levels involve moderate to extensive structural damage and severe non-structural damage. Nothing close to those was observed for the series of testing with CLT panels, and hence the corresponding inter-story drift levels could not be determined quantitatively. However, the different types of damages have been qualitatively classified to relate to a number of building performance levels. As expected, most of the damages were at the first story and in the direction of shaking. Cracks often started at the corners of openings and propagated during subsequent tests. The first location to develop cracks in the drywall was around the window of the light well at the back of the building. The laundry and storage rooms suffered most of the damage. Examples of observed damages along with the performance levels are listed below in Table 4. Very little damage is acceptable for the fully functional level, while some non-structural damage and minor repairs are acceptable for continued operation. Based on the limited observations, an inter-story drift value of 1% may be taken as the boundary value between the two levels. Nothing close to life safety or collapse prevention inter-story drift levels was observed for the series of testing with CLT panels.
Table 4.
Classification of observed damages.
Figure 21 and Figure 22 present photos of typical damage that occurred during tests. Figure 21a,b show significant damage at the first story (laundry room), but only a very small crack (hairline) was observed next to the corner of a window at the second story. Figure 21c,d present the damage incurred in the walls at the third story. It can be seen that the third story experienced no to very minor damages. This confirms that, for the FEMA P-807 retrofit methodology, the first story is expected to experience significant damage, while the upper stories do not experience significant damage because of their box-like rigid-body behavior during excitation.
Figure 21.
Typical damage observed in (a,b) diagonal cracks in the drywall at the first story; (c,d) no damage at upper stories (third story).
Figure 22.
Damages at the CLT walls after tests: (a,b) minor splitting near the base; (c,d) cracks at the top of walls; (e,f) no damage to the bases.
Figure 22 shows that the CLT rocking panels (i.e., retrofit elements) exhibited minor signs of distress. One of the threaded bars had yielded during the test. There were small cracks and splitting near the ends of a number of panels. The horizontal panels at the bases had small dents, indicating that the panels were engaged in rocking motions, as expected.
8. Summary and Conclusions
A full-scale four-story wood-frame building with a soft-story at its first floor was retrofitted using CLT rocking walls and FEMA P-807 retrofit methodologies. The FEMA P-807 methodology was used to design the retrofits. The building was subjected to the Loma Prieta-Gilroy and Cape Mendocino-Rio earthquake records scaled to spectral accelerations ranging from 0.2 to 0.9 g. The observed behavior of the retrofitted building was close to the design criteria for each test. In the FEMA P-807-based retrofits, the maximum inter-story drift was observed at the first story, and much less damage was transferred to the upper stories. The torsional response of the building was minor compared to the translational response, which confirms that the building was retrofitted such that the eccentricities at the stories were small following retrofits. It can be concluded that a retrofit in accordance with the FEMA P-807 guidelines using cross laminated timber (CLT) rocking panels is suitable for achieving life safety performance levels during 50% MCE level earthquakes when retrofit of all story levels is not possible due to one or more constraints. That satisfies the FEMA P-807 objectives of providing shelter-in-place and thus limiting societal disruption following a moderate to large earthquake in the San Francisco Bay Area.
Acknowledgments
Funding for the CLT retrofit portion of this project was provided through joint venture agreement 13-JV-11111133-066 between the USDA Forest Products Laboratory and Colorado State University. That funding is gratefully acknowledged. The parent project was supported by the National Science Foundation under Grant No. CMMI-1041631 and 1314957 (NEES Research) and NEES Operations. Any opinions, findings, and conclusions or recommendations expressed in this material are those of the investigators and do not necessarily reflect the views of the National Science Foundation. A sincere thank you to Simpson Strong Tie for their financial, personnel, and product support throughout the project. The authors kindly acknowledge the other Co-PI’s of the project, Mikhail Gershfeld, Michael Symans, Weichiang Pang, and Xiaoyun Shao, and other senior personnel of the NEES-Soft project, Gary Mochizuki, Steven Pryor, David V. Rosowsky at the University of Vermont, Andre Filiatrault at the University at Buffalo, Shiling Pei at the Colorado School of Mines, David Mar at Tipping Mar, and Charles Chadwell at Cal-Poly San Luis Obispo; the other graduate students participating on the project: PhD students Ershad Ziaei and Jingjing Tian, and MSc students Jason Au, and Robert McDougal; and the practitioner advisory committee: Laurence Kornfield, Tom Van Dorpe, Doug Thompson, Kelly Cobeen, Janiele Maffei, Douglas Taylor, and Rose Grant. A special thank you to all of the REU students: Sandra Gutierrez, Faith Silva, Gabriel Banuelos, Rocky Chen, and Connie Tsui. Others that have helped and the author are grateful to include Andre Barbosa, Vaishak Gopi, Steve Yang, Ed Santos, Tim Ellis, Omar Amini, Russell Ek, Rakesh Gupta, and Anthonie Kramer. Finally, our sincere thank you to NEES and all site staff and site PI’s at NEES@UCSD for their assistance in getting the test specimen ready for testing and in conducting the tests.
Author Contributions
John van de Lindt and Pouria Bahmani conceived, designed, and led the experiments in collaboration with a large team of researchers. Pouria Bahmani processed the experimental results in collaboration with John van de Lindt and others. Asif Iqbal assisted in conducting the experiments including damage inspection between tests; Douglas Rammer provided technical support before and during the experiments including discussion of results. Pouria Bahmani led the authorship of the manuscript and all authors contributed.
Conflicts of Interest
The authors declare no conflicts of interest.
References
- Filiatrault, A. Wood-Frame Project Testing and Analysis Literature Review; CUREECaltech Woodframe Project; CUREE W-03; Consortium of Universities for Research in Earthquake Engineering: Richmond, CA, USA, 2001. [Google Scholar]
- Nakamura, I.; Shimizu, H.; Minowa, C.; Sakamoto, I.; Suzuki, Y. E-Defense experiments on full-scale wooden houses. In Proceedings of the 14th World Conference on Earthquake Engineering, Beijing, China, 12–17 October 2008. [Google Scholar]
- Filiatrault, A.; Fischer, D.; Folz, B.; Uang, C.-M. Seismic Testing of a Two-Story Wood-frame House: Influence of Wall Finish Materials. ASCE J. Struct. Eng. 2002, 128, 1337–1345. [Google Scholar] [CrossRef]
- NAHB. Evaluation of Full-Scale House Testing under Lateral Loading; Report #5822–03_01162009; NAHB Research Center: Upper Marlboro, MD, USA, 2009. [Google Scholar]
- Uniform Building Code. International Conference of Building Officials; UBC: Whittier, CA, USA, 1988. [Google Scholar]
- Filiatrault, A.; Christovasilis, I.; Wanitkorkul, A.; van de Lindt, J.W. Experimental Seismic Response of a Full-Scale Light-Frame Wood Building. ASCE J. Struct. Eng. 2010, 136, 246–254. [Google Scholar] [CrossRef]
- Pang, W.; Rosowsky, D.; van de Lindt, J.; Pei, S. Simplified Direct Displacement Design of Six-Story NEESWood Capstone Building and Pre-Test Seismic Performance Assessment; NEESWood Report NW-05; MCEER: Buffalo, NY, USA, 2009. [Google Scholar]
- Christovasilis, I.P.; Filiatrault, A.; Wanitkorkul, A. Seismic Testing of a Full-Scale Two-Story Light-Frame Wood Building: NEESWood Benchmark Test; NEESWood Report No. NW-01; Department of Civil, Structural and Environmental Engineering, University at Buffalo, State University of New York: Buffalo, NY, USA, 2007. [Google Scholar]
- Mosalam, K.M.; Mahin, S.A. Seismic Evaluation and Retrofit of Asymmetric Multi-story Wood-frame Building. J. Earthq. Eng. 2007, 11, 968–986. [Google Scholar] [CrossRef]
- Van de Lindt, J.W.; Pei, S.; Pryor, S.E.; Shimizu, H.; Isoda, H. Experimental Seismic Response of a Full-Scale Six-Story Light-frame Wood Building. ASCE J. Struct. Eng. 2010, 136, 1262–1272. [Google Scholar] [CrossRef]
- Pei, S.; van de Lindt, J.W.; Pryor, S.E.; Shimizu, H.; Isoda, H.; Rammer, D. Seismic Testing of a Full-Scale Mid-rise Building: The NEESWood Capstone Test. NEESWood Project Report NW-04. 2010. Available online: www.nees.org (accessed on 5 June 2017).
- Pang, W.; Rosowsky, D.; Pei, S.; van de Lindt, J. Simplified Direct Displacement Design of Six-Story Wood-frame Building and Pretest Seismic Performance Assessment. J. Struct. Eng. 2010, 136, 813–825. [Google Scholar] [CrossRef]
- Van de Lindt, J.; Bahmani, P.; Mochizuki, G.; Pryor, S.; Gershfeld, M.; Tian, J.; Symans, M.; Rammer, D. Experimental Seismic Behavior of a Full-Scale Four-Story Soft-Story Wood-Frame Building with Retrofits. II: Shake Table Test Results. ASCE J. Struct. Eng. 2014. [Google Scholar] [CrossRef]
- Bahmani, P.; van de Lindt, J.; Gershfeld, M.; Mochizuki, G.; Pryor, S.; Rammer, D. Experimental Seismic Behavior of a Full-Scale Four-Story Soft-Story Wood-Frame Building with Retrofits. I: Building Design, Retrofit Methodology, and Numerical Validation. ASCE J. Struct. Eng. 2014, 142. [Google Scholar] [CrossRef]
- FEMA P-807, Federal Emergency Management Agency. Seismic Evaluation and Retrofit of Multi-Unit Wood-Frame Buildings with Weak First Stories; FEMA: Washington, DC, USA, 2012.
- Bahmani, P. Performance-Based Seismic Retrofit (PBSR) Methodology for Multi-Story Buildings with Full-Scale Experimental Validation. Ph.D. Thesis, Colorado State University, Fort Collins, CO, USA, May 2015. [Google Scholar]
- Bahmani, P.; van de Lindt, J.; Dao, T. Displacement-Based Design of Buildings with Torsion: Theory and Verification. ASCE J. Struct. Eng. 2013. [Google Scholar] [CrossRef]
- Bahmani, P.; van de Lindt, J. Direct Displacement Design of Vertically and Horizontally Irregular Wood-frame Buildings. In Proceedings of the 2013 Structures Congress, Pittsburgh, PA, USA, 2–4 May 2013; pp. 1217–1228. [Google Scholar]
- Bahmani, P.; van de Lindt, J.W. Numerical modeling of soft-story wood-frame retrofit techniques for design. In Proceedings of the 2012 Structures Congress, Chicago, IL, USA, 29–31 March 2012; ASCE: Reston, VA, USA; pp. 1755–1766. [Google Scholar]
- CSA. O86-14—Engineering Design in Wood; CSA Group: Mississauga, ON, Canada, 2014. [Google Scholar]
- Pei, S.; van de Lindt, J.; Popovski, M. Approximate R-Factor for Cross-Laminated Timber Walls in Multistory Buildings. J. Archit. Eng. 2013, 19, 245–255. [Google Scholar] [CrossRef]
- Popovski, M.; Schneider, J.; Schweinsteiger, M. Lateral load resistance of cross laminated wood panels. In Proceedings of the World Conference on Timber Engineering, Riva del Garda, Italy, 20–24 June 2010. [Google Scholar]
- Amini, M.O.; van de Lindt, J.; Rammer, D.; Pei, S.; Line, P.; Popovski, M. Determination of Seismic Performance Factors for CLT Shear Wall Systems. In Proceedings of the World Conference on Timber Engineering, Vienna, Austria, 22–25 August 2016. [Google Scholar]
- Karacabeyli, E.; Douglas, B. (Eds.) CLT Handbook, U.S. ed.; FPInnovations Special Publication SP-529E; FPInnovations: Pointe-Claire, QC, Canada, 2013. [Google Scholar]
- Ozcelik, O.; Luco, J.E.; Conte, J.P.; Trombetti, T.L.; Restrepo, J.I. Experimental Characterization, Modeling and Identification of The NEES-UCSD Shake Table Mechanical System. Earthq. Eng. Struct. Dyn. 2008, 37, 243–264. [Google Scholar] [CrossRef]
- San Francisco. Mandatory Seismic Retrofit Ordinance—City of San Francisco; American Legal Publishing: San Francisco, CA, USA, 2012.
- ASCE7-05. Minimum Design Loads for Buildings and Other Structures; ASCE/SEI 7-10; American Society of Civil Engineers: Reston, VA, USA, 2005. [Google Scholar]
- ASCE7-10. Minimum Design Loads for Buildings and Other Structures; ASCE/SEI 7-05; American Society of Civil Engineers: Reston, VA, USA, 2010. [Google Scholar]
- FEMA P-695, Federal Emergency Management Agency. Quantification of Building Seismic Performance Factors; FEMA: Washington, DC, USA, 2009.
- Pang, W.; Ziaei, E.; Filiatrault, A. A 3D Model for Collapse Analysis of Soft-story Light-frame Wood Buildings. In Proceedings of the World Conference of Timber Engineering, Auckland, New Zealand, 15–19 July 2012. [Google Scholar]
- Van de Lindt, J.W.; Bahmani, P.; Gershfeld, M.; Kandukuri, G.; Rammer, D.; Pei, S. Seismic Retrofit of Soft-Story Wood-frame Buildings Using Cross Laminated Timber. In Proceedings of the ISEC-7, Honolulu, HI, USA, 18–23 June 2013. [Google Scholar]
- Tipping Mar. Weak Story Tool Version 1.5.0.29 [Computer Software]; Tipping Mar: Berkeley, CA, USA, 2012. [Google Scholar]
- Chopra, A.K. Dynamics of Structures: Theory and Applications to Earthquake Engineering, 5th ed.; Prentice Hall International Series; Pearson: London, UK, 2005. [Google Scholar]
© 2017 by the authors. Licensee MDPI, Basel, Switzerland. This article is an open access article distributed under the terms and conditions of the Creative Commons Attribution (CC BY) license (http://creativecommons.org/licenses/by/4.0/).





















