Research on the Mechanical Properties and Failure Criteria of Large-Sized Concrete Slabs Under Multi-Axis Stress
Abstract
1. Introduction
2. Lateral Compressive Strength Test of Large-Size Concrete Slabs
2.1. Preparation of Large-Size Concrete Slab Specimens
2.2. Design of a Loading System for Strength Testing of Large-Size Concrete Slab
2.3. Concrete Slab Testing Programme for Strength of Large-Size Concrete Slabs
3. Test Results for Lateral Compressive Strength of Large-Size Concrete Slabs
3.1. Test Results for Uniaxial Lateral Compressive Strength of Large-Size Concrete Slabs
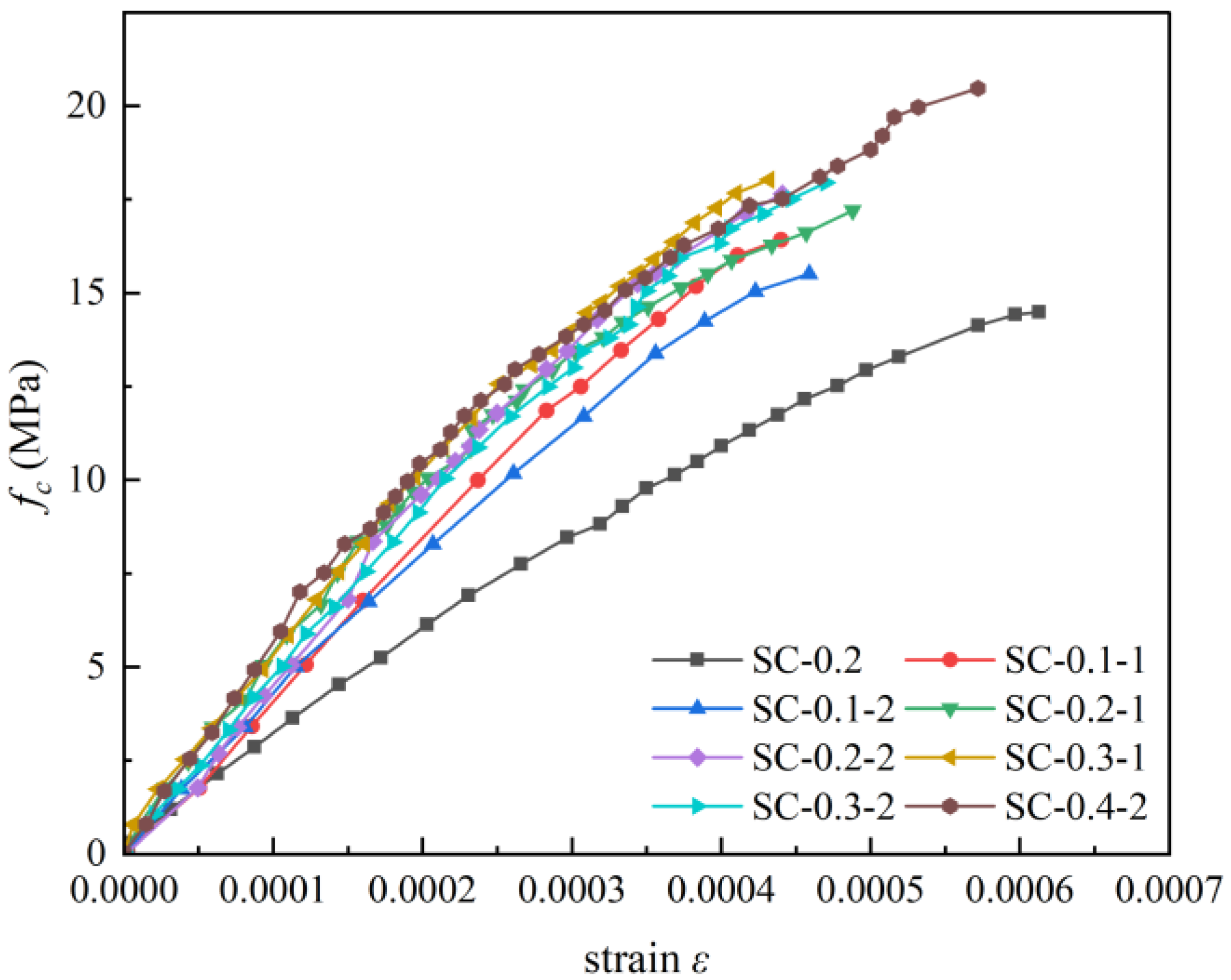
3.2. Test Results for Biaxial Lateral Compressive Strength of Large-Size Concrete Slabs
3.2.1. Crack Patterns in Large-Sized Concrete Slabs Under Different Lateral Pressure Ratios
3.2.2. Analysis of Lateral Compressive Strength of Large-Dimension Concrete Slabs Under Different Lateral Compressive Ratios
4. Concrete Slab Strength Reduction Formula and Failure Criteria
4.1. Concrete Specimen Strength Reduction Formula
4.2. Strength Failure Criteria for Large-Size Concrete Slabs
4.3. Formula for the Biaxial Strength of Large-Sized Concrete Slabs
5. Conclusions
Author Contributions
Funding
Institutional Review Board Statement
Informed Consent Statement
Data Availability Statement
Conflicts of Interest
References
- Wang, M.; Xu, Y.; Tian, J. Study on the leakage characteristic of concrete face rockfill dam. China Water Resour. 2019, 8, 46–48+51. [Google Scholar]
- Özkuzukiran, S.; Özkan, M.Y.; Özyazicioğlu, M. Settlement behaviour of a concrete faced rock-fill dam. Geotech. Geol. Eng. 2006, 24, 1665–1678. [Google Scholar] [CrossRef]
- Li, D.; Jin, L.; Du, X.; Fu, J.; Lu, A. Size effect tests of normal-strength and high-strength RC columns subjected to axial compressive loading. Eng. Struct. 2016, 109, 43–60. [Google Scholar] [CrossRef]
- Zheng, L.; Jing, M.; Zhang, G.; Zhang, L.; Long, A.; Liu, Y.; Yao, L.; Xin, J.; Guo, J.; Deng, W.; et al. Research on anti-cracking measures for concrete face slabs of rockfill dams under coupled thermal stress and settlement deformation. Results Eng. 2025, 28, 108273. [Google Scholar] [CrossRef]
- Pathirage, M.; Tong, D.; Thierry, F.; Cusatis, G.; Grégoire, D.; Pijaudier-Cabot, G. Discrete modeling of concrete failure and size-effect. Theor. Appl. Fract. Mech. 2023, 124, 103738. [Google Scholar] [CrossRef]
- Wu, L.-X.; Zou, S.; Li, Y.-B.; Liang, Y.-H. Research on the size effect of rock-filled concrete compressive strength: Considering the influence of rockfill ratios and rock shapes. Case Stud. Constr. Mater. 2025, 23, e05048. [Google Scholar] [CrossRef]
- Jiang, N.; Ge, Z.; Wang, Z.; Gao, T.; Zhang, H.; Ling, Y.; Šavija, B. Size effect on compressive strength of foamed concrete: Experimental and numerical studies. Mater. Des. 2024, 240, 112841. [Google Scholar] [CrossRef]
- Zheng, Z.; Zeng, C.; Tian, C.; Wei, X. Mesoscale numerical investigation on the size effect of concrete uniaxial compressive strength under different contact friction. Constr. Build. Mater. 2022, 346, 128416. [Google Scholar] [CrossRef]
- Akram, A. Size effect at testing strength properties of concrete. Bud. Archit. 2021, 20, 37–46. [Google Scholar] [CrossRef]
- Guan, Z.; Li, Y.; Lai, Z.; Zhou, H.; Qin, J.; Wen, Y.; Chen, Y.; Huang, R. Size effect of concrete based on split Hopkinson pressure bar (SHPB) test. Constr. Build. Mater. 2024, 441, 137499. [Google Scholar] [CrossRef]
- Vishwanatha, H.S.; Muralidhara, S.; Raghu Prasad, B.K. Size Effect in Concrete Beams: A Numerical Investigation Based on the Size Effect Law. Fract. Struct. Integr. 2025, 19, 23–40. [Google Scholar] [CrossRef]
- Fare, T.O.; Matallah, M.; Kanali, C. Experimental and Numerical Assessment of Structure and Coarse Aggregate Size Effects on the Mechanical Properties of Concrete. Eng. Rep. 2025, 7, e70423. [Google Scholar] [CrossRef]
- Jin, L.; Li, J.; Yu, W.; Du, X. Size effect modelling for dynamic biaxial compressive strength of concrete: Influence of lateral stress ratio and strain rate. Int. J. Impact Eng. 2021, 156, 103942. [Google Scholar] [CrossRef]
- Gong, H.; Luo, Y.; Meng, F.; Du, H. Failure behavior and strength deterioration model of high-performance concrete under coupled elevated temperature, biaxial constraint and impact loading. J. Build. Eng. 2023, 75, 107002. [Google Scholar] [CrossRef]
- Samani, A.K.; Attard, M.M. A stress–strain model for uniaxial and confined concrete under compression. Eng. Struct. 2012, 41, 335–349. [Google Scholar] [CrossRef]
- Li, Y.; Sun, X.; Li, G.; Zhang, J.; Fang, D.; Wang, X. Impact of concrete face cracks on the saturated and unsaturated seepage behavior of rockfill dams. Structures 2024, 61, 105990. [Google Scholar] [CrossRef]
- Jin, L.; Miao, L.-Y.; Chen, F.-J.; Du, X.L. Evaluation of shear capacity of reinforced concrete shear walls considering size effect. Eng. Mech. 2025, 42, 10–19. [Google Scholar] [CrossRef]
- Zhao, Y.; Yin, N.; Xu, B.; Tao, Y. Nondimensional size dependent fracture model of concrete based on boundary effect theory. Theor. Appl. Fract. Mech. 2022, 118, 103288. [Google Scholar] [CrossRef]
- Abra, O.; Ben Ftima, M. Strength Reduction Method for the Assessment of Existing Large Reinforced Concrete Structures. Appl. Sci. 2024, 14, 1614. [Google Scholar] [CrossRef]
- Ali, O.; Mariet, A.M.; Madkour, H.; Hassanean, Y. Strength reduction factor based on probabilistic analysis for hybrid reinforced concrete beams. Eng. Struct. 2024, 308, 117992. [Google Scholar] [CrossRef]
- Chen, X.; Zheng, D.; Wu, X.; Li, C. A Review of Three Common Concrete Multiaxial Strength Criteria from 2010 to 2020. Arch. Comput. Methods Eng. 2022, 30, 811–829. [Google Scholar] [CrossRef]
- Zhang, X.; Gong, J.; Lv, Y.; Zheng, Q.; Li, C. Experimental study on confinement-dependent mechanical behavior and failure criteria of high-strength geopolymer concrete. Constr. Build. Mater. 2025, 495, 143684. [Google Scholar] [CrossRef]
- Park, H.; Kim, J.Y. Plasticity model using multiple failure criteria for concrete in compression-ScienceDirect. Int. J. Solids Struct. 2005, 42, 2303–2322. [Google Scholar] [CrossRef]
- Koechlin, P.; Andrieux, S.; Millard, A.; Potapov, S. Failure criterion for reinforced concrete beams and plates subjected to membrane force, bending and shear. Eur. J. Mech. A/Solids. 2008, 27, 1161–1183. [Google Scholar] [CrossRef]
- Iasnii, V.; Mykytyshyn, T. Specimen size and shape effect on the compressive strength of concrete. Sci. J. Ternopil Natl. Tech. Univ. 2023, 111, 97–105. [Google Scholar] [CrossRef]
- Li, B.; Jiang, G.; Hu, J.; Li, Y.; Wu, F.; Qin, Z.; Wang, S. Specimen size effect on compressive and splitting tensile strengths of sustainable geopolymeric recycled aggregate concrete: Experimental and theoretical analysis. J. Clean. Prod. 2024, 434, 140154. [Google Scholar] [CrossRef]
- Neville, A.M. A General Relation for Strengths of Concrete Specimens of DifferentShapes and Sizes. J. Am. Concr. Inst. 1966, 63, 1095–1110. [Google Scholar]
- Bian, S.H.; Li, G.Y.; Wei, K.M.; Zhou, J. Modified generalized plasticity model for rockfill materials. Chin. J. Geotech. Eng. 2017, 39, 1936–1942. [Google Scholar] [CrossRef]
- Yin, Z.-Z. Stress and deformation of high earth and rock-fill dams. Chin. J. Geotech. Eng. 2009, 31, 1–14. [Google Scholar]
- Lade, P.V. Elasto-Plastic Stress-Strain Theory for Cohesionless Soil with Curved Yield Surfaces. Int. J. Solids Struct. 1977, 13, 1019–1035. [Google Scholar] [CrossRef]
- Naylor, D.J. Developments in Soil Mechanics; Scott, C.R., Ed.; Applied Science Publishers, Ltd.: London, UK, 1978. [Google Scholar]
- Li, J. Effect of Specimen Size and Aggregate Diameter on Concrete Strength. Des. Hydroelectr. Power Stn. 1991, 3, 20–27. [Google Scholar]
- GB50010-2010; Code for Design of Architecture & Concrete Structures. China Architecture & Building Press: Beijing, China, 2010.
- SL191-2008; Design Code for Hydraulic Concrete Structures. China Water & Power Press: Beijing, China, 2008.













| Specime Number | Specimen Dimensions/m | Loading Method | Dual-Axis Pressure Ratio | Strain Gauge Arrangement |
|---|---|---|---|---|
| SC-1 | 1.5 × 1.5 × 0.15 | Single-axis | — | Embedded |
| SC-2 | Single-axis | — | Surface | |
| SC-0.1-1 | dual-axis | 0.1 | Embedded | |
| SC-0.1-2 | dual-axis | 0.1 | Surface | |
| SC-0.2-1 | dual-axis | 0.2 | Embedded | |
| SC-0.2-2 | dual-axis | 0.2 | Surface | |
| SC-0.3-1 | dual-axis | 0.3 | Embedded | |
| SC-0.3-2 | dual-axis | 0.3 | Surface | |
| SC-0.4-1 | dual-axis | 0.4 | Embedded | |
| SC-0.4-2 | dual-axis | 0.4 | Surface |
| Specimen Number | Dual-Axis Pressure Ratio | Strain Gauge Arrangement | Compressive Strength/MPa | Average Strength/MPa |
|---|---|---|---|---|
| SC-1 | 0 | Embedded | 15.909 | 15.491 |
| SC-2 | 0 | Surface | 15.072 | |
| SC-0.1-1 | 0.1 | Embedded | 16.446 | 16.004 |
| SC-0.1-2 | 0.1 | Surface | 15.561 | |
| SC-0.2-1 | 0.2 | Embedded | 17.592 | 17.542 |
| SC-0.2-2 | 0.2 | Surface | 17.492 | |
| SC-0.3-1 | 0.3 | Embedded | 18.024 | 17.980 |
| SC-0.3-2 | 0.3 | Surface | 17.936 | |
| SC-0.4-1 | 0.4 | N 1 | N 1 | 20.581 |
| SC-0.4-2 | 0.4 | Surface | 20.581 |
| Source of Information | Dimensions of the Cubic Specimen (mm) | |||||
|---|---|---|---|---|---|---|
| 100 | 1500 | 200 | 300 | 4500 | ||
| Based on the strength of 150 mm cubic specimens | Nanjing Institute of Water Resources and Hydropower Research | 1.08 | 1.00 | 0.97 | 0.92 | 0.78 |
| Northeast Institute of Water Resources and Hydropower Research | 1.04 | 1.00 | 0.95 | 0.93 | -- | |
| ISO | 1.00 | 1.00 | 0.95 | 0.90 | -- | |
| Soviet ΓOCT | 1.12 | 1.00 | 0.93 | 0.90 | -- | |
| Neville | 0.98 | 0.91 | 0.86 | 0.79 | 0.74 | |
| Amend Neville | 1.09 | 1.00 | 0.94 | 0.85 | 0.77 | |
| Stress Ratio | 0.1 | 0.2 | 0.3 | 0.4 | 0.5 | 0.6 | 0.7 | 0.8 | 0.9 | 1.0 |
|---|---|---|---|---|---|---|---|---|---|---|
| A | 0.102 | 0.204 | 0.306 | 0.400 | 0.488 | 0.568 | 0.637 | 0.694 | 0.747 | 0.790 |
| B | 1.020 | 1.022 | 1.020 | 1.000 | 0.976 | 0.947 | 0.910 | 0.867 | 0.830 | 0.790 |
| C | −1.070 | −1.138 | −1.200 | −1.250 | −1.275 | −1.290 | −1.288 | −1.258 | −1.212 | −1.16 |
| D | −0.107 | −0.228 | −0.360 | −0.500 | −0.638 | −0.774 | −0.902 | −1.006 | −1.091 | −1.16 |
| Concrete Strength Grade | C15 | C20 | C25 | C30 | C35 | C40 | C45 | C50 | C55 | C60 |
|---|---|---|---|---|---|---|---|---|---|---|
| δfc | 0.2 | 0.18 | 0.16 | 0.14 | 0.13 | 0.12 | 0.12 | 0.11 | 0.11 | 0.1 |
Disclaimer/Publisher’s Note: The statements, opinions and data contained in all publications are solely those of the individual author(s) and contributor(s) and not of MDPI and/or the editor(s). MDPI and/or the editor(s) disclaim responsibility for any injury to people or property resulting from any ideas, methods, instructions or products referred to in the content. |
© 2026 by the authors. Licensee MDPI, Basel, Switzerland. This article is an open access article distributed under the terms and conditions of the Creative Commons Attribution (CC BY) license.
Share and Cite
Wu, J.; Fan, J.; Li, G.; Mi, Z.; Mo, Z. Research on the Mechanical Properties and Failure Criteria of Large-Sized Concrete Slabs Under Multi-Axis Stress. Buildings 2026, 16, 576. https://doi.org/10.3390/buildings16030576
Wu J, Fan J, Li G, Mi Z, Mo Z. Research on the Mechanical Properties and Failure Criteria of Large-Sized Concrete Slabs Under Multi-Axis Stress. Buildings. 2026; 16(3):576. https://doi.org/10.3390/buildings16030576
Chicago/Turabian StyleWu, Junjie, Jinyong Fan, Guoying Li, Zhankuan Mi, and Zuguo Mo. 2026. "Research on the Mechanical Properties and Failure Criteria of Large-Sized Concrete Slabs Under Multi-Axis Stress" Buildings 16, no. 3: 576. https://doi.org/10.3390/buildings16030576
APA StyleWu, J., Fan, J., Li, G., Mi, Z., & Mo, Z. (2026). Research on the Mechanical Properties and Failure Criteria of Large-Sized Concrete Slabs Under Multi-Axis Stress. Buildings, 16(3), 576. https://doi.org/10.3390/buildings16030576
