Next Article in Journal
A Beam-Deflection-Based Approach for Cable Damage Identification
Previous Article in Journal
Coordinated Scheduling of BESS–ASHP Systems in Zero-Energy Houses Using Multi-Agent Reinforcement Learning
 
 
Font Type:
Arial Georgia Verdana
Font Size:
Aa Aa Aa
Line Spacing:
Column Width:
Background:
Article

Experimental Study and Mechanical Performance Analysis of Reinforcement and Strengthening of Grouted Sleeve Connection Joints

1
Beijing Building Research Institute Corporation Limited of CSCEC, Beijing 100076, China
2
College of Civil Engineering and Transportation, Northeast Forestry University, Harbin 150040, China
*
Author to whom correspondence should be addressed.
Buildings 2026, 16(2), 275; https://doi.org/10.3390/buildings16020275
Submission received: 10 December 2025 / Revised: 29 December 2025 / Accepted: 5 January 2026 / Published: 8 January 2026
(This article belongs to the Section Building Materials, and Repair & Renovation)

Abstract

Grouted sleeves are commonly used to connect prefabricated structural components, but construction defects can easily occur after installation, posing potential risks to the structure. This study conducts comparative uniaxial tensile tests on 39 grouted-sleeve specimens in 13 groups—including standard specimens, defective specimens, and specimens repaired with supplementary grouting. The strain distribution patterns under different grouting lengths and loading levels are analyzed to investigate the load-transfer mechanism between reinforcement bars and grouted sleeves, as well as the influence of various supplementary grouting amounts and material strengths on the mechanical performance of defective sleeves. In the uniaxial tensile test of grouted sleeves, with grout strengths of 85 MPa and 100 MPa and HRB400-grade steel bars, when the grouted anchorage length was 4 d, insufficient anchorage length resulted in low bond strength between the grout and the steel bar, leading to bond–slip failure. When the grouted anchorage length reached 6 d, steel bar fracture occurred inside the sleeve. When the total anchorage length formed by two grouting sessions reached 8 d, specimen slippage decreased, showing a trend where the strain growth rate of the sleeve gradually decreased from the grouted end to the anchored end, while the strain growth rate of the steel bar gradually increased. The longer the total anchorage length in the sleeve after grout repair, the stronger its anti-slip capability. The bearing capacity and failure mode of the specimens depend on the strength of the steel bars connected to the grouted sleeves and the strength of the threaded connection ends at the top. Experimental results show that the anchorage length and strength of high-strength grout materials have a significant reinforcing effect on defective sleeves. The ultimate bearing capacity of specimens with anchorage length of 6 d or more is basically the same as that of steel bars. Specimens with a total anchorage length of 8 d show approximately 10~20% less slippage than those with 6 d. The safe anchorage length for HRB400-grade steel bars in sleeve-grouted connections is 8 d, even though the bearing capacity of grouted sleeves with a 6 d anchorage length already meets the requirements. Bond strength analysis confirms that the critical anchorage length is 4.49 d. When the grouted anchorage length exceeds the critical length, the failure mode of the specimen is steel bar fracture. When the grouted anchorage length is less than the critical length, the failure mode is steel bar slippage. This conclusion aligns closely with experimental results. In engineering practice, the critical anchorage length can be used to predict the failure mode of grouted sleeve specimens. Based on experimental research and theoretical analysis, it is clear that using grout repair to reinforce defective grouted sleeve joints with a safe anchorage length of 8 d is a secure and straightforward strengthening method.

1. Introduction

Grouted sleeve connections are one of the primary connection methods in prefabricated monolithic concrete structures. They are widely used in component joints such as wall–wall vertical connections and column–beam horizontal connections. The principle is to insert deformed bars that need to be joined into a metal sleeve for “butt connection,” then inject grout into the sleeve. After hardening, a slight expansion occurs in grout materials containing a small amount of expansion additives, then substantial compressive stress is generated between the sleeve wall and the steel bar, while the ribbed surface of the bar provide frictional resistance. Together, these mechanisms transfer the axial force of the reinforcement and achieve structural connectivity.
Lamport (1988) [1] studied the effects of internal sleeve configuration and grout strength on ultimate bearing capacity and confirmed that the ultimate capacity of the specimens is correlated with the square of grout strength. Kim (2000) [2] used grouted sleeves with tapered ends and smooth inner walls to connect precast beam–column joints and conducted quasi-dynamic tests under low-cycle reversed loading. The results verified that, with adequate grout strength and proper construction, the energy dissipation and ductility of the precast joints match those of cast-in-place seismic performance. Lee [3] designed a new fully grouted sleeve with a helical internal configuration and examined the effects of embedment depth and sleeve geometry on bearing capacity and deformation. The failure modes observed in the deformed sleeve region provide valuable references for subsequent sleeve design. Haber (2014) [4] investigated the uniaxial deformation response of two types of mechanical couplers under static and dynamic cyclic loading and found that mechanical couplers significantly reduce reinforcement deformation capacity. Henin (2015) [5] developed a new type of sleeve fabricated by rolling seamless steel tubes to form internal threads, and conducted mechanical test and numerical analysis on the internal thread configuration and sleeve dimensions, and the results showed that the sleeve length must be at least 16 times the bar diameter to ensure the joint’s ultimate capacity exceeds that of the reinforcement.
Regarding studies on sleeve performance, Su H (2023) [6] investigated the seismic behavior of multi-segment columns connected with grouted sleeves. Through reversed cyclic tests and numerical simulations, the results demonstrated that grouted sleeve connections can provide multi-segment columns with favorable seismic performance. Zhang Z (2024) [7] designed a new type of mechanical grouted sleeve for reinforcement bars and conducted uniaxial tensile tests and cyclic loading tests. The findings showed that the new sleeve exhibits excellent uniaxial tensile capacity and fatigue resistance. Bao Y (2025) [8] examined the influence of cold climates on the load-bearing capacity of grouted sleeves used in prefabricated concrete structures. By simulating northern Chinese climate conditions, performing monotonic tensile tests, and developing finite-element models to assess stress distribution in the connectors, it was concluded that the sleeve strength meets performance requirements.
Sayadi (2018) [9] fabricated precast beams containing grouted sleeves with different parameters and observed that splice sleeves with interlocking mechanisms in the inelastic region exhibit superior performance and bonding strength. As the bolt layout extended from the boundary between the elastic and inelastic regions into the elastic region, the failure mode shifted from yielding to slip failure.
Regarding the influence of grout on grouted sleeve connections, Han et al. (2022) [10] fabricated 24 grouted sleeve connection specimens using four types of grout with different strengths and concluded that the bond strength increases with the grout strength. Chen et al. (2020) [11] experimentally investigated half-grouted sleeve connections with water/binder ratio defects, finding that the failure mode shifts from rebar fracture to bond–slip pull-out with increasing water content.
The performance of these connections is highly sensitive to grouting quality. Defects inside sleeves may lead to compromised joint performance and structural safety risks. Xu et al. (2018) [12] conducted a systematic experimental study on half-grouted sleeve connections with four types of grouting defects: uniform, longitudinal, radial, and inclined. They identified a critical defect volume ratio of 30%, which differentiates the transition in failure mode from ductile rebar yielding to brittle bond–slip failure. Zhang et al. (2020) [13] conducted a uniaxial tensile test on 66 semi-grouting sleeves that were not full after high temperatures. The results indicate that the tensile behavior of the semi-grouted sleeves is significantly influenced by both the peak temperature and construction defects. When the temperature exceeds 600 °C, the reliability of the connection becomes notably compromised. The effect of construction defects on the mechanical properties of the specimens primarily depends on the extent of reduction in the effective bonding area between the steel bar and the grouting material. Zhu et al. [14] investigated the influence of temperature and anchorage length on the tensile properties of semi-grouted sleeve connectors following high-temperature exposure. The results showed that with the increasing of temperature, the failure mode of the grouted sleeve connectors changed from tension failure after steel bar yield to the pull-out failure after steel bar yield. Qu et al. (2023) [15] studied sleeve connections with localized grouting defects (upper, middle, lateral), revealing that middle and lateral defects most severely degrade bond performance. Yuan et al. [16] conducted monotonic tensile tests on grouted sleeve connection specimens of different specifications after corrosion treatment. The results indicate that corrosion significantly degrades the connection performance, and as the corrosion rate increases, the failure mode shifts from rebar fracture to connection failure.
Correspondingly, analytical modeling has advanced to predict tensile capacity and bond behavior. Lu et al. (2019) [17] and Yuan et al. (2017) [18] both proposed analytical models for tensile capacity based on sleeve confinement. Cao et al. (2024) [19] formulated a calculation model for the local bond stress–slip relationship in GSCs, which is grounded on a reinforcement–concrete interface model and is validated through experimental data from local bond tests. Furthermore, Liu et al. (2022) [20] developed a bond strength prediction model for defective grout materials under different loadings. Zhang et al. (2022) [21] proposed an equivalent stress–strain model for half-grouted sleeve connections under monotonic and repeated loads. Qu et al. (2023) [15] demonstrated that a modified Concrete Damaged Plasticity (CDP) model could effectively simulate failure modes.
Collectively, these findings underscore the importance of sleeve geometry, material selection, anchorage length, and crucially, grouting quality, in optimizing the performance of grouted splice systems.
Ma G. (2024) [22] investigated the effects of insufficient grouting and bar eccentricity defects on the structural performance of half-grouted sleeve connections. A total of 27 half-grouted carbon steel sleeve specimens were fabricated, and the results indicated that such sleeves reduced the bonding performance of HGSCs, making bond–slip failure more likely to occur. Chen D (2024) [23] conducted tests on 144 fully grouted sleeves containing various grout voids and performed static tensile tests to identify two primary failure modes: bar tensile fracture and bar pullout. Specimens with concentrated voids exhibited lower load-bearing capacity. Wang Y. (2024) [24] proposed a simplified modeling method for precast shear walls considering grouting defects in sleeves. Experimental findings showed that the presence of defects made the connections more prone to brittle failure under loading and reduced the structural ductility. Although extensive research has been conducted internationally on the mechanical performance of grouted sleeves with defects, most studies focus on defect types formed after initial grouting, with limited attention to practical repair methods and the mechanical behavior of sleeves after regrouting. For post-defect remediation, secondary grouting through the original injection or outlet ports is commonly used; however, the influence of parameters such as original anchorage length, the amount of secondary grout, the type of repair materials, and defect formation mechanisms on sleeve performance has not been effectively evaluated. In this study, defects that commonly occur after grouting in prefabricated sleeve connections are examined. Uniaxial tensile tests are conducted on repaired sleeves, and finite element models of grout, ribbed reinforcing bars, and sleeves are established. The aim is to explore the feasibility of secondary grouting under different defect conditions, thereby improving the construction system of prefabricated buildings and ensuring the structural safety of assembled structures.

2. Uniaxial Tensile Test Scheme

A grouted sleeve connection primarily consists of three components: the sleeve, the reinforcing bar, and the specialized grout. Due to current limitations in grouting techniques, half-grouted sleeves frequently develop defects during construction—such as grout backflow, leakage, or bursting—which may lead to insufficient anchorage length or even the absence of grout within portions of the sleeve. This chapter focuses on defective grouted sleeves and adopts in situ regrouting through the original injection or outlet ports to repair these defects. Uniaxial tensile tests are conducted on repaired specimens to investigate the mechanical performance of defect-containing sleeves after regrouting. The study examines the effects of factors such as grout volume, grout material type, and anchorage length on bond–slip behavior and strain distribution, thereby providing a technical basis for subsequent prefabricated construction practices and component production.

2.1. Detailed Information on Grouted Sleeve Specimens and Fabrication Process

Specimen fabrication includes three main steps: surface preparation of the reinforcing bars and strain gauge installation, sleeve surface preparation and strain gauge attachment, and the construction of the grout curing platform followed by specimen assembly. In this study, half-grouted sleeves were used, with one end configured for mechanical connection and the other for grouting. The mechanical end of the sleeve was assembled with the threaded end of the reinforcing bar using a threading process, after which the overall performance tests were conducted. Table 1 presents the threading parameters for the mechanical end of the sleeve.
According to the experimental study by Zhao Weiping [25], the bond strength between reinforcing bars and grout is primarily provided by the mechanical interlock between the bar ribs and the surrounding grout. In accordance with code requirements, the anchorage length of the reinforcing bars within the sleeve should not be less than eight times the bar diameter. In this study, the anchorage length was strictly controlled at 200 mm. Bonding strain gauges were attached at 1 d,3 d,5 d and 7 d from the bottom end of the anchorage length (where d is the bar diameter) to minimize the influence on bond behavior.
To satisfy the requirements for anchorage length and the strength of the secondary grouting material, 25 mm diameter HRB400 reinforcing bars and GTB4J25F half-grouted sleeves were used. Two types of specialized cement-based grout with different strengths were employed. A total of 13 groups, comprising 39 grouted sleeve connection specimens, were fabricated for uniaxial tensile testing. The specimen configuration is shown in Figure 1, and the parameters are listed in Table 2.
The specimen naming convention is as follows: “GT–initial anchorage length–repair anchorage length–grout strength grade–repair grout strength grade–serial number.” For example, in the specimen “GT-4d-2d-I-1”: “GT” denotes a grouted sleeve; “4 d” indicates the initial bar anchorage length after the first grouting; “2 d” represents the supplementary anchorage length provided by secondary grouting; “-I” and “-II” correspond to repair grout grades of 85 MPa and 100 MPa, respectively; and “1” indicates that this specimen is the first of three specimens in the same group.

2.2. Material Properties

2.2.1. Mechanical Properties of Reinforcing Bars

For the half-grouted sleeve connections, HRB400 reinforcing bars with a diameter of 25 mm were used. The uniaxial tensile test setup for the reinforcing bars is shown in Figure 2.
The test results are presented in Table 3. It can be seen that, in the uniaxial tensile tests, the yield strength of all three reinforcing bars in the group exceeded 400 MPa, and the ultimate strength exceeded 540 MPa. All measured properties meet the relevant code requirements. The surface of this type of reinforcing bar features crescent-shaped transverse ribs symmetrically and uniformly arranged along the longitudinal direction, with a height of 2.1 ± 0.5 mm, a width of 1.5 mm, and a spacing of 12.5 mm, as well as longitudinal ribs with a maximum height of 2.6 mm and width of 2.5 mm [26,27].

2.2.2. Sleeve Material Properties

The half-grouted sleeves were fabricated from 45# round steel. Detailed sleeve parameters are listed in Table 4, and the internal configuration is shown in Figure 3. Material property parameters of the half-grouted sleeves are provided in Table 5, which meet the requirements of the specification “National Standard Steel for Reinforced Concrete (Part II) Hot Rolled Ribbed Steel Bars (GB1499.2-2024)” [27]. The number of shear grooves in the reinforcing bar grouted sleeves complies with the relevant specifications listed in Table 6.

2.2.3. Properties of Grouting Materials

In this chapter, two types of high-strength grout with compressive strengths of 85 MPa and 100 MPa were used. Both grouts feature stable high strength, early strength development, no shrinkage, and good flowability. The grout was prepared with a water–cement ratio of 0.12 according to the mix design requirements and mixed using a Model JJ-20H mixer (Shaoxing Ronong Measurement & Control Technology Co., Ltd., Shaoxing, China) for approximately 4 to 5 min. After mixing, the grout was allowed to stand for two minutes to release air bubbles. It is recommended that each batch of mixed grout be used within half an hour, and hardened grout must not be reused.
According to the relevant standards—Cementitious grout for sleeve of rebar splicing (JG/T 408-2019) [28], six groups of prismatic specimens (40 mm × 40 mm × 160 mm) were fabricated using the two types of grout, with three specimens per group. The specimens were cured under standard conditions, and flexural and compressive strength tests were conducted at 1 d, 3 d, and 28 d.
The grouping scheme for the grout flowability test was the same as that used for the prismatic strength tests. Flowability was measured by determining the spread diameter of the grout immediately after mixing and after 30 min. The grout was prepared with 12% water by mass of dry materials for the standard grout and 11.5% water for the enhanced grout. The mixture was then tested following the “Grout for Reinforcing Bar Connections” standard [28]. The results of the grout material performance tests are presented in Table 7.

2.3. Strain Gauge Settings

In this test, grooves were cut on the surface of the reinforcing bars to mount strain gauges, enabling measurement of the bar strain and investigation of the variation in bond–anchorage strength along the anchorage length. The main installation procedure and the layout of the strain gauges are shown in Figure 4. The strain gauges on the sleeve are labeled T1, T2, T3, and T4, while those on the reinforcing bar are labeled G1, G2, G3, and G4. The sleeves were grouted and subsequently cured using the same grouting method. The curing setup is shown in Figure 5. After the specimens reached the required curing ages, compressive strength and flexural strength tests were carried out. As shown in Figure 6, a corrugated tube connected to the grouting port was used to control the grouting height inside the sleeve and thereby regulate the anchorage length. The supplementary grouting was performed after the initial grouting had reached final setting and stabilization, and the grout was injected slowly until the required repaired anchorage length for each specimen was achieved.
Before attaching the strain gauge to the mortar, measure the initial resistance value of the strain gauge using a multimeter. After the installation of the strain gauge is completed, measure its resistance value again. The resistance value shows almost no change and is close to the rated resistance, both being around 120 ohms, indicating that the strain gauge was not damaged during installation and has effective bonding with the rebar and sleeve.

2.4. Experimental Setup and Loading Protocol

The present test utilized a universal testing machine (UTM) and slip sensors to investigate the effect of grout repair on the load-bearing capacity and slip behavior of defective sleeves. As shown in Figure 7, the experimental setup consisted of the UTM and its control system, sensors, slip gauges with data acquisition devices, and auxiliary equipment and components, which was carried out in accordance with “Technical specification for grout sleeve splicing of rebars (2023)” JGJ355-2015 and other applicable standards. [29,30]. During testing, the relative slip between the grout and the sleeve was controlled in accordance with relevant standards. A combined force–slip control method was adopted for loading. Before yielding of the connection, force-controlled loading was applied at a rate of 500 N/s. Prior to loading, the UTM grips were released, and both ends of the half-grouted sleeve specimen were clamped securely in the hydraulic grips. After yielding of the connection, slip-controlled loading was used, with the separation rate of the UTM grips set at 0.25 mm/s.

3. Discussion on the Mechanical Performance of Repaired Grouted Sleeves

3.1. Modes of the Specimens

Based on the uniaxial tensile test data and observed failure modes of the repaired defective sleeves, this chapter investigates the stress–transfer mechanisms of grouted sleeve specimens. The strain distributions of standard specimens, defective specimens, and repaired specimens are analyzed to evaluate the effectiveness of sleeve repair.
Uniaxial tensile tests were conducted on a total of 39 specimens, including 13 groups: standard specimens without defects with an anchorage length of 8 d, control specimens with defects having anchorage lengths of 6 d and 4 d, and 10 groups of defective specimens subjected to subsequent grout repair. Strain data were collected from gauges installed at predetermined positions on the reinforcing bars and embedded locations on the outer surface of the sleeves. The tensile process and failure modes of the specimens are shown in Figure 8 and Figure 9, and the test results are summarized in Table 8.
As shown in Figure 8a,b, the load was applied from zero, and the reinforcing bars, grout, and sleeve deformed coordinately. The reinforcing bars remained in the elastic stage. When the load reached the yield strength of the bars, the external portions of the bars outside the sleeve yielded first. The internal portions of the bars, however, were confined by the sleeve and grout and did not yield at this stage. After the yield stage, the external bars entered the strain-hardening stage, and the load continued to increase. When the load reached the ultimate tensile strength of the bars, necking occurred at the weakest section of the external bars. The bars elongated gradually, and the cross-sectional area at the necking zone decreased, leading to a reduction in load-bearing capacity. Eventually, the bars fractured at the necking location, which was some distance away from the sleeve joint. The fracture exhibited a ductile “cup-cone” morphology, while the internal bars within the sleeve remained intact, and no cracking or deformation was observed in the sleeve. This failure mode is classified as bar fracture failure, corresponding to the maximum load-bearing capacity of the specimen.
After grouting, the sleeve and the upper and lower reinforcing bars formed an integrated specimen. As shown in the middle specimen in Figure 9h, during the prefabrication process, incomplete tightening of the sleeve led to fracture of the threads between the upper bar near the joint and the sleeve. This type of proximal joint failure exhibited a load-bearing capacity slightly lower than that of bar fracture occurring away from the joint.
As shown in Figure 8c, prior to the yield load of the reinforcing bars, the load–slip behavior of the grouted sleeve specimen closely followed the trend of the uniaxial tensile test of the reinforcing bars. With decreasing anchorage length, the bond strength of the grout anchorage gradually became lower than the ultimate tensile strength of the reinforcing bars. Consequently, a “plough-shaped” umbrella-like failure occurred at the interface between the internal bar and the grout. Subsequently, the bars at the grouted end were pulled out of the sleeve, accompanied by progressive disintegration and falling of the grout from the lower part of the sleeve. As the effective anchorage length continued to decrease, the tensile load dropped in a fluctuating manner. The failure caused by insufficient anchorage length of reinforcement in the sleeve is defined as bond–slip failure.
Among the 39 grouted sleeve specimens, only the defective control group GT-4d-0d (all three specimens) exhibited bond–slip failure. All other specimens failed by bar fracture at the grouted end. This demonstrates that when the anchorage length is less than 4 d and the curing time is insufficient, the bond strength between the bar and grout is inadequate, leading to slip failure. Sufficient anchorage length, grout strength, and curing time are therefore critical to ensure effective force transfer through the bond between the reinforcing bars and the grout.

3.2. Experimental Results and Analysis

3.2.1. Load–Slip Curves and Analysis of Standard and Defective Groups

Based on the load (tensile force)–slip displacement curves obtained from the uniaxial tensile test, the stress condition of the grouted sleeve specimens was investigated. To evaluate the effect of grout repair, the standard group and the defective group were used as typical controls. During the uniaxial tensile test, specimens that failed by bar fracture showed a curve trend similar to that of uniaxial tensile tests of reinforcing bars, which can be divided into four stages: elastic stage, yield stage, strain-hardening stage, and necking stage. The grouted sleeve specimens that failed by bond–slip showed a wavy decrease after the reinforcing bars yielded. The specific load–slip curves of the standard and defective groups are shown in Figure 10.
The standard group specimens with a grouted anchorage length of 8 d and the defective group specimens with a grouted anchorage length of 6 d all failed by bar fracture. The ultimate loads at failure of the two standard group specimens were similar. The failure process is shown in Figure 10a,b: at the initial stage of loading, the axial displacement of the grouted sleeve specimens increased basically linearly with the increase in load. When the load reached about 220 kN, the load fluctuated slightly up and down while slip continued to increase, and the specimen entered the yield stage. With continued loading, the load–slip curve of the specimen showed a convex shape, and the specimen gradually reached the ultimate strength. Cracks appeared at the grout segment ends, powder debris fell off, and the reinforcing bars at the grouted end of the half-grouted sleeve were slightly pulled out. During further loading, noticeable necking appeared in the grouted-end bars of the half-grouted sleeve specimens. When the load approached 280 kN, the load dropped sharply, the specimen was destroyed, and the reinforcing bars at the grouted end were fractured, as shown in Figure 11.
For the defective group specimens, with the first grouting anchorage length as the variable, the specimen with a grouted anchorage length of 6 d failed by bar fracture at the grouted end, while the specimen with a grouted anchorage length of 4 d failed by bar bond–slip. As shown in Figure 10c, at the initial stage of loading, the load increased linearly at a rapid rate. With the increase in load, the slip of the reinforcing bar grouted sleeve specimens basically increased linearly, similar to the elastic stage of the reinforcing bar in uniaxial tension. When the load reached 228 kN, the growth of the load began to change. Before this point, the load–slip relationship was basically linear. At this point, the load began to fluctuate slightly up and down, while the slip changed significantly. Subsequently, the load continued to increase, and the load–slip curve of the specimen showed a convex trend. During further loading, the bars in the grouted segment of the sleeve were pulled out and slipped a certain length. When the load reached about 256 kN, the specimen gradually reached the ultimate load at failure. The grouted sleeve joint cracked, and grout debris fell from the end, initiating specimen failure. The load-bearing capacity of the specimen dropped sharply, and when it decreased to approximately 150 kN, the decline gradually slowed, showing a wavy descending trend, reflecting a certain pull-out resistance. The connecting bars at both ends of the specimen were not fractured, the bars in the grouted segment exhibited some bond–slip outward, and the grout at the sleeve ends showed slight splitting and spalling. The in situ slip failure of specimen GT-4d-0d-1 is shown in Figure 12. The three specimens in the same group exhibited some scatter due to the randomness of crack development in the internal grout and the accumulation of debris after failure, but their failure modes and characteristics were consistent.

3.2.2. Load-Slip Curve Analysis of the Repair Group

For the defective grouted sleeve specimens with initial grouting lengths of 6 d and 4 d, two types of grout with different strengths were used to repair the specimens, extending the anchorage lengths to 8 d and 6 d. Uniaxial tensile tests were conducted on 10 repaired specimens, totaling 30 specimens in the repair group. The load–slip curves of the repair group are shown in Figure 13.
The repaired specimens with an initial grouting length of 6 d all failed by bar fracture at the grouted end. The three specimens of GT-6d-2d-I had ultimate loads of 278.12 kN, 276.13 kN, and 277.13 kN, with corresponding slips of 9.77 mm, 11.71 mm, and 10.74 mm. The three specimens of the strengthened grout group GT-6d-2d-II had ultimate loads of 279.71 kN, 284.34 kN, and 273.70 kN, with corresponding slip gauge readings of 8.12 mm, 8.11 mm, and 8.13 mm at ultimate load.
For the repaired specimens with an initial grouting length of 4 d, the failure mode was bar fracture at the grouted end. In GT-4d-4d-I, the slip varied slightly in the elastic stage, ranging from 0.49 mm to 0.95 mm. When the load reached 219.83–228.47 kN, the specimen entered the yielding stage. The load gradually increased to peak values of 282.48 kN, 281.74 kN, and 285.54 kN, with corresponding slips of 11.55 mm, 10.84 mm, and 10.55 mm.In the strengthened group GT-4d-4d-II, the ultimate loads were 274.41 kN, 273.12 kN, and 273.76 kN, with corresponding slips of 8.31 mm, 8.89 mm, and 8.60 mm. The grout used in the strengthened group was 100 MPa, with lower flowability than the original repair grout. Due to the relatively poor interfacial deformation capacity between the secondary grout and the initially poured grout, the slips corresponding to the peak load decreased compared to the original repair group, while it increased somewhat relative to the standard group.In GT-4d-2d-I, the ultimate loads were 282.25 kN, 283.03 kN, and 280.18 kN, with corresponding slips of 12.21 mm, 8.10 mm, and 11.99 mm. The failure mode was bar fracture in the grouted segment. In the corresponding strengthened group, the slip decreased slightly, but the difference was not significant.
In the group with an initial grouting length of 2 d, for GT-2d-4d-I, as loading commenced, the specimens gradually reached the proportional limit of 224.44 kN, 215.03 kN, and 225.83 kN. Before reaching the ultimate capacity, a “clicking” sound was emitted inside the grouting sleeve. The peak loads were 285.70 kN, 283.26 kN, and 280.11 kN, with corresponding slips of 13.36 mm, 11.95 mm, and 10.44 mm, and failure occurred at the grouted end bars. It is noteworthy that part of the grout at the grouted end was fractured; for example, GT-2d-4d-I-2 (Figure 14). Otherwise, its behavior was basically consistent with the GT-6d-0d defect group. In GT-2d-6d-I, the ultimate loads were 287.27 kN, 283.02 kN, and 284.64 kN, with corresponding slips of 11.39 mm, 11.36 mm, and 8.85 mm, and the failure mode was bar fracture at the grouted segment. In the corresponding strengthened group, the slip decreased to 9.12 mm, 11.26 mm, and 8.35 mm. This is consistent with the trends observed in other studies: under the condition of identical bar size and grouting sleeve type, as the anchorage length increases, the contact area between the crescent ribs of the bar and the grout in the sleeve increases, resulting in higher anti-slip performance [31,32].
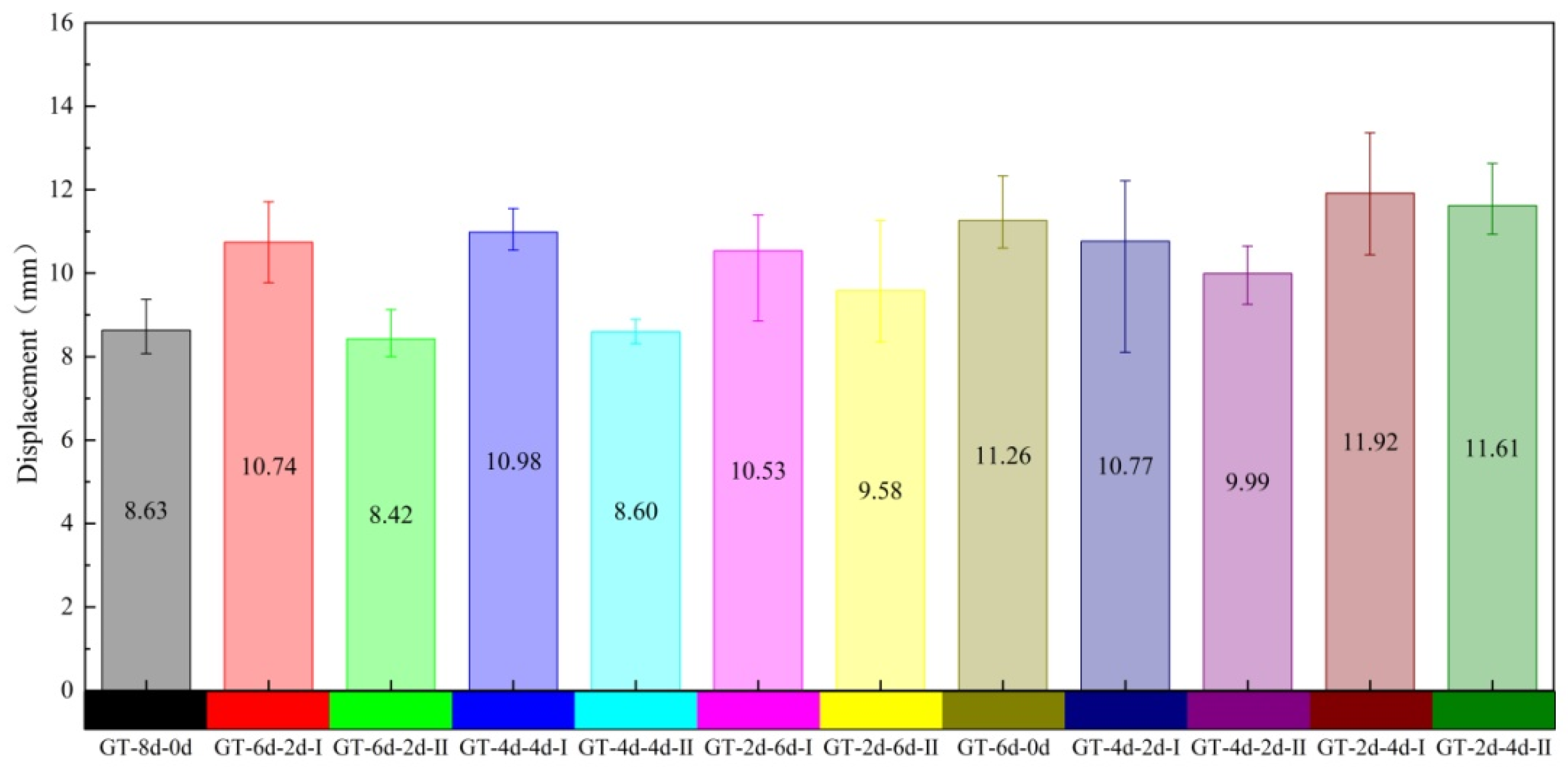
For specimens with an anchorage length of 6 d or more, the ultimate load was basically equal to the ultimate tensile strength of the steel bars, and the average anchorage strength τ u increased with the increase in anchorage length. As shown in Figure 15, the slip gauge data of the specimens were analyzed. The bar chart height represents the average slip of specimens in the same group, and the error bars represent the range of slip data. From the interval chart, it can be seen that, first, the slip of the strengthened repair group was reduced compared to the ordinary repair group. For example, the slip of GT-6d-2d-II decreased by approximately 21.6% compared with GT-6d-2d-I; GT-4d-4d-II decreased by approximately 21.68% compared with GT-4d-4d-I; GT-2d-6d-II decreased by approximately 9.02% compared with GT-2d-6d-I. Therefore, the strength of the secondary repair grout effectively improved the anti-slip capacity. Second, the greater the total anchorage length after repair, the stronger the anti-slip capacity. Specimens with a total anchorage length of 8 d exhibited about 10–20% less slip than specimens with a total anchorage length of 6 d. Compared with standard and defect group specimens grouted once to the same total anchorage length, the strengthened repair group achieved slip values close to those of the standard and defect groups, while the ordinary repair group showed relatively larger slip.

3.2.3. Stress–Strain Distribution in Standard and Defect Groups

The results of the uniaxial tensile tests on the specimens reflect the functional relationship between the average bond stress τ u and the bond slip, rather than the true local bond stress–slip relationship, and they cannot reveal the variation in bond stress along the anchorage length. In fact, τ s the constitutive relationship varies along the anchorage length. P. Tassios [33], Xu Youlin [34], Zhao Yuxi [35], and other researchers have proposed distribution functions to describe this variation for different types of concrete. However, studies on τ s the constitutive relationship of lightweight aggregate concrete and deformed steel bars, as well as the distribution of bond stress along the anchorage length, are still relatively scarce. Therefore, in this study, strain gauges were pasted inside the specimens to reflect the relevant relationships. The tests used resistive strain gauges, where a positive change in resistance indicates tension along the gauge direction. The stress–strain distribution curves are shown in Figure 16, Figure 17 and Figure 18.
τ u = F u π d l
In the formula:
  • τ u —Average bond stress;
  • d —Selected steel bar diameter;
  • l —Bond length;
  • F u —Tensile load.
In the Technical Specification for Grouted Splice Sleeve Connections for Reinforcement (reference [29]), it is specified that when a grouted sleeve joint fails under tension, the failure should occur in the reinforcing bar outside the joint, meaning that the ultimate bearing capacity of the joint shall not be lower than the ultimate tensile capacity of the bar. Therefore, the ultimate tensile capacity F c of the connected reinforcement can be expressed as:
F C = f u A s
In the formula: f u is the tensile strength of steel bars; A s is the cross-sectional area of the reinforcing bar.
Figure 16 shows the load–strain relationship of the standard group GT-8d-0d, indicating that the strain near the anchorage end of the sleeve is minimal. Figure 17 shows that the sleeve strain of the GT-6d-0d specimen is basically similar to the standard group, with T1 increasing much more slowly than other positions, and the rebar strain from the anchorage-end gauge G3 to the grouted-end gauge G1 gradually increasing. The strain at the gauge corresponding to the defect location, G4, is essentially zero. Figure 18 shows that for the GT-4d-0d specimen, the strain at the sleeve surface gauge T1 increases slowly, while the strain near the anchorage end increases more rapidly, with T3 showing the fastest increase. When the sleeve load reaches approximately 200 kN, a noticeable change occurs compared with the other two control groups. The longitudinal strain of the sleeve exhibits an inflection and begins to decrease, while the rebar strain gauges G1 and G2 rapidly increase until failure. At this loading stage, the specimen shows fragmentation of the grout at the lower part of the sleeve and bond slip of the rebar. The strain values of gauges G3 and G4 remain almost unchanged, indicating a defect cavity between the rebar and sleeve in this region.

3.2.4. Stress–Strain Distribution of the Repair Group

Specimens GT-6d-2d-I-2 and GT-6d-2d-II-1, which were initially grouted to 6 d and subsequently repaired to the required anchorage length of 8 d, show the strain distributions in Figure 19 and Figure 20. Both the ordinary repair group and the strengthened repair group exhibit similar sleeve strain behavior: T1 and T2 increase almost identically, while T3 and T4 increase faster than T1 and T2. Overall, the growth rate decreases from the anchorage end toward the grouted end. In the strengthened repair specimen GT-6d-2d-II-1, the rebar strain gauge G1 shows a trend similar to that of the GT-8d-0d group; however, compared with GT-6d-2d, the G1 gauge strain increases more slowly, indicating that the supplementary grout carries part of the applied load.
As shown in Figure 21 and Figure 22, for the sleeve initially grouted to 4 d and subsequently repaired to the required anchorage length of 8 d, the sleeve strains T1 and T2 exhibit almost identical trends, while T3 and T4 increase at a faster rate. The rebar strain gauges indicate that strains near the grouted end are larger than those at the anchorage end. In particular, for specimen GT-4d-4d-I-1, the G1 gauge shows a rapid increase in strain, indicating that the supplementary grout carries a certain portion of the load and that its confinement effect on the rebar strengthens progressively.
As shown in Figure 23, for specimen GT-4d-2d-II-1, the strain gauge G1 experienced damage when the load reached 100 kN due to the small anchorage length, which caused partial crushing and spalling of the grout at the bottom of the sleeve grouted end. Overall, the rebar strain trend shows that G1 (1 d) exhibits the largest variation, G2 (3 d) the next largest, G3 (5 d) reaches a minimum of 4 × 10−4 microstrain at 200 kN, and G4 strain is nearly zero. The sudden change in G1 around 100 kN likely results from local brittle failure of the grout, which triggered the abrupt strain change. Subsequently, the strain continues to increase until failure occurs at 200 kN. As shown in Figure 24, the load–strain relationship for specimen GT-4d-2d-I-1 exhibits a distribution trend consistent with GT-4d-2d-II-1, characterized by a decreasing strain increment from the grouted end to the anchorage end on the sleeve, while the rebar strain increment gradually increases along the same direction.
The load–strain relationship curves for specimens with an initial grouted anchorage length of 2 d and subsequent repair of sleeve defects are shown in Figure 25, Figure 26, Figure 27 and Figure 28. The sleeve strain is similar to that of the standard group GT-6d-0d. Compared with the standard group GT-8d-0d, the rebar strain G1 increases faster around 200 kN. For specimens with secondary grouting extending the total anchorage length to 6 d, the rebar strain at G4 shows little variation, while the strain gauges near the grouted end exhibit a faster growth trend near the yield point. In specimens with secondary grouting extending to a total anchorage length of 6 d and fully filling the sleeve, the rebar strain gauge G4 shows significant changes, indicating that the newly injected grout in this region bears a certain portion of the load. It is noteworthy that for specimen GT-2d-4d-I-1, the strain at sleeve gauge G1 decreases after the load reaches 200 kN. At this stage, partial damage occurs in the grout at the lower part of the sleeve and the rebar begins to pull out, reducing the interaction between the sleeve and the rebar at position G1, which in turn causes a reduction in the sleeve strain at the grouted end.

3.3. Strain Distribution of Grouted Sleeve Specimens Under Different Load Levels

To obtain the strain distribution patterns of the rebar and sleeve in the grouted sleeve specimens under uniaxial tension at different load levels, one specimen from each group was selected as representative, and strain distribution curves were plotted at applied loads of 100 kN, 150 kN, and 200 kN. The strain distributions of the standard group GT-8d-0d and the defect groups GT-6d-0d and GT-4d-0d are shown in Figure 29a–c, while the strain distributions of the repair groups are shown in Figure 30a–j. In each figure, the left half shows the rebar strain distribution, and the right half shows the sleeve strain distribution. The strain gauges G1~G4 on the rebar surface and T1~T4 on the sleeve surface correspond to the positions 1 d, 3 d, 5 d, and 7 d indicated in the schematic above. The vertical axis represents the microstrain values output by the strain gauges, and the horizontal axis represents the strain gauge numbers.
Based on the strain distribution curves of the control groups, it can be observed that under uniaxial tensile loading, in the GT-8d-0d specimen, the rebar near the lower end exhibits larger strain than at the upper end, while the strain at the lower portion of the sleeve near the grouting end is smaller than that near the upper anchorage end. The strain difference between T3 and T4 is minimal, and examination of a sectioned grouted sleeve specimen shows that the sleeve wall thickness at T4 is greater than at T3. For the GT-6d-0d specimen, the rebar strain gradually increases from the grouting end G1 to the anchorage end G4. In the GT-4d-0d group, the rebar strains G3 and G4 are very small, almost zero, while the strain at T3 on the sleeve is significant. When the load reaches 200 kN, the sleeve strain T1 at the grouting end decreases, corresponding to “umbrella-shaped” failure caused by internal cracking of the grout, resulting in relative slip between the sleeve grout and the rebar.
As for the GT-2d-4d-I specimens, part of the grout at the bottom of the sleeve was crushed, and a certain slip trend appeared between the grout and the sleeve. The rebar strain G1 was smaller than G2, because the first grouting amount was small, resulting in insufficient bonding area between the grout and the rebar and thus reducing the bond strength. However, the overall bond strength still met the required load-bearing capacity, and the specimens finally failed by rebar fracture. For GT-2d-6d-I and GT-2d-6d-II, compared with GT-8d-0d, the strain gauge G1 also reached the maximum value when the load reached its maximum, proving that when the defect space is sufficiently filled, the secondary grout can also generate good bond strength with the sleeve and the rebar. The secondary grouting must reach the required code length to ensure the overall mechanical performance of the grouted sleeve.
Among the 10 groups of repaired grouted sleeve specimens, overall, the rebar strain showed a gradually decreasing trend from the grouting end G1 (1 d) to the anchorage end G4 (7 d), and the strain at the same position increased with increasing load.The G1 strain gauge is attached at the grouting area near the sleeve end, a stress concentration zone, where the measured strain values are significantly higher than the average strain and increase rapidly. The steel reinforcement strain exhibited a progressively nonlinear distribution along its length, with a substantial strain gradient due to strong boundary constraints. The strain near the grouting end was approximately more than twice that at the anchored end.
The rebar at the grouting end first beared tensile force to generate strain, which was then transferred to the sleeve through the bond strength between the inner wall of the sleeve and the rebar.The elastic modulus of the rebar (approximately 200 GPa) is significantly higher than that of the grout material (approximately 30–40 GPa) and the sleeve (approximately 170 GPa).Under the same load, the grout material entered the plastic state earlier, resulting in a faster strain growth rate compared to the rebar, while the sleeve exhibited a strain lag response due to the strain transfer process and its higher stiffness. Therefore, as the anchorage length increases, the sleeve strain showed a trend of gradual increase from the grouting end T1 (1d) to the anchorage end T4 (7d), and the strain values of T1 (1d) and T2 (3d) were close.
When the grouted sleeve failed by rebar fracture, the rebar strain showed a gradually decreasing trend from the grouting end to the anchorage end, while the sleeve strain showed an increasing trend. As the anchorage length in the grouted sleeve increased, the strain on the sleeve surface decreased, and the strain of the rebar in the repaired portion was basically the same as that of the one-time grouted specimens, indicating that the repaired portion carried its corresponding load, and the repair effect basically met expectations.

4. Analysis and Identification of Failure Modes of Grouted Sleeve Specimens

4.1. Derivation of the Bond Strength Correction Formula

From Formula (1) τ u = F u π d l b , the bond strength τ u 4 of the specimens with an initial grouting anchorage length of 4 d is computed and presented in Table 9 below.
According to the study by Einea et al. [36], the bond strength between the reinforcement and the grout can be expressed as:
τ u = k f c
k = τ u f c
k is the comprehensive bond efficiency coefficient, which reflects the influence of factors such as rebar strength, anchorage length, and concrete properties on the bond strength.
Based on Table 9, the average bond strength τ u 4 of the specimens with an initial grouted anchorage length of 4 dis 32.3 MPa. According to Equation (3) and the average bond strength of the specimens with an initial grouting anchorage length of 4 d, the value of k = τ u f c = 3.5.
Substituting Equation (4) into Equation (1), we obtain:
F u = π d l b k f c = 3.5 π d l b f c
Equation (5) is the calculation formula for the bearing capacity of grouted sleeves, corrected based on the experimental results of this passage. Based on Equation (6) in the Code for Design of Concrete Structures (GB 50010-2010) [37], the theoretical formula for calculating the bond shear strength can be derived as Equation (7). Accordingly, the bond shear strength and the coefficient k of grouted sleeve specimens with different concrete strengths are calculated, and the results are listed in Table 10.
According to Equation (2), the following formula is obtained:
f y A s = π d l b τ u
τ u = d f y 4 l b
In this passage, the compressive strength of the special high-strength grout used is 85 MPa, which is closest to the strength of C80 concrete. Therefore, the comprehensive bond efficiency coefficient corresponding to C80, k = 1.88 , is adopted, and the theoretical bond strength is calculated according to Equation (1). The calculated results, together with the results obtained from the corrected Formula (5), are listed in Table 11.
For the specimens with an initial grouting length of 4d, namely GT-4d-0d-1, GT-4d-0d-2, and GT-4d-0d-3, the bond strength calculated by the two methods is smaller than the theoretical rebar fracture value, and thus bond–slip failure is identified. The theoretical analysis is consistent with the actual bond–slip failure observed in the specimens. The average error between the theoretical formula and the test load value is 46.33%, whereas the average error between the corrected formula and the test value is only 3.15%.
For the other grouted sleeve specimens, the bond strength calculated using the corrected formula is greater than or close to the theoretical rebar fracture value and the test load value, and thus rebar fracture failure is identified. The actual failure modes are consistent with the evaluation based on the corrected formula. If the theoretical formula is used for analysis, the calculated bond strength is smaller than the theoretical rebar fracture value and the test load value, leading to an incorrect assessment of bond–slip failure. Therefore, the corrected bond strength calculation formula proposed in this passage is reasonable, and this conclusion is similar to that in reference [37,38,39].

4.2. Definition of Critical Anchorage Length

According to the relevant literature and the findings of this study, it can be demonstrated that, under the same total anchorage length, multi-stage grouting and traditional one-stage grouting can ultimately achieve the same connection performance [38]. The critical anchorage length l c r is defined as the anchorage length at which the bond bearing capacity is exactly equal to the ultimate tensile capacity of the rebar.
Assuming π d l b k f c = π d 2 4 f u , the formula for calculating the critical anchorage length l c r is obtained as Equation (8).
l c r = d f u 4 k f c
From the parameters of the specimens in this test, it can be obtained that l c r = 112.3 m m = 4.49 d . When l b > l c r = 4.49 d , the failure mode of the specimen is rebar fracture; when l b < l c r = 4.49 d , the failure mode of the specimen is rebar slip failure. This judgment result matches the experimental observations very well. In engineering practice, the critical anchorage length can be used to determine the failure mode of grouted sleeve specimens.
The corrected formula and the definition of the critical anchorage length l c r proposed in this paper are consistent with the failure mode of the specimens in this paper. For specimens with l b > 6 d , the bond bearing capacity is greater than the ultimate tensile capacity of the rebar, which is fully consistent with the observed rebar fracture failure in the tests. The proposed critical anchorage length also fully agrees with the test results and observed phenomena.

5. Conclusions

Through grouting reinforcement repair tests and theoretical analysis on sleeve connection joints with defects, this paper investigates the effects of defect size, grout strength, and grout quantity on the repair performance of defective grouted sleeves. The test program was carried for 13 groups and 39 specimens, which including standard sleeve specimens, defective sleeve specimens, and specimens after supplementary grouting. Data from 468 strain gauges and slip sensors were collected and analyzed. The main conclusions are as follows:
(1)
Two primary failure modes were observed during the tests: rebar fracture failure (including tensile fracture near the anchorage end) and bond–slip failure. When the total anchorage length formed by two grouting processes reaches the safe anchorage length, the bearing capacity of the grouted sleeve connection depends on the rebar strength and the strength of the threaded connection end. When using 85 MPa and 100 MPa high-strength grout, the safe anchorage length of HRB400 grade rebars in sleeve-grouted connections is 8 d, although the bearing capacity of sleeves with an anchorage length of 8 d can also meet the requirements.
(2)
Based on the strain gauge data arranged in the test, it is found that when the grouted sleeve undergoes rebar fracture failure, the rebar strain gradually decreases from the grouting end to the anchorage end, while the sleeve strain gradually increases. The ranges of strainunder different load levels were also obtained. The strain of the steel bar near the grouting end is greater than that at the anchored end, and the strain growth rate is faster. When the load reaches 200 kN, the strain gauge begins to suffer damage, and the strain at the grouting end of the sleeve shows negative growth. At this time, accompanied by the development of internal cracks in the grout, an “umbrella-shaped” failure occurs, and partial grout in the sleeve experiences relative slippage with the steel bar. This indicates that the supplemented grout has developed a certain load-bearing capacity, and the restraining force of the grout on the steel bar is becoming increasingly stronger.
(3)
Compared to the specimens in the ordinary grout repair group, the slip values of the specimens in the enhanced grout repair group were reduced by approximately 9.02% to 21.68%, confirming that the use of higher-strength grouting materials in the secondary grouting effectively improved the anti-slip capability. The greater the total anchorage length after repair, the stronger its anti-slip capacity. Specimens with a total anchorage length of 8 d exhibit approximately 10% to 20% smaller slip values compared to those with a total anchorage length of 6 d. When comparing repaired group specimens that achieve the corresponding anchorage length after repair with standard group and defect group specimens that are cast in one go to the same anchorage length, the reinforced grouting group achieves slip values similar to those of the standard and defect groups.
(4)
Based on the experimental results, a method capable of accurately determining the failure mode of grouted sleeve specimens is proposed. When the anchorage length is less than the critical anchorage length, the slip of the lower part of the rebar increases and bond–slip failure occurs. When the anchorage length is greater than the critical anchorage length, the bond strength exceeds the tensile capacity of the rebar, and rebar fracture failure occurs.
Although grouted sleeves have been widely applied and studied both domestically and internationally, and this paper analyzes the feasibility of repairing defective grouted sleeves through a combination of test data and finite element simulation, the research depth regarding related issues is still insufficient. Therefore, several suggestions are proposed for future research.
(1)
This study only carried out supplementary grouting tests and finite element analysis on semi-grouted sleeves with a rebar diameter of 25 mm. According to market surveys of different sleeve types, although the internal structures generally meet specification requirements, differences in internal details and overall configuration still exist. Repair tests could be conducted for semi-grouted and fully grouted sleeves with different materials, sizes, and structural parameters. Research on parameters such as sleeve layout and distribution could further improve the overall grouting performance and quality.
(2)
The issue addressed in this paper concerns the repair of grouted sleeves after defects occur. Field investigations revealed that due to factors such as construction grouting quality and bedding layer conditions, defect formation is often accompanied by grout “back-flow,” meaning that the grout adheres to or corrodes the sleeve’s inner wall and the rebar surface in the defect area. The influence of this phenomenon on defect repair requires further study.

Author Contributions

Conceptualization, Z.J.; methodology, Z.J.; validation, Y.C.; formal analysis, C.W. and D.X.; investigation, S.P.; resources, Y.C.; data curation, S.P.; writing—original draft preparation, Z.J.; writing—review and editing, C.W.; visualization, C.W.; supervision, S.J.; project administration, S.J.; funding acquisition, S.J. All authors have read and agreed to the published version of the manuscript.

Funding

This research was funded by China State Construction Engineering Corporation Urban Renewal and Smart Operation & Maintenance Engineering Research Center (Building Health Diagnosis and Treatment), grant number [No. CSCEC-PT-015].

Data Availability Statement

Data are available from the corresponding author on reasonable request.

Acknowledgments

The research was supported by grants from Research and Test of Key Technology of Pipeline Damper (funded by Beijing Building Research Institute Corporation Limited of CSCEC).

Conflicts of Interest

Authors Zihang Jiang, Changjun Wang, Sen Pang, Shengjie Ji and Dandan Xu were employed by the company Beijing Building Research Institute Corporation Limited of CSCEC. The remaining authors declare that the research was conducted in the absence of any commercial or financial relationships that could be construed as a potential conflict of interest. The authors declare that they have no known competing financial interests or personal relationships that could have appeared to influence the work reported in this paper. Shengjie Ji is employee of Beijing Building Research Institute Corporation Limited of CSCEC, who provided funding and technical support for the work. The funder had no role in the design of the study; in the collection, analysis, or interpretation of data, in the writing of the manuscript, or in the decision to publish the results.

References

  1. Lamport, B.W. Ultimate Strength of Grouted Pile-to-Sleeve Connections; The University of Texas at Austin: Austin, TX, USA, 1988. [Google Scholar]
  2. Kim, Y.-M. A Study of Pipe Splice Sleeves for Use in Precast Beam-Column Connections. Ph.D. Thesis, University of Texas at Austin, Austin, TX, USA, 2000. [Google Scholar]
  3. Lee, S.H.; Kim, H.K. Development of Steel Pipe Splice Sleeve for High Strength Reinforcing Bar (SD500) and Estimation of its Structural Performance under Monotonic Loading. J. Korean Soc. Struct. Diagn. 2007, 11, 169–180. [Google Scholar]
  4. Haber, Z.B.; Saiidi, M.S.; Sanders, D.H. Behavior and Simplified Modeling of Mechanical Reinforcing Bar Splices. Aci Struct. J. 2015, 112, 179–188. [Google Scholar]
  5. Henin, A.E.; Morcous, B.G. Non-proprietary bar splice sleeve for precast concrete construction. Eng. Struct. 2015, 83, 154–162. [Google Scholar] [CrossRef]
  6. Su, H.; Yang, C.; Sun, C.; Hu, L.; Fan, W. Seismic performance of precast multi-segment columns with grouted sleeves: Experimental and numerical investigations. Eng. Struct. 2024, 301, 117239. [Google Scholar] [CrossRef]
  7. Zhang, Z.; Li, J.; Dai, S.; Guo, J. Mechanical grouting sleeve of rebars: Experimental investigations. Trans. Can. Soc. Mech. Eng. 2024, 48, 302–309. [Google Scholar] [CrossRef]
  8. Bao, Y.; Zhao, J.; Xue, G.; Bao, L.; Yu, L.; Yan, H.; Han, X.; Chen, S.; Li, B. Mechanical properties of grouted splice sleeve connectors inside prefabricated concrete structures in cold regions. In Structures; Elsevier: Amsterdam, The Netherlands, 2025; Volume 80, p. 109737. [Google Scholar]
  9. Sayadi, A.A.; Rahman, A.B.A.; Jumaat, M.Z.B.; Alengaram, U.J.; Ahmad, S. The relationship between interlocking mechanism and bond strength in elastic and inelastic segment of splice sleeve. Constr. Build. Mater. 2014, 55, 227–237. [Google Scholar] [CrossRef]
  10. Han, R.; Li, S.; Sun, W. Effect of grouting material strength on bond strength of sleeve and acoustic emission characterization of bond failure damage process. Constr. Build. Mater. 2022, 324, 126503. [Google Scholar] [CrossRef]
  11. Chen, J.; Wang, Z.; Liu, Z.; Ju, S. Experimental investigation of mechanical behaviour of rebar in steel half-grouted sleeve connections with defects in water/binder ratio. Structures 2020, 26, 487–500. [Google Scholar] [CrossRef]
  12. Xu, F.; Wang, K.; Wang, S.; Jiang, Z.; Li, W. Experimental bond behavior of deformed rebars in half-grouted sleeve connections with insufficient grouting defect. Constr. Build. Mater. 2018, 185, 264–274. [Google Scholar] [CrossRef]
  13. Zhang, W.X.; Wang, J.; Zhang, J.Y.; Cao, Y.D.; Qin, P.; Yi, W.J. Experimental study on post-fire performance of half grouted sleeve connection with construction defect. Constr. Build. Mater. 2020, 244, 118365. [Google Scholar] [CrossRef]
  14. Zhu, J.; Ma, J.; Guo, D.; Hu, F.; Liu, W.; Yang, Y. Study on tensile properties of semi grouted sleeve connectors after high temperature. Constr. Build. Mater. 2021, 302, 124088. [Google Scholar] [CrossRef]
  15. Qu, X.; Xie, Y.; Sun, Y.; Gao, Y.; Wang, F. Study of mechanical properties of grouting defective sleeve. Structures 2023, 48, 1128–1140. [Google Scholar] [CrossRef]
  16. Yuan, W.; Wang, Y.; Dong, Z.; Zhang, J. Experimental study on mechanical properties of corroded grouted sleeve splice. Constr. Build. Mater. 2024, 412, 134797. [Google Scholar] [CrossRef]
  17. Lu, Z.; Huang, J.; Li, Y.; Li, J.; Li, W. Mechanical behaviour of grouted sleeve splice under uniaxial tensile loading. Eng. Struct. 2019, 186, 421–435. [Google Scholar] [CrossRef]
  18. Yuan, H.; Zhu, Z.; Naito, C.J.; Qu, J.; Zhang, W. Tensile behavior of half grouted sleeve connections: Experimental study and analytical modeling. Constr. Build. Mater. 2017, 152, 96–104. [Google Scholar] [CrossRef]
  19. Cao, C.; Chen, T.; Wang, G. Bond behavior and bearing capacity evolution of grouted sleeve connection (GSC) with varying bonded length. Constr. Build. Mater. 2024, 452, 138839. [Google Scholar] [CrossRef]
  20. Liu, Q.; Lin, Y.; Li, J.; Liu, F.; Liu, Y. Bond strength prediction model of defective grout materials in half-grouted sleeve connections under uniaxial and cyclic loadings. Constr. Build. Mater. 2022, 352, 128981. [Google Scholar] [CrossRef]
  21. Zhang, X.; Zhao, Y.; Guo, Y.; Xiong, H. Equivalent stress-strain model of half grouted sleeve connection under monotonic and repeated loads: Experiment and preliminary application. Eng. Struct. 2022, 260, 114247. [Google Scholar] [CrossRef]
  22. Ma, G.; Zhang, Y.; Hwang, H.-J.; Kim, D.J. Mechanical properties of half grouted sleeve connections with insufficient grouting and bar eccentricity Defects. Structures 2025, 75, 108852. [Google Scholar] [CrossRef]
  23. Chen, D.; Peng, S.; Hui, Y.; Tam, V.W.; Wang, W.; Li, L.; Cheng, B. Post-fire mechanical properties of full-grouted sleeve connection with different grouting Defects. Case Stud. Constr. Mater. 2024, 21, E03616. [Google Scholar] [CrossRef]
  24. Wang, Y.; Wang, H.; Wang, F. Simplified Modeling Method for Prefabricated Shear Walls Considering Sleeve Grouting Defects. Buildings 2024, 14, 1813. [Google Scholar] [CrossRef]
  25. GB 1499.2-2024; Steel for Reinforced Concrete-Part 2: Hot Rolled Ribbed Bars. General Administration of Quality Supervision. Inspection and Quarantine of the People’s Republic of China: Beijing, China; Standardization Administration of the People’s Republic of China: Beijing, China, 2018; p. 28. (In Chinese)
  26. Zhao, W.P.; Xiao, J.Z. Bond-slip constitutive model between ribbed bars and concrete. Eng. Mech. 2011, 28, 164–171. (In Chinese) [Google Scholar]
  27. GB1499.2-2024; National Standard Steel for Reinforced Concrete (Part II) Hot Rolled Ribbed Steel Bars. State Administration for Market Regulation: Beijing, China; Standardization Administration of the People’s Republic of China: Beijing, China, 2024; pp. 1–9. (In Chinese)
  28. JG/T 408-2019; Cementitious Grout for Sleeve of Rebar Splicing. China Architecture & Building Press: Beijing, China; Ministry of Housing and Urban-Rural Development of the People’s Republic of China: Beijing, China, 2019. (In Chinese)
  29. JGJ355-2015; Technical Specification for Grout Sleeve Splicing of Rebars (2023). China Architecture & Building Press: Beijing, China; Ministry of Housing and Urban-Rural Development of the People’s Republic of China Beijing: Beijing, China, 2023. (In Chinese)
  30. Beijing Yugou Co., Ltd. Grouting Material for Sleeves Used in Reinforcement Connection; Ministry of Housing and Urban-Rural Development of the People’s Republic of China: Beijing, China, 2019; pp. 1–20. (In Chinese) [Google Scholar]
  31. ISO 679:2009; Test Method for Strength of Cement Mortar (ISO Method). State Administration for Market Regulation: Beijing, China; Standardization Administration of the People’s Republic of China: Beijing, China, 2021; p. 24. (In Chinese)
  32. GB-T2419-2005; Test Method for Fluidity of Cement Mortar. General Administration of Quality Supervision, Inspection and Quarantine of the People’s Republic of China: Beijing, China; Standardization Administration of the People’s Republic of China: Beijing, China, 2005; p. 12. (In Chinese)
  33. Tassios, T.P. Analytical studies on reinforced concrete members under cyclic loading based on bond stress-slip relationships. ACI J. 1981, 78, 206–216. [Google Scholar]
  34. Xu, Y.L.; Shao, Z.M.; Shen, W.D. Bond and anchorage strength between steel bars and concrete. Build. Sci. 1988, 8–14. (In Chinese) [Google Scholar] [CrossRef]
  35. Zhao, Y.X.; Jin, W.L. Experimental study on bond constitutive relationship between steel bars and concrete. J. Build. Struct. 2002, 36, 32–37. (In Chinese) [Google Scholar]
  36. Einea, A.; Yamane, T.; Tadros, M.K. Grout-filled pipe splices for precast concrete construction. PCI J. 1995, 40, 82–93. [Google Scholar] [CrossRef]
  37. GB 50010-2010; Design of Concrete Structures. China Architecture & Building Press: Beijing, China; Ministry of Housing and Urban-Rural Development of the People’s Republic of China: Beijing, China, 2022. (In Chinese)
  38. Orangun, C.O.; Jirsa, J.O.; Breen, J.E. A Reevaluation of Test Data on Development Length and Splices. ACI J. 1977, 74, 114–122. [Google Scholar]
  39. Che, W.; Chen, J.; Liu, Z.; Tian, W.L. Experimental study on the performance of grouted sleeve connections with semi-grouted cast sleeves considering the influence of secondary grouting. Build. Struct. 2022, 52, 26–31. (In Chinese) [Google Scholar]
Figure 1. Specimen Construction Details. L—Total length of half-grouted sleeve, L1—Insertion depth of reinforcing steel bar in grouted section of sleeve, L2—Total anchorage length of initial grouting, L3—Anchorage length of supplementary grouting, L4—Total anchorage length of both initial and supplementary grouting, L5—Defect length formed due to unanchored section.
Figure 1. Specimen Construction Details. L—Total length of half-grouted sleeve, L1—Insertion depth of reinforcing steel bar in grouted section of sleeve, L2—Total anchorage length of initial grouting, L3—Anchorage length of supplementary grouting, L4—Total anchorage length of both initial and supplementary grouting, L5—Defect length formed due to unanchored section.
Buildings 16 00275 g001
Figure 2. Reinforcing Bar Material Performance Test.
Figure 2. Reinforcing Bar Material Performance Test.
Buildings 16 00275 g002
Figure 3. Geometric Parameters of Grouted Sleeves. L—Total length of half-grouted sleeve, L1—Insertion depth of reinforcing steel bar in grouted section of sleeve, L2—Depth of internal threaded hole, d—Outer diameter of half-grouted sleeve, d1—Diameter of threaded connection reinforcing steel bar, d2—Diameter of reinforcing steel bar at grouted connection end, d3—Inner diameter of sleeve, a—Position of grouting hole, b—Position of bleeding hole.
Figure 3. Geometric Parameters of Grouted Sleeves. L—Total length of half-grouted sleeve, L1—Insertion depth of reinforcing steel bar in grouted section of sleeve, L2—Depth of internal threaded hole, d—Outer diameter of half-grouted sleeve, d1—Diameter of threaded connection reinforcing steel bar, d2—Diameter of reinforcing steel bar at grouted connection end, d3—Inner diameter of sleeve, a—Position of grouting hole, b—Position of bleeding hole.
Buildings 16 00275 g003
Figure 4. Strain gauge arrangement.
Figure 4. Strain gauge arrangement.
Buildings 16 00275 g004
Figure 5. Grouting and Curing Apparatus for the Test.
Figure 5. Grouting and Curing Apparatus for the Test.
Buildings 16 00275 g005
Figure 6. Schematic Diagram of the Grouting Mechanism. L—Total length of the half-grouted sleeve; L1—Insertion depth of the reinforcing steel bar in the grouted section of the sleeve; L3—Height of grout controlled by the corrugated tube, defining the effective anchorage length within the sleeve.
Figure 6. Schematic Diagram of the Grouting Mechanism. L—Total length of the half-grouted sleeve; L1—Insertion depth of the reinforcing steel bar in the grouted section of the sleeve; L3—Height of grout controlled by the corrugated tube, defining the effective anchorage length within the sleeve.
Buildings 16 00275 g006
Figure 7. Loading Setup for Grouted Sleeve Tests.
Figure 7. Loading Setup for Grouted Sleeve Tests.
Buildings 16 00275 g007
Figure 8. Damage to standard group and defect group specimens (Numbers 1–3 indicate the specimen numbering sequence).
Figure 8. Damage to standard group and defect group specimens (Numbers 1–3 indicate the specimen numbering sequence).
Buildings 16 00275 g008
Figure 9. Repair group damage diagram.
Figure 9. Repair group damage diagram.
Buildings 16 00275 g009
Figure 10. Load–slip curves of standard group and defect group.
Figure 10. Load–slip curves of standard group and defect group.
Buildings 16 00275 g010
Figure 11. GT-8d-0d-1 specimen joint reinforcement fracture failure.
Figure 11. GT-8d-0d-1 specimen joint reinforcement fracture failure.
Buildings 16 00275 g011
Figure 12. Photo of GT-4d-0d-1 specimen jointfailure.
Figure 12. Photo of GT-4d-0d-1 specimen jointfailure.
Buildings 16 00275 g012
Figure 13. Repair group load–slip curve.
Figure 13. Repair group load–slip curve.
Buildings 16 00275 g013aBuildings 16 00275 g013b
Figure 14. Repair group GT-2d-4d-I-2 damage.
Figure 14. Repair group GT-2d-4d-I-2 damage.
Buildings 16 00275 g014
Figure 15. Data range of specimen slip gauge.
Figure 15. Data range of specimen slip gauge.
Buildings 16 00275 g015
Figure 16. GT-8d-0d load–strain relationship curves.
Figure 16. GT-8d-0d load–strain relationship curves.
Buildings 16 00275 g016
Figure 17. GT-6d-0d-2 load–strain relationship curves.
Figure 17. GT-6d-0d-2 load–strain relationship curves.
Buildings 16 00275 g017
Figure 18. GT-4d-0d-1 load–strain relationship curves.
Figure 18. GT-4d-0d-1 load–strain relationship curves.
Buildings 16 00275 g018
Figure 19. GT-6d-2d-I-2 load–strain relationship curves.
Figure 19. GT-6d-2d-I-2 load–strain relationship curves.
Buildings 16 00275 g019
Figure 20. GT-6d-2d-II-1 Load–strain relationship curves.
Figure 20. GT-6d-2d-II-1 Load–strain relationship curves.
Buildings 16 00275 g020
Figure 21. GT-4d-4d-II-1 load–strain relationship curves.
Figure 21. GT-4d-4d-II-1 load–strain relationship curves.
Buildings 16 00275 g021
Figure 22. GT-4d-4d-I-1 load–strain relationship curves.
Figure 22. GT-4d-4d-I-1 load–strain relationship curves.
Buildings 16 00275 g022
Figure 23. GT-4d-2d-II-1 load–strain relationship curves.
Figure 23. GT-4d-2d-II-1 load–strain relationship curves.
Buildings 16 00275 g023
Figure 24. GT-4d-2d-I-1 load–strain relationship curves.
Figure 24. GT-4d-2d-I-1 load–strain relationship curves.
Buildings 16 00275 g024
Figure 25. GT-2d-6d-II-1 load–strain relationship curves.
Figure 25. GT-2d-6d-II-1 load–strain relationship curves.
Buildings 16 00275 g025
Figure 26. GT-2d-6d-I-1 load–strain relationship curves.
Figure 26. GT-2d-6d-I-1 load–strain relationship curves.
Buildings 16 00275 g026
Figure 27. GT-2d-4d-II-1 load–strain relationship curves.
Figure 27. GT-2d-4d-II-1 load–strain relationship curves.
Buildings 16 00275 g027
Figure 28. GT-2d-4d-I-1 load–strain relationship curves.
Figure 28. GT-2d-4d-I-1 load–strain relationship curves.
Buildings 16 00275 g028
Figure 29. Strain distribution of control group specimens.
Figure 29. Strain distribution of control group specimens.
Buildings 16 00275 g029
Figure 30. Strain Distribution of Repaired Group Specimens.
Figure 30. Strain Distribution of Repaired Group Specimens.
Buildings 16 00275 g030aBuildings 16 00275 g030b
Table 1. Threading Parameters for the Mechanical End of the Sleeve.
Table 1. Threading Parameters for the Mechanical End of the Sleeve.
Thread Pitch/mmThread Profile Angle/°Threaded Connection Length/mmNominal Thread Diameter/mmInstallation Torque/N·mClear Hole Diameter/mm
2.5603325.7≥260≤22
Table 2. Parameters of the Grouted Sleeve Specimens.
Table 2. Parameters of the Grouted Sleeve Specimens.
Group No.Specimen No.Primary Anchorage Length L2/mmSecondary Anchorage Length L3/mmTotal Anchorage Length L4/mmGrouting Material Strength of Primary Anchorage/MPaGrouting Material Strength of Secondary Anchorage/MPa
1GT-8d-0d-1/GT-8d-0d-2/GT-8d-0d-3200020085-
2GT-6d-0d-1/GT-6d-0d-2/GT-6d-0d-3150015085-
3GT-4d-0d-1/GT-4d-0d-2/GT-4d-0d-3100020085-
4GT-6d-2d-I-1/GT-6d-2d-I-2/GT-6d-2d-I-3150502008585
5GT-4d-4d-I-1/GT-4d-4d-I-2/GT-4d-4d-I-31001002008585
6GT-4d-2d-I-1/GT-4d-2d-I-2/GT-4d-2d-I-3100501508585
7GT-2d-6d-I-1/GT-2d-6d-I-2/GT-2d-6d-I-3501502008585
8GT-2d-4d-I-1/GT-2d-4d-I-2/GT-2d-4d-I-3501001508585
9GT-6d-2d-II-1/GT-6d-2d-II-2/GT-6d-2d-II-31505020085100
10GT-4d-4d-II-1/GT-4d-4d-II-2/GT-4d-4d-II-310010020085100
11GT-4d-2d-II-1/GT-4d-2d-II-2/GT-4d-2d-II-31005015085100
12GT-2d-6d-II-1/GT-2d-6d-II-2/GT-2d-6d-II-35015020085100
13GT-2d-4d-II-1/GT-2d-4d-II-2/GT-2d-4d-II-35010015085100
Table 3. Uniaxial Tensile Test Results of Reinforcing Bars.
Table 3. Uniaxial Tensile Test Results of Reinforcing Bars.
Diameter/mmReinforcing Steel Bar No.Average Diameter/mmYield Strength/N/mm2Ultimate Strength/N/mm2Elongation After Fracture/%Elastic Modulus/Mpa
25124.3744857611.702.05 × 105
224.7445058411.402.12 × 105
324.3144658212.102.10 × 105
Table 4. Detailed Dimensions of the Sleeve.
Table 4. Detailed Dimensions of the Sleeve.
ItemsLength (mm)
Total length L/mm256
Reinforcing steel bar insertion depth L1/mm200
Internal threaded hole depth L2/mm33
Sleeve outer diameter d/mm50
Threaded connection reinforcing steel bar diameter d1/mm25
Grouted connection reinforcing steel bar diameter d2/mm25
Sleeve inner diameter d3/mm38.5
Grouting hole position a/mm40
Bleeding hole position b/mm205
Table 5. Material Properties of Grouted Sleeves.
Table 5. Material Properties of Grouted Sleeves.
ItemsPerformance Index
Yield strength σs/MPa≥355
Tensile strength σb/MPa≥600
Elongation after fracture δs/%≥16
Table 6. Number of Shear Grooves in Reinforcing Bar Grouted Sleeves.
Table 6. Number of Shear Grooves in Reinforcing Bar Grouted Sleeves.
Connected reinforcing steel bar diameter/mm12–2022–3236–40
Shear groove quantity/piece≥3≥4≥5
Table 7. Test results of performance test for grouting.
Table 7. Test results of performance test for grouting.
Testing Items (Average Value of Three Times)Ordinary Grouting MaterialGrouting Reinforcement MaterialRequired Index
1-day compressive strength/MPa36.538.2≥35
3-day compressive strength/MPa62.264.5≥60
28-day compressive strength/MPa93.1103.3≥85
Initial fluidity/mm318.5309.3≥300
30 min fluidity/mm272.8266.6≥260
Table 8. Test Results of Half-Grouted Sleeve Connection Specimens under Loading.
Table 8. Test Results of Half-Grouted Sleeve Connection Specimens under Loading.
Specimen No.Yield Load (kN)Ultimate Load (kN) (kN)Failure ModeFailure Location
GT-8d-0d-1215.56279.71Tensile fracture failureGrouting end
GT-8d-0d-2219.22283.13Tensile fracture failureGrouting end
GT-8d-0d-3217.27276.36Tensile fracture failureGrouting end
GT-6d-0d-1213.35279.71Tensile fracture failureGrouting end
GT-6d-0d-2217.68283.13Tensile fracture failureGrouting end
GT-6d-0d-3211.81279.20Tensile fracture failureGrouting end
GT-4d-0d-1204.386242.21Slip failureGrouting end
GT-4d-0d-2215.42258.73Slip failureGrouting end
GT-4d-0d-3194.22260.51Slip failureGrouting end
GT-6d-2d-I-1223.14278.12Tensile fracture failureGrouting end
GT-6d-2d-I-2220.14276.13Tensile fracture failureGrouting end
GT-6d-2d-I-3222.23277.13Tensile fracture failureGrouting end
GT-4d-4d-I-1228.47282.48Tensile fracture failureGrouting end
GT-4d-4d-I-2215.72281.74Tensile fracture failureGrouting end
GT-4d-4d-I-3219.83285.54Tensile fracture failureGrouting end
GT-4d-2d-I-1210.80282.25Tensile fracture failureGrouting end
GT-4d-2d-I-2217.39283.03Tensile fracture failureGrouting end
GT-4d-2d-I-3224.41280.18Tensile fracture failureGrouting end
GT-2d-6d-I-1227.14287.27Tensile fracture failureGrouting end
GT-2d-6d-I-2214.98282.02Tensile fracture failureGrouting end
GT-2d-6d-I-3225.66284.64Tensile fracture failureGrouting end
GT-2d-4d-I-1224.44285.70Tensile fracture failureGrouting end
GT-2d-4d-I-2215.03283.26Tensile fracture failureGrouting end
GT-2d-4d-I-3225.83280.11Tensile fracture failureGrouting end
GT-6d-2d-II-1222.89279.71Tensile fracture failureGrouting end
GT-6d-2d-II-2224.18284.34Tensile fracture failureGrouting end
GT-6d-2d-II-3225.23273.70Tensile fracture failureGrouting end
GT-4d-4d-II-1218.33274.41Tensile fracture failureGrouting end
GT-4d-4d-II-2213.35273.12Tensile fracture failureGrouting end
GT-4d-4d-II-3210.85273.76Tensile fracture failureGrouting end
GT-4d-2d-II-1213.91286.08Tensile fracture failureGrouting end
GT-4d-2d-II-2223.63288.18Tensile fracture failureGrouting end
GT-4d-2d-II-3219.26272.16Tensile fracture failureGrouting end
GT-2d-6d-II-1225.31292.03Tensile fracture failureGrouting end
GT-2d-6d-II-2225.84291.13Tensile fracture failureAnchorage end
GT-2d-6d-II-3225.43291.46Tensile fracture failureGrouting end
GT-2d-4d-II-1212.90282.80Tensile fracture failureGrouting end
GT-2d-4d-II-2226.30279.62Tensile fracture failureGrouting end
GT-2d-4d-II-3222.07281.21Tensile fracture failureGrouting end
Table 9. Bond Strength of Specimens with an Initial Grouted Anchorage Length of 4 d.
Table 9. Bond Strength of Specimens with an Initial Grouted Anchorage Length of 4 d.
Specimen IDYield Load/kNUltimate Load/kN τ u 4 /MPaFailure ModeFailure Location
GT-4d-0d-1204.386242.2130.8Slip FailureGrouting End
GT-4d-0d-2215.42258.7332.9Slip FailureGrouting End
GT-4d-0d-3194.22260.5133.2Slip FailureGrouting End
Table 10. Theoretical Calculated Values of Bond Strength and Comprehensive Bond Efficiency Coefficient k.
Table 10. Theoretical Calculated Values of Bond Strength and Comprehensive Bond Efficiency Coefficient k.
Concrete StrengthAnchorage Length l a /mmRebar Yield Strength/MPaBond Strength τ u /MPa k
C308 d36011.252.97
C408 d36011.252.57
C508 d36011.252.34
C608 d36011.252.14
C708 d36011.251.99
C808 d36022.53.75
C808 d360152.50
C808 d36011.251.88
Table 11. Theoretical and Corrected Bond Strength Values of the Grouted Specimens.
Table 11. Theoretical and Corrected Bond Strength Values of the Grouted Specimens.
Specimen IDFailure ModeTest Load Value (kN)Theoretical Rebar Fracture Load (kN)Calculated Value by Theoretical Formula ( π d l b k f c )Calculated Value by Corrected Formula ( 3.5 π d l b f c )
GT-4d-0d-1Rebar Slip242.21264.71136.07253.32
GT-4d-0d-2Rebar Slip258.73264.71136.07253.32
GT-4d-0d-3Rebar Slip260.51264.71136.07253.32
GT-6d-0d-1Rebar Fracture279.71264.71204.10379.98
GT-6d-0d-2Rebar Fracture283.13264.71204.10379.98
GT-6d-0d-3Rebar Fracture279.20264.71204.10379.98
GT-8d-0d-1Rebar Fracture279.71264.71272.14506.64
GT-8d-0d-2Rebar Fracture283.13264.71272.14506.64
GT-8d-0d-3Rebar Fracture276.36264.71272.14506.64
GT-6d-2d-I-1Rebar Fracture278.12264.71272.14506.64
GT-6d-2d-I-2Rebar Fracture276.13264.71272.14506.64
GT-6d-2d-I-3Rebar Fracture277.13264.71272.14506.64
GT-4d-4d-I-1Rebar Fracture282.48264.71272.14506.64
GT-4d-4d-I-2Rebar Fracture281.74264.71272.14506.64
GT-4d-4d-I-3Rebar Fracture285.54264.71272.14506.64
GT-4d-2d-I-1Rebar Fracture282.25264.71204.10379.98
GT-4d-2d-I-2Rebar Fracture283.03264.71204.10379.98
GT-4d-2d-I-3Rebar Fracture280.18264.71204.10379.98
GT-2d-6d-I-1Rebar Fracture287.27264.71272.14506.64
GT-2d-6d-I-2Rebar Fracture282.02264.71272.14506.64
GT-2d-6d-I-3Rebar Fracture284.64264.71272.14506.64
GT-2d-4d-I-1Rebar Fracture285.70264.71204.10379.98
GT-2d-4d-I-2Rebar Fracture283.26264.71204.10379.98
GT-2d-4d-I-3Rebar Fracture280.11264.71204.10379.98
GT-6d-2d-II-1Rebar Fracture279.71264.71277.89517.35
GT-6d-2d-II-2Rebar Fracture284.34264.71277.89517.35
GT-6d-2d-II-3Rebar Fracture273.70264.71277.89517.35
GT-4d-4d-II-1Rebar Fracture274.41264.71283.65528.07
GT-4d-4d-II-2Rebar Fracture273.12264.71283.65528.07
GT-4d-4d-II-3Rebar Fracture273.76264.71283.65528.07
GT-4d-2d-II-1Rebar Fracture286.08264.71209.86390.69
GT-4d-2d-II-2Rebar Fracture288.18264.71209.86390.69
GT-4d-2d-II-3Rebar Fracture272.16264.71209.86390.69
GT-2d-6d-II-1Rebar Fracture292.03264.71289.40538.78
GT-2d-6d-II-2Rebar Fracture291.13264.71289.40538.78
GT-2d-6d-II-3Rebar Fracture291.46264.71289.40538.78
GT-2d-4d-II-1Rebar Fracture282.80264.71215.61401.41
GT-2d-4d-II-2Rebar Fracture279.62264.71215.61401.41
GT-2d-4d-II-3Rebar Fracture281.21264.71215.61401.41
Disclaimer/Publisher’s Note: The statements, opinions and data contained in all publications are solely those of the individual author(s) and contributor(s) and not of MDPI and/or the editor(s). MDPI and/or the editor(s) disclaim responsibility for any injury to people or property resulting from any ideas, methods, instructions or products referred to in the content.

Share and Cite

MDPI and ACS Style

Jiang, Z.; Wang, C.; Pang, S.; Ji, S.; Xu, D.; Chen, Y. Experimental Study and Mechanical Performance Analysis of Reinforcement and Strengthening of Grouted Sleeve Connection Joints. Buildings 2026, 16, 275. https://doi.org/10.3390/buildings16020275

AMA Style

Jiang Z, Wang C, Pang S, Ji S, Xu D, Chen Y. Experimental Study and Mechanical Performance Analysis of Reinforcement and Strengthening of Grouted Sleeve Connection Joints. Buildings. 2026; 16(2):275. https://doi.org/10.3390/buildings16020275

Chicago/Turabian Style

Jiang, Zihang, Changjun Wang, Sen Pang, Shengjie Ji, Dandan Xu, and Yufei Chen. 2026. "Experimental Study and Mechanical Performance Analysis of Reinforcement and Strengthening of Grouted Sleeve Connection Joints" Buildings 16, no. 2: 275. https://doi.org/10.3390/buildings16020275

APA Style

Jiang, Z., Wang, C., Pang, S., Ji, S., Xu, D., & Chen, Y. (2026). Experimental Study and Mechanical Performance Analysis of Reinforcement and Strengthening of Grouted Sleeve Connection Joints. Buildings, 16(2), 275. https://doi.org/10.3390/buildings16020275

Note that from the first issue of 2016, this journal uses article numbers instead of page numbers. See further details here.

Article Metrics

Back to TopTop