Torsional Behavior of Pylon Columns with Edge Cracks in Suspension Bridges Under Wind Loads
Abstract
1. Introduction
2. Basic Theory and Derivation
2.1. Treatment of the Crack-Tip Singularity in the Torsion Problem of Cylinders with Edge Cracks
- (1)
- For area I , :
- (2)
- For area II , :
- (1)
- For area I (), :
- (2)
- For area II (), :
2.2. Boundary Element Numerical Computation: Choice of an Interpolation Function
3. Numerical Example of the Torsional Problem of a Cylinder with an Edge Crack
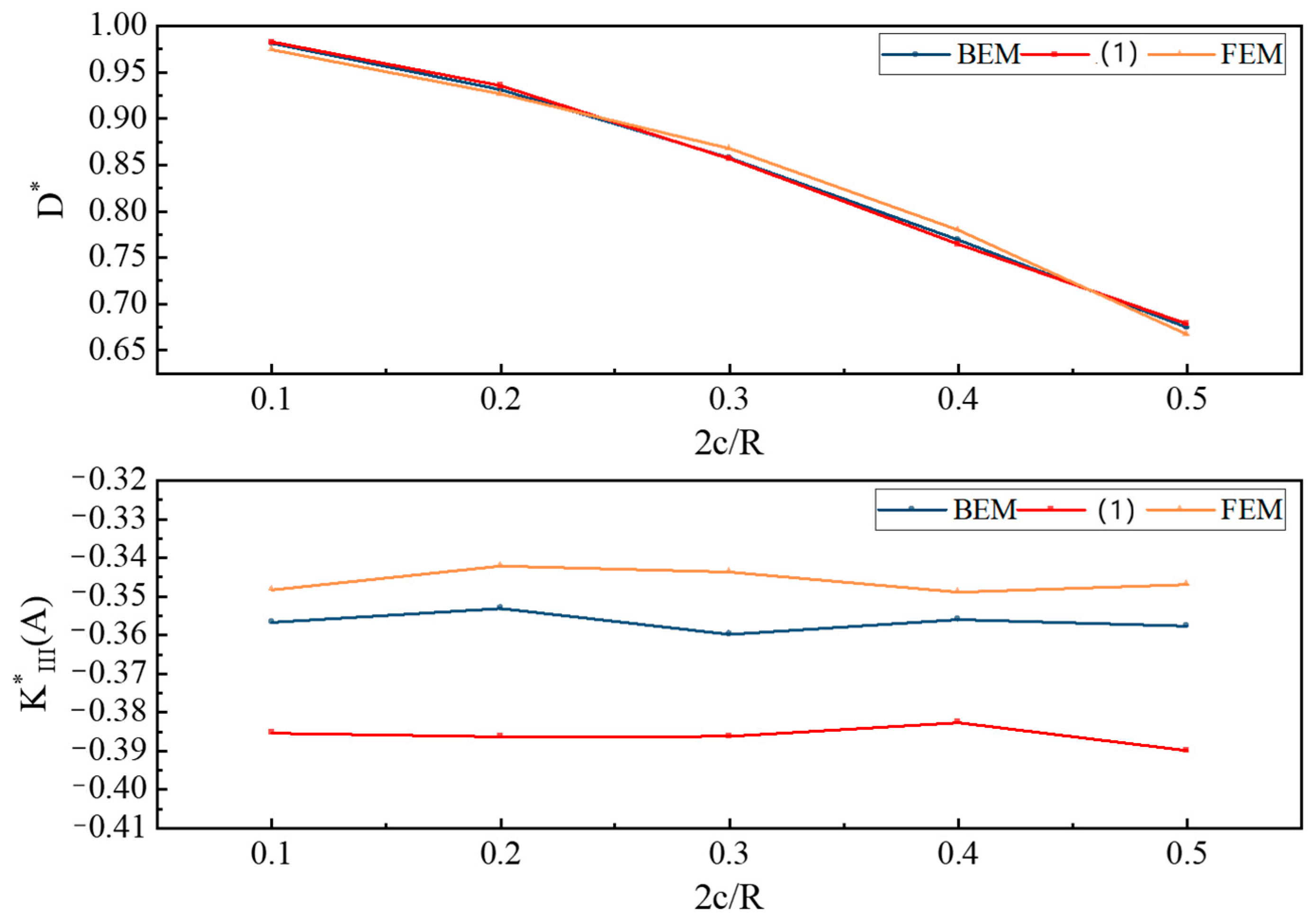
3.1. Cylinders with Straight Edge Cracks
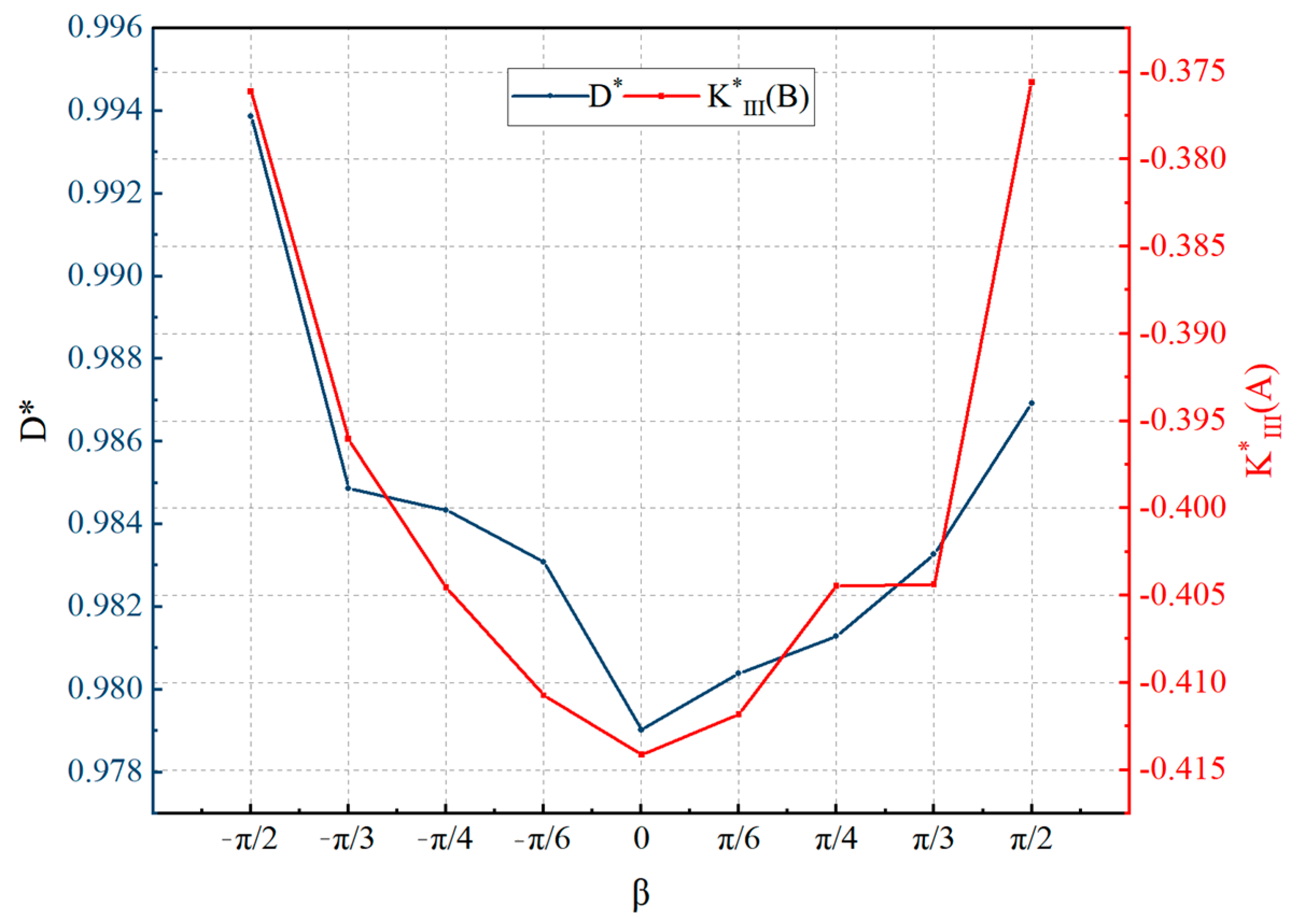
3.2. Cylinders with Cracks at the Broken Edge
4. An Example of a Torsional Analysis of Suspension Bridge Towers Under Wind Load
4.1. Torsional Effect of Wind Load on the Tower Column Body
- (1)
- Cross-sectional dimensions of the pylon: The cross-section of the lower pylon column is a circular ring with an outer radius R0 = 6.5 m, an inner radius Ri = 5.0 m, and a wall thickness of 1.5 m. The cross-section of the upper pylon column tapers gradually to an outer radius R0 = 4.8 m and an inner radius Ri = 3.8 m.
- (2)
- Height parameters of the pylon: The total height is 215 m, including the lower pylon column of 80 m, a middle pylon column of 105 m, and a upper pylon column of 30 m.
- (3)
- Geometric settings of the cracks: Based on the statistics of the actual pylon construction defects and operational damage, the cracks are set at height of 40 m on the lower pylon column (a torque-concentrated region). The length range of the straight cracks is 0.5–3.0 m, and the turning angles of the zigzag cracks are 15°, 30°, and 45°, which are consistent with the typical distribution characteristics of cracks in practical engineering.
- (4)
- Material properties of the pylon: The main structure of the pylon is made of C50 reinforced concrete, with a modulus of elasticity of E = 3.45 × 104 MPa, a Poisson’s ratio v = 0.2, a compressive strength of fc = 23.1 MPa, and a tensile strength of ft = 2.64 MPa. For the fracture mechanics parameters, the fracture toughness was KIIIc = 1.5 MPa·m1/2 (as measured via the three-point bending test of C50 concrete).
4.2. Example of the Numerical Calculation for the Pylon Column
- (1)
- Core material parameters of the pylon: The tensile strength (assumed to follow a normal distribution with a mean of 2.64 MPa and a coefficient of variation of 0.05); and the elastic modulus (assumed to follow a normal distribution with a mean of 3.45×104 MPa and a coefficient of variation of 0.03);
- (2)
- Peak wind load under different wind levels (assumed to follow a lognormal distribution, with parameters determined based on Specification GB 50009-2012 [48] and field measurement data);
- (3)
- Crack size measurement error (assumed to follow a uniform distribution with an error range of ±0.02 mm).
- (1)
- Low-risk level: When the measured crack length is less than 0.5 times the corrected threshold, a routine inspection cycle (once every two years) is adopted.
- (2)
- Medium-risk level: When the measured crack length ranges from 0.5 times the corrected threshold to the corrected threshold, the inspection cycle is shortened to once per year, with simultaneous enhancement of real-time monitoring.
- (3)
- High-risk level: When the measured crack length reaches or exceeds the corrected threshold, it is imperative to immediately suspend operation, conduct a comprehensive inspection, and formulate a targeted reinforcement scheme.
5. Conclusions
- (1)
- Based on the torsion theory of elastic mechanics, boundary integral equations for edge-cracked cylinders were established, which clarified the singularity characteristics of the stress field at crack tips. This research addresses the deficiency of insufficient theoretical analysis of wind-induced torsional fracture in suspension bridge pylons in existing studies, providing a solid theoretical basis for the accurate calculation of SIFs for such problems.
- (2)
- A BEM-based numerical algorithm tailored for the torsional fracture analysis of pylons was proposed. Through rational boundary element division and the selection of multiple forms of interpolation functions, high-precision calculations of torsional stiffness and SIFs for cylinders with straight or polygonal edge cracks were achieved. Verification against theoretical solutions and experimental data reported in the literature confirms that the proposed algorithm exhibits high accuracy and reliability. The method fully leverages the advantages of BEM in handling crack-related discontinuities and accurately captures crack-tip singularities, thereby filling the gap in the application of BEM in the field of torsional fracture analysis of bridge pylons.
- (3)
- Numerical simulations under different wind load conditions were performed, which quantified the effects of crack length, crack form (straight or polygonal), and wind load grade on the attenuation of torsional stiffness and the evolution of SIFs at crack tips in pylon cylinders. The maximum allowable crack length thresholds under various wind grades were determined, which were directly correlated with the local crack damage in pylons under actual wind load conditions in engineering practice, thereby providing a quantitative basis for damage assessment and safety early warning of suspension bridge pylons.
Author Contributions
Funding
Data Availability Statement
Acknowledgments
Conflicts of Interest
Nomenclature
| № | Symbols, Variables, and Parameters | Definition and Physical Meaning | № | Symbols, Variables, and Parameters | Definition and Physical Meaning |
| 1 | u | X-direction Displacement | 22 | n | Unit Normal Vector of the Outer Normal |
| 2 | v | Y-direction Displacement, | 23 | Torsional Moment Acting on the End Face | |
| 3 | w | Z-direction Displacement | 24 | Torsion Stress Function | |
| 4 | x | The three XYZ coordinate axes | 25 | crack | |
| 5 | y | 26 | Source Point | ||
| 6 | z | 27 | Field Point | ||
| 7 | Torsion Function | 28 | Solution to the Boundary Integral Equation | ||
| 8 | G | Shear Modulus | 29 | Stress Intensity Factor at the Initial Endpoint of the j-th Crack | |
| 9 | Torsion Rate | 30 | Stress Intensity Factor at the Terminal Endpoint of the j-th Crack | ||
| 10 | z | Location of the Cross-Section | 31 | Dimensionless Stress Intensity Factor | |
| 11 | Polar Coordinates | 32 | Shape Function | ||
| 12 | 33 | e1,e2, e3 | Elements on the Cracks and Boundaries | ||
| 13 | Strain | 34 | Integration Element | ||
| 14 | Shear Strain | 35 | R | Outer Radius of the Circular Ring | |
| 15 | Period of Trigonometric Functions | 36 | Inner Radius of the Outer Circular Ring | ||
| 16 | Shear Stress | 37 | Torsional Stiffness | ||
| 17 | A, B | Coefficients in Front of Trigonometric Functions | 38 | D* | Dimensionless Torsional Stiffness |
| 18 | k | Multiple | 39 | c | Crack Length |
| 19 | Angle | 40 | M, N | Linear Element | |
| 20 | Cross-Section | 41 | P(x0,y0) | Midnode of Each Element | |
| 21 | Cross-Section Boundary |
References
- Hu, J.; Zhang, X.; Tan, S.; Liang, Y.; Wang, J. Fatigue Damage Analysis of Steel Truss Suspension Bridge Under Non-Stationary and Non-Gaussian Buffeting. Int. J. Struct. Stab. Dyn. 2025, 25, 2550055. [Google Scholar] [CrossRef]
- Mao, J.X.; Gui, G.; Wang, H.; Nie, J.H.; Zong, H.; He, X.P. Field measurement research on dynamic performance of steel pylon of a long-span cable-stayed bridge under typhoons. China J. Highw. Transp. 2023, 36, 101–112. [Google Scholar]
- Lei, W.; Wang, Q.; Liao, H.; Li, Z. Vortex-induced vibration characteristics and mechanisms of portal steel bridge tower. J. Vib. Shock. 2024, 43, 1–8. [Google Scholar]
- Wang, F.; Ding, M.; Si, W.; Lu, J. Sand erosion of steel-concrete composite girder cable-stayed bridge is considered time-varying seismic vulnerability analysis. In Proceedings of the 2024 7th International Conference on Civil Architecture, Hydropower and Engineering Management (CAHEM 2024), Kunming, China, 27–29 September 2024. [Google Scholar]
- Shen, G.H.; Li, B.H.; Guo, Y.; Zhao, Z.; Pan, F. Calculation methods of torsion response and torsion equivalent static wind loading of transmission tower. J. Zhejiang Univ. (Eng. Sci.) 2022, 56, 579–589. [Google Scholar]
- Zhang, H.S.; Tan, D.P.; Xu, S.C.; Hu, T.; Qi, H.; Li, L. Investigation of Crack Propagation and Failure of Liquid-Filled Cylindrical Shells Damaged in High-Pressure Environments. J. Mar. Sci. Eng. 2024, 12, 921. [Google Scholar] [CrossRef]
- Zhou, Y.; Sun, Y.; Li, M. Experimental Research on Wind Resistant Performance of Free Standing Pylon of Long-Span Cable-Stayed Bridge. Bridge Constr. 2020, 50, 52–57. [Google Scholar]
- Zhang, Q.; Feng, Z.; Zhao, C. Research on Wind-resistance of the Steel-concrete Composite Pylon for Single Cable-plane Bridge during Construction. Highway 2013, 9, 286–292. [Google Scholar]
- Zhang, T.; Zhu, Z.; Zhang, F. Dynamic mode I fracture behavior of frozen soil under impact loading and FDEM numerical simulation: Based on a rate-dependent elastoplastic and cohesive model. Theor. Appl. Fract. Mech. 2025, 141, 105261. [Google Scholar] [CrossRef]
- Wang, D.H.; Li, S.; Sun, C. Assessment of wind-induced fragility of transmission towers under quasi-static wind load. Wind. Struct. 2021, 33, 343–352. [Google Scholar]
- Niu, Z.; Zhu, Z.; Que, X.; Xie, X.; Jin, K. Experimental study on damage evolution process, seepage characteristics, and energy response of columnar jointed basalt under true triaxial cyclic loading. Geoenergy Sci. Eng. 2024, 237, 212774. [Google Scholar] [CrossRef]
- Wang, Y.; Cao, Z.; Li, P.; Yi, X. On the fracture and energy characteristics of granite containing circular cavity under variable frequency-amplitude fatigue loads. Theor. Appl. Fract. Mech. 2023, 125, 103872. [Google Scholar] [CrossRef]
- Liang, J.-T.; Shang, L.-H.; Han, T. Research on crack detection and cause analysis of cable tower cracks in cross sea cable-stayed bridges. Constr. Mach. 2024, 6, 168–178. [Google Scholar] [CrossRef]
- Li, Q.; Xue, Y.-D.; Liu, T. Dynamic Fracture Experimental Study on Cantilever Beam with Prefabricated Cracks. Sci. Technol. Eng. 2018, 18, 309–314. [Google Scholar]
- Wang, X.; Li, X.-G.; Yan, K.-Y. Finite Element Simulation of Vibration Damage of Curved Tower Cable-Stayed Bridge with Spatial Torsion Cable Plane. Comput. Simul. 2024, 41, 101–105. [Google Scholar]
- Dai, K.; Zhao, Z.; Mao, Z. Failure of a wind turbine tower under extreme dynamic loads. J. Vib. Shock. 2019, 38, 252–272. [Google Scholar]
- Li, J.-Y.; Zhou, F.-J.; Lu, J.-H. Modified IWAN model of helical threaded connector imposed to torsional load. J. Jilin Univ. (Eng. Technol. Ed.) 2023, 53, 1305–1314. [Google Scholar]
- Rocha, M.; Trevelyan, J.; Leonel, E.D. An extended isogeometric boundary element formulation for three-dimensional linear elastic fracture mechanics. Comput. Methods Appl. Mech. Eng. 2024, 423, 116872. [Google Scholar] [CrossRef]
- Dong, J.; Ha, J.; Ge, S. Stability Analysis of Concrete Filled Steel Tube Cable-stayed Bridge with Single Tower and Double Cable Planes. Constr. Technol. 2022, 51, 60–69. [Google Scholar]
- Zvyagin, A.V.; Udalov, A.S.; Shamina, A.A. Boundary element method for investigating large systems of cracks using the Williams asymptotic series. Acta Astronaut. 2022, 194, 480–487. [Google Scholar] [CrossRef]
- Civera, M.; Rosso, M.M.; Marano, G.C.; Chiaia, B. Validation and Comparison of Two AOMA Approaches for the Ambient Vibration Testing of Long Suspension Bridges Under Strong Wind Loads. In Proceedings of the 10th International Operational Modal Analysis Conference (IOMAC), Naples, Italy, 21–24 May 2024. [Google Scholar]
- Rosso, M.M.; Civera, M.; Dessena, G.; Chiaia, B.; Marano, G.C. Experimental Damping Identification of a Bridge Case Study in Norway under Still Air Conditions. In Proceedings of the 11th International Operational Modal Analysis Conference-IOMAC, Rennes, France, 20–23 May 2025. [Google Scholar]
- Li, Z.; Zhang, Z.; Wang, T. Wind-induced collapse fragility analysis of double column suspended guyed tower. J. Cent. South Univ. (Sci. Technol.) 2024, 55, 255–267. [Google Scholar]
- Liu, G.; Lu, B.; Song, H. Study on Wind-induced Structural Internal Force Response of Xihoumen Bridge Pyon. J. Highw. Transp. Res. Dev. 2009, 26, 64–68. [Google Scholar]
- Zhang, S.; Xu, W.; Yao, T. Research on cracking risk of cable tower concrete based on multi-field coupling. Concrete 2020, 6, 37–40. [Google Scholar]
- Lee, Y.-T.; Chen, J.-T.; Kuo, S.-R. Semi-analytical approach for torsion problems of a circular bar containing multiple holes and/or cracks. Eng. Fract. Mech. 2019, 219, 106547. [Google Scholar] [CrossRef]
- Yin, R.-T.; Zhu, B.; Yuan, S.-W. Dynamic analyses of long-span cable-stayed and suspension cooperative system bridge under combined actions of wind and regular wave loads. Appl. Ocean. Res. 2023, 138, 103683. [Google Scholar] [CrossRef]
- Yu, H.; Zhang, M.; Chen, T. Research on wind resistance performance of a pipeline suspension bridge without wind cable in natural wind. Eng. Struct. 2025, 335, 120320. [Google Scholar] [CrossRef]
- Hao, J.M.; Wu, T. Downburst-induced transient response of a long span bridge: A CFD-CSD-based hybrid approach. J. Wind Eng. Ind. Aerod. 2018, 179, 273–286. [Google Scholar] [CrossRef]
- Brebbia, C.A. Boundary Element Techniques; Springer: Berlin/Heidelberg, Germany, 1978. [Google Scholar]
- Anderson, T.L. Fracture Mechanics: Fundamentals and Applications, 3rd ed.; CRC Press: Boca Raton, FL, USA, 2005; pp. 154–196. [Google Scholar]
- Kandpal, S.; Bora, S.N. Analytical Solution for Linearized Saint-Venant Equations with a Uniformly Distributed Lateral Inflow in a Finite Rectangular Channel. Water Resour. Manag. 2023, 37, 5655–5676. [Google Scholar] [CrossRef]
- Lu, Z.Z. A new boundary method for torsion problems of bars with curvilinear cracks. J. Eng. Mech. 2007, 24, 41–46. [Google Scholar]
- Dai, Y.; Li, H.; Liu, B.; Yang, C. Calculation boundary vulnerability of numerical algorithm in milling stability prediction. Int. J. Adv. Manuf. Technol. 2022, 119, 8271–8286. [Google Scholar] [CrossRef]
- Maksymovych, M.O.; Kharchenko, Y.V. Determination of Stresses in an Anisotropic Strip with Holes by Using Singular Integral Equations and Green’s Solution. J. Math. Sci. 2023, 273, 79–91. [Google Scholar] [CrossRef]
- Borachok, I.; Palianytsia, O.; Chapko, R. Method of Radial Basis Functions for Solving the Partial Integro-Differential Equation of Diffusion with Nonlocal Effects. Cybern. Syst. Anal. 2024, 60, 621–632. [Google Scholar] [CrossRef]
- Tang, R. Saint-Venant torsion of cracked Cylinder. Chin. J. Mech. Eng. 1982, 4, 332–340. [Google Scholar]
- Tang, H.; Yue, M.; Yan, Y.; Li, Z.H.; Li, C.; Niu, K.L. Influence of Soil–Structure Interaction Models on the Dynamic Responses of An Offshore Wind Turbine Under Environmental Loads. China Ocean Eng. 2023, 37, 218–231. [Google Scholar] [CrossRef]
- Li, X.; Dai, G.; Zhu, M.; Wang, L.; Liu, H. A Simplified Method for Estimating the Initial Stiffness of Monopile—Soil Interaction Under Lateral Loads in Offshore Wind Turbine Systems. China Ocean Eng. 2023, 37, 165–174. [Google Scholar] [CrossRef]
- Chauhan, B.S.; Ahuja, A.K.; Chakrabarti, A. Study of Variation in Wind Loads on Rectangular Cross-section Tall Building due to Change in Location of Interfering Buildings. Arab. J. Sci. Eng. 2023, 48, 12825–12844. [Google Scholar] [CrossRef]
- Fang, Y.; Wang, Y.; Yang, H.; Dai, H.; Yan, S. Research progress and bearing capacity calculation model of concrete-filled circular steel tubes under complex loads involving torsional loads. J. Southeast Univ. (Nat. Sci. Ed.) 2025, 1–16. [Google Scholar]
- Liu, N. Analysis of the Fracture of Offshore Platform Structures. Ph.D. Thesis, Ocean University of China, Qingdao, China, 2013. [Google Scholar]
- Su, Y.-M.; Qing, L.-B. Analytical Methods for Fracture of Concrete Three-point Bending Beams and Theoretical Characteristics of Fracture Process Zone. Eng. Mech. 2025, 1–12. [Google Scholar]
- Zhang, H.; Wu, J.; Huang, Y.; Dong, Y.; Peng, C.; Wu, S.; Xu, S. Multiscale Investigation on Damage and Fracture Mechanisms of 3D Printing Ultra-High Performance Concrete under Compression. J. Chin. Ceram. Soc. 2025, 53, 3313–3328. [Google Scholar]
- Torabi, A.R.; Ayatollahi, M.R.; Berto, F.; Razavi, N. Experimental Verification of the Averaged Strain Energy Density Criterion for Brittle Fracture in Blunt V-Notches Under Pure Compression. Strength Mater. 2022, 54, 1–13. [Google Scholar] [CrossRef]
- Liu, J.; Wang, J.; Wu, K.; Yi, X.; Hua, F.; He, Y.; Zhao, H. Multiaxial notch fatigue probability modeling based on three-parameter Weibull distribution and effective strain energy density. J. Braz. Soc. Mech. Sci. Eng. 2023, 45, 404. [Google Scholar] [CrossRef]
- Wu, Y.; Bao, C.; Cai, L.; Wang, K.; Liu, X. Estimation of Fracture Toughness for A508-III Steel in Ductile-to-Brittle Transition Region Using a Strain-Energy–Density-Based Fracture Failure Model. Acta Mech. Solida Sin. 2022, 35, 834–841. [Google Scholar] [CrossRef]
- GB 50009-2012; Load Code for the Design of Building Structures. China Architecture & Building Press: Beijing, China, 2012.
- JTG D60-2015; General Code for Design of Highway Bridges and Culverts. China Communications Press Co., Ltd.: Beijing, China, 2015.
















Disclaimer/Publisher’s Note: The statements, opinions and data contained in all publications are solely those of the individual author(s) and contributor(s) and not of MDPI and/or the editor(s). MDPI and/or the editor(s) disclaim responsibility for any injury to people or property resulting from any ideas, methods, instructions or products referred to in the content. |
© 2025 by the authors. Licensee MDPI, Basel, Switzerland. This article is an open access article distributed under the terms and conditions of the Creative Commons Attribution (CC BY) license.
Share and Cite
Liu, N.; Guo, J.; Zhao, K.; Wang, C.; Dong, Q.; Yuan, X.; Yang, H.; Zhao, L. Torsional Behavior of Pylon Columns with Edge Cracks in Suspension Bridges Under Wind Loads. Buildings 2026, 16, 161. https://doi.org/10.3390/buildings16010161
Liu N, Guo J, Zhao K, Wang C, Dong Q, Yuan X, Yang H, Zhao L. Torsional Behavior of Pylon Columns with Edge Cracks in Suspension Bridges Under Wind Loads. Buildings. 2026; 16(1):161. https://doi.org/10.3390/buildings16010161
Chicago/Turabian StyleLiu, Nan, Jianjun Guo, Kunpeng Zhao, Chunyu Wang, Qinxi Dong, Xidong Yuan, Hui Yang, and Lu Zhao. 2026. "Torsional Behavior of Pylon Columns with Edge Cracks in Suspension Bridges Under Wind Loads" Buildings 16, no. 1: 161. https://doi.org/10.3390/buildings16010161
APA StyleLiu, N., Guo, J., Zhao, K., Wang, C., Dong, Q., Yuan, X., Yang, H., & Zhao, L. (2026). Torsional Behavior of Pylon Columns with Edge Cracks in Suspension Bridges Under Wind Loads. Buildings, 16(1), 161. https://doi.org/10.3390/buildings16010161
