Next Article in Journal
Direct Load Control Strategy of Centralized Chiller Plants for Emergency Demand Response: A Field Experiment
Previous Article in Journal
Experimental Study on the Flexural Performance of Geogrid-Reinforced Foamed Lightweight Soil
Previous Article in Special Issue
Liquid-Water Transfer Coefficients of Porous Building Materials Under High-Humidity Conditions
 
 
Font Type:
Arial Georgia Verdana
Font Size:
Aa Aa Aa
Line Spacing:
Column Width:
Background:
Review

Insights into the Diagnosis and Prognosis of the Alkali–Silica Reaction (ASR) in Concrete Dams, Highlighting the Case of the Demolished Alto Ceira Dam in Portugal

by
João Custódio
1,*,
Juan Mata
2,
Carlos Serra
2,
António Bettencourt Ribeiro
1,
António Tavares de Castro
2 and
António Lopes Batista
2
1
National Laboratory for Civil Engineering (LNEC), Materials Department, Avenida do Brasil 101, 1700-066 Lisboa, Portugal
2
National Laboratory for Civil Engineering (LNEC), Concrete Dams Department, Avenida do Brasil 101, 1700-066 Lisboa, Portugal
*
Author to whom correspondence should be addressed.
Buildings 2025, 15(3), 460; https://doi.org/10.3390/buildings15030460
Submission received: 21 December 2024 / Revised: 24 January 2025 / Accepted: 27 January 2025 / Published: 2 February 2025
(This article belongs to the Special Issue Construction Materials: Performance Analysis and Assessment)

Abstract

Over the past few decades, a significant number of large concrete structures with deterioration problems related to the alkali–silica reaction (ASR) have been identified in Portugal and worldwide. Assessing the condition of ASR-affected concrete dams involves both diagnosis and prognosis. Diagnosis evaluates the structure’s current state, while prognosis predicts deterioration and safety implications. This is key to estimate the period during which the structure will effectively perform its function, and essential for the timely and cost-effective planning of the necessary mitigation, rehabilitation, and/or reconstruction works. This article aims to contribute to the ongoing discussion of this topic by the scientific and technical community and, therefore, presents the methodology adopted to assess the condition of a severely ASR-affected concrete dam in Portugal, the Alto Ceira dam, in which the concrete was produced with susceptible to ASR quartzitic aggregates and that was decommissioned and replaced by a new one in 2014. The article provides a brief review of the diagnosis and prognosis of the ASR in concrete dams, presents and analyses the results from laboratory testing (including chemical, microstructural, physical, mechanical, and expansion tests), in-situ testing, structural monitoring systems, visual inspections, and numerical modelling, aiming at assessing ASR impacts and evidencing the utility of the reported methodology on the appraisal of ASR-affected structures.

1. Introduction

Currently, a significant number of concrete infrastructures, in Portugal and throughout the world, are affected by internal expansive chemical reactions. Among the chemical reactions causing concrete expansion, the more common in Portugal are the alkali–silica reaction (ASR) and the internal sulfate reaction (heat-induced internal sulfate attack, also referred to in the literature as delayed ettringite formation, DEF). Of more than 60 large concrete dams being monitored in Portugal, the most recent data revealed that there are nearly 20 in which the concrete swelling phenomenon has already been identified.
The situation throughout the world is similar, with a great number of dams being affected by the ASR, although the authors have no knowledge of any dams demolished (fully or partially) exclusively due to the ASR. More details about the world situation concerning the ASR is available, although in limited detail, in several publications, of which the following stand out [1,2,3,4,5,6,7,8].
The current understanding of the mechanism subjacent to ASR development in concrete, as well as the influence of concrete constituents and environmental conditions, is extensive and cannot be summarised briefly in the present article. Therefore, the following publications are recommended for more detailed information on this topic [8,9,10,11,12,13].
Due to phenomenological and structural complexities, it is still difficult to perform a complete assessment of the actual condition of an ASR-affected structure, i.e., the diagnosis, and an accurate prediction of the future development of the ASR in a structure, as well as the deterioration of the mechanical properties of concrete and, consequently, an assessment of the structure’s safety and remaining service life, i.e., the prognosis. This is the key to estimating the period during which the structure will effectively perform its function, which is essential for the timely and cost-effective planning of the necessary mitigation, rehabilitation, reconstruction, or decommissioning works.
This article aims to contribute to the scientific and technical community’s ongoing discussion of this topic and, therefore, presents the methodology adopted to assess the condition of a severely ASR-affected concrete dam in Portugal, the Alto Ceira dam. The Alto Ceira dam was built in 1949 using a quarzitic aggregate and an ASR assessment and early diagnosis began in 1986. The article includes a brief review of the historical available information regarding the ASR assessment and summarises the main assessment activities, concrete testing results, and monitoring data that led to the decision to decommission, partially demolish, and replace the dam with a new one in 2014. The Alto Ceira dam case study is considered a good example to showcase and highlight the activities regarding a ASR assessment from the point of view of material deterioration and structural safety based on a significant number of tests and extensive monitoring results.
In the article, the ASR diagnosis and later prognosis activities were divided into material and structural levels. It includes the combined analysis of the results obtained in the extensive laboratory test campaign (which comprised chemical, microstructural, physical, mechanical, and expansion tests), performed on concrete cores, with the results obtained from the monitoring system and the visual inspections, used in dam safety control activities carried out over several decades, and the results of specific in situ and numerical studies. The purpose of this research is to present an overview of the activities involving the diagnosis and prognosis of the ASR phenomenon and establish correlations and conclusions between in situ test results, laboratory test results, and structural behaviour over time, which can often be contradictory. It aims to provide researchers and practitioners with new insights based on a real case study and demonstrate some of the difficulties in establishing clear correlations between laboratory and in situ test results and the outputs of the structural response obtained from the monitoring system. It is known that the generalised dissemination of this type of overview for a damaged concrete dam is not common, for several reasons. Hence, this historical information review combined with a methodology shows a practical application and guides the assessment of other deteriorated structures.

2. Diagnosis and Prognosis of ASR in Concrete Dams

The diagnosis and prognosis of the ASR in existing large hydraulic concrete structures, like dams, are currently not covered by any European standard or regulation. Because of that, construction industry stakeholders must rely on previous experience and on the scarce publications available in the literature for dealing with the ASR in existing concrete structures [14,15,16,17]. One of the main reported difficulties is to establish a relation between the experimental results at the specimen level, concerning the characterisation of the reaction, its remaining expansive potential and its consequences on the deterioration of the material properties, and the monitored behaviour of the dam, i.e., the structural effects of the expansive reactions [12,18]. Despite that, both evaluations, material and structural, are key in assessing the ASR progress and, therefore, are key to the safety control activities and decision-making. The continuous safety control assessment based on the monitoring results and visual inspection gives the first signs of this type of phenomenon and detailed studies follow, usually related to the experimental assessment of concrete. These evaluations form the foundation for detailed assessments through laboratory and numerical modelling approaches [19,20] and for supporting the decision-making and definition of strategies of repair, retrofit, and rehabilitation or, eventually, demolition. A methodology that may be followed to evaluate an ASR-affected dam is summarised in Figure 1. The assessment process can be divided broadly into three stages: (1) Initial survey; (2) Diagnosis; and (3) Prognosis.
Stage 1, Initial Survey, consists of the visual inspection of the structure and of the analysis of the structural observed behaviour (based on measurements from the structural health monitoring system of the dam, when available), where the symptoms of deterioration are annotated and compared to those commonly observed on affected structures (e.g., expansion causing deformation, irreversible relative movements in joints, irreversible horizontal and vertical displacements, cracking, surface discoloration, gel exudations, occasional pop-outs, and leakages). At this stage, any documents relating to the structure (e.g., environmental exposure conditions; age of the structure, design details, and dates of modifications or repairs; plans, drawings, and specifications of the structure; and previous surveys or investigations on the structure) and the materials used for the construction (e.g., concrete mix design and details of analyses or tests carried out on concrete constituents) are also gathered and reviewed to assist in the appraisal process and decide upon the likelihood of ASR presence. In the case of it being decided that the ASR is likely to be present (Stage 2), then the routine inspection plan is updated to support decision-making to assess if there is any change in the initially observed visual symptoms of deterioration. In the case of a dam that has a monitoring system installed (providing data such as horizontal displacements measured in pendulums; horizontal and vertical movements measured by geodetic surveying methods; relative movements in the dam foundation; relative movements in joints and cracks; seepage, leakage, and uplift pressures in the foundation and on the dam body), the measuring frequency of some physical quantities can be updated for a better characterisation of the dam behaviour, and a deep analysis of the structural observed behaviour and modelling is recommended, Figure 2. The visual inspections are carried out periodically with more detail, at least on a biennial or triennial basis. These visual inspections can be complemented, for example, through in situ tests (such as ultrasonic tests), and photogrammetry or thermal images assisted by drones, to better characterise the crack and leakage evolutions.
If the probability of the ASR being present is determined to be significant, then the information collected in the previous stage (Initial Survey) is used in Stage 2 (Diagnosis) to define the preliminary sampling program to be carried out on a selected number of locations from the areas showing visual signs of deterioration, and a deep analysis of the structural observed behaviour is performed (which may also include modelling). The collected concrete samples are then subjected to a series of destructive tests (e.g., observation by optical and scanning electron microscopes, observation by X-ray tomography, a determination of alkali and cement contents, a determination of the velocity of the propagation of the pulses of ultrasonic longitudinal waves in concrete) that allow the diagnosis of the cause(s) of the concrete deterioration and the attainment of a general assessment of the extent of deterioration (Figure 3).
In the case that ASR presence is confirmed and the damage to concrete is observed in Stage 2, then the appraisal process advances to Stage 3 (Prognosis), Figure 4, if the dam’s serviceability and safety conditions are not ensured. In this stage, an extensive inspection programme is devised to allow a structural integrity assessment, and an additional and broader sampling plan is defined to allow a detailed testing program in the laboratory, which quantifies the current condition of the concrete (i.e., the degree of expansion/damage attained to date), evaluates potential for future expansion (i.e., the trend for future concrete deterioration), and predicts future structural risks. Figure 4 shows a list of tests that may be used in this stage, which provide further information about the current and future condition of the concrete in the dam’s body. More information on the methods listed in Figure 3 and Figure 4 can be obtained in the literature, e.g., [15,16,21,22,23,24,25,26,27,28,29]. The sampling plan envisages a core extraction in several locations at the structure, including visually deteriorated and sound areas. In the case of a massive structural element, it is also important to extract cores from deep inside the affected element to evaluate the degree of the reaction throughout the element thickness so that sampling can encompass different stresses and exposure conditions. The number of samples required depends on the type and complexity of the structure. The results of the detailed investigation are then analysed, and decisions are made regarding the need to plan and implement in situ monitoring programs (measuring expansion and deformation), mitigation, rehabilitation, reconstruction, or decommissioning strategies.
When there is enough information available, the use of numerical models simulating the life period of the structure is important to verify if the effects of the ASR explain the observed structural dam behaviour. To study the effects of the ASR in the structural dam safety condition, namely in its dynamic behaviour, is also important in seismic hazard areas [30].

3. Case Study—The (Demolished) Alto Ceira Dam

3.1. Introduction

The Alto Ceira dam (Figure 5) was built between 1940 and 1949, with the first impounding of the reservoir occurring in March 1950. The main structure was a thin arch, defined by circular arches of a constant thickness, with a maximum height of 37.0 m, a crest development of 120.0 m, and a thickness varying from 1.5 m at the crest to 4.5 m at the bottom (Figure 6). The volume of concrete used in the dam was roughly 7 × 103 m3. The coarser aggregates used in the concrete were obtained from crushing the quartzite blocks extracted during the excavation of the adduction tunnel of Santa Luzia dam. The finer aggregates were obtained from alluvial areas of the riverbeds in the region, namely the river Alva. The reservoir had a maximum capacity of 980 × 103 m3. The dam had a surface spillway with a maximum capacity of 100 m3·s−1 on the right bank and a shunting line tunnel with a maximum capacity of 8.9 m3·s−1 on the left [31,32]. The dam was decommissioned and partially demolished in 2014 due to significant cracking and leakage as a result of the ASR and a new dam was built in a downstream zone near the demolished dam [33].
The original structural health monitoring system of the dam included the measurement of horizontal and vertical displacements by geodetic methods, which were performed since the beginning of the reservoir’s first filling. The horizontal displacements, obtained by triangulation methods, and the vertical displacements on the crest of the dam, obtained by precision geodetic levelling, have been obtained since 1950 [33]. Throughout the years, a continuous significant upward and upstream displacement was detected, indicating the existence of swelling reactions [36]. Several years later, an additional geodetic network, a plumbline, rod extensometers in the foundation and the dam body, and weirs and piezometers, were installed to allow for a more detailed characterisation of the evolution of the dam’s structural behaviour. The structural assessment was further developed relying on in situ ultrasonic testing for crack length and depth characterisation, on a numerical model to study the behaviour of the dam under swelling and on a dynamic characterisation test to establish a reference state for future studies. During this period of diagnosis, specific material tests, such as petrographic analysis and potential alkali-reactivity evaluated the type and degree of the deterioration. Based on the documentation, the separation between the diagnosis and prognosis is not clear due to the long process over decades between the dam owner and the Portuguese dam safety authority. The authors propose a separation of these two stages after 1995, after which the type of activities, both the material tests and the structural assessments, were more focused on determining the load bearing capacity and functionality of the dam. Table 1 lists the main activities developed over the service life of the Alto Ceira dam concerning the ASR characterisation and deterioration of the Alto Ceria dam.

3.2. An Analysis of the Structural Observed Behaviour Due to Swelling Phenomenon

Among the different loads acting on concrete dams, it is typical to distinguish, as the most important loads for structures in normal operations, the hydrostatic pressure and the temperature variation. The time evolution of the reservoir water level is presented in Figure 7. The temperature variations in the dam body are represented by the average value and the semi-amplitude of an annual wave of one year based on the temperatures recorded in six thermometers (T1 to T6) at the core of the dam’s body, Figure 8. From the figures, it is possible to observe that the average temperature, recorded at 665 m and usually above the water level, is similar in the right bank, middle bank, and left bank; although the temperature semi-amplitude increases slightly from the right bank to the left bank. An increase in the average temperature and a decrease in the temperature semi-amplitude is observed with the increase in the height of the dam. The average temperature recorded at thermometer T5 (upstream face) is only marginally lower than that registered at thermometer T8 (downstream face). The opposite trend is observed for the temperature semi-amplitude. Regarding the ASR, it is expected that the reaction will develop faster in the areas where the temperatures are higher, considering that there is a sufficient supply of moisture. This might have contributed to the higher expansions predicted for the upper zones of the dam (Section 3.2.4). It is expected that the temperature at the surface of the downstream face is higher than that at the dam’s core and upstream face; however, there are no records of the temperature at the surface of the downstream face and of the water reservoir.
As previously discussed, the analysis of the monitoring results indicated an anomalous behaviour of the dam characterised by the following: (i) progressive horizontal upstream displacements, with accumulated values of more than 50 mm; (ii) progressive upward vertical displacements (up to 20 mm in block FG); and (iii) significant structural cracking and leakage through the main cracks in specific zones [32,35,37]. Throughout the years, further specific studies were developed to assess the dam’s safety and serviceability, comprising both material testing and structural analysis [31,32,33,35,37,38,39,40]. The structural behaviour has been assessed through the evaluation over the years of cracking patterns based on visual inspections and ultrasonic tests [33,38,39], and the comparison between the results of monitoring and numerical modelling [32,34,35].
The following sections summarise the results of the main studies developed on the structural behaviour of the Alto Ceira dam. The goal is to collect the most relevant information regarding the overall behaviour of the dam to correlate it with the most recent laboratory test results, using cores extracted from different locations in the dam.

3.2.1. Observed Horizontal Displacements

The horizontal displacements in the dam body were measured through the geodetic method (since the first impounding) and using a plumbline (since 1986). As reported in [34,35], an abnormal behaviour, characterised by increasing radial displacements to the upstream direction, was detected by geodetic methods [31,32,33,35,37,38,39,40] (Figure 9 and Figure 10) and by the results of the plumb-line installed in 1986 in the central block DE (Figure 11).
Both measurement methods showed compatible results over time with an important trend in the upstream direction. Based on a statistical analysis of the results, the time effect was better adjusted with a linear trend, which indicated that the ASR was still occurring. Monitoring results also revealed that swelling effects were not homogeneous throughout the dam. The results presented in Figure 9 show higher upstream horizontal displacements in blocks FG and EF, next to the right bank.

3.2.2. Observed Vertical Displacements

Vertical displacements measured since 1990, using levelling points located on the crest of the dam body, are presented in Figure 12. All of the points monitored convey a progressive vertical displacement trend in the upward direction. The crest displacement profile resembles an M-shape, which happens in some arch concrete dams affected by the ASR and DEF. On the dam’s left bank, the most significant displacements were recorded on block CD, whilst on the dam’s right bank, they were attained in block FG. The highest overall value was observed in the levelling point located in block FG (approximately 22 mm), which corresponds to an expansion rate close to 1.5 mm per year [35]. Such vertical displacements indicate ongoing expansion and structural instability.
In 2012, Batista and Gomes [34] presented a brief overview of the condition of the main dams in Portugal affected by internal swelling chemical reactions. This overview reported the main internal swelling mechanisms involved and the predicted vertical strains associated with the concrete swelling. The Alto Ceira dam showed an average vertical strain rate in the last 5 years, before 2012, of 10 to 120 × 10−6/year and an accumulated vertical displacement ranging from 600 to 4600 × 10−6, until 2012.

3.2.3. Structural Cracking Observed Through Visual Inspections and In Situ Tests

The structural assessments in the mid-nineteen-eighties and early nineties reported significant structural cracking and leakage mainly near load-bearing zones, and at mid-height, especially on the right bank [32]. The cracking patterns were diffuse, creating large honeycomb shapes between cracks (map cracking) in the crest (due to unrestrained conditions) and sub-horizontal and parallel to the foundation surface in the abutments (due to the restrain of the rock mass foundation) (Figure 13). In the 2001 assessment, new and extended cracking patterns were detected, including downstream long horizontal cracks across the upper half of the dam (Figure 14). This cracking is closely related to ASR deterioration, but this not excluded the possibility of other types of deterioration such as cyclic thermal variations, and high stresses, especially relevant in a thin unreinforced structure with several decades. Although the load-bearing capacity was not compromised, severe leakage was a main concern and a critical functionality issue.
The cracking condition of the dam body, assessed by ultrasonic tests in 1986, 1994, and 2001 during visual inspections, allowed for the verification of the following:
  • Between 1986 and 1994, there was no increase in the number of structural cracks; however, an increase in the opening of the existing cracks was observed in that period, mainly at the upper elevations of the FG block, above the 660 m elevation [38,39];
  • Between 1994 and 2001, there was an important increase in the number of structural cracks. In some cases, the cracks resulted from the prolongation of the existing ones observed in 1994 (Figure 14) [33,39];
  • There were several cracks in the upstream face, especially near the right abutment [33,39];
  • Some cracks had significant openings (mainly between 1 and 3 mm) and depths (mainly up to 600 mm). Several cracks were wet in the downstream face, revealing leakage problems throughout the structure (Figure 13) [33,39].
Additionally, in these specific reports, visual inspections during the dam’s service life allowed for the monitoring of the progress of the intensive cracking in the dam body (Figure 13).
Regarding the ultrasonic tests performed in 1994 [39], the majority of the pulse velocity results were obtained in the range between 3.0 and 5.0 km/s, with higher pulse velocities being recorded in the middle level assessed, and lower velocities registered in the top and bottom levels evaluated (Figure 15). The measurements on block FG, which had cracks of a significant aperture in both up and downstream faces, revealed lower pulse velocities than the measurements made on block BC. In the right abutment, pulse velocities values were more uniform, ranging mostly between 4.00 and 4.50 km/s. In the left abutment, the upper area, near the crest, the measurements showed some lower velocity values (3.50 to 4.25 km/s), in contrast with the lower area in the left abutment in which higher pulse velocities were obtained (>4.50 km/s). In new tests developed in 2001, measurements of pulse velocities were made at lower levels. In these tests, the measurements of pulse velocity in the right and left abutments showed lower values over a more extended area (values under 3.50 km/s were detected in more areas and values under 2.50 km/s were also recorded) (Figure 16) [33]. Thus, these results agree with the ones from the crack assessment made of the dam. The measurements made in 2001 were performed with the indirect transmission method, as the level of the water reservoir inhibited readings between the upstream and the downstream faces of the dam.
Two weeks before the demolition, LNEC performed a thermal panoramic image of the Alto Ceira dam [41], that was overlapped with the main reported occurrences (Figure 17). This type of analysis can be useful to correlate the cold areas with the presence of leakage, to identify surface deposits and cracks and to quantify each type of occurrence over time.

3.2.4. Numerical Modelling Studies Carried out for the Analysis of the Structural Dam Behaviour

The first numerical studies regarding the Alto Ceira dam date to 1995, in which the displacements measured from 1950 to 1993 were compared to the ones obtained using a finite element model considering the elastoplastic behaviour of concrete and an estimate of the swelling in different areas of the dam [42].
In 1996, LNEC performed forced vibration tests to characterise the dynamic properties and behaviour of the Alto Ceira dam and compared the measured natural frequencies and damping coefficient with the prediction of a numerical model [43]. The dynamic elastic modulus of some of the blocks was considered to range between 19.5 GPa and 30 GPa to fit the results and was coherent with the static modulus of elasticity used in previous studies. The measured natural frequencies and damping coefficients ranged from 7.95 Hz to 2.2%, for the first vibration mode, to 14.66 Hz to 3.0%, for the fourth vibration mode [43].
The subsequent numerical models developed at LNEC for the Alto Ceira dam highlighted the heterogeneity of the effects of swelling in the concrete throughout the dam’s body.
Over several years, LNEC performed a comprehensive study comprising a back analysis algorithm incorporated in a three-dimensional finite element model of the dam [35,40]. This model was able to identify parts of the dam’s body with different expansion rates over time, Figure 18. The predicted expansions were obtained by fitting the model output to the observed horizontal and vertical displacements. The results show, as expected, higher expansion values, in both horizontal and vertical directions, near the right bank with a maximum predicted value of 6400 × 10−6 and 5880 × 10−6 for the horizontal and vertical direction, respectively, until 2004.

3.3. Material Assessment

3.3.1. Initial Survey

As part of the initial survey, the existing documentation relating to the structure and the materials used for the construction were gathered and reviewed to assist in the appraisal. The documentation was obtained from the LNEC archives and library and the structure owner’s archives.
Concerning the dam’s concrete, no information was found on the concrete strength classes or the prescribed or effectively used concrete constituents. Most of the information available pertains to tests and analyses performed on concrete samples extracted from the dam’s body during its service life. In terms of mechanical properties, there is some information on the modulus of elasticity [44,45] and on the compressive strength [45] of the concrete.
In 1951, a concrete sample was extracted from the dam’s body, at its base (30 cm × 30 cm × 72.5 cm) and at an elevation of 645 m [44]. Three concrete specimens (20 cm × 20 cm × 60 cm), cast during the dam’s construction, were also selected for testing [44]. The results obtained are presented in Table 2. Considering the mean value determined experimentally, (30.9 GPa, Table 2) and an age coefficient of 1.07 [46], the modulus of elasticity, for a 64-year-old concrete, could be estimated to be 33.2 GPa. The results indicate a reduced stiffness in some locations, suggesting degradation due to the ASR.

3.3.2. Diagnosis and Prognosis

In 1986, as a part of the diagnosis of the concrete condition, cylindrical concrete samples were extracted from the dam’s body, in five locations (Figure 19) [45]. Two concrete specimens (Ø15 cm × 40 cm), from locations L1, L2, L3, and L5, were prepared from the extracted cores to determine the modulus of elasticity and compressive strength. The results obtained are presented in Table 3. It can be observed from the results that an overall average modulus of elasticity and compressive strength of 27.3 GPa and 39.4 MPa, respectively, were obtained for the sampled concrete. The overall average modulus of elasticity, calculated according to Eurocode 2 [47] and using the compressive strength values of Table 3 converted with the core to cylindrical specimen factor defined in [48,49], is 33.8 GPa; therefore, it can be concluded that at the time the sampling was performed, the concrete was already altered, especially in locations L1 (−29%), L2 (−26%), and L5 (−33%). In terms of alteration, the concrete from locations L1 and L5 (block BC, close to joint C) seems to be the most altered, followed closely by that from location L2 (block DE, close to joint D); the concrete from location L3 (block FG, close to joint F) appears to be much less altered or not altered at all (+13%). The results also suggest that different concrete strength classes might have been used in the sampled locations.
Due to the anomalous structural behaviour observed earlier in the dam, diagnosis studies were further carried out to identify its origin and incidence in the safety and functionality conditions of the dam. From two of those studies, carried out in 1990, it was possible to identify and characterise the swelling phenomenon [50,51]. The next paragraphs summarise and analyse the main findings obtained in those two reports.
The cored samples, 60 mm in diameter, were extracted from two holes drilled vertically on the dam’s crest (SD and SE in Figure 20). The hole SE was performed on block CD (left bank, ME) and had a length of 8.12 metres, while hole SD was performed on block EF (right bank, MD) and had a length of 8.47 metres. The drilling depth was chosen to encompass three zones: zone I—above the maximum retention level; zone II—between the minimum and maximum exploration level; and zone III—permanently submerged [50].
The macroscopic observation revealed that in the core SE, the cracking was homogeneous and more intense from the depth of 1 m to 6 m. In the core SD the cracking was more intense between 1 and 3 m and between 5 and 7 m. The cracking in the core SD was more significant than in core SE.
The macroscopic observation and the petrographic examination revealed that coarse and fine aggregates have a similar mineralogical composition, i.e., siliceous (quartzite and quartz) and silicate (feldspar) nature latu sensu. It was noticed that the coarse aggregate was obtained by crushing quarzitic blocks, the fine aggregate was composed of alluvial sand (river sand) and particles resulting from crushing quarzitic rock to produce the coarse aggregate [50].
The larger fractions of the aggregate (20–60 mm and 60–100 mm) are essentially composed of quartzite (of a mosaic and molar tooth structure), although in minor percentage, quartzose sandstone and philonian quartz were also identified. In some aggregates, particles of mica (generally muscovite and eventually sericite), microcline, plagioclase, and finely disseminated pyrite mineralization, were still detected [50].
In the smaller size fractions, 2–6 mm and 6–20 mm, the prevailing aggregate is siliceous. Siliceous schist and metapelite (most likely metasandstone or metagreywacke) are only rarely observed on these fractions [50].
The finer size fractions (0.6–2 mm and 2–6 mm) are also dominated by an aggregate of a siliceous nature (composed of quartzite and mainly cryptocrystalline quartz in the smaller sizes). There is an increasing amount of feldspars and schists with the decrease in the size of the aggregate; metapelites and mica flakes (muscovite and biotite) are also present [50].
Thus, the aggregate used in the concrete dam has alkali reactive constituents (e.g., deformed-strained quartz, fine-grained and poorly (micro- and crypto-) crystalline silica) and constituents that may release alkalis into the concrete pore solution (e.g., alkaline feldspars, muscovite, and biotite). Signs of expansive reactions, like aggregates with border alteration, fissures in the paste and paste/aggregate interface and neoformation products, were observed on both cores. The observations made with a scanning electron microscope (SEM) and an X-ray Analyser (EDS) confirmed the presence of alkali–silica gel in the observed samples [50]. It should be noted that at the time the tests were carried out, in 1990, the concrete was about 40 years old.
The above study included the assessment of the potential alkali-reactivity of two aggregate samples using the chemical method [52,53] (although this method was withdrawn in 2016, the data obtained with it still constitutes as an important record of aggregate alkali-reactivity and it may be still useful for research purposes). Based on the results obtained in the reduction in alkalinity tests [51], the aggregate samples could be classified as innocuous (Table 4).
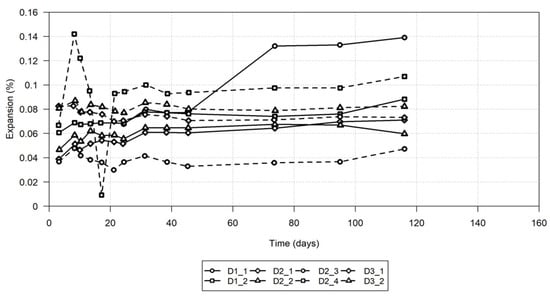
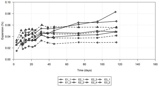
The study also comprised a prognosis of the ASR future development potential. Thus, residual alkali–silica expansivity tests were performed. The potential for the further expansion of the concrete due to the ASR was determined on sixteen concrete prism specimens, 30 mm × 30 mm × 120 mm, obtained from the cores and using the ASR accelerating conditions specified in [54,55], i.e., twelve specimens were immersed in a sodium chloride-saturated solution at 50 °C and four specimens were immersed in deionised water at 50 °C (Table 5).
The results obtained are presented in Figure 21 and Figure 22. The main conclusions obtained were the following:
  • The specimens from block EF exhibited a higher residual expansion;
  • The residual expansion tended to cease after 30–40 days of testing;
  • The residual expansion values obtained in the sodium chloride solution are higher than those verified in water, the exception being specimen D2/4 (which showed abnormal behaviour at the beginning of the test);
  • The specimens from zone II (the height between the minimum and maximum exploration level) registered a smaller residual expansion, and the specimens from zone I (the height above the maximum retention level of the dam) registered a higher residual expansion.
Overall, the tests have shown that the aggregates in the concrete sampled from the dam still exhibited the potential for residual expansion due to the ASR, and that this potential was higher on the dam’s right bank. Considering that all concrete had, initially, a similar ASR potential, the results suggest that the concrete from zone I (above the maximum retention level) expanded the least during the 40 years, the concrete from zone II (between the minimum and maximum exploration level) expanded the most in that period, and that the concrete sampled from zone III (permanently submerged) presented an intermediate expansion level. Hence, the concrete from the left bank might have expanded more during the referred period.

3.3.3. Final Assessment

Following all previous diagnosis and prognosis activities carried out, at the structural (Section 3.2) and material (Section 3.2.1 and Section 3.2.2) levels, a final test campaign was undertaken to characterise the concrete over a larger number of locations and in more detail, in order to better interpret and validate the numerical studies carried out for the prognosis of the phenomenon.
The laboratory test campaign was performed on 26 cores extracted from the dam body in 2013, just before its abandonment. Figure 23 shows the locations on the dam’s body where the cores were extracted and Table 6 details their number and size.
The test campaign comprised a petrographic analysis, microstructural analysis, chemical analysis (determination of the alkali content), concrete ultimate expansivity tests, and physical (determination of the ultrasonic pulse velocity) and mechanical tests (compressive strength and stiffness damage test). The results from the physical and mechanical testing are included in this article.
Physical Testing
To determine the effects of the ASR-induced expansion on the concrete properties, ultrasonic pulse velocity (UPV) measurements were also performed on the concrete specimens, from all of the sampled locations. The measurements were made according to the European standard EN 12504-4 [56], by placing the two transducers on opposite faces (direct transmission) of the specimens. The UPV measurements were performed using PUNDIT Ultrasonic Test equipment (CNS Electronics Ltd., London, England) with a transit time resolution of 0.1 μs. Pundit standard 54 kHz compression wave transducers were used. The measurements will also be performed on the specimens that are currently being subject to the concrete residual alkali–silica reactivity tests.
The results of the ultrasonic pulse velocity determinations carried out on the cylindrical specimens, obtained from the concrete cores extracted from the dam, are presented in Table 7.
The individual test results for all of the cores ranged from 4.45 km/s to 4.92 km/s, with the overall average value being equal to 4.68 km/s. The highest average value was obtained for the concrete sampled in location L2 (block BC, left bank), whilst the lowest average values were obtained for locations L3 (block FG, right bank) and L5 (block FG, right bank). Since discontinuities in the concrete increase the travel time of the ultrasonic wave pulse between the transducers, for the same concrete and in the presence of chemical expansive reactions, like the ASR, a decrease in the UPV can generally be associated with an increased existence of micro-cracking in the concrete due to concrete expansion [57]. Therefore, by analysing the results by blocks, it can be seen that the concrete extracted from block BC is the least altered (location L2—4.86 km/s), followed by that from block DE (locations L1, L4 and L6—4.72 km/s) and then block FG is the one from which the sampled concrete is more altered (locations L3 and L5—4.54 km/s). In terms of height in each block, it appears that the concrete from lower heights is slightly more altered than that from larger heights (block FG: L5—4.56 km/s > L3—4.52 km/s and block DE: L6—4.76 km/s > L4—4.74 km/s > L1—4.66 km/s).
Table 7. Results obtained in the ultrasonic pulse velocity laboratory determinations.
Table 7. Results obtained in the ultrasonic pulse velocity laboratory determinations.
LocationSpecimenMass
(g)
Diameter
(mm)
Length
(mm)
Density
(kg/m3)
Pulse Velocity, V
(km/s)
L1AC-1.0B13,68315330824104.664.66(0.07)4.69(0.14)
AC-1.1B13,72715330924004.71
AC-1.2B13,84815331224104.71
AC-1.3B34,30521738424204.56
L2AC-2.0B10,82414427224504.924.86(0.05)
AC-2.1B12,03214430124604.81
AC-2.2B11,50814429024404.89
AC-2.3B11,40314429024104.83
L3AC-3.0B11,47114429124304.504.52(0.04)
AC-3.1B12,11514430624304.55
AC-3.2B11,42614429024204.56
AC-3.3B21,05119230424004.47
L4AC-4.0B13,98115330325004.624.74(0.08)
AC-4.1B13,91515331224204.76
AC-4.2B13,46315330024404.81
AC-4.3B13,91315331224304.77
L5AC-5.1B704412325523204.534.56(0.09)4.65(0.13)
AC-5.2B755514419623704.67
AC-5.3D921715321123804.45
AC-5.4B700214418323504.58
L6AC-6.0B13,75315331323904.734.75(0.06)
AC-6.1B13,63915331023904.83
AC-6.2B13,56315331023804.71
AC-6.3B37,26321741424304.73
Note: The density refers to that obtained by calculation using actual measurements made on the specimen, according to EN 1390-7 [58]. The values between the curved brackets correspond to the standard deviation of the pulse velocity.
Figure 24 presents a comparison between the cracking patterns in 1994 and 2001 and the laboratory pulse velocity results in 2020, obtained from the extracted cores. The main conclusion of this comparison is that the right abutment locations, L3 and L5, present lower pulse velocities and more intense cracking (2001). Interestingly, the concrete samples from location L2, in the left bank, have higher values of pulse velocity despite the cracking visible in that area (Figure 24). Figure 25 presents a comparison between the pulse velocity results obtained in the field in 2001 and the laboratory in 2020. The UPV measurements were performed using PUNDIT Ultrasonic Test equipment (CNS Electronics Ltd., London, England) with a transit time resolution of 0.1 μs. The discrepancy between in-situ cracking and laboratory pulse velocity results (Figure 24), and field and laboratory pulse velocity results (Figure 25) is somewhat expected and can be explained because the cores were extracted avoiding visible cracks and fissures, and the in-situ determinations were made with a different approach (although the readings were made with a direct transmission technique, the entire wall thickness was assessed and the readings were made in several directions, not only horizontally but also semi-horizontally). The transducers used in the field were not the same used in the laboratory and the laboratory and field measurements were not made exactly on the same places. The above analysis should allow for the fact that for a single site-made unit constructed from a single load of concrete or a few small units constructed from a single load of concrete, pulse velocity coefficients of variation, respectively, of 1.5% and 2.5%, would represent good construction standards [59]. A value of 6 to 9%, for the pulse velocity coefficient of variation, has also been suggested for similar concrete throughout a whole structure [59]. Furthermore, the cylindrical specimens assessed in the laboratory, extracted from the dam’s downstream face surface, are relatively small considering the aggregate dimension, and they represent only a very small fraction of the concrete used in the respective block, thus having a low probability of adequately reproducing the influence of the crack network present on the structure. In fact, when sampling is carried out in places without major cracks on the surface of the concrete element, to allow for intact cores, the tendency is to obtain less degraded concrete. The above-mentioned differences emphasize the heterogeneity of the phenomenon and the associated distress, and hence underline the importance of a broad sampling campaign of the dam concrete, in terms of the number of samples and concrete depth sampled, so that the specimens collected can provide an adequate image of the concrete condition in those locations.
Mechanical Testing
The mechanical testing was made to assess the concrete general condition and to compare its characteristics in the different sites in the dam, serving also as an indicator of the existence of the deleterious internal swelling phenomenon. The stiffness damage test (SDT) was performed according to a LNEC internal procedure [60]. The concrete compressive strength, performed according to the standard EN 12504-1 [61], was performed after the SDT. The test specimens were obtained by cutting and grinding the cores extracted up to the required length–diameter ratio, according to the standard EN 12390-3 [62]. The compressive strength and stiffness damage tests will also be performed on the specimens that are currently being subjected to the concrete residual expansivity tests.
Compressive Strength Test
The results show that there is a great variability in the condition of the concrete sampled throughout the dam (Table 8), with the individual values ranging from 29.3 MPa (location L5) to 64.9 MPa (location L2). Overall, the sampled concrete exhibits an average compressive strength of 47.8 MPa, and thus it is not evident from this value that the concrete compressive strength has been affected. However, assuming that the same concrete compressive strength class was used in all the assessed locations, then the values obtained for locations L3 and L5 suggest that an alteration of the concrete might have occurred leading to a depreciation of the concrete compressive strength in those locations, which is compatible with the visible cracking in those structural elements.
The general variation trend observed for the compressive strength with the location was similar to that described above for the ultrasonic velocity. The highest average value was obtained for the concrete sampled in locations L2 (block BC, left bank) and L6 (block DE), whilst the lowest average values were obtained for locations L5 (block FG, right bank) and L3 (block FG, right bank). Analysing the results by blocks, the concrete extracted from block BC has the higher compressive strength (L2—64.9 MPa), followed by that from block DE (L1, L4, and L6—51.3 MPa) and then block FG is the one from which the concrete shows the lowest compressive strength (L3 and L5—34.1 MPa). In terms of height, it appears that the concrete from lower heights is slightly more altered than that from larger heights in block DE (L1—43.4 MPa, L4—51.0 MPa, L6—59.6 MPa); however, the opposite was observed for block FG (L3—38.9 MPa, L5—29.3 MPa). The mean compressive strength of the specimens extracted on the dam’s downstream face (49.6 MPa) was slightly higher (10%) than that of the specimens obtained on the dam’s crest (44.4 MPa). The above differences might be related to variations in concrete composition in the several locations sampled, but, if the ultrasonic velocity values are considered, they most likely derive from concrete degradation. In this case, the diverse degradation levels could be associated with the local concrete composition, the structural element dimensions, and the specific environmental exposure conditions. However, as only a very small number of cores were tested for compressive strength, and considering the aggregate size, the generalisation of the results must be performed carefully.
Comparing the results obtained in the test campaign carried out in 1986 (Table 3) [45] with those from the present study (Table 8), considering only the concrete sampled in similar locations (Figure 26), it can be observed that, as follows: (i) a higher overall average compressive strength was obtained for the samples extracted in 2013 (samples 1986—45.1 MPa; samples 2013—49.1 MPa), and that (ii) only the concrete sampled from location L1 exhibited a compressive strength lower in 2013 than in 1986 (samples 1986—48.7 MPa; samples 2013—43.4 MPa).
Figure 27 presents a direct comparison between the cracking patterns and compressive strength results. The comparison shows that the right abutment locations, L3 and L5, present the lowest compressive strength values and large cracking detected in 2001. Again, L2, in the left bank, has higher values of compressive strength despite being an area with large cracking. Thus, the results are coherent with the laboratory ultrasound testing. In addition to the considerations made above for the in-situ and laboratory differences obtained with the ultrasound testing, it should be pointed out that only one core was tested per location sampled, which narrows down the extrapolations that can be made from the compressive strength tests.
Stiffness Damage Test
The results obtained in the stiffness damage test are presented in Table 9. The modulus of elasticity, determined experimentally, and the modulus of elasticity estimates, calculated according to EC2 [47] using the compressive strength values of those same specimens, are presented in Figure 28.
The results show that the modulus of the elasticity of the concrete varies slightly between the different locations sampled, with the individual values varying between 24.0 GPa (location L3) and 35.5 GPa (location L4), and with an overall average value of 30.2 GPa (Table 9). The lowest individual values were obtained for locations L3 and L5; the lowest compressive strength and ultrasonic pulse velocity values were also obtained for the concrete sampled in those locations (Table 7 and Table 8).
Analysing again the results by blocks, it can be seen that the concrete extracted from block BC has the highest modulus of elasticity (L2—33.0 GPa), followed closely by that from block DE (L1, L4 and L6—32.1 GPa) and then block FG is the one from which the concrete shows the lowest modulus of elasticity (L3 and L5—24.8 MPa). In terms of height, no clear trend was found (block DE: L1—29.8 GPa, L4—34.3 GPa, L6—32.1 GPa; block FG: L3—25.0 GPa, L5—24.4 GPa). The mean modulus of the elasticity of the specimens extracted on the dam’s downstream face (30.5 GPa) was only marginally higher (3%) than that of the specimens obtained on the dam’s crest (29.5 GPa).
Apart from location L4, all of the average experimental values of the modulus of elasticity are below the estimated value for sound concrete (33.2 GPa, Section 3.3) (Figure 28). Furthermore, when comparing the experimental values with the corresponding estimated values for sound concrete, using the compressive strength (Figure 28), it is observed that the modulus of elasticity is below what was expected for an unaltered concrete in all of the evaluated locations. This suggests that some internal damage may exist in the concrete sampled, and the difference does not derive just from eventual limitations in the representativeness of the sampling. The corresponding values for the accumulated final extension and energy dissipated in the first SDT cycle confirm the existence of internal damage in the concrete. The values obtained for the specimens from locations L3 and L5 are indicative of relevant internal damage, whilst those obtained for locations L1, L2, L4, and L6 are indicative of some (L1 and L2) or almost no internal damage (L4 and L6) (Table 9). Therefore, the results suggest that, in the concrete sampled, the swelling reactions have developed sufficiently to cause a degradation of the mechanical properties.
Comparing the results obtained in the test campaign carried out in 1986 (Table 3) [45] with those from the present study (Table 9), considering only the concrete sampled in similar locations (i.e., L1, L2, and L3, Figure 29), it can be observed that in spite of the overall average modulus of elasticity obtained for the samples extracted in 1986 and 2013 being similar (samples from 1986—29.0 GPa; samples from 2013—29.3 GPa), the concrete sampled from location L3 actually exhibited a much lower modulus in 2013 than in 1986 (samples 1986—35.8 GPa; samples from 2013—25.0 GPa), suggesting an increase in the damage of the concrete in that location. The reduced modulus of elasticity in critical zones confirms progressive degradation due to the ASR.
Figure 30 presents a direct comparison between the cracking patterns, detected on the downstream dam’s face, and elastic modulus results. The comparison shows that the right abutment locations, L3 and L5, present the lowest elasticity modulus values and large cracking detected in 2001. Again, L2, in the left bank, has higher values of the modulus of elasticity despite being an area with intense cracking. Thus, the results are coherent with the laboratory ultrasound and compressive strength testing.
The estimates of the total unrestrained expansion attained to date in the sampled concrete, calculated from the parameters obtained in the SDT [57,60] carried out to the “as received specimens” and considering that the predominant swelling phenomenon was the ASR, are presented in Table 10. Two methods were used. Method A considers that the modulus of the elasticity of sound concrete is equal to the highest value obtained for the specimens during the five load–unload cycles, whilst Method B considers, for sound concrete, the modulus of elasticity estimates calculated according to EC2 [47] using the compressive strength test results obtained for the specimens (Table 8). The estimated values for the total free expansion, attained to date in the sampled concrete, vary substantially with the sampling location (Table 10). The higher values were obtained from the concrete sampled in locations L3 and L5 (with values of 1600 × 10−6 and 1900 × 10−6 for Method A and 900 × 10−6 and 800 × 10−6 for Method B), and the lowest in locations L4 and L6 (with values of 200 × 10−6 and 300 × 10−6 for Method A and 100 × 10−6 and 300 × 10−6 for Method B). The different expansions determined for the concrete sampled throughout the dam are likely to be related to the local concrete composition, the different environmental service conditions (i.e., temperature and moisture), and the stress field. The SDT performed to the “as received specimens” allowed for an estimation that, on average, the ASR is likely to have caused, in the sampled concrete, an expansion that, in unrestrained conditions, would have reached between 100 × 10−6 and 1900 × 10−6, depending on the location. However, it should be noted that this estimate was performed with data from laboratory studies [63,64,65,66] and that cores were extracted avoiding visible cracks and fissures; therefore, it aims only at providing an order of magnitude of the potential concrete dimensional variations that result in the variation of the mechanical behaviour.
Figure 31 presents a direct comparison between the cracking patterns and total non-restrained expansion results. The comparison shows that the right abutment locations, L3 and L5, present higher values of non-restrained expansion results associated with severe cracking. Location L2, in the left bank, has low values of non-restrained expansion despite being an area with large cracking.
Similarly, to the model results presented before, the total non-restrained expansion laboratory results distribution in the dam indicates different affected areas. The areas with higher expansion values coincide in the right abutment (locations L3 and L5, respectively), but there is a large difference in the magnitude of the obtained results. The expansion values predicted by back analysis using the monitoring results and a three-dimensional finite element model are, in general, much higher than the ones obtained in the samples extracted from the dam and tested in the laboratory. The care in sampling to obtain intact cores, to allow their use in mechanical testing, may be the main cause of variation in the magnitude of the estimated values.

4. Final Remarks

This article presented a brief overview of the diagnosis and prognosis of the ASR in concrete dams. It outlined the methodology adopted to assess the condition of an ASR-affected dam—the Alto Ceira dam, which is notable for being the first concrete dam in Portugal to be decommissioned and replaced due to severe ASR-related deterioration. The discussion included a concise analysis of a subset of the data collected from structural monitoring that spans from 1950 to 2013, as well as the characterisation and testing of 26 cores extracted from the dam in 2013.
Before the demolition of the dam, several rehabilitation alternatives were considered (e.g., crack closing, making cuts to release stresses, or waterproofing the upstream face); however, none was considered feasible because the dam was thin and it was more advantageous to build a new dam in a downstream zone near the partially demolished dam (that was used as a cofferdam during the construction of the new one) almost without stopping dam operation.
This article aimed to provide the scientific and technical community with an example of a practical application of several methods, currently available, for the diagnosis and prognosis of ASR and DEF in large-long-service life concrete structures, both at the structural and material levels. The goal was to summarise the ASR assessment activities developed over several decades and the test results for diagnosis and prognosis to support decisions about safety and, ultimately, about replacement. A significant focus was dedicated to the combined analysis of concrete test results and structural monitoring data. In situ and laboratory test results correlations were also discussed, since it is still a challenging issue for ASR research. A posteriori comprehensive analysis is useful for researchers and practitioners to improve new approaches to other ASR deterioration structures, specifically to large hydraulic structures.
The monitoring activities and the various tests conducted in situ and the laboratory on concrete samples extracted from the dam, allowed us to determine that, as follows:
  • The observed horizontal and vertical displacements presented an irreversible pattern over time, corresponding to horizontal movements to the upstream direction (accumulated values greater than 50 mm) and vertical displacements to the upward direction (accumulated values greater than 8 mm in the left bank and 20 mm in the right bank);
  • An important number of structural cracks existed and some had significant openings (mainly between 1 and 3 mm) and depths (mainly up to 600 mm). Several cracks were wet, revealing leakage problems throughout the structure;
  • The aggregate had potentially alkali-reactive constituents and also constituents that may release alkalis into the concrete pore solution, which in turn will promote ASR development;
  • Although the petrographic analysis indicated the aggregate was potentially alkali-reactive, the aggregate used in the dam passed the chemical test method for the potential alkali–silica reactivity of aggregates performed in 1990, illustrating the lack of the reliability of that method, which was eventually withdrawn by ASTM in 2016;
  • The swelling observed in the dam was due to the deleterious development of the ASR in the concrete;
  • The residual expansion tests, carried out in 1990, showed that the concrete still had residual expansion potential, a behaviour which was corroborated later by the intensification of cracking in the structure, by ultrasonic testing and structural monitoring;
  • ASR development has resulted in a relevant increase in the travel time of the ultrasonic wave pulse between the transducers, which evolved throughout the dam’s service life;
  • The ASR has evolved to an extent so that it resulted in a detectable reduction of the concrete compressive strength in some of the assessed locations;
  • The SDT evidenced that the ASR has resulted in a relevant decrease in the modulus of the elasticity of the concrete in all of the locations sampled;
  • In terms of the concrete alteration, it was found that, from all of the sampled locations, the most altered concrete was that from locations L3 and L5 (in block FG);
  • The SDT allowed us to estimate that, on average, the ASR is likely to have caused, in the sampled concrete, an expansion that, in unrestrained conditions, would reach 1900 × 10−6;
  • Core sampling in non-cracked locations can result in some bias between what is estimated based on sampling and what actually occurs on site;
  • The ASR-induced expansion and cracking of the concrete, which has led to a reduction in the service life of the structure.
Qualitatively, there was a correlation between the areas of the dam where large horizontal and vertical displacements were occurring and where the cracking was most severe, especially in the upstream face and where the lowest mechanical properties and the highest total non-restrained expansion values were obtained. An overall analysis of the dam’s condition suggests that higher expansions in that area could be due to the easier access to water (since the cracking in the upstream face was also more pronounced in the right abutment), the lower stresses in this abutment (a result of the asymmetry of the valley), and possibly the higher solar incidence (since the right abutment is facing south, Figure 5).
As previously presented, there is a difference between the expansion values derived from monitoring data and the ones obtained from final laboratory tests. Bearing in mind the number of influencing factors of the ASR phenomenon and its heterogeneous nature, this difference could be explained by the reduced number of extracted cores, the small size of the cores regarding the large maximum aggregate size, the fact that the cores were only extracted from the downstream surface, the cores were extracted up to a relatively shallow depth, and the bias due to intact cores, among others. Additionally, the finite element model used to predict the accumulated expansion could be overestimating the output results due to the simplified hypothesis used in the analysis, namely, for example, the use of a continuous model without contraction joints and the prediction of an equivalent elastic modulus for each zone could influence the global response of the model and interfere with the accurate prediction of the expansion.
The characterisation and analysis of the structural behaviour of concrete dams affected by the ASR will remain a complex task. This is because, for many dams already constructed, the first symptoms of volume swelling have only recently been identified (dams that have many years of life). Looking ahead, future developments are expected in several areas, namely the following:
  • Structural monitoring techniques are likely to advance, with the introduction of dynamic behaviour monitoring.
  • Visual inspection methods may improve through the use of drones for inspections and laser scanning to survey the dam’s geometry. This includes the measurement of relative movements between blocks when such movements are significant.
  • Machine learning models could be developed to classify the different types of cracking that are observed.
  • Numerical modelling may become more sophisticated, with an explicit representation of the ASR phenomenon and a detailed simulation of the discrete behaviour resulting from contraction joints and cracking.
It is also crucial to emphasize the importance of integrating redundant information. This involves linking conclusions drawn from material studies with observations of structural behaviour.
Finally, it was concluded that a methodology, such as the one described in the article, is useful for any long-life structure where concrete swelling deterioration mechanisms are observed visually or structurally. The combined methodology effectively identified ASR-induced damage, enabling targeted interventions and informing future design improvements.

Author Contributions

Conceptualization, J.C., J.M. and C.S.; formal analysis, J.C., J.M. and C.S.; investigation, J.C., J.M. and C.S.; writing—original draft preparation, J.C., J.M. and C.S.; writing—review and editing, J.C., J.M., C.S., A.B.R., A.T.d.C. and A.L.B.; visualization, J.C., J.M. and C.S. All authors have read and agreed to the published version of the manuscript.

Funding

This research received no external funding.

Acknowledgments

The authors would like to acknowledge EDP, owner of Alto Ceira dam, for authorizing the publication of all the data presented in the article.

Conflicts of Interest

The authors declare no conflicts of interest.

References

  1. Swamy, R.N. (Ed.) The Alkali-Silica Reaction in Concrete, 1st ed.; Blackie and Son Ltd.: Glasgow/London, UK, 1992; p. 336. [Google Scholar]
  2. Sims, I.; Poole, A. (Eds.) Alkali-Aggregate Reaction in Concrete. A World Review; CRC Press: London, UK, 2017. [Google Scholar]
  3. Sims, I.; Poole, A. Despite Stanton: AAR from denial to remedy in the UK, Europe & the World. In Proceedings of the 16th International Conference on Alkali-Aggregate Reaction—ICAAR 2020–2022, Lisbon, Portugal, 31 May–2 June 2022. [Google Scholar]
  4. Batista, A.L.; Santos Silva, A.; Fernandes, I.; Santos, L.O.; Custódio, J.; Serra, C. (Eds.) Proceedings of the 16th International Conference on Alkali-Aggregate Reaction in Concrete (16th ICAAR), Lisbon, Portugal, 31 May–2 June 2022, 2nd ed.; Laboratório Nacional de Engenharia Civil, I.P. (LNEC): Lisboa, Portugal, 2022; Volume I, p. 1485. [Google Scholar]
  5. Batista, A.L.; Santos Silva, A.; Fernandes, I.; Santos, L.O.; Custódio, J.; Serra, C. (Eds.) Proceedings of the 16th International Conference on Alkali-Aggregate Reaction in Concrete (16th ICAAR), Lisbon, Portugal, 31 May–2 June 2022, 1st ed.; Laboratório Nacional de Engenharia Civil, I.P. (LNEC): Lisboa, Portugal, 2022; Volume II, p. 562. [Google Scholar]
  6. Sanchez, F.M.L.; Trottier, C. (Eds.) Proceedings of the 17th International Conference on Alkali-Aggregate Reaction in Concrete (17th ICAAR), Ottawa, ON, Canada, 18–24 May 2024; ICAAR 2024—Volume I, 2nd ed.; Springer: Cham, Switzerland, 2022; Volume I, p. 679. [Google Scholar]
  7. Sanchez, F.M.L.; Trottier, C. (Eds.) Proceedings of the 17th International Conference on Alkali-Aggregate Reaction in Concrete (17th ICAAR), Ottawa, ON, Canada, 18–24 May 2024; ICAAR 2024—Volume II, 2nd ed.; Springer: Cham, Switzerland, 2022; Volume II, p. 729. [Google Scholar]
  8. Ideker, J.H. International Conference on Alkali-Aggregate Reaction Proceedings; Oregon State University: Corvallis, OR, USA; Available online: https://icaarconcrete.org/ (accessed on 20 December 2024).
  9. Geng, G.; Barbotin, S.; Shakoorioskooie, M.; Shi, Z.; Leemann, A.; Sanchez, D.F.; Grolimund, D.; Wieland, E.; Dähn, R. An in-situ 3D micro-XRD investigation of water uptake by alkali-silica-reaction (ASR) product. Cement Concrete Res. 2021, 141, 106331. [Google Scholar] [CrossRef]
  10. Leemann, A.; Góra, M.; Lothenbach, B.; Heuberger, M. Alkali silica reaction in concrete–Revealing the expansion mechanism by surface force measurements. Cem. Concr. Res. 2024, 176, 107392. [Google Scholar] [CrossRef]
  11. Olajide, O.D.; Nokken, M.R.; Sanchez, L.F.M. Alkali–Silica Reactions: Literature Review on the Influence of Moisture and Temperature and the Knowledge Gap. Materials 2024, 17, 10. [Google Scholar] [CrossRef]
  12. Rajabipour, F.; Giannini, E.; Dunant, C.; Ideker, J.H.; Thomas, M.D.A. Alkali–silica reaction: Current understanding of the reaction mechanisms and the knowledge gaps. Cem. Concr. Res. 2015, 76, 130–146. [Google Scholar] [CrossRef]
  13. Leemann, A.; Sanchez, L. Internal alkali transport in recycling concrete and its impact on alkali-silica reaction. Cem. Concr. Res. 2023, 174, 107334. [Google Scholar] [CrossRef]
  14. Godart, B.; de Rooij, M.; Wood, J.G.M. (Eds.) Guide to Diagnosis and Appraisal of AAR Damage to Concrete in Structures. Part 1: Diagnosis (AAR 6.1) (State-of-the-Art Report of the RILEM Technical Committee 191-ARP); Springer: Dordrecht, The Netherlands, 2013. [Google Scholar]
  15. ICOLD. Management of Expansive Chemical Reactions in Concrete Dams & Hydroelectric Projects (Bulletin Preprint 184); International Commission on Large Dams (ICOLD): Paris, France, 2019. [Google Scholar]
  16. Saouma, V.E. (Ed.) Diagnosis & Prognosis of AAR Affected Structures (State-of-the-Art Report of the RILEM Technical Committee 259-ISR); Springer: Dordrecht, The Netherlands, 2021. [Google Scholar]
  17. SCD. Concrete Swelling of Dams in Switzerland. Report of the Swiss Committee on Dams on the State of Concrete Swelling in Swiss Dams (AAR Working Group); Swiss Committee for Dams (SCD): Luzern, Switzerland, 2017. [Google Scholar]
  18. Jones, A.E.K.; Clark, L.A. The effects of ASR on the properties of concrete and the implications for assessment. Eng. Struct. 1998, 20, 785–791. [Google Scholar] [CrossRef]
  19. Ben Ftima, M.; Joder, M.; Yildiz, E. Creep modelling for multi-physical simulation of mass concrete structures using the explicit finite element approach. Eng. Struct. 2020, 212, 110538. [Google Scholar] [CrossRef]
  20. Hariri-Ardebili, M.A.; Saouma, V.E.; Hayes, N.W. A hybrid FE-based predictive framework for ASR-affected structures coupled with accelerated experiments. Eng. Struct. 2021, 234, 111709. [Google Scholar] [CrossRef]
  21. Sanchez, L.F.M. Internal Swelling Reactions in Concrete–Mechanisms and Condition Assessment; CRC Press–Taylor & Francis Group, LLC: Boca Raton, FL, USA, 2024. [Google Scholar]
  22. IStructE. Appraisal of Existing Structures, 3rd ed.; The Institution of Structural Engineers: London, UK, 2011. [Google Scholar]
  23. Sellier, A.; Grimal, É.; Multon, S.; Bourdarot, É. (Eds.) Swelling Concrete in Dams and Hydraulic Structures: DSC 2017; ISTE, Ltd.–John Wiley & Sons, Inc.: London, UK; Hoboken, NJ, USA, 2017. [Google Scholar]
  24. Trottier, C.; Sanchez, L.F.M.; Martin, R.P.; Toutlemonde, F. Capturing Internal Swelling Reactions (ISR) Damage in Concrete Through the Damage Rating Index (DRI). In Smart & Sustainable Infrastructure: Building a Greener Tomorrow–Proceedings of the 1st Interdisciplinary Symposium on Smart & Sustainable Infrastructure (ISSSI 2023); Banthia, N., Soleimani-Dashtaki, S., Mindess, S., Eds.; RILEM Book series; Springer: Berlin/Heidelberg, Germany, 2024; Volume 48, pp. 940–951. [Google Scholar]
  25. Lindgård, J.; Andiç-Çakir, Ö.; Fernandes, I.; Ronning, T.F.; Thomas, M.D.A. Alkali-silica reactions (ASR): Literature review on parameters influencing laboratory performance testing. Cem. Concr. Res. 2012, 42, 223–243. [Google Scholar] [CrossRef]
  26. Shakoorioskooie, M.; Griffa, M.; Leemann, A.; Zboray, R.; Lura, P. Quantitative analysis of the evolution of ASR products and crack networks in the context of the concrete mesostructure. Cem. Concr. Res. 2022, 162, 106992. [Google Scholar] [CrossRef]
  27. Fernandes, I.; Leemann, A.; Fournier, B.; Menendez, E.; Lindgård, J.; Borchers, I.; Custódio, J. PARTNER project post-documentation study. Condition assessment of field exposure site cubes. Results of microstructural analyses. Cem. Concr. Res. 2022, 162, 107006. [Google Scholar] [CrossRef]
  28. Custódio, J.; Lindgård, J.; Fournier, B.; Santos Silva, A.; Thomas, M.D.A.; Drimalas, T.; Ideker, J.H.; Martin, R.-P.; Borchers, I.; Johannes Wigum, B.; et al. Correlating field and laboratory investigations for preventing ASR in concrete—The LNEC cube study (Part I—Project plan and laboratory results). Constr. Build. Mater. 2022, 343, 128131. [Google Scholar] [CrossRef]
  29. Olajide, O.D.; Nokken, M.R.; Sanchez, L.F.M. Evaluation of the induced mechanical deterioration of ASR-affected concrete under varied moisture and temperature conditions. Cem. Concr. Comp. 2025, 157, 105942. [Google Scholar] [CrossRef]
  30. Pourbehi, M.S.; van Zijl, G.P.A.G. Seismic Analysis of the Kleinplaas Dam Affected by Alkali-Silica Reaction Using a Chemo-Thermo-Mechanical Finite Element Numerical Model Considering Fluid Structure Interaction. J. Adv. Concr. Technol. 2019, 17, 462–473. [Google Scholar] [CrossRef]
  31. Silva, H.S. Estudo do Envelhecimento das Barragens de Betão e de Alvenaria. Alteração Físico-Química dos Materiais (Study of the Ageing of Concrete and Masonry Dams); LNEC: Lisboa, Portugal, 1992. (In Portuguese) [Google Scholar]
  32. Castro, A.T.; Ramos, J.M.; Oliveira, S.M. Evaluation of the behaviour of an arch dam affected by a swelling process in the concrete. In Proceedings of the 5th ICOLD European Symposium, Geiranger, Norway, 25–27 June 2001. [Google Scholar]
  33. LNEC. Barragem do Alto Ceira. Avaliação do Estado de Fissuração com Base em Ensaios de Ultra-Sons Realizados em Novembro/Dezembro de 2001 (Alto Ceira Dam. Evaluation of the Fissuration Condition Using Ultrasound Testing Carried out on November/December 2001) (Confidential Technical Report in Portuguese); LNEC–Proc. 043/01/6619; Laboratório Nacional de Engenharia Civil (LNEC): Lisboa, Portugal, 2004. [Google Scholar]
  34. Batista, A.L.; Piteira-Gomes, J. Practical assessment of the structural effects of swelling processes and updated inventory of the affected Portuguese concrete dams. In Proceedings of the 54° Congresso Brasileiro do Concreto (Fifty-Fourth Brazilian Conference on Concrete)–CBC 2012, Maceió, Alagoas, Brasil, 8–11 October 2012. [Google Scholar]
  35. LNEC. Estudos de Avaliação da Segurança Estrutural da Barragem do Alto Ceira (Studies for the Evaluation of Alto Ceira Dam Structural Safety) (Confidential Technical Report in Portuguese); LNEC–Proc. 0403/01/6619; Laboratório Nacional de Engenharia Civil (LNEC): Lisboa, Portugal, 2004. [Google Scholar]
  36. Castro, A.T.; Barateiro, J.; Serra, C. Overview on the multi-decade database of Portuguese large concrete dams monitoring data. In Proceedings of the Interdisciplinary Approaches for Cement-based Materials and Structural Concrete: Synergizing Expertise and Bridging Scales of Space and Time–SynerCrete’18, Funchal, Portugal, 24–26 October 2018; pp. 887–892. [Google Scholar]
  37. Gomes, J.C.P. Modelação do Comportamento Estrutural de Barragens de Betão Sujeitas a Reacções Expansivas (Structural Behaviour Modeling of Concrete Dams Subject to Swelling Reactions). Ph.D. Thesis, Faculdade de Ciências e Tecnologia da Universidade Nova de Lisboa (FCTUNL) & Laboratório Nacional de Engenharia Civil (LNEC), Lisbon, Portugal, 2008. (In Portuguese). [Google Scholar]
  38. LNEC. Observação da Barragem do Alto Ceira. Estudo da Fissuração no Betão da Estrutura (Levantamento Efectuado em Novembro 1986) (Confidential Technical Report in Portuguese); LNEC–Proc. 043/1/6619. Relatório 41/91–NO; Laboratório Nacional de Engenharia Civil (LNEC): Lisboa, Portugal, 1991. [Google Scholar]
  39. LNEC. Observação da Barragem do Alto Ceira. Avaliação do Estado de Fissuração Com Base em Ensaios de Ultrassons (Observation of Alto Ceira Dam. Evaluation of the Fissures Condition by Ultrasonic Tests) (Confidential Technical Report in Portuguese); LNEC–Proc. 043/01/6619. Relatório 111/95–NO; Laboratório Nacional de Engenharia Civil (LNEC): Lisboa, Portugal, 1995. [Google Scholar]
  40. Castro, A.T. Métodos de Retroanálise na Interpretação do Comportamento de Barragens de Betão (Retro-Analysis Methods in the Interpretation of the Behaviour of Concrete Dams). Ph.D. Thesis, Instituto Superior Técnico da Universidade de Lisboa (IST-UL) & Laboratório Nacional de Engenharia Civil (LNEC), Lisbon, Portugal, 1998. (In Portuguese). [Google Scholar]
  41. Henriques, M.J.; Ramos, P. Thermal imagining of concrete dam surfaces to support the control of the evolution of pathologies. In Second International Dam World Conference; Pina, C., Portela, E., Caldeira, L., Batista, A.L., Dias, I.F., Santos, R., Eds.; Laboratório Nacional de Engenharia Civil: Lisboa, Portugal, 2015. [Google Scholar]
  42. LNEC. Observação da Barragem do Alto Ceira. Avaliação da Segurança Estrutural (Observation of Alto Ceira Dam. Evaluation of the Structural Safety) (Confidential Technical Report in Portuguese); LNEC–Proc. 043/01/6619. Relatório 111/95–NO; Laboratório Nacional de Engenharia Civil (LNEC): Lisboa, Portugal, 1995. [Google Scholar]
  43. LNEC. Barragem do Alto Ceira. Primeiro Ensaio de Vibração Forçada (Alto Ceira Dam. First Forced Vibration Test) (Confidential Technical Report in Portuguese); LNEC–Proc. 043/01/6619. Relatório 111/95–NO; Laboratório Nacional de Engenharia Civil (LNEC): Lisboa, Portugal, 1997. [Google Scholar]
  44. LNEC. Observação da Barragem do Alto Ceira (Alto Ceira Dam Monitoring) (Confidential Technical Report in Portuguese); LNEC–Proc. 105-II. Relatório–Segundo Serviço/Secção de Barragens; Laboratório Nacional de Engenharia Civil (LNEC): Lisboa, Portugal, 1951. [Google Scholar]
  45. LNEC. Determinação de Tensões e Caracterização do Betão na Barragem do Ceira (Stress Determination and Concrete Characterisation at the Ceira Dam) (Confidential Technical Report in Portuguese); LNEC–Proc. 043/01/6619. Relatório 101/87–NFR; Laboratório Nacional de Engenharia Civil (LNEC): Lisboa, Portugal, 1987. [Google Scholar]
  46. MHOPT. Decreto-Lei n.º 349-C/83 de 30 de Julho–Regulamento de Estruturas de Betão Armado e Pré-Esforçado (REBAP); Diário da República, Série I, Número 174, 30 de Julho de 1983; Ministério da Habitação, Obras Públicas e Transportes: Lisboa, Portugal, 1983. (In Portuguese) [Google Scholar]
  47. EN 1992-1-1:2004/A1:2014; Eurocode 2. Design of Concrete Structures. General Rules and Rules for Buildings. European Committee for Standardization (CEN): Brussels, Belgium, 2004.
  48. CS. Concrete Society Technical Report No. 11 Including Addendum (1987)–Concrete Core Testing for Strength; The Concrete Society: London, UK, 1987; p. 38. [Google Scholar]
  49. BS EN 13791:2007; Assessment of In-Situ Compressive Strength in Structures and Precast Components. British Standards Institution (BSI): London, UK, 2007.
  50. LNEC. Estudo dos Betões do Alto Ceira. Análise Petrográfica (Study of the Concretes of Alto Ceira Dam. Petrographic Analysis) (Confidential Technical Report in Portuguese); LNEC–Proc. 043/01/6619. Relatório 5/91–NO/GERO; Laboratório Nacional de Engenharia Civil (LNEC): Lisboa, Portugal, 1990. [Google Scholar]
  51. LNEC. Estudo do Betão da Barragem do Alto Ceira. Colaboração do Núcleo de Química (Study of the Concrete of Alto Ceira Dam. Collaboration of the Chemistry Division) (Confidential Technical Report in Portuguese); LNEC–Proc. 024/53/541. Relatório 170/91–NQ; Laboratório Nacional de Engenharia Civil (LNEC): Lisboa, Portugal, 1991. [Google Scholar]
  52. LNEC. Especificação LNEC E 159:1964 Agregados. Determinação da Reatividade Potencial–Método Absorciométrico (Aggregates. Determination of Potential Reactivity. Chemical Method); Laboratório Nacional de Engenharia Civil, I.P. (LNEC): Lisboa, Portugal, 1964. (In Portuguese) [Google Scholar]
  53. ASTM C289-87; Standard Test Method for Potential Alkali-Silica Reactivity of Aggregates (Chemical Method). ASTM International: West Conshohocken, PA, USA, 1987.
  54. Idorn, G.M.; Rostam, S. (Eds.) Proceedings of the Sixth International Conference on Alkali-Aggregate Reaction–ICAAR 1983, Copenhagen, Denmark, 22–25 Juned 1983; Danish Concrete Association (DBF): Copenhagen, Denmark, 1983. [Google Scholar]
  55. Okada, K.; Nishibayashi, S.; Kawamura, M. (Eds.) Proceedings of the Eighth International Conference on Alkali-Aggregate Reaction–ICAAR, Kyoto, Japan, 7–20 July 1989; Elsevier Applied Science: London, UK, 1989. [Google Scholar]
  56. EN 12504-4:2004; Testing Concrete. Part 4: Determination of Ultrasonic Pulse Velocity. European Committee for Standardization (CEN): Brussels, Belgium, 2004.
  57. Custódio, J. ENHANCE—Enhancing Diagnosis, Prognosis and Mitigation of Internal Expansive Reactions in Concrete Structures (2017–2021); Project final report; LNEC–Proc. 0202/111/21202. Relatório 256/2022–DM/NBPC; Laboratório Nacional de Engenharia Civil (LNEC): Lisboa, Portugal, 2022. [Google Scholar]
  58. NP EN 12390-7:2009; Testing Hardened Concrete. Part 7: Density of Hardened Concrete. Instituto Português da Qualidade, I.P. (IPQ): Caparica, Portugal, 2009.
  59. Tomsett, H.N. The practical use of ultrasonic pulse velocity measurements in the assessment of concrete quality. Mag. Concr. Res. 1980, 32, 7–16. [Google Scholar] [CrossRef]
  60. Custódio, J.; Ribeiro, A.B. Evaluation of damage in concrete from structures affected by internal swelling reactions—A case study. Procedia Struct. Integr. 2019, 17, 80–89. [Google Scholar] [CrossRef]
  61. EN 12504-1:2009; Testing Concrete in Structures. Part 1: Cored Specimens. Taking, Examining and Testing in Compression. European Committee for Standardization (CEN): Brussels, Belgium, 2009.
  62. EN 12390-3:2009; Testing Hardened Concrete. Part 3: Compressive Strength of Test Specimens. European Committee for Standardization (CEN): Brussels, Belgium, 2009.
  63. Custódio, J. FCT Research, Development and Innovation Project “Enhancing Diagnosis, Prognosis and Mitigation of Internal Expansive Reactions in Concrete Structures (IF/00595/2015)”; Fundação para a Ciência e a Tecnologia (FCT): Lisboa, Portugal, 2017–2021. [Google Scholar]
  64. Custódio, J. LNEC Research, Development and Innovation Project “Concrete Degradation Due to Internal Swelling Reactions: Diagnosis and Prognosis”; Laboratório Nacional de Engenharia Civil, I. P. (LNEC): Lisboa, Portugal, 2015–2019. [Google Scholar]
  65. Custódio, J.; Ribeiro, A.B. Internal Expansive Reactions in Concrete Structures–Quantifying the extent of internal damage. In Proceedings of the 1st International Conference on Structural Integrity—ICSI 2015, Funchal, Portugal, 1–4 September 2015. [Google Scholar]
  66. Custódio, J.; Ribeiro, A.B. Internal Expansive Reactions in Concrete Structures—Deterioration of the mechanical properties. In Proceedings of the 2nd International Conference of the International Journal of Structural Integrity—IJSI 2014, Madeira, Portugal, 1–4 September2014. [Google Scholar]
Figure 1. Example of the methodology for the diagnosis and prognosis of the ASR in dams.
Figure 1. Example of the methodology for the diagnosis and prognosis of the ASR in dams.
Buildings 15 00460 g001
Figure 2. Structural observed measurements that can be used for the diagnosis of the ASR in dams (for stages 2 and 3).
Figure 2. Structural observed measurements that can be used for the diagnosis of the ASR in dams (for stages 2 and 3).
Buildings 15 00460 g002
Figure 3. Laboratory tests that can be used for the diagnosis of the ASR in dams.
Figure 3. Laboratory tests that can be used for the diagnosis of the ASR in dams.
Buildings 15 00460 g003
Figure 4. Laboratory tests that can be used for the prognosis of the ASR in dams.
Figure 4. Laboratory tests that can be used for the prognosis of the ASR in dams.
Buildings 15 00460 g004
Figure 5. Alto Ceira dam downstream general view, from [34].
Figure 5. Alto Ceira dam downstream general view, from [34].
Buildings 15 00460 g005
Figure 6. Alto Ceira dam’s downstream elevation, plan, and main cross-section, adapted from [31,35].
Figure 6. Alto Ceira dam’s downstream elevation, plan, and main cross-section, adapted from [31,35].
Buildings 15 00460 g006
Figure 7. A time series of the reservoir water level measurements between May 1994 and December 2013.
Figure 7. A time series of the reservoir water level measurements between May 1994 and December 2013.
Buildings 15 00460 g007
Figure 8. The average and semi-amplitude temperatures in the dam body.
Figure 8. The average and semi-amplitude temperatures in the dam body.
Buildings 15 00460 g008
Figure 9. Horizontal displacements observed by geodetic methods between 1984 and 2002, adapted from [35].
Figure 9. Horizontal displacements observed by geodetic methods between 1984 and 2002, adapted from [35].
Buildings 15 00460 g009
Figure 10. Horizontal displacements observed by geodetic methods on the F-E block (highlighted with a green circle) between 1984 and 2002, and a statistical fit using seasonal and time effects, adapted from [34] (red triangles—measurements done by the dam owner, pink cross—measurements done by LNEC).
Figure 10. Horizontal displacements observed by geodetic methods on the F-E block (highlighted with a green circle) between 1984 and 2002, and a statistical fit using seasonal and time effects, adapted from [34] (red triangles—measurements done by the dam owner, pink cross—measurements done by LNEC).
Buildings 15 00460 g010
Figure 11. Horizontal radial displacements measured in a pendulum until dam abandonment, adapted from [36].
Figure 11. Horizontal radial displacements measured in a pendulum until dam abandonment, adapted from [36].
Buildings 15 00460 g011
Figure 12. The evolution of the vertical displacements in the dam’s crest between 1990 and 2002 (when the water level was between 655.3 m and 656.1 m), adapted from [35].
Figure 12. The evolution of the vertical displacements in the dam’s crest between 1990 and 2002 (when the water level was between 655.3 m and 656.1 m), adapted from [35].
Buildings 15 00460 g012
Figure 13. Cracking patterns on the crest and on the downstream surface, and a device to measure the leakage through the dam’s body, from [34].
Figure 13. Cracking patterns on the crest and on the downstream surface, and a device to measure the leakage through the dam’s body, from [34].
Buildings 15 00460 g013
Figure 14. The evolution of the cracking condition of the downstream face between 1994 and 2001, adapted from [35].
Figure 14. The evolution of the cracking condition of the downstream face between 1994 and 2001, adapted from [35].
Buildings 15 00460 g014
Figure 15. Distribution of the pulse velocity results obtained in 1994, adapted from [39].
Figure 15. Distribution of the pulse velocity results obtained in 1994, adapted from [39].
Buildings 15 00460 g015
Figure 16. Distribution of the pulse velocity results obtained in 2001, adapted from [33].
Figure 16. Distribution of the pulse velocity results obtained in 2001, adapted from [33].
Buildings 15 00460 g016
Figure 17. The thermal panoramic image of the Alto Ceira dam obtained in 2013 with a schematic drawing of the main occurrences, reported in 2001, superimposed onto it [41].
Figure 17. The thermal panoramic image of the Alto Ceira dam obtained in 2013 with a schematic drawing of the main occurrences, reported in 2001, superimposed onto it [41].
Buildings 15 00460 g017
Figure 18. The zoning of the dam’s finite element numerical model and predicted vertical (εv) and horizontal (εh) swelling values obtained by back analysis, adapted from [35].
Figure 18. The zoning of the dam’s finite element numerical model and predicted vertical (εv) and horizontal (εh) swelling values obtained by back analysis, adapted from [35].
Buildings 15 00460 g018
Figure 19. Identification of the core extraction locations in 1986 [45].
Figure 19. Identification of the core extraction locations in 1986 [45].
Buildings 15 00460 g019
Figure 20. Identification of the core extraction locations, made in 1990 on the dam’s crest [50].
Figure 20. Identification of the core extraction locations, made in 1990 on the dam’s crest [50].
Buildings 15 00460 g020
Figure 21. The results from the residual expansion tests carried out on the specimens obtained from the concrete cores (specimens from hole SE drilled on block CD), adapted from [31].
Figure 21. The results from the residual expansion tests carried out on the specimens obtained from the concrete cores (specimens from hole SE drilled on block CD), adapted from [31].
Buildings 15 00460 g021
Figure 22. The results from the residual expansion tests carried out on the specimens obtained from the concrete cores (specimens from hole SD drilled on block EF), adapted from [31].
Figure 22. The results from the residual expansion tests carried out on the specimens obtained from the concrete cores (specimens from hole SD drilled on block EF), adapted from [31].
Buildings 15 00460 g022
Figure 23. An identification of the core extraction locations in 2013.
Figure 23. An identification of the core extraction locations in 2013.
Buildings 15 00460 g023
Figure 24. A comparison between the cracking patterns obtained from visual inspection [34], and the laboratory pulse velocity results of the extracted cores (tests performed in 2020).
Figure 24. A comparison between the cracking patterns obtained from visual inspection [34], and the laboratory pulse velocity results of the extracted cores (tests performed in 2020).
Buildings 15 00460 g024
Figure 25. A comparison between the in-situ pulse velocity results obtained in 2001 [33] and laboratory pulse velocity results (tests performed in 2020).
Figure 25. A comparison between the in-situ pulse velocity results obtained in 2001 [33] and laboratory pulse velocity results (tests performed in 2020).
Buildings 15 00460 g025
Figure 26. A comparison between the compressive strength results obtained in 1986 (for which vertical error bars with the standard deviation are presented) and 2013 (n/a—not assessed).
Figure 26. A comparison between the compressive strength results obtained in 1986 (for which vertical error bars with the standard deviation are presented) and 2013 (n/a—not assessed).
Buildings 15 00460 g026
Figure 27. A comparison between the cracking patterns [34] and compressive strength results.
Figure 27. A comparison between the cracking patterns [34] and compressive strength results.
Buildings 15 00460 g027
Figure 28. The modulus of elasticity obtained in the SDT performed on the specimens (Exp.), for which vertical error bars with the standard deviation are presented, and the modulus of elasticity estimated from the compressive strength (EC2) are presented.
Figure 28. The modulus of elasticity obtained in the SDT performed on the specimens (Exp.), for which vertical error bars with the standard deviation are presented, and the modulus of elasticity estimated from the compressive strength (EC2) are presented.
Buildings 15 00460 g028
Figure 29. A comparison between the modulus of the elasticity results obtained in 1986 and 2013 (the vertical error bars represent the standard deviation; n/a—not assessed).
Figure 29. A comparison between the modulus of the elasticity results obtained in 1986 and 2013 (the vertical error bars represent the standard deviation; n/a—not assessed).
Buildings 15 00460 g029
Figure 30. A comparison between the cracking patterns [34] and elastic modulus results, determined with the SDT.
Figure 30. A comparison between the cracking patterns [34] and elastic modulus results, determined with the SDT.
Buildings 15 00460 g030
Figure 31. A comparison between the cracking patterns [34] and the total non-restrained expansion results, Method A/Method B (×10−6/×10−6).
Figure 31. A comparison between the cracking patterns [34] and the total non-restrained expansion results, Method A/Method B (×10−6/×10−6).
Buildings 15 00460 g031
Table 1. A list of the activities developed over the service life of the Alto Ceira dam, divided into initial survey and diagnosis stages and the prognosis stage.
Table 1. A list of the activities developed over the service life of the Alto Ceira dam, divided into initial survey and diagnosis stages and the prognosis stage.
DateActivityComments
1940–1949Dam construction-
1950First filling and the beginning of the monitoring plan with measurements of horizontal and vertical displacements-
1951Concrete testing of the cores for mechanical characterisation (modulus of elasticity)Testing programme for obtaining reference values
Stage 1—Initial Survey and Stage 2—Diagnosis
1951–1986Periodic structural assessments based on monitoring resultsReported anomalous structural behaviour in the later years
1986Concrete testing of the cores for mechanical characterisation (modulus of elasticity and compressive strength)Reported a reduction of the modulus of elasticity values in some core locations
1986In situ ultrasonic testing for deterioration assessment (crack length and depth)Testing programme for obtaining reference values
1986The installation of new instruments to reinforce the monitoring system (additional geodetic network, a plumbline, rod extensometers in the foundation and the dam body, and weirs and piezometers)The introduction of new instruments to validate the obtained monitoring results and aid the structural safety analysis
1990Concrete testing of the cores for petrographic analysis and the assessment of the potential alkali-reactivity of two aggregatesReported potentially alkali-reactive aggregates
1994In situ ultrasonic testing for deterioration assessment (crack length and depth)Testing programme for assessment
1995The development of a numerical model to estimate swelling rates in different areas of the damFirst numerical model of the dam
1996Forced vibration tests to characterise the dynamic behaviourTesting programme for obtaining reference values
Stage 3—Prognosis
1995–2004Periodic structural assessments based on monitoring results and numerical model results (back analysis to estimate swelling rates in different areas of the dam)Reported anomalous structural behaviour and new values for swelling rates were obtained
2001In situ ultrasonic testing for deterioration assessment (crack length and depth)Reported increase in travel time of the ultrasonic wave pulse
2013Use of thermal images of the downstream face of the dam to evaluate and quantify anomalies (cracks and leakage)Reported correlation of wet areas with severe cracking patterns
2013–2020Concrete testing of the cores for petrographic, microstructural, and chemical analysis, concrete ultimate expansivity tests, laboratory ultrasonic tests, and mechanical tests, including stiffness damage testsA reduction of the concrete modulus of elasticity and compressive strength. SDT revealed a potential expansion of 1900 × 10−6
2014Decommission and replacement by a new dam downstream-
Table 2. The modulus of the elasticity of the dam’s concrete, determined in 1951 [44].
Table 2. The modulus of the elasticity of the dam’s concrete, determined in 1951 [44].
SpecimenHeight (mm)With (mm)Length (mm)Modulus of Elasticity (GPa)
130030072532.830.91.4
220020060030.6
320020060030.7
420020060029.6
Note: Modulus of elasticity—the first column pertains to the individual values, the second to the arithmetic mean, and the third to the standard deviation.
Table 3. The modulus of the elasticity and compressive strength of the dam’s concrete, assessed in samples extracted in 1986 [45].
Table 3. The modulus of the elasticity and compressive strength of the dam’s concrete, assessed in samples extracted in 1986 [45].
LocationSpecimenDiameter,
Ø (mm)
Height,
h (mm)
Modulus of Elasticity
(GPa)
Compressive Strength
(MPa)
L1115040023.624.827.36.139.343.639.46.5
215040026.147.9
L2315040028.126.344.945.6
415040024.446.4
L3515040033.135.833.131.9
615040038.530.6
L5715040025.722.238.236.5
815040018.734.7
Note: The modulus of the elasticity and compressive strength—the first column pertains to the individual values, the second to the arithmetic mean per location, the third to the global arithmetic mean, and the fourth to the standard deviation.
Table 4. The results obtained in the chemical test performed to assess the potential alkali–silica reactivity of the aggregate [51].
Table 4. The results obtained in the chemical test performed to assess the potential alkali–silica reactivity of the aggregate [51].
Test SampleSc (mmol/L)Rc (mmol/L)Classification
“Q”26.516.0Aggregate considered innocuous
“A”37.117.6Aggregate considered innocuous
Note: “Q”—This sample was obtained from the actual quartzite aggregate used in the dam’s concrete; “A”—this aggregate sample was obtained from a concrete core extracted from the dam’s body upon the installation of extensometers for structural monitoring; Sc—the concentration of SiO2 in the original filtrate; and Rc—reduction in alkalinity.
Table 5. Specimens used in the residual expansion tests [51].
Table 5. Specimens used in the residual expansion tests [51].
BlockHoleLocationSpecimenExtraction Height (m)
CDSELeft bankE1/1; E1/20–0.20; 1.80–1.70
E2/1; E2/2; E2/3 *; E2/4 *1.90–2.20
E3/1; E3/26.42–6.80
EFSDRight bankD1/1; D1/20.60–1.00
D2/1; D2/2; D2/3; D2/4 *2.20–2.38; 4.35–4.60
D3/1; D3/2 *6.95–7.40
Note: Specimens without the asterisk symbol were immersed in a sodium chloride saturated solution at 50 °C; specimens marked with an asterisk symbol were immersed in deionised water at 50 °C.
Table 6. Cores extracted from the dam in 2013.
Table 6. Cores extracted from the dam in 2013.
ElementBlockLocationCores
Ø123 mm
Cores
Ø144 mm
Cores
Ø153 mm
Cores
Ø192 mm
Cores
Ø217 mm
Downstream faceDEL1--3 2
BCL2-4---
FGL3-3-1-
DEL4--4--
CrestFGL5122--
DEL6--3-1
Note: All of the cores were extracted from outside the dam; locations L1 to L4—cores extracted horizontally; locations L5 and L6—cores extracted vertically; Ø—diameter of the core; the height of the cores varied between 300 and 500 mm.
Table 8. The results obtained in the compressive strength determinations made to the concrete specimens.
Table 8. The results obtained in the compressive strength determinations made to the concrete specimens.
LocationSpecimenDiameter, d
(mm)
Height, h
(mm)
h/dCompressive Strength, fc (MPa)
L1AC-1.0B1533082.043.449.6(11.4)47.8(13.3)
L2AC-2.0B1442721.964.9
L3AC-3.0B1442912.038.9
L4AC-4.0B1533032.051.0
L5AC-5.1B1232552.129.344.4(21.3)
L6AC-6.0B1533132.059.5
Note: The values between the curved brackets correspond to the standard deviation.
Table 9. The results (individual and mean values) obtained in the stiffness damage tests.
Table 9. The results (individual and mean values) obtained in the stiffness damage tests.
LocationSpecimenElasticity Modulus, Ec (GPa)Accumulated Final
Extension, εc (×10−6)
Dissipated Energy, DE (J/m3)
L1AC-1.0B28.029.830.530.233262423305254250252
AC-1.1B31.7 20 204
L2AC-2.0B33.533.0 2121 188186
AC-2.1B32.5 21 184
L3AC-3.0B25.925.0 2835 338401
AC-3.1B24.0 42 463
L4AC-4.0B35.534.3 1313 141157
AC-4.1B33.0 13 174
L5AC-5.1B24.424.429.5 414120 500500260
L6AC-6.0B31.032.1 1310 138140
AC-6.1B33.1 7 141
Table 10. Estimates of the total free expansion attained to date in the sampled concrete.
Table 10. Estimates of the total free expansion attained to date in the sampled concrete.
LocationSpecimenTotal Non-Restrained
Expansion, Method A (×10−6)
Total Non-Restrained
Expansion, Method B (×10−6)
L1AC-1.0B1000700700700600400400400
AC-1.1B500 200
L2AC-2.0B300300 300300
AC-2.1B300 300
L3AC-3.0B14001600 700900
AC-3.1B1900 1100
L4AC-4.0B100200 0100
AC-4.1B300 100
L5AC-5.1B19001900800 800800400
L6AC-6.0B400300 300300
AC-6.1B200 200
Disclaimer/Publisher’s Note: The statements, opinions and data contained in all publications are solely those of the individual author(s) and contributor(s) and not of MDPI and/or the editor(s). MDPI and/or the editor(s) disclaim responsibility for any injury to people or property resulting from any ideas, methods, instructions or products referred to in the content.

Share and Cite

MDPI and ACS Style

Custódio, J.; Mata, J.; Serra, C.; Ribeiro, A.B.; Tavares de Castro, A.; Batista, A.L. Insights into the Diagnosis and Prognosis of the Alkali–Silica Reaction (ASR) in Concrete Dams, Highlighting the Case of the Demolished Alto Ceira Dam in Portugal. Buildings 2025, 15, 460. https://doi.org/10.3390/buildings15030460

AMA Style

Custódio J, Mata J, Serra C, Ribeiro AB, Tavares de Castro A, Batista AL. Insights into the Diagnosis and Prognosis of the Alkali–Silica Reaction (ASR) in Concrete Dams, Highlighting the Case of the Demolished Alto Ceira Dam in Portugal. Buildings. 2025; 15(3):460. https://doi.org/10.3390/buildings15030460

Chicago/Turabian Style

Custódio, João, Juan Mata, Carlos Serra, António Bettencourt Ribeiro, António Tavares de Castro, and António Lopes Batista. 2025. "Insights into the Diagnosis and Prognosis of the Alkali–Silica Reaction (ASR) in Concrete Dams, Highlighting the Case of the Demolished Alto Ceira Dam in Portugal" Buildings 15, no. 3: 460. https://doi.org/10.3390/buildings15030460

APA Style

Custódio, J., Mata, J., Serra, C., Ribeiro, A. B., Tavares de Castro, A., & Batista, A. L. (2025). Insights into the Diagnosis and Prognosis of the Alkali–Silica Reaction (ASR) in Concrete Dams, Highlighting the Case of the Demolished Alto Ceira Dam in Portugal. Buildings, 15(3), 460. https://doi.org/10.3390/buildings15030460

Note that from the first issue of 2016, this journal uses article numbers instead of page numbers. See further details here.

Article Metrics

Back to TopTop