Abstract
In this study, the finite element analysis software MIDAS FEA NX was used to simulate and analyze the concrete, and the temperature regulation effect of phase change materials in concrete and its influence on crack resistance was discussed. A 1/8 concrete specimen model was constructed, and different ambient temperatures (5 °C to 35 °C) and concrete material parameters were set. Through simulation, it is found that phase change materials can effectively absorb environmental heat, maintain the temperature stability of concrete structures, and reduce the internal temperature peak. In addition, the addition of phase change materials can also reduce the temperature difference between the inside and outside of concrete, relieve the internal stress and improve the crack resistance of concrete. The results show that under different construction temperatures, the phase change concrete can quickly achieve the consistency of internal and external temperature and stress, reduce the cracking problem, and show good temperature regulation and crack resistance.
1. Introduction
With the acceleration of global climate change and urbanization, the demand for concrete as a building material is increasing. Concrete structures are affected by temperature changes during construction and use, especially under extreme temperature conditions, and the performance changes are very significant. During winter construction, the external low temperature will accelerate the cooling of the concrete surface, resulting in an increase in the temperature difference between the inside and outside. This temperature difference will cause greater thermal stress inside the concrete, thereby increasing the risk of cracks [1]. In summer construction, the increase in concrete surface temperature will accelerate the evaporation of water, resulting in premature drying of the concrete surface, thus forming a hard shell layer and limiting the evaporation of internal water, which may lead to micro-cracks in concrete [2]. These temperature-induced internal stress changes pose a serious threat to the durability and safety of concrete structures.
Mass concrete usually refers to a large volume, complex structure that easily produces temperature stress in the hardening process of concrete structures [3]. The volume of mass concrete is usually more than 1 m3. During the construction process, the heat generated by the cement hydration reaction will significantly increase the internal temperature, resulting in a temperature difference between the inside and outside, thereby generating temperature stress. The control of temperature stress is very important. The large temperature difference between the inside and outside may lead to cracks and affect the integrity and durability of the structure. In modern engineering, through the use of numerical simulation analysis [4], such as the finite element analysis model, the temperature field and stress field distribution of concrete under different construction temperatures can be predicted so as to develop an effective temperature control strategy to ensure the quality and safety of mass concrete structures.
Mass concrete usually has high strength and can withstand large loads [5]. It has good durability and can be used for a long time under various environmental conditions [6]. Mass concrete can be poured and formed at one time, which can significantly reduce the number of construction joints and improve the integrity and sealing of the structure [7]. At the same time, the structure of mass concrete is thick, which can provide a good thermal insulation effect and help to save energy and reduce consumption. Mass concrete can also improve construction efficiency and shorten the construction period. After the pouring is completed, the strength can be formed in a short time to meet the needs of subsequent construction. However, due to its large volume and high hydration heat, mass concrete is prone to temperature cracks during construction. In order to avoid this problem, a series of temperature control measures need to be taken, such as optimizing the mix ratio, using phase change materials, embedding cooling water pipes, etc. The maintenance of mass concrete is also more difficult, and more strict maintenance conditions and time are needed to ensure the quality of concrete.
Phase change materials (PCMs) are substances capable of undergoing physical transformations within a particular temperature range, transitioning between solid, liquid, and gaseous phases [8]. These materials [9] have the ability to either absorb or release heat as the surrounding temperature fluctuates, thereby regulating temperature variations within a structure. This property is rooted in the heat exchange that occurs during their phase transitions, enabling them to modulate environmental temperatures. Consequently, PCMs are well-suited for applications in energy storage, thermal insulation, and energy conservation, offering significant potential across various industries [10]. In recent years, the incorporation of PCMs into the concrete mixing process has allowed for the absorption of heat generated during hydration or the release of heat, facilitating the achievement of thermal equilibrium within concrete test specimens and enhancing their practical application in engineering. This approach has been shown to mitigate cracking in large-scale concrete structures [11]. Luo [12] demonstrated the effectiveness of using porous materials to absorb paraffin and create composite phase change ceramsite, which, when integrated into concrete, can effectively manage the initial hydration temperature of the material. The temperature regulation capabilities of composite phase change concrete are directly proportional to the content of PCMs, with an increase in PCMs leading to a reduction in internal temperature stress. Finite element analysis models [13] have been employed to simulate the thermal behavior of phase change concrete across a range of temperatures, revealing superior thermal storage capabilities in colder environments. Conversely, in warmer conditions, the efficiency may be compromised due to the premature melting of PCMs.
Nassiraei H. [14] used finite element modeling to predict the ultimate resistance distribution of X-joints strengthened with strengthened plates under different temperature conditions. In this paper, the distribution characteristics of concrete temperature fields under different construction temperatures and their influence on internal temperature gradients are analyzed using the finite element simulation method, and then the mechanism of temperature field change on concrete stress field is discussed. By comparing the temperature control strategies under low-temperature and high-temperature construction conditions, the generation of temperature stress is reduced, and the construction technology of mass concrete is optimized.
In view of the large volume of mass concrete, which is not suitable for observation, the simulation analysis of finite element software has the advantages of simplified calculation and convenient analysis, which is of great significance to the analysis of mass concrete. The finite element simulation software used in this experiment is Midas FEA NX 2022. In the software, the concrete test block structure is established according to the design parameters of the mix ratio. The meshing in the software is selected, which is convenient for the later calculation results. In the calculation process, the hydration heat analysis special module is selected to analyze and calculate the model.
2. Materials and Methods
2.1. Phase Change Materials
During the phase change process, the phase change material will absorb or release a large amount of heat, creating a temperature-regulating layer inside the concrete to reduce the impact of external temperature changes on the structure. In this experiment, phase change materials with different phase change temperatures are added to concrete to achieve temperature gradient adjustment of concrete under different construction temperature conditions.
In this paper, Hubei Saimo New Energy Technology Co., Ltd. (Xiaogan, Hubei, China). phase change materials are selected for experiments. The detailed data of the phase change materials selected are shown in Table 1.
Table 1.
Phase change material.
2.2. Concrete Material
According to the ‘ordinary concrete mix design specification’ JGJ55-2011 [15], the phase change concrete mix design was carried out. The strength grade of concrete in this experiment is designed as C30. Firstly, the theoretical mix ratio is calculated according to the specification and theory, and the trial mixing of concrete is completed in the laboratory according to the theoretical mix ratio. According to the actual required working performance and strength, compared with the results of the trial mixing work, the amount of raw materials is adjusted to obtain the final mix ratio of this experiment. The raw materials of concrete mixed in this experiment are shown in Table 2, and the final mix ratio design of C30 concrete is shown in Table 3.
Table 2.
Experimental materials.
Table 3.
Design of concrete mix proportion (kg/m3).
2.3. Experimental Method
2.3.1. Experimental Group Design
The construction temperature in one year was counted, and 5 °C, 10 °C, 15 °C, 20 °C, 25 °C, 30 °C and 35 °C were selected as different construction nodes to simulate the influence of different construction temperatures on concrete temperature control. In the process of mass concrete construction, temperature control is the key factor to ensure structural safety and prolong service life. Because a large amount of hydration heat will be released during the hardening process of mass concrete, if it is not properly controlled, it is easy to produce temperature cracks, affecting the integrity and durability of the structure.
2.3.2. Finite-Element Modeling
The analysis process and steps of the finite element simulation software FEA in terms of temperature field are as follows:
- (1)
- The establishment of the model: According to the experimental data and related raw material parameters, including the elastic modulus, thermal conductivity, Poisson’s ratio, specific heat capacity and other parameters of the material, the material model is established. According to the actual size and strength of the concrete test block, the three-dimensional structure model is established.
- (2)
- The establishment of boundary conditions: This boundary condition design is divided into two categories, including model boundary and thermodynamic boundary. Because this design simplifies the calculation, the 1/8 model of the original structure is selected for calculation, so the symmetry condition of the model is set on the section, and the fixed boundary is set externally. The thermodynamic boundary is divided into heat source and convection boundary. In practical engineering, a large amount of hydration heat is generated inside the concrete, and a heat source needs to be established inside. The outer surface of the concrete needs heat exchange with air, so it is necessary to establish a convection boundary outside the model.
- (3)
- Establishment of the construction phase: In order to ensure the accuracy and reliability of the experimental results, the time step is 1 h, and the time process is 28 days.
- (4)
- Results analysis and processing: the temperature results and stress results of the calculation results are analyzed and post-processed, including drawing temperature cloud map, temperature change map, stress cloud map, etc.
3. Finite Element Modeling of Phase Change Concrete
According to the comprehensive analysis of the influence of different construction temperatures on the temperature control and stress field of mass concrete, the distribution characteristics of the temperature field are one of the core elements. A large amount of hydration heat will be released during the hardening process of concrete. When the construction temperature is high, the hydration reaction will be accelerated, resulting in a rapid increase in the internal temperature of concrete and a large temperature gradient. In summer construction, environmental temperatures can soar to 30 °C or even exceed 35 °C. Without proper measures, concrete’s internal temperature could quickly spike above 80 °C. Such swift temperature increases under these conditions can amplify thermal stress within the concrete and potentially induce surface cracking due to the disparity in temperature between the concrete’s core and its exterior.
Conversely, during colder construction periods, particularly in winter, ambient temperatures may plummet below 5 °C. This rapid external cooling, coupled with the heat generated by the hydration process within the concrete, can lead to an upward trend in the internal temperature distribution at lower temperatures. This can exacerbate the temperature gradient between the interior and exterior of the concrete, leading to heightened tensile stress and a heightened risk of cracking. Employing numerical simulation and experimental studies allows for a precise understanding of the temperature distribution patterns in concrete under varying construction temperatures. This knowledge is crucial for devising effective temperature management strategies to safeguard the integrity and longevity of large-scale concrete structures.
3.1. Selection of Phase Change Materials
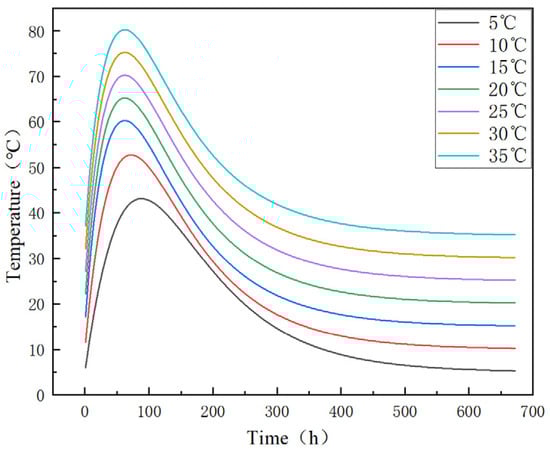
For the selection of phase change materials, the temperature results of concrete under different construction temperatures are calculated, and the appropriate phase change materials are selected according to the temperature range of the calculation results. The detailed calculation results are shown in Figure 1.
Figure 1.
Concrete temperature calculation results.
For the gradient temperature regulation at different construction temperatures, the details of the selected phase change materials are shown in Table 4.
Table 4.
Selection of phase change materials.
3.2. Model Construction and Parameter Setting
For the results in this section, the finite element analysis software MIDAS FEA NX 2022 is used to simulate the concrete. According to the results of the thermal regulation test, due to the symmetry of the concrete specimen structure, in order to facilitate the calculation and processing of the results, the 1/8 structure of the 1 m3 specimen is taken to establish the model, and the 0.5 × 0.5 × 0.5 m3 concrete specimen model is constructed.
In order to ensure the accuracy of the calculation results, the modeling grid is divided into standard cubes with a side length of 0.025 m, a total of 8000 units.
In order to observe the results at different ambient temperatures, a total of 14 finite element models were established., which are seven concrete control experimental models without phase change materials and seven concrete experimental models with phase change materials. The corresponding environment of the test block is 5 °C, 10 °C, 15 °C, 20 °C, 25 °C, 30 °C and 35 °C. The initial temperature of the concrete is consistent with the ambient temperature, and the concrete material parameters are set according to the characteristics of the test material, as shown in Table 5.
Table 5.
Material parameters.
3.3. Boundary Condition Setting
The model is established according to the parameters in the previous section. Since the concrete test block is a cube of 1 m3, in order to facilitate the observation of internal stress changes, 1/8 cross-section modeling is used, and the detailed modeling is shown in Figure 2. In the model, the cross sections of A, D and F are inner sections, which are set as symmetrical boundaries, and the cross sections of B, C and E are external sections, which are set as fixed boundaries. Since the external cross sections B, C, and E need to come into contact with air, they are set as convective boundaries. The boundary diagram is shown in Figure 3.
Figure 2.
Concrete Models.
Figure 3.
Concrete boundary diagram.
The convective boundary conditions affect the temperature distribution inside the concrete by adjusting the heat exchange between the concrete surface and the environment. In high-temperature environments, convective boundary conditions can effectively reduce the surface temperature of concrete and reduce the temperature difference between inside and outside. In the low-temperature environment, the convection boundary condition can prevent the concrete surface from cooling too fast, thereby reducing the temperature gradient. The convection boundary condition can adjust the temperature field and indirectly affect the stress distribution inside the concrete.
Because the experimental model of this design is a 1/8 structure, the convection boundary needs to be set on the contact surface with the external environment. The contact surface of the external environment is air, so the air natural convection boundary is selected, and the air natural convection coefficient is 20 W·m−2·K−1 [16].
The thermal energy generated by conventional concrete is determined using the composite index model, as introduced by Academician Zhu Bofang (Equation (1)) [17]. In contrast, the heat generation in phase change concrete is assessed through the adiabatic temperature rise model, which is derived from the literature (Equation (2)) [18].
Based on the defined material and boundary parameters, the MIDAS FEA NX 2022 software is employed to compute the temperature-induced stress resulting from the hydration heat in large-scale concrete structures. For the temperature field calculations, the time step for solving is set to 1 h, with the total solution duration spanning 28 days, equating to a total calculation period of 672 h. When retrieving the results, selecting the temperature field data from the structure’s central point is crucial to maintain nodal consistency.
4. Result Analysis
4.1. Analysis of Temperature Results of Phase Change Concrete
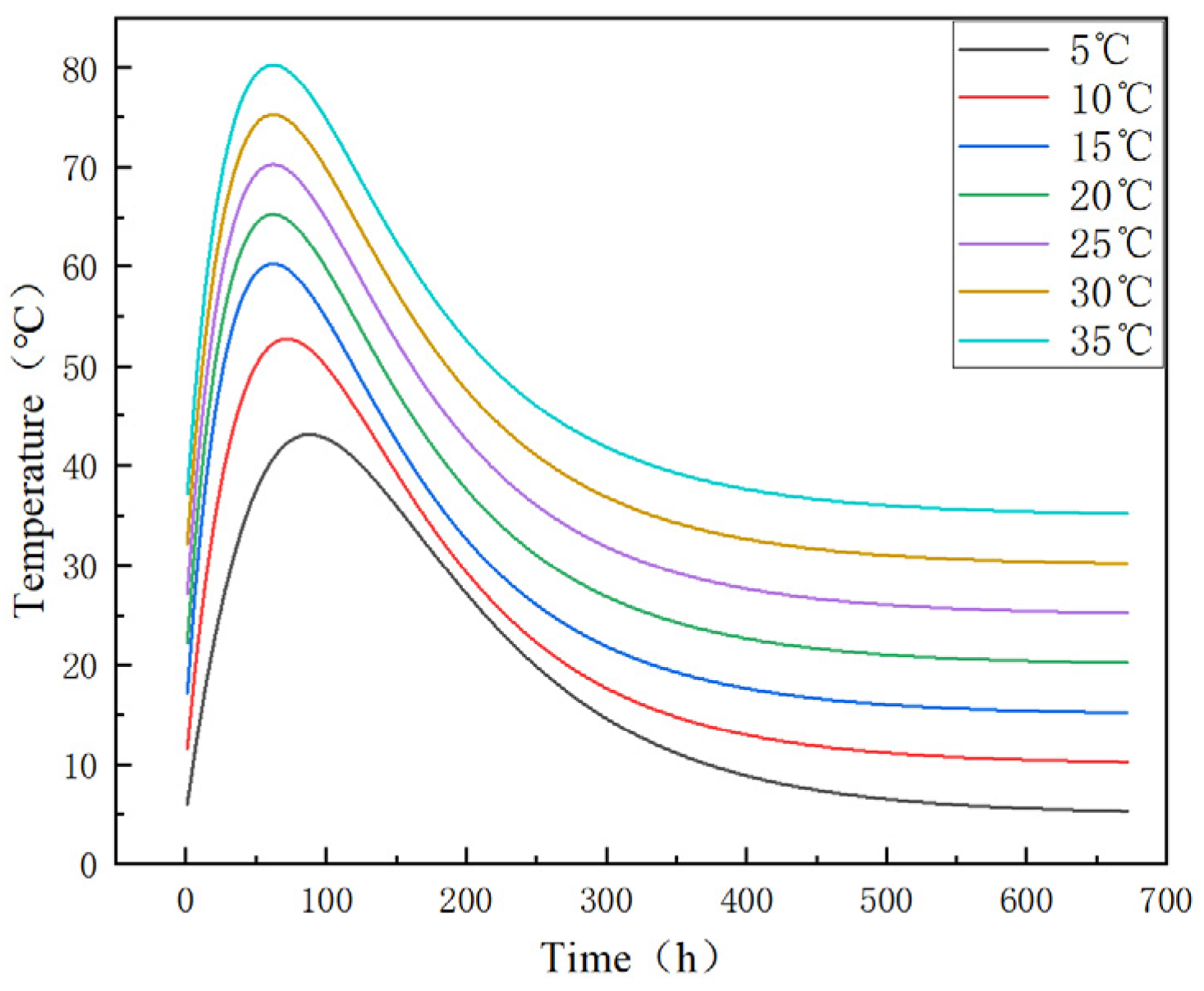
The calculation results are based on the same temperature as a group, and the temperature results of the concrete after the gradient temperature adjustment of the phase change material under the construction environment of 5 °C, 10 °C, 15 °C, 20 °C, 25 °C, 30 °C and 35 °C are compared, respectively. The calculation results of the center point temperature are shown in Figure 4.

Figure 4.
Temperature calculation diagram.
From the calculation results, the internal temperature peaks of concrete specimens without phase change materials are 43.1 °C, 52.7 °C, 60.2 °C, 65.4 °C, 70.3 °C, 76.2 °C and 81.2 °C, respectively. After three phase-change materials, the internal temperature peaks of concrete decrease, which are 37.5 °C, 47.2 °C, 55.7 °C, 60.6 °C, 64.7 °C, 71.5 °C and 74.6 °C, respectively. From Figure 4, it can be seen that the peak temperature is reduced, and the peak generation speed is also accelerated. The addition of phase change materials has a significant effect on reducing the temperature peak inside the concrete. In different construction environments, the phase change material effectively slows down the rise rate of the internal temperature of the concrete by absorbing and releasing heat, thereby reducing the temperature peak. This temperature regulation is particularly important for the temperature control of mass concrete, which can reduce the temperature stress and reduce the risk of cracks.
4.2. Analysis of Internal and External Temperature Difference Results
The internal and external temperature differences of concrete after gradient temperature regulation of phase change materials under construction environments of 5 °C, 10 °C, 15 °C, 20 °C, 25 °C, 30 °C and 35 °C are compared respectively. The calculation results of the maximum temperature difference between the inside and outside are shown in Figure 5.

Figure 5.
Internal and external temperature difference cloud.
From the results of Figure 5, the maximum temperature difference between the inside and outside of the undoped phase change material is 33.1 °C, 35.9 °C, 37.5 °C, 37.6 °C, 37.2 °C, 38.1 °C and 37.1 °C, respectively. The temperature difference between the inside and outside of the phase change material is 25.0 °C, 27.9 °C, 30.1 °C, 30.3 °C, 30.6 °C, 30.1 °C and 30.6 °C, respectively. The temperature difference between the inside and outside of the undoped phase change material is about 37 °C, and the temperature difference between the inside and outside can be reduced to about 30 °C after the phase change material is added. This is because the phase change material (PCM) inside the concrete begins to exert its latent heat storage function, thus alleviating the violent fluctuation of the internal temperature of the concrete to a certain extent.
The temperature regulation of phase change materials is mainly due to the absorption and release of a large amount of latent heat during the phase change process. When the temperature inside the concrete increases, the phase change material absorbs heat and undergoes a phase change, thereby reducing the temperature rise rate inside the concrete ; when the internal temperature of concrete decreases, the phase change material releases heat and plays a role in heat preservation. In this way, the phase change material can effectively balance the temperature difference between the inside and outside of the concrete and reduce the temperature stress caused by the excessive temperature gradient, thereby reducing the risk of concrete cracking and improving the stability and durability of the concrete structure.
In the process of studying the influence of different construction temperatures on the performance of phase change concrete, the finite element analysis model is used to simulate the temperature change inside the concrete under low temperature, normal temperature and high-temperature construction conditions. Under the condition of low-temperature construction, the distribution of the temperature field in concrete may show a large temperature gradient, which will lead to large thermal stress in concrete, thus affecting the integrity and durability of its structure. On the contrary, under the condition of high-temperature construction, the temperature field distribution inside the concrete is relatively uniform, and the thermal stress is small, but it may cause rapid drying of the concrete surface and uneven distribution of internal moisture, which in turn affects the final strength and durability of the concrete. In the process of model verification, by comparing with the actual construction data, it can be found that the temperature field distribution predicted by the model is in good agreement with the actual measured value, which indicates that the established finite element model has high accuracy and reliability.
Under the construction environment of 5 °C to 35 °C, the phase change material reduces the internal temperature of concrete between 5.6 °C and 6.6 °C. This effect shows that phase change materials can adapt to different construction environments and provide stable temperature control for concrete. With the increase in the construction environment temperature, the temperature regulation effect of the phase change material is more obvious, particularly prominent in the construction environment of 30 °C and 35 °C.
4.3. Stress Field Analysis
When examining the stress outcomes, it becomes evident that the stress patterns in phase change concrete under various construction temperatures differ markedly from those observed during standard temperature construction. The temperature shrinkage effect can lead to substantial internal tensile stress within the concrete. Utilizing a finite element model that incorporates temperature-stress coupling analysis, it is noticeable that the incorporation of phase change materials can mitigate the peak tensile stress within the concrete to a certain degree. The specific findings are illustrated in Figure 6.

Figure 6.
Stress calculation result. (Note: The red line is the result of adding phase change material, and the black line is the result of not adding phase change material).
From the results of Figure 6, it can be seen that under different construction temperatures, the peak value of internal tensile stress of concrete without phase change materials is lower, and the peak value of external stress is higher, which is easy to causes large stress differences and cause cracks. After the incorporation of phase change materials, due to its latent heat storage function, it can effectively absorb and release heat so that the internal temperature change of concrete is more stable, thereby reducing the internal and external stress difference.
The addition of phase change materials can also accelerate the internal stress of concrete to achieve internal and external consistency. In the absence of phase change materials, the temperature difference between the interior and the surface of the concrete is large, resulting in inconsistent internal and external stress, which is prone to temperature stress cracks. By adjusting the temperature, the phase change material reduces the difference between the internal and external temperatures so that the internal and external stresses can reach equilibrium faster, and the crack resistance of concrete is further improved.
The analysis of temperature and stress characteristics of phase change concrete reveals the temperature regulation effect of phase change in concrete and its influence on the stress strength of concrete. In terms of the stress field, through finite element analysis, due to the addition of phase change materials, the internal stress of concrete can reduce the internal and external difference, the stress concentration phenomenon has been significantly alleviated, and the internal and external stress can be quickly achieved. Consistent phase change concrete shows good crack resistance.
The addition of phase change materials can not only effectively adjust the temperature of concrete, reduce the temperature peak and the temperature difference between inside and outside, but also significantly improve the stress distribution of concrete, reduce the peak value of tensile stress, alleviate the phenomenon of stress concentration, and make the internal and external stress reach the same quickly, thus significantly improving the crack resistance of concrete, which provides strong technical support for the construction and application of mass concrete.
5. Conclusions
This study utilized the finite element analysis software MIDAS FEA NX 2022 to simulate and analyze the temperature regulation effect of phase change materials (PCMs) in concrete and their influence on crack resistance under various construction temperatures. A 1/8 concrete specimen model was constructed, and different ambient temperatures (5 °C to 35 °C) and concrete material parameters were set. The results showed that PCMs can effectively absorb environmental heat, maintain the temperature stability of concrete structures, and reduce the internal temperature peak. Additionally, the addition of PCMs can reduce the temperature difference between the inside and outside of the concrete, relieve internal stress, and improve crack resistance.
The incorporation of PCMs in concrete construction offers a practical and effective solution for temperature control and crack prevention in large-scale concrete structures. This approach can be particularly beneficial in regions with extreme temperature variations, where temperature-induced stresses pose a significant threat to the durability and safety of concrete structures. The findings of this study provide valuable insights for the development of temperature control strategies and the optimization of construction techniques for mass concrete projects.
Temperature Regulation: PCMs significantly reduced the internal temperature peak of concrete by 5.6 °C to 6.6 °C across different construction temperatures. This effect was more pronounced at higher temperatures (30 °C and 35 °C).
Temperature Difference Reduction: The maximum temperature difference between the inside and outside of the concrete was reduced from approximately 37 °C to 30 °C after the addition of PCMs. This reduction in temperature difference helped to alleviate the risk of thermal stress-induced cracks.
Stress Field Improvement: The addition of PCMs led to a more uniform stress distribution within the concrete, reducing the peak tensile stress and alleviating stress concentration. This improvement in stress distribution significantly enhanced the crack resistance of the concrete.
Rapid Stress Equilibrium: PCMs facilitated a faster achievement of internal and external stress equilibrium, reducing the risk of temperature stress cracks and improving the overall integrity and durability of the concrete structure.
Author Contributions
Conceptualization, R.C.; Data curation, K.Y. and H.S.; Formal analysis, K.Y.; Funding acquisition, R.C.; Investigation, W.Z.; Methodology, K.Y.; Project administration, M.D.; Resources, W.Z.; Software, K.Y.; Supervision, W.Z.; Validation, M.D.; Visualization, H.S.; Writing—original draft, K.Y.; Writing—review & editing W.Z. All authors have read and agreed to the published version of the manuscript.
Funding
This study is supported by the National Natural Science Foundation (No. 52478460).
Data Availability Statement
Data is contained within the article.
Conflicts of Interest
Author Meidong Duan is employed by the Shandong Hi-Speed Co., Ltd. The remaining authors declare that the research was conducted in the absence of any commercial or financial relationships that could be construed as a potential conflict of interest.
Abbreviations
| Sign | Explanation |
| Q0 | The final heat release of cement, kJ·kg−1 |
| m | The heat release rate constant of cement, kg |
| t | The age, d; |
| c | The specific heat capacity of concrete, kJ·kg−1·°C |
| ρ | The density of concrete, kg·m−3 |
| Mp | The mass of phase change material, kg; |
| q | The latent heat of phase change material, kJ·kg−1 |
| b | Constants |
References
- Wang, C. Concrete Preparation and Crack Control Analysis of Winter Prefabrication Construction of Drilling Shaft Lining in Severe Cold Area. Master’s Thesis, Anhui University of Science and Technology, Huainan, China, 2023. [Google Scholar]
- Wang, J.; Guo, X.; Qiu, W.H. Study on the influence of curing methods on the temperature field of mass concrete construction in summer. J. Xuchang Univ. 2023, 42, 90–95. [Google Scholar]
- Han, Z.X. Hydration Heat Analysis and Temperature Control Technology Simulation of Mass Concrete. Master’s Thesis, Changchun Institute of Engineering, Changchun, China, 2024. [Google Scholar]
- Ma, G.F. Finite element simulation analysis and temperature control technology of mass concrete temperature field in bridge anchorage construction. Sci. Technol. Innov. 2024, 175–178. [Google Scholar]
- Zhang, S.T.; He, X.J.; He, Z.J. Study on temperature control of large volume high strength concrete hollow pier column. Traffic Sci. Technol. 2023, 70–75. [Google Scholar]
- Sun, S.L. Research on the influence of compressive strength and durability of mass hydraulic concrete. Heilongjiang Water Conserv. Technol. 2024, 52, 41–43. [Google Scholar] [CrossRef]
- Zhu, L.; Tian, Z.C.; Cai, Y. Analysis of temperature control effect of mass arch concrete under one-time pouring. Hunan Traffic Sci. Technol. 2023, 49, 105–109. [Google Scholar]
- Xiao, J.B.; Zhong, X.Y.; Ren, J.D. Study on heat storage properties of stearic acid phase change materials based on bio-carbon materials. J. Chem. Ind. 2024, 1–11. [Google Scholar]
- Long, G.W.; Zeng, K.H.; Xie, B.H. Review and prospect on the properties of phase change concrete composites. Funct. Mater. 2024, 55, 10038–10046. [Google Scholar]
- Xue, J.R.; Zhou, G.X.; Deng, C.H. Research progress on preparation and application of photothermal phase change energy storage composites. J. Compos. 2024, 1–13. [Google Scholar] [CrossRef]
- Zhang, D.Z. Study on Frost Resistance and Anti-Icing Effect of Pavement Cement Concrete Mixed with Phase Change Materials. Master’s Thesis, Xijing College, Xi’an, China, 2023. [Google Scholar] [CrossRef]
- Luo, H. Study on Temperature Control and Crack Resistance of Composite Phase Change Materials in Early Concrete. Master’s Thesis, Shenzhen University, Shenzhen, China, 2020. [Google Scholar] [CrossRef]
- Xu, L.L. Analysis of on-site temperature control monitoring method of mass concrete based on finite element. Anhui Constr. 2024, 31, 181–182. [Google Scholar] [CrossRef]
- Nassiraei, H. Probabilistic Analysis of Strength in Retrofitted X-Joints under Tensile Loading and Fire Conditions. Buildings 2024, 14, 2105. [Google Scholar] [CrossRef]
- JGJ 55-2011; Specification for Mix Proportion Design of Ordinary Concrete. Ministry of Housing and Urban-Rural Development: Beijing, China, 2011.
- Feng, X.; He, C.H. Principles of Chemical Engineering, 2nd ed.; Scientific Press: Beijing, China, 2007. [Google Scholar]
- Zhu, B.F. A new calculation model and back analysis of adiabatic temperature rise of concrete. Hydroelectr. Power Gener. 2003, 29–32. [Google Scholar]
- Wang, J. Theoretical Basis Research and Preparation of Phase Change Temperature Control Concrete. Doctor’s Thesis, Wuhan University of Technology, Wuhan, China, 2011. [Google Scholar]
Disclaimer/Publisher’s Note: The statements, opinions and data contained in all publications are solely those of the individual author(s) and contributor(s) and not of MDPI and/or the editor(s). MDPI and/or the editor(s) disclaim responsibility for any injury to people or property resulting from any ideas, methods, instructions or products referred to in the content. |
© 2025 by the authors. Licensee MDPI, Basel, Switzerland. This article is an open access article distributed under the terms and conditions of the Creative Commons Attribution (CC BY) license (https://creativecommons.org/licenses/by/4.0/).