Abstract
Bio-inspired thin-walled energy-absorbing structures have attracted wide attention due to their excellent energy absorption characteristics. Inspired by the internal microstructure of the dactyl club of the marine stomatopod, Odontodactylus scyllarus, a bio-inspired corrugated sandwich tube (BCST) with a similar cross-sectional configuration, was designed. To verify the axial crashworthiness of the BCST, axial impact tests were first conducted on single-cell and four-cell thin-walled tubes to validate the models. Subsequently, the crashworthiness of the BCST is systematically investigated using ABAQUS/Explicit 6.14. The influences of material properties, the number of bio-inspired cells, wall thickness. Finally, a multi-objective optimization was conducted by combining the response surface method (RSM) with the non-dominated sorting genetic algorithm (NSGA-II), aiming to maximize specific energy absorption (SEA) and minimize crushing displacement (S), yielding the optimal design parameters for the BCST structure.
1. Introduction
Thin-walled tubes, owing to their easy manufacturability, lightweight characteristics, and excellent energy absorption capability, have been widely employed in engineering energy-absorbing devices [1], automobile crash boxes [2], and other structural applications. The crashworthiness of these tubular structures is highly dependent on the loading direction. Under lateral impact, their energy dissipation is predominantly governed by bending and local indentation, which is generally less efficient. In contrast, axial impact typically induces stable, progressive folding—such as concertina or diamond-shaped buckling modes—enabling substantially greater energy dissipation [3]. Studies have revealed that, under external loading, the energy stored during axial deformation of thin-walled structures is approximately one order of magnitude greater than that in lateral deformation. Consequently, optimizing the axial crushing performance has been a central theme in the field.
Fundamental research on the axial crushing of tubes with various cross-sections (e.g., circular [4], square [5], and triangular [6]) has established the underlying deformation mechanisms, as shown in Table 1. Building on these foundations, researchers have explored various structural modifications to enhance crashworthiness and modify the relevant technologies to strive for large-scale production. These include introducing corrugations to stabilize deformation and reduce initial peak force [7], employing multi-cell configurations to significantly improve specific energy absorption [8,9], designing multi-cell hexagonal tubes for multi-load case scenarios [10], utilizing axially graded tubes (in both thickness and material) for lightweight and high efficiency enables significant weight reduction while maintaining structural performance [11], and incorporating perforations to tune the crushing force and improve energy absorption efficiency [12].
Table 1.
Summary of previous studies on the axial impact of tubular structures.
Despite these advancements, the performance gain of conventional thin-walled tubes through geometric modifications often reaches a plateau. In recent years, biomimetics has emerged as a promising avenue for breakthrough designs. Natural organisms have evolved sophisticated architectures that masterfully combine lightness, strength, and damage tolerance, providing a rich source of inspiration. As a result, these bio-mimetic designs frequently outperform their conventional multi-cell counterparts. By introducing features such as multi-scale, hierarchical, and corrugated sandwich structures, they aim to explore novel impact-resistant architectures that surpass the performance of traditional multi-cell tubes. To develop a high-performance energy absorber, Xiao et al. [13] developed a multi-cell tube, drawing inspiration from the stem cross-sectional anatomy of Equisetum, and evaluated its crashworthiness under axial impact. Using a multi-objective optimization approach, they obtained the bio-inspired tube exhibiting optimal crash performance. Song et al. [14] proposed a novel variable-thickness tube structure (VTS) by exploiting the thickness gradient and internode spacing gradient along the growth direction of bamboo. Fu et al. [15] designed bio-inspired sandwich tubes with different inner–outer tube connection methods. Axial impact tests demonstrated excellent crashworthiness, and different connection strategies resulted in distinct performance effects. Duan et al. [16] developed a bio-inspired fractal hierarchical multi-cell tube based on spider web patterns, and its outstanding energy absorption capability was validated. Ha et al. [17] proposed a bio-inspired fractal multi-cell circular tube (BFMC) and conducted numerical studies on its crashworthiness. Hu et al. [18] demonstrated a bio-inspired multi-cell tube with excellent energy absorption capability. The design, which draws from leaf venation patterns, was validated through tests and simulations. Liu et al. [19] designed a multi-layer tube with the cross-sectional features of hedgehog vertebrae, focusing on the deformation modes and crashworthiness under different axial impact angles. Huang et al. [20] designed a sinusoidal-core bio-inspired sandwich structure, inspired by the mantis shrimp claw. They found the performance of tubes with different numbers of bio-inspired units under impact loading using finite element analysis. Song et al. [21] proposed a novel bio-inspired cross-type thin-walled tube, drawing inspiration from the structural characteristics of pine cones. Numerical simulations indicated that, while partially sacrificing peak impact force, the energy absorption were improved than conventional thin-walled tubes. Response surface optimization revealed that the three-cell cross configuration achieves the optimal crashworthiness.
Previous studies have demonstrated that bio-inspired tubular structures exhibit significant potential in enhancing structural stability and energy absorption [22]. However, most existing bio-inspired designs focus on emulating a single biological feature. The synergistic integration of multiple bio-inspired strategies—such as combining hierarchical organization with a corrugated sandwich core—remains less explored. To bridge this gap, this work proposes a novel bio-inspired corrugated sandwich tube (BCST). This design incorporates corrugated sandwich units within the tube wall, mimicking the synergistic effect of hierarchical and compliant mechanisms found in nature, with the aim of further improving energy absorption efficiency and impact stability. This study systematically investigates the deformation modes, mechanical response, and energy absorption performance of the BCST under axial impact. Furthermore, a multi-objective optimization framework is employed to identify the optimal geometric parameters for superior crashworthiness, thereby providing valuable guidance for the development of next-generation high-efficiency energy-absorbing components.
2. Design and Material Properties of BCST
2.1. Design of BCST
The dactyl club of Odontodactylus scyllarus can withstand extreme impact loads while exhibiting excellent energy absorption [23]. Its superior impact resistance stems from the biological microstructure within the club, where the impact region features a highly ordered, periodic corrugated structure beneath the hard outer shell [24]. This composite form, consisting of an external hard shell and internal corrugated sandwich, effectively disperses impact loads and enhances overall crashworthiness, serving as a key factor enabling the peacock mantis shrimp to achieve high-speed, high-strength, and impact-resistant strikes in nature [25]. Inspired by this biological structure, a triangular corrugated sandwich can be introduced into thin-walled tube structures to mimic the microstructure of the dactyl club, aiming to improve the impact resistance of thin-walled tubes through optimization of the internal micro-architecture, as shown in Figure 1.
Figure 1.
Design process of bio-inspired corrugated sandwich tube.
Figure 2 illustrates the cross-sectional configuration of the bio-inspired corrugated sandwich tube, which comprises an outer tube, an inner tube, and a bio-inspired corrugated sandwich core. In Figure 2 and Figure 3, an equilateral trapezoidal lattice represents a single unit cell. When N = 2, the cell’s dimension is N − 1 = 1. Similarly, when the quantity is 12, the cell’s dimension is 12 − 1 = 11. The key geometric parameters are defined as follows: the outer and inner tube diameters are Do and Di, respectively, and all components (inner tube, outer tube, and corrugated core) share a uniform thickness, i.e., t.
Figure 2.
Cross-sectional configuration of the BCST.
Figure 3.
FE model of the BCST under axial impact. (a) Illustration of axial impact; (b) FE model.
2.2. Material Properties
In order to achieve the goals of lightweight, high strength, and ease of fabrication, the material used for the BCST is aluminum alloy 6061-T6 [26], with a density of 2.70 g/cm3, which is only one-third of the density of steel. The specific material properties are listed in Table 2. Since aluminum alloy is not sensitive to strain rate, the effect of strain rate is neglected in this study [27].
Table 2.
Mechanical properties of aluminum alloy 6061-T6 [26].
3. FE Model and FE Validation
3.1. Finite Element Modeling
The FE model of the BCST is established using the FE software ABAQUS/Explicit 6.14, and its schematic diagram is shown in Figure 3. The BCST is positioned between two rigid plates. The lower rigid plate constrains all degrees of freedom and is fixed to the bottom of the bio-inspired corrugated sandwich tube. The upper rigid plate is free to move in the Z-direction and is assigned a mass of 200 kg. It impacts the tube axially with an initial velocity of 10 m/s. General contact is applied between the components, with tangential contact modeled as penalty contact and a friction coefficient of 0.2 [28]. Normal contact is modeled as hard contact, allowing for separation after contact. This study focuses on a typical thin-walled structure, where the thickness dimension is significantly smaller than the other two directions. As a result, the modeling uses S4R shell elements with five integration points defined along the thickness direction. To balance the accuracy and efficiency of the FE analysis, a mesh size of 2 × 2 mm is employed in this study.
3.2. Validation of FE Models
To validate the effectiveness of the FE model under axial impact conditions, this study conducts model verification according to axial compression test results of thin-walled circular tubes and four-cell tubes. Zhang et al. [8] carried out quasi-static axial compression tests on thin-walled circular tubes, obtaining key data such as load–displacement curves, buckling modes, and energy absorption characteristics. Based on their experimental results, this study performs numerical simulations of the mechanical behavior of thin-walled circular tubes under axial loading using the same geometric parameters, material properties, and boundary conditions, and compared the simulation results with test data to assess the accuracy of the FE model.
Furthermore, to verify the applicability of the model, axial compression test data of four-cell tube structures are also used. This ensures that the FE model could accurately describe not only single-cell structures but also multi-cell structures under axial impact, capturing both deformation modes and crashworthiness. The deformation mode of the single-cell thin-walled tube is the typical accordion mode, while the four-cell thin-walled tube exhibits the diamond mode, as shown in Figure 4. The force–displacement curves of the single-cell and four-cell thin-walled tubes are presented in Figure 5. The simulation results agree well with the experimental data, indicating that the developed FE model can accurately capture the deformation and energy absorption behavior of thin-walled structures under axial impact loads. This provides a reliable numerical basis for subsequent studies on the crashworthiness of bio-inspired corrugated sandwich tubes.
Figure 4.
Comparison of experimental and simulation phenomena. (a) Comparison of experimental and simulation results for the single-cell tube. (b) Comparison of experimental and simulation results for the four-cell tube.
Figure 5.
Comparison of experimental and simulation force–displacement curves. (a) Single-cell tube. (b) Four-cell tube.
4. Numerical Results and Discussion
4.1. Crashworthiness Indicators
Before investigating the axial crashworthiness of bio-inspired structures, appropriate metrics are required to evaluate their performance. The crashworthiness of the structures is quantified using energy absorption (EA), energy absorption ratio (EAR), specific energy absorption (SEA), maximum impact force (MIF), and mean crushing force (MCF) [29,30].
EA represents the energy absorption capability of the structure and can be calculated using Equation (1).
where S is the total crushing distance, and F denotes the instantaneous crushing force.
EAR represents the ratio of the energy absorbed by the structure to the input energy. The larger the EAR, the higher the energy absorption efficiency of the structure, as shown in Equation (2):
where Ea represents the initial input energy, while EA denotes the energy absorbed by the structure.
SEA describes the energy absorbed by the structure per unit mass. It indicates the efficiency of material in energy absorption during the collision process and is a key metric for assessing the energy absorption properties of thin-walled structures. Its definition is given by Equation (3).
where EA is the energy absorbed by the energy-absorbing structure, and M is the total mass of the energy-absorbing structure.
MIF denotes the maximum impact force, which is the highest force generated by the structure during the impact process, and can be calculated using Equation (4).
MCF represents the mean crushing force experienced by the structure. A higher mean crushing force indicates greater energy absorption per unit displacement. Its definition is given by Equation (5).
where EA denotes the energy absorbed by the structure during the impact process, and S represents the maximum overall displacement during the impact.
CFE refers to the ratio of MCF to MIF and is used to evaluate the uniformity of the impact force. A higher CFE value indicates more stable deformation, as shown in Equation (6).
4.2. Comparison of Axial Damage Modes
To verify the excellent impact resistance of BCST under axial impact, numerical simulations are performed on BCST and CT with the same mass under axial impact loading. The geometric dimensions of the BCST and CT are shown in Table 3. Both the bio-inspired tube and the thin-walled tube have an outer diameter (Do) of 100 mm, and the inner diameter (Di) of the bio-inspired tube is 60 mm, with a height (H) of 200 mm for both. The thicknesses (t) of the inner tube, outer tube, and corrugated sandwich layer of the bio-inspired tube are 0.5 mm, while the wall thickness (t) of the empty tube with the same mass is 1.72 mm.
Table 3.
Geometric parameters of BCST and CT.
4.2.1. Deformation Mode
Figure 6 illustrates the progressive failure modes of both structures at characteristic time intervals. It can be observed that the failure modes of the bio-inspired tube and the thin-walled tube follow similar developmental patterns, both evolving from top to bottom. The corrugated structure of the bio-inspired tube helps disperse the impact force through the unfolding of the corrugations, preventing significant localized deformation in the initial stage. As the impact continues, the corrugated sections begin to bend, but this deformation is typically gradual, enabling the structure to absorb most of the impact energy and reducing overall damage. The bio-inspired tube forms irregular folds at the top, while the thin-walled tube exhibits a symmetric ring pattern. The primary difference in deformation modes is due to the interaction between the inner tube, outer tube, and sandwich layer in the bio-inspired tube, which slows the transmission of the impact force during axial impact. The bio-inspired tube shows superior impact resistance compared to the thin-walled tube, effectively minimizing the spread of damage.
Figure 6.
Comparison of characteristic moment failure modes between BCST and CT. (a) BCST; (b) CT.
4.2.2. Mechanical Response and Energy Absorption
As shown in Figure 6, the deformation of both BCST and CT under axial impact can be divided into three stages: the initial crushing stage, the plateau stage, and the densification stage. When the specimen is subjected to axial impact load, the impact force rapidly rises to the initial peak load, marking the initial crushing stage. Following this, the specimen undergoes progressive buckling, and the impact force gradually decreases, with wrinkles forming sequentially, corresponding to the plateau stage. Finally, after a certain number of wrinkles have formed, the specimen enters the densification stage, where the impact force rapidly increases. The difference lies in that the densification stage of the bio-inspired tube is not as pronounced as that of the thin-walled tube, which is due to the superior impact resistance of the bio-inspired tube preventing it from entering the densification stage under the same axial impact load. Additionally, the impact force during the plateau stage of the bio-inspired tube is significantly higher than that of the thin-walled tube.
Under the same axial impact load, the load–displacement curve of the bio-inspired tube shows a significantly different trend compared to the thin-walled tube. First, the impact force of the bio-inspired tube fluctuates only during the initial impact, while the impact force of the thin-walled tube fluctuates significantly throughout the entire impact process. This corresponds with the progressive folding deformation mode shown in Figure 7, where each wrinkle formation corresponds to a peak in the impact force–displacement curve of the thin-walled tube. Table 4 lists the impact resistance parameters between BCST and CT. As the impact nears completion, the impact force of the thin-walled tube increases sharply, due to the complete compression of the thin-walled tube and the lack of additional deformation space. The initial peak load of the bio-inspired tube is 120.6 kN, while the initial peak load of the thin-walled tube is 96.8 kN, indicating a 24.6% increase in the bio-inspired tube’s initial peak load compared to the thin-walled tube. The higher initial peak load of the bio-inspired tube is due to the combination effects that result in a higher axial stiffness, requiring greater resistance to initiate plastic deformation.
Figure 7.
Comparison of displacement–impact force curves between BCST and CT.
Table 4.
Comparison of impact resistance parameters between BCST and CT.
On the other hand, the bio-inspired tube’s maximum crushing displacement is reduced by 29.1% compared to the thin-walled tube under the same axial impact load. The MCF of the bio-inspired tube is 43.8% higher than that of the thin-walled tube, indicating that the bio-inspired tube can produce a stable plastic deformation, which demonstrates a significant improvement in axial impact resistance. The SEA of the BCST is 2.1% higher than CT, and its energy absorption is 1.9% greater than that of the thin-walled tube. While the thin-walled tube absorbs energy through large, complete deformations, the bio-inspired tube absorbs more energy through smaller crushing displacements. The energy dissipation under axial impact for the thin-walled tube and bio-inspired tube of the same mass is similar, mainly because both structures dissipate impact energy through similar deformation and energy transformation mechanisms (such as plastic deformation and local buckling) under identical initial kinetic energy conditions. Although the structural characteristics of the bio-inspired tube may make it more effective in dispersing and absorbing impact forces, there is no significant difference in the total energy dissipation between the bio-inspired tube and the thin-walled tube when their mass and material properties are the same.
4.3. Effect of Different Material Properties
In order to deeply explore the effect of material selection on axial impact resistance, this research selects four aluminum alloys for FE simulation analysis. The alloys chosen are AA6061-O [31], AA6061-T4 [32], AA6061-T6 [33], and AA6063-T5 [34]. The differences in heat treatment, composition, and mechanical properties among these alloys may lead to substantial variations in their deformation behavior, energy absorption capacity, and impact resistance when subjected to axial impact loads. By simulating these materials, the study aims to uncover the relationship between material characteristics and structural impact performance, providing a scientific foundation for the rational selection of materials in real-world engineering applications.
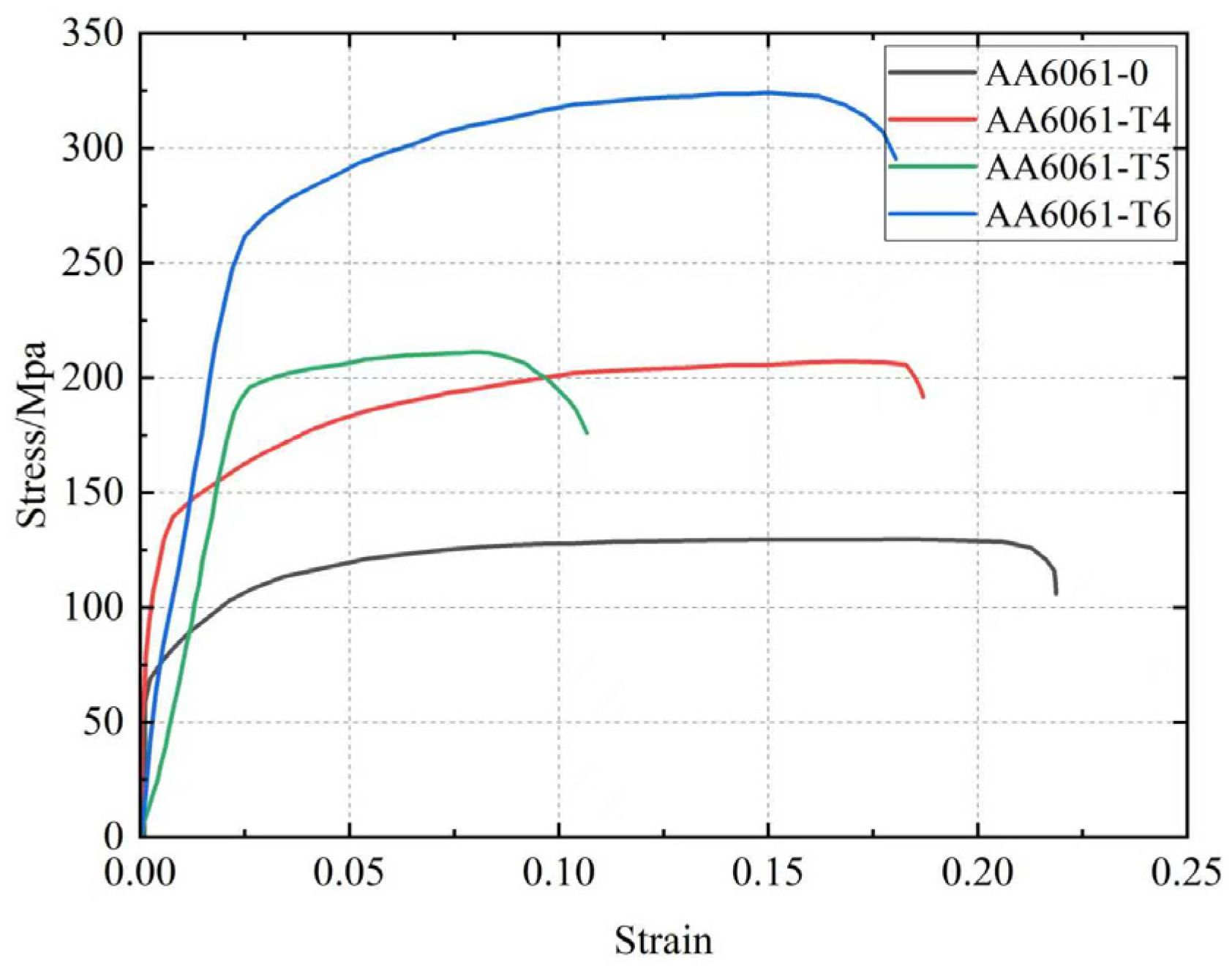
Figure 8 shows the engineering stress–strain curves and physical properties of four different aluminum alloys (AA6061-O, AA6061-T4, AA6063-T5, and AA6061-T6). From these curves, it is clearly visible that the strain curves of AA6061-O and AA6061-T4 exhibit lower yield strength and hardness, indicating that these materials have good plasticity and ductility, allowing them to undergo significant plastic deformation without fracturing under external forces. In contrast, the stress–strain curves of AA6063-T5 and AA6061-T6 show higher hardness and smaller elongation, indicating that these materials have better resistance to deformation. The specific parameters are listed in Table 5.
Figure 8.
Engineering stress–strain curve and physical properties. The specific mechanical properties of the selected aluminum alloys are based on literature data: AA6061-O (Li et al. [31]), AA6061-T4 (Qi et al. [32]), AA6061-T6 (Esa et al. [33]), and AA6063-T5 (Li et al. [34]).
Table 5.
Specific parameters of different materials.
Figure 9 shows the deformation after axial impact, where the differences in damage behavior of different materials under impact loading can be observed. For the low-hardness materials, e.g., AA6061-O and AA6061-T4, due to their good plasticity, they exhibit significant crushing displacement under axial impact. The structure undergoes considerable compression and localized failure during the collision process. In contrast, the higher hardness materials, e.g., AA6063-T5 and AA6061-T6, show a noticeable reduction in crushing displacement under the same axial impact conditions, and the compression process is relatively smooth. This indicates that higher hardness materials can resist impact loads to some extent, reducing the overall compression and failure of the structure.
Figure 9.
Post-impact deformation characteristics of different materials. (a) AA6061-O; (b) AA6061-T4; (c) AA6061-T6; (d) AA6063-T5.
From the force–displacement curves of the bio-inspired tubes made of four different materials shown in Figure 10, it can be observed that the MIF and MCF values decrease in the following order: AA6061-O, AA6061-T4, AA6061-T5, and AA6061-T6. The sizes of MIF and MCF are closely related to the hardness of the material. The lower hardness materials, AA6061-O and AA6061-T4, due to their good plasticity, undergo significant plastic deformation under impact loading, resulting in lower MIF and MCF values. On the other hand, the higher hardness materials, AA6061-T5 and AA6061-T6, exhibit stronger resistance to deformation and higher rigidity during the loading process, leading to significantly higher MIF and MCF values. When the compression distance is 100 mm, the corresponding impact resistance parameters are shown in Table 6.
Figure 10.
Post-impact deformation characteristics of different materials.
Table 6.
Comparison of crashworthiness for different material properties.
4.4. Effect of the Number of Bionic Cells
To evaluate the effect of cellular configuration on crashworthiness, a series of FE models of the BCST with varying cell counts (N = 2 to 12) were established. The material selected is aluminum alloy 6061. Given that structures with an odd number of cells may exhibit asymmetric deformation modes under axial impact, potentially confounding the analysis, this study focused exclusively on models with an even number of cells (N = 2, 4, 6, 8, 10, 12) to ensure a clear assessment of the cell number effect.
4.4.1. Mechanical Response and Deformation Behavior
The force–displacement curves in Figure 11 reveal distinct crushing behaviors correlated with the cell count. Table 7 compares the impact resistance parameters for BCST with different numbers of cells. For BCSTs with a lower number of cells (e.g., N = 2), the impact force rises sharply at the final stage of compression. This terminal force spike signifies the exhaustion of the available deformation space and the onset of material densification. These structures initially reach a peak force and enter a plateau phase where energy is absorbed through progressive folding, but the lack of further deformation capacity leads to a rapid force increase.
Figure 11.
Axial impact displacement–impact force curve of even-cell elements.
Table 7.
Comparison of impact resistance parameters for BCST with different numbers of cells.
In contrast, BCSTs with a higher cell count (e.g., N = 12) demonstrate a more stable and efficient crushing process. After the initial peak, the impact force maintains a high and stable plateau value, indicative of sustained energy dissipation through the coordinated collapse of multiple cells. Furthermore, both the initial peak force and the plateau force level exhibit a gradual increase with the cell number, underscoring that additional cells provide enhanced structural support and more distributed energy-absorbing units.
The efficiency of force transmission is influenced not only by the material’s rigidity but also by factors such as the geometric configuration, the material’s elastic modulus, and the mechanisms of energy dissipation. The structural form of the corrugated sandwich may require further optimization or integration with other structural configurations to achieve a balance between rigidity and energy dissipation.
4.4.2. Crashworthiness Metrics
Quantitative analysis further substantiates the performance advantages of a higher cell count. The MCF shows a significant increase of 57.7%, rising to 83.4 kN for N = 12 compared to the N = 2 configuration. Concurrently, the CFE improves dramatically from 17% to 69%, indicating that structures with more cells not only bear higher loads but also do so with greater stability and predictability. Although the total energy absorption remains largely consistent across different N—as the same initial kinetic energy is primarily converted into plastic deformation—a higher cell count leads to a notable reduction in the maximum axial crushing displacement.
However, a key design trade-off is observed in the SEA, which exhibits a decreasing trend with increasing N. This is attributed to the fact that the structural mass increases at a faster rate than the total energy absorption. While the added mass contributes to higher stiffness and force levels, it ultimately reduces the mass-normalized energy absorption efficiency (i.e., SEA).
4.4.3. Design Implication
The findings demonstrate that increasing the number of bionic cells effectively enhances structural stability, load uniformity, and reduces crushing displacement. However, this comes at the cost of increased structural mass and a consequent decrease in specific SEA. Therefore, achieving an optimal crashworthiness design requires a balanced consideration of the trade-off between enhanced load-bearing capability and mass efficiency.
4.5. Influence of Wall Thickness and Internal Diameter
To investigate the influence of wall thickness t and inner diameter Di on the crashworthiness of the bio-inspired corrugated sandwich tube (BCST) under axial impact conditions, a BCST with N = 12 was selected as the research object. The thicknesses of the inner tube, outer tube, and corrugated core were set equal to ensure consistent material properties across all components, thereby isolating the effects of t and Di on the overall structural response. Six different wall thicknesses (t = 0.5, 0.6, 0.7, 0.8, 0.9, and 1.0 mm) and three inner diameters (Di = 40, 60, and 80 mm) were considered, and systematic numerical simulations were conducted for all parameter combinations.
4.5.1. Deformation Response
The crush displacement of the BCST under axial impact shows a pronounced decreasing trend with increasing wall thickness t, as illustrated in Figure 12a. Taking Di = 40 mm as an example, when the wall thickness increases from 0.5 mm to 1.0 mm, the crush displacement is reduced by 64%. This reduction is primarily attributed to the significant improvement in the overall stiffness of the BCST as the wall thickness increases, which makes the structure less susceptible to extensive plastic or local deformation under axial loading. Thicker tube walls can better resist external loads during impact, thereby restricting excessive structural compression and leading to a substantial decrease in crush displacement.
Figure 12.
The effect of different wall thicknesses and inner diameters. (a) S; (b) SEA; (c) MCF; (d) MIF.
When considering the effect of different initial inner diameters on crush displacement, numerical simulation results indicate that a smaller inner diameter corresponds to a smaller crush displacement. A smaller inner diameter implies a reduced internal cavity size, which limits the available deformation space of the tube under axial loading. Consequently, the tube primarily undergoes localized deformation during impact rather than large-scale buckling or overall collapse. This phenomenon is consistently observed under various inner diameter conditions, indicating that the inner diameter (Di) is a key parameter influencing the crashworthiness of the tube.
4.5.2. Energy Absorption and Force
The SEA, as shown in Figure 12b, decreases with increasing wall thickness. This indicates a transition in the energy absorption mechanism: while absolute energy absorption may increase, the dominant deformation shifts from efficient, large-scale plastic folding to less mass-efficient localized deformation and even elastic response in thicker sections, thereby reducing the energy absorbed per unit mass.
Concurrently, both the MCF and the MIF increase significantly with wall thickness, as presented in Figure 12c,d. The enhanced structural stiffness stabilizes the crushing process and elevates the force level required to induce deformation. For example, at Di = 60 mm, the MCF at t = 1.0 mm is 230.7 kN, a 177% increase compared to its value at t = 0.5 mm. Similarly, for Di = 80 mm, the MIF increases by 174% from 75.6 kN to 207.3 kN over the same thickness range. Detailed data are provided in Table 8.
Table 8.
Effect of different wall thicknesses on impact resistance parameters.
In contrast to wall thickness, an increase in the Di leads to an improvement in SEA (see Figure 12b). This enhancement in mass efficiency is achieved through a reduction in structural mass while the total energy absorption capacity remains largely unaffected. For example, at t = 0.5 mm, the mass of the tube with Di = 80 mm is 22.5% lower than that with Di = 40 mm. Although this is accompanied by a 12.9% increase in crushing displacement, the net effect is a substantial 30.7% improvement in SEA.
The t and Di are two critical yet distinct design parameters. Increasing the wall thickness primarily enhances structural stiffness and force levels (i.e., MCF and MIF) but at the cost of reduced crushing displacement and lower mass efficiency (i.e., SEA). Conversely, increasing the inner diameter improves SEA by lightweighting the structure, albeit with an increase in crushing displacement. Therefore, achieving an optimal crashworthiness design requires a balanced consideration of the synergistic effects between wall thickness and internal diameter.
5. Multi-Objective Design Optimization
5.1. Optimization Problem Definition
The parametric analysis in Section 4 identifies the BCST configurations with N = 10 and N = 12 as exhibiting superior comprehensive crashworthiness. Furthermore, wall thickness (t) and inner diameter (Di) are established as the two most influential design parameters. To navigate the inherent design trade-offs and achieve a balanced performance, a multi-objective optimization framework is employed. The design objectives were defined as follows (see Equation (7)): to maximize the SEA and to minimize the crushing displacement (S), thereby pursuing an optimal combination of lightweight and structural effectiveness under axial impact. These ranges are selected to cover a wide yet practical design space based on the preliminary parameter study.
5.2. Surrogate Model Construction and Validation
To facilitate efficient optimization, a fourth-order response surface methodology (RSM) surrogate model is constructed to approximate the computationally expensive finite element simulations [35]. A full-factorial experimental design is utilized, generating 36 sample points by uniformly spacing the levels of t and Di across their defined ranges [36] (see Table 9 for details).
Table 9.
Distribution of inner diameter and wall thickness.
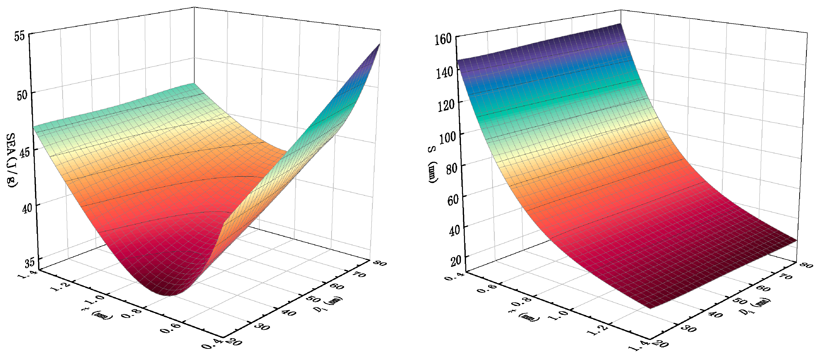
The accuracy of the developed surrogate models for SEA and S is rigorously evaluated. As summarized in Table 10, the models demonstrated high predictive capability, with satisfactory values of the coefficient of determination (R2), root mean square error (RMSE), and maximum absolute relative error (MARE). This confirms that the models are reliable for use in the subsequent optimization process. The response surfaces for the N = 10 and N = 12 configurations, visualized in Figure 13 and Figure 14, respectively, provide an intuitive understanding of the complex relationships between the design variables (t, Di) and the objective functions (SEA, S).
Table 10.
Accuracy of the surrogate models for the objective function SEA and S.
Figure 13.
Response surface curve (N = 10).
Figure 14.
Response surface curve (N = 12).
5.3. Optimization Results and Discussion
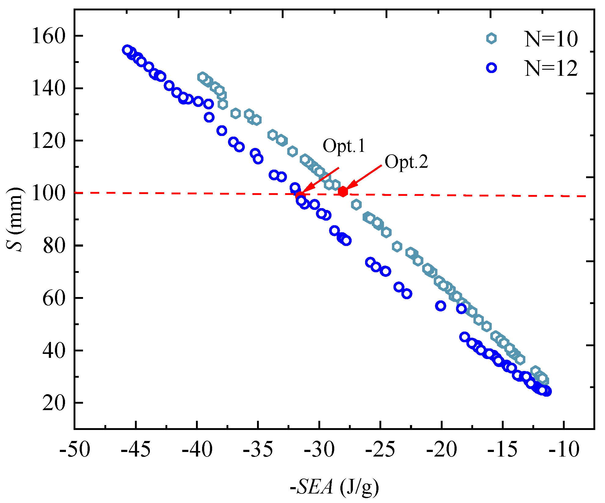
The multi-objective optimization yielded the Pareto fronts for the N = 10 and N = 12 BCSTs, as shown in Figure 15. The Pareto fronts clearly illustrate the fundamental trade-off between the two objectives: an increase in SEA is necessarily accompanied by an increase in crushing displacement S, and vice versa.
Figure 15.
Pareto front (N = 10, 12).
For engineering applications where structural integrity is critical, a constraint on the maximum allowable crushing displacement may be imposed. With a constraint of S ≤ 100 mm, the optimal solution is identified as the point on the Pareto front that maximizes SEA under this condition (indicated by the red solid points in Figure 15).
To validate the optimization results, two distinct points from the Pareto front were selected for full FE simulation. A comparison between the surrogate model predictions and the simulation results is presented in Table 11. The excellent agreement, with maximum errors for both SEA and S below 5%, verifies the high accuracy of the optimization framework.
Table 11.
Comparison between the optimization results and FE simulations (S ≤ 100 mm).
This multi-objective optimization study successfully demonstrates that a rational selection of wall thickness and inner diameter can tailor the crashworthiness of the bio-inspired corrugated sandwich tube to meet specific engineering requirements. The established framework provides a robust and efficient methodology for designing high-performance energy-absorbing structures.
6. Conclusions and Outlook
This study proposed a novel bio-inspired corrugated sandwich tube (BCST) by introducing a corrugated core between the inner and outer walls of a conventional double-circular tube to enhance crashworthiness. The axial impact performance was systematically investigated through finite element simulations, with optimal design parameters identified via multi-objective optimization. The main findings are summarized as follows:
- (1)
- The BCST exhibits a stable asymmetric diamond-shaped collapse mode under axial impact, contrasting with the symmetric accordion folding of conventional tubes. This results in a 29.1% reduction in crushing displacement and a 43.8% higher mean crushing force (MCF), demonstrating superior deformation stability and load-bearing capacity.
- (2)
- Material properties and cellular configuration are pivotal: higher material hardness (e.g., AA6061-T6) significantly increases the maximum impact force (MIF) and MCF while notably reducing crushing displacement. Increasing the number of bio-inspired cells from N = 2 to N = 12 elevates the MCF by 57.7% and dramatically improves the crush force efficiency (CFE) from 17% to 69%, due to the synergistic deformation of multiple cells which eliminates the destructive secondary peak force. However, this increase in cell number also leads to added mass, which reduces the specific energy absorption (SEA), highlighting a trade-off between stability and energy efficiency.
- (3)
- Geometric parameters critically influence performance: increasing the wall thickness (t) enhances structural stiffness, suppressing deformation, while a smaller inner diameter limits deformation space. Crucially, increasing the inner diameter (Di) improves mass efficiency, exemplified by a 30.7% increase in specific energy absorption (SEA) when the diameter increased from 40mm to 80mm at t = 0.5 mm, achieved through a 22.5% mass reduction.
- (4)
- A multi-objective optimization framework integrating a full-factorial design and the NSGA-II algorithm successfully generated a Pareto front of optimal parameters. The validation demonstrated high predictive accuracy, with all key parameter errors below 5%, providing engineers with a reliable and practical tool to select the best-performing design for specific crashworthiness requirements.
- (5)
- The BCST design shows strong potential for real-world applications, particularly in industries like automotive, aerospace, and civil engineering. Its superior energy absorption, stability, and lightweight properties make it ideal for crashworthy components. With the adoption of advanced manufacturing techniques, such as additive manufacturing, BCST can be produced more efficiently, supporting sustainable, high-performance, and lightweight structures for diverse applications.
The proposed biomimetic structure not only reduces SEA but also enhances stability, improves load uniformity, and minimizes failure displacement, making it a proven and reasonable choice for current biomimetic structural designs due to its excellent mechanical properties, weight efficiency, and machinability. Future research could explore integrating advanced materials, such as nanomaterials or composites, to further enhance the performance and broaden the applicability of BCST in real-world applications.
Author Contributions
All authors of this paper have made objective contributions within the scope of their respective job responsibilities, as detailed below: Conceptualization, J.L. and L.Z.; methodology, J.L. and F.-Q.L.; software, F.-Q.L.; validation, J.L., L.Z., and M.X.; Formal analysis, J.L. and F.-Q.L.; investigation, J.L. and F.-Q.L.; resources, F.-Q.L. and M.X.; data curation, F.-Q.L. and Y.-Q.Y.; writing—original draft preparation, F.-Q.L.; writing—review and editing, J.L., L.Z., M.X., and Y.-Q.Y.; project administration, L.Z.; funding acquisition, L.Z. All authors have read and agreed to the published version of the manuscript.
Funding
This research was funded by the China Postdoctoral Science Foundation (No. 2025M773301), the Foundation Postdoctoral Special Fund of Basic Research in Gansu Province (No. 25JRRA137), the Young Faculty Interdisciplinary Research Cultivation Program of Lanzhou University of Technology (No. LUTXKJC-25015), and the Hongliu Excellent Young Talent Support Program of Lanzhou University of Technology.
Data Availability Statement
The data presented in this study are available on request from the corresponding author and some of the data will be used subsequently for analyzing other research questions.
Acknowledgments
This article especially acknowledges the contributions of all the authors in the conception, data collection and analysis, and the writing process of this article.
Conflicts of Interest
The authors declare no conflicts of interest.
References
- Zheng, L.; Li, F.Q.; Wang, W.D.; Shi, Y.L. Bionic corrugated sandwich cylindrical tubes subjected to transverse impact. Structures 2024, 64, 106599. [Google Scholar] [CrossRef]
- Qi, C.; Sun, Y.; Yang, S. A Comparative Study on Empty and Foam-Filled Hybrid Material Double-Hat Beams under Lateral Impact. Thin-Walled Struct. 2018, 129, 327–341. [Google Scholar] [CrossRef]
- Alexander, J.M. An Approximate Analysis of the Collapse of Thin Cylindrical Shells under Axial Loading. Q. J. Mech. Appl. Math. 1960, 13, 10–15. [Google Scholar] [CrossRef]
- Abramowicz, W.; Jones, N. Dynamic Axial Crushing of Circular Tubes. Int. J. Impact Eng. 1984, 2, 263–281. [Google Scholar] [CrossRef]
- Abramowicz, W.; Jones, N. Dynamic Axial Crushing of Square Tubes. Int. J. Impact Eng. 1984, 2, 179–208. [Google Scholar] [CrossRef]
- Fan, Z.; Lu, G.; Yu, T.X.; Liu, K. Axial Crushing of Triangular Tubes. Int. J. Appl. Mech. 2013, 5, 1350008. [Google Scholar] [CrossRef]
- Eyvazian, A.; Habibi, M.K.; Hamouda, A.M.; Hedayati, R. Axial Crushing Behavior and Energy Absorption Efficiency of Corrugated Tubes. Mater. Des. 2014, 54, 1028–1038. [Google Scholar] [CrossRef]
- Zhang, X.; Zhang, H. Axial Crushing of Circular Multi-Cell Columns. Int. J. Impact Eng. 2014, 65, 110–125. [Google Scholar] [CrossRef]
- Zhang, X.; Zhang, H. Energy Absorption of Multi-Cell Stub Columns under Axial Compression. Thin-Walled Struct. 2013, 68, 156–163. [Google Scholar] [CrossRef]
- Qiu, N.; Gao, Y.K.; Fang, J.G.; Feng, Z.X.; Sun, G.Y.; Li, Q. Crashworthiness Analysis and Design of Multi-Cell Hexagonal Columns under Multiple Loading Cases. Finite Elem. Anal. Des. 2015, 104, 89–101. [Google Scholar] [CrossRef]
- Lu, R.H.; Liu, X.H.; Chen, S.D.; Hu, X.L.; Liu, L.Z. Axial Crashing Analysis for Tailor Rolled Square Tubes with Axially Graded Both Wall Thickness and Material Strength. Thin-Walled Struct. 2017, 117, 10–24. [Google Scholar] [CrossRef]
- Haridas, R.S.; Joarder, A.; Parameswaran, V. Evaluation of the Mean Crushing Load of Perforated Circular Tubes Undergoing Progressive Collapse. Int. J. Impact Eng. 2023, 172, 104419. [Google Scholar] [CrossRef]
- Xiao, Y.Y.; Yin, H.F.; Fang, H.B.; Wen, G.L. Crashworthiness Design of Horsetail-Bionic Thin-Walled Structures under Axial Dynamic Loading. Int. J. Mech. Mater. Des. 2016, 12, 563–576. [Google Scholar] [CrossRef]
- Song, J.F.; Xu, S.C.; Wang, H.X.; Wu, X.Q.; Zou, M. Bionic Design and Multi-Objective Optimization for Variable Wall Thickness Tube Inspired Bamboo Structures. Thin-Walled Struct. 2018, 125, 76–88. [Google Scholar] [CrossRef]
- Fu, J.; Liu, Q.; Liufu, K.M.; Deng, Y.C.; Fang, J.G.; Li, Q. Design of Bionic-Bamboo Thin-Walled Structures for Energy Absorption. Thin-Walled Struct. 2019, 135, 400–413. [Google Scholar] [CrossRef]
- Duan, Y.; Zhang, T.; Zhou, J.; Xiao, H.; Chen, X.; Teneiji, M.A.; Guan, Z.W.; Gantwell, W.J. Energy-Absorbing Characteristics of Hollow-Cylindrical Hierarchical Honeycomb Composite Tubes Inspired a Beetle Forewing. Compos. Struct. 2021, 278, 114637. [Google Scholar] [CrossRef]
- Ha, N.S.; Pham, T.M.; Chen, W.S.; Hao, H.; Lu, G.X. Crashworthiness Analysis of Bio-Inspired Fractal Tree-Like Multi-Cell Circular Tubes under Axial Crushing. Thin-Walled Struct. 2021, 169, 108315. [Google Scholar] [CrossRef]
- Hu, J.K.; Xu, P.; Fan, Z.Q.; Li, Y.Z.; Tan, X.L. Axial Compression Response of Multi-Cell Tube Reinforced by Parallel Leaf Veins Inspired Secondary Ribs. Thin-Walled Struct. 2023, 185, 110557. [Google Scholar] [CrossRef]
- Liu, B.; Xu, X.H. Experimental and Numerical Study on Crashworthiness of Bionic Hedgehog Spine Thin-Walled Structures. Thin-Walled Struct. 2023, 189, 110892. [Google Scholar] [CrossRef]
- Huang, H.; Xu, S.C. Crashworthiness Analysis and Bionic Design of Multi-Cell Tubes under Axial and Oblique Impact Loads. Thin-Walled Struct. 2019, 144, 106333. [Google Scholar] [CrossRef]
- Song, J.F.; Xu, S.C.; Liu, S.F.; Zou, M. Study on the Crashworthiness of Bio-Inspired Multi-Cell Tube under Axial Impact. Int. J. Crashworthiness 2022, 27, 390–399. [Google Scholar] [CrossRef]
- Zhang, W.; Xu, J.; Yu, T.X. Dynamic Behaviors of Bio-Inspired Structures: Design, Mechanisms, and Models. Eng. Struct. 2022, 265, 114490. [Google Scholar] [CrossRef]
- Weaver, J.C.; Milliron, G.W.; Miserez, A.; Evans-Lutterodt, K.; Herrera, S.; Gallana, I.; Mershon, W.J.; Swanson, B.; Zavattieri, P.; DiMasi, E.; et al. The Stomatopod Dactyl Club: A Formidable Damage-Tolerant Biological Hammer. Science 2012, 336, 1275–1280. [Google Scholar] [CrossRef]
- Patek, S.N.; Korff, W.L.; Caldwell, R.L. Deadly Strike Mechanism of a Mantis Shrimp. Nature 2004, 428, 819–820. [Google Scholar] [CrossRef]
- Yaraghi, N.A.; Guarín-Zapata, N.; Grunenfelder, L.K.; Hintsala, E.; Bhowmick, S.; Hiller, J.M.; Betts, M.; Principe, E.L.; Jung, J.Y.; McKittrick, J.; et al. A Sinusoidally Architected Helicoidal Biocomposite. Adv. Mater. 2016, 28, 6835–6844. [Google Scholar] [CrossRef]
- Zhu, P.H.; Zhang, Q.L.; Xu, H.J.; Ouyang, Y.W. Experimental and Numerical Investigation on Plasticity and Fracture Behaviors of Aluminum Alloy 6061-T6 Extrusions. Arch. Civ. Mech. Eng. 2021, 21, 88. [Google Scholar] [CrossRef]
- Lee, S.O.; Kim, H.G.; Kim, S.M. Dynamic Deformation Behavior of Aluminum Alloys Under High Strain Rate Compressive/Tensile Loading. J. Mech. Sci. Technol. 2003, 17, 787–795. [Google Scholar] [CrossRef]
- Zheng, L.; Li, F.Q.; Wang, W.D. A Honeycomb Panel-Based Protective Device for Steel Parking Structure against Transverse Impact. J. Constr. Steel Res. 2023, 211, 108203. [Google Scholar] [CrossRef]
- Zhang, Y.; Wang, J.; Wang, C.H.; Zeng, Y.; Chen, T.T. Crashworthiness of Bionic Fractal Hierarchical Structures. Mater. Des. 2018, 158, 147–159. [Google Scholar] [CrossRef]
- Huang, H.; Yang, X.T.; Yan, Q.H.; Xiang, Z.X.; Xu, S.C. Crashworthiness Analysis and Multiobjective Optimization of Bio-Inspired Sandwich Structure under Impact Load. Thin-Walled Struct. 2022, 172, 108840. [Google Scholar] [CrossRef]
- Li, Z.X.; Yao, S.G.; Ma, W.; Xu, P.; Che, Q.W. Energy-Absorption Characteristics of a Circumferentially Corrugated Square Tube with a Cosine Profile. Thin-Walled Struct. 2019, 135, 385–399. [Google Scholar] [CrossRef]
- Qi, C.; Yang, S.; Dong, F.L. Crushing Analysis and Multiobjective Crashworthiness Optimization of Tapered Square Tubes under Oblique Impact Loading. Thin-Walled Struct. 2012, 59, 103–119. [Google Scholar] [CrossRef]
- Esa, M.; Xue, P.; Zahran, M.; Abdelwahab, M.; Khail, M. Novel Strategy Using Crash Tubes Adaptor for Damage Levels Manipulation and Total Weight Reduction. Thin-Walled Struct. 2017, 111, 176–188. [Google Scholar] [CrossRef]
- Li, X.H.; Yin, Y.; Zhu, X.; Wang, R.; Li, T.Y.; Zhang, Q.; Li, W.B. Performance of Hollow and Aluminum Foam-Filled Multi-Cell Thin-Walled Aluminum Alloy Tubes (6063-T5) under Axial Impact. Structures 2023, 47, 1803–1821. [Google Scholar] [CrossRef]
- Abdullah, K.; Coit, D.W.; Smith, A.E. Multi-Objective Optimization Using Genetic Algorithms: A Tutorial. Reliab. Eng. Syst. Saf. 2006, 91, 992–1007. [Google Scholar] [CrossRef]
- Yin, H.F.; Xiao, Y.Y.; Wen, G.L.; Qing, Q.X.; Wu, X. Crushing Analysis and Multi-Objective Optimization Design for Bionic Thin-Walled Structure. Mater. Des. 2015, 87, 825–834. [Google Scholar] [CrossRef]
Disclaimer/Publisher’s Note: The statements, opinions and data contained in all publications are solely those of the individual author(s) and contributor(s) and not of MDPI and/or the editor(s). MDPI and/or the editor(s) disclaim responsibility for any injury to people or property resulting from any ideas, methods, instructions or products referred to in the content. |
© 2025 by the authors. Licensee MDPI, Basel, Switzerland. This article is an open access article distributed under the terms and conditions of the Creative Commons Attribution (CC BY) license (https://creativecommons.org/licenses/by/4.0/).














