Seismic Resilience and Post-Earthquake Sustainability Evaluation of Long-Span Deck-Type Reinforced Concrete Arch Bridges
Abstract
1. Introduction
- (1)
- An improved resilience assessment method that incorporates multiple functional recovery patterns (exponential, linear, triangular) and a weighted composite approach based on damage probability, providing a more realistic representation of the restoration process;
- (2)
- The integration of environmental and social sustainability indicators into the post-earthquake evaluation, enabling a comprehensive impact assessment;
- (3)
- A systematic investigation into the influence of the rise-to-span ratio on seismic resilience, offering practical insights for the design of such bridges in seismic-prone regions.
2. Seismic Resilience Assessment Method
2.1. Definition of Resilience
2.2. Post-Earthquake Functional Loss Function
2.3. Functional Recovery Function
2.4. Damage State Definitions for Deck-Type Reinforced Concrete Arch Bridges
3. Post-Earthquake Sustainability Assessment
3.1. Post-Earthquake Social Indicator Analysis
3.2. Post-Earthquake Environmental Indicator Analysis
4. Engineering Case Analysis
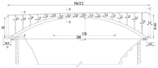
4.1. Project Overview and Finite Element Model Establishment
4.2. Seismic Vulnerability and Functional Loss Analysis of the Long-Span Deck-Type Reinforced Concrete Arch Bridge
4.2.1. Seismic Vulnerability Analysis
4.2.2. Functional Loss Analysis
4.3. Seismic Resilience Analysis of the Deck-Type Reinforced Concrete Arch Bridge
4.3.1. Influence of Recovery Functions on Seismic Resilience
4.3.2. Influence of Rise-to-Span Ratio on Seismic Resilience
4.4. Post-Earthquake Sustainability Assessment of the Long-Span Deck-Type Reinforced Concrete Arch Bridge
5. Discussion
5.1. Conclusions
- (1)
- The exceedance probability for minor damage in deck-type reinforced concrete arch bridges increases rapidly with PGA. The significant difference between the upper and lower bounds of vulnerability curves from minor to moderate to severe damage indicates strong safety reserves after components enter the minor damage state. Under the same PGA, the system vulnerability is greater than that of individual components, and the vulnerability of bearings is greater than that of the main arch ring and columns.
- (2)
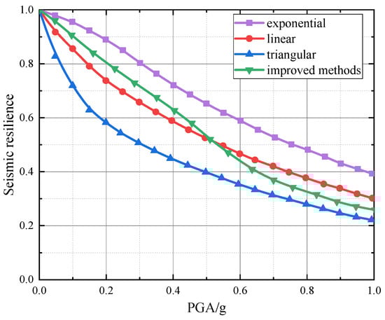
- The seismic resilience of deck-type reinforced concrete arch bridges decreases with increasing PGA, showing a trend that is initially rapid and then slows down. The exponential recovery function yields the highest resilience, followed by the linear function, and the triangular function yields the lowest. The improved method’s resilience lies between the exponential and triangular functions and aligns with the failure pattern of the bridges, suggesting its potential as a more nuanced assessment approach within the context of the adopted numerical model.
- (3)
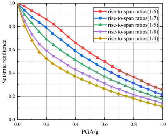
- The rise-to-span ratio significantly affects seismic resilience. A ratio of 1/6 yields the highest resilience, followed by 1/7, 1/5, 1/8, and 1/4.
- (4)
- Under seismic action, the environmental cost caused by damage to the main arch ring is significantly greater than that caused by damage to columns and bearings, and the environmental cost due to column damage is greater than that due to bearing damage. Post-earthquake time loss is primarily controlled by damage to the main arch ring.
5.2. Limitations and Future Research
- (1)
- This study presents an integrated framework for assessing seismic resilience and sustainability, demonstrating its application to a long-span deck-type reinforced concrete arch bridge. However, certain limitations should be noted. The finite element model assumed fixed boundary conditions at the arch abutments, neglecting soil–structure interaction (SSI). Given the current focus of the research scope, this simplification is considered acceptable, but it may lead to an overestimation of the overall structural stiffness and affect the calculated seismic requirements. Future research should incorporate SSI effects, particularly for bridges on softer soils, to enhance the realism of the seismic response analysis and generalize the findings.
- (2)
- Regarding the sustainability evaluation, the scope of the environmental impact assessment is a recognized limitation. This study focused specifically on the CO2 emissions generated from vehicle detours during the post-earthquake operational phase. While this effectively captures one significant environmental consequence of traffic disruption, it does not encompass the full life-cycle environmental costs, such as those associated with the embodied energy and carbon of repair materials, waste generated from demolition and reconstruction, or energy consumption during the repair operations. Future research should aim to integrate these broader life-cycle assessment (LCA) principles to achieve a more complete and robust evaluation of post-earthquake environmental sustainability.
- (3)
- This study presents the development and application of an integrated assessment framework. It is important to note that the quantitative results and specific conclusions are derived from a single case study. While Shatuo Bridge is representative of its typology, the generalizability of the absolute values of resilience, sustainability costs, and the optimal rise-to-span ratio to other long-span deck-type reinforced concrete arch bridges with different geometries, site conditions, or traffic patterns should be further investigated through parametric studies or applications to multiple bridges. Furthermore, the findings are based on numerical simulations and have not been validated against experimental data or observed seismic performance from actual earthquakes. Collecting such data for rare events on large-scale infrastructure is challenging, but future validation efforts, perhaps through large-scale testing or detailed post-earthquake reconnaissance, would significantly strengthen the confidence in the predictive capabilities of the framework.
- (4)
- The sustainability assessment conducted in this study has several limitations that also define avenues for future research. Firstly, it focuses on social (time loss) and environmental (CO2 emissions) indicators but does not include an economic cost–benefit analysis of repair strategies or overall economic disruption, which is a critical component of full sustainability. Secondly, the assessment is static; it calculates total impacts but does not dynamically couple the reduction in these impacts with the restoration of functionality over time (resilience–time coupling). Modeling this coupling would provide a more integrated view of the recovery process. Finally, the analysis is deterministic and does not quantify the uncertainties associated with key input parameters (e.g., traffic volume, emission factors, repair durations). A probabilistic or robust optimization approach would be needed to account for this uncertainty and enhance the reliability of the sustainability estimates. Addressing these aspects—economic cost, dynamic coupling, and uncertainty quantification—will be the focus of subsequent research to achieve a more comprehensive sustainability evaluation.
Author Contributions
Funding
Data Availability Statement
Conflicts of Interest
References
- Shi, J.X.; Majid, T.A.; Ran, Z.H.; Lin, F. Seismic Performance Evaluation of Low-Strength Precast Reinforced Concrete Arch Bridge Columns. J. Earthq. Eng. 2025, 1–19. [Google Scholar] [CrossRef]
- Cardaci, A.; Versaci, A.; Azzola, P. Mathematics and Geometry in the Nembro Reinforced Concrete Arch Bridge. Nexus Netw. J. 2023, 25 (Suppl. 1), 351–358. [Google Scholar] [CrossRef]
- Li, S.Q.; Zhong, J. Development of a seismic vulnerability and risk model for typical bridges considering innovative intensity measures. Eng. Struct. 2024, 302, 117431. [Google Scholar] [CrossRef]
- Chen, M.; Mangalathu, S.; Jeon, J.S. Bridge fragilities to network fragilities in seismic scenarios: An integrated approach. Eng. Struct. 2021, 237, 112212. [Google Scholar] [CrossRef]
- Deng, K.; Yan, G.; Yang, H.; Zhao, C. RC arch bridge seismic performance evaluation by sectional NM interaction and coupling effect of brace beams. Eng. Struct. 2019, 183, 18–29. [Google Scholar] [CrossRef]
- Farahani, E.M.; Maalek, S. An investigation of the seismic behavior of a deck-type reinforced concrete arch bridge. Earthq. Eng. Eng. Vib. 2017, 16, 609–625. [Google Scholar] [CrossRef]
- Mehrbod, A.; Behnamfar, F.; Aziminejad, A.; Hashemol-Hosseini, H. Seismic vulnerability assessment of stone arch bridges by nonlinear dynamic analysis using discrete element method. Int. J. Archit. Herit. 2023, 17, 1791–1812. [Google Scholar] [CrossRef]
- Aldabagh, S.; Khan, S.; Hossain, F.; Alam, M.S. Performance-based seismic assessment and design of long-span concrete deck arch bridges. J. Bridge Eng. 2023, 28, 04023077. [Google Scholar] [CrossRef]
- Xu, L.; Xu, L.; Xie, D.; Zhou, J. Seismic risk assessment methodology for large-span CFST arch bridges in near-fault areas based on fragility analysis. Struct. Saf. 2025, 118, 102656. [Google Scholar] [CrossRef]
- Yazdani, M.; Jahangiri, V.; Marefat, M.S. Seismic performance assessment of plain concrete arch bridges under near-field earthquakes using incremental dynamic analysis. Eng. Fail. Anal. 2019, 106, 104170. [Google Scholar] [CrossRef]
- Fang, D.P.; Li, Q.W.; Li, N.; Wang, F.; Liu, Y.; Gu, D.; Sun, C.; Pan, S.; Hou, G.; Wang, F.; et al. Community earthquake safety toughness assessment system and application demonstration. Eng. Mech. 2020, 37, 28–44. (In Chinese) [Google Scholar] [CrossRef]
- Kazemi, F.; Asgarkhani, N.; Jankowski, R. Machine learning-based seismic fragility and seismic vulnerability assessment of reinforced concrete structures. Soil Dyn. Earthq. Eng. 2023, 166, 107761. [Google Scholar] [CrossRef]
- Huang, C.; Huang, S. Seismic resilience assessment of aging bridges with different failure modes. Structures 2021, 33, 3682–3690. [Google Scholar] [CrossRef]
- Capacci, L.; Biondini, F.; Titi, A. Lifetime seismic resilience of aging bridges and road networks. Struct. Infrastruct. Eng. 2020, 16, 266–286. [Google Scholar] [CrossRef]
- Wei, B.; Jia, J.; Bai, Y.; Du, X.; Guo, B.; Guo, H. Seismic resilience assessment of bridges considering both maximum and residual displacements. Eng. Struct. 2023, 291, 116420. [Google Scholar] [CrossRef]
- Wu, D.; Li, Z.X.; Ding, Y.; Su, L. Time-dependent seismic fragility and resilience assessment of a sea-crossing cable-stayed bridge under combined effects of corrosion and scour. Eng. Struct. 2025, 340, 120702. [Google Scholar] [CrossRef]
- Mata, R.; Nuñez, E.; Amaya, E.; Rojas-Asuero, H.; Santa-María, H.; Vicencio, F. Seismic resilience of simply supported bridges subjected to subduction earthquakes. Structures 2025, 79, 109408. [Google Scholar] [CrossRef]
- Yang, G.J.; Ye, S.; Li, X.M. Time-varying seismic toughness analysis of RC bridge piers under chloride ion erosion. J. Huazhong Univ. Sci. Technol. (Nat. Sci. Ed.) 2023, 51, 60–66. (In Chinese) [Google Scholar] [CrossRef]
- Navarro, I.J.; Penadés-Plà, V.; Martínez-Muñoz, D.; Rempling, R.; Yepes, V. Life cycle sustainability assessment for multi-criteria decision making in bridge design: A review. J. Civ. Eng. Manag. 2020, 26, 690–704. [Google Scholar] [CrossRef]
- Fu, Z.J.; Gao, R.; Li, Y.M. Measuring seismic resilience of building portfolios based on innovative damage ratio assessment model. Structures 2021, 30, 1109–1126. [Google Scholar] [CrossRef]
- Tehrani, P.; Mitchell, D. Seismic response of bridges subjected to different earthquake types using IDA. J. Earthq. Eng. 2013, 17, 423–448. [Google Scholar] [CrossRef]
- Cimellaro, G.P.; Reinhorn, A.M.; Bruneau, M. Seismic resilience of a hospital system. Struct. Infrastruct. Eng. 2010, 6, 127–144. [Google Scholar] [CrossRef]
- Li, Y.M. Study on Evaluation Method of Seismic Toughness of Structure During Whole Life Cycle. Master’s Thesis, Guangzhou University, Guangzhou, China, 2023. (In Chinese) [Google Scholar] [CrossRef]
- Li, X.Z.; Liu, M.; Yang, D.H.; Dai, S.Y.; Xiao, L. Earthquake damage evolution simulation of long-span upper bearing steel truss arch bridge. J. Southwest Jiaotong Univ. 2020, 55, 1207–1214+1223. (In Chinese) [Google Scholar] [CrossRef]
- Jiang, Z.Z.; Li, Y.Y.; Sun, Q.F.; Fan, Y. Research on theoretical model of highway bridge capacity after earthquake. J. Disaster Prev. Reduct. Eng. 2015, 35, 226–231. (In Chinese) [Google Scholar] [CrossRef]









| Damage Level | Slight Damage (i = 1) | Moderate Damage (i = 2) | Severe Damage (i = 3) | Complete Damage (i = 4) |
| Functionality Loss Ratio (k) | 0.15 | 0.3 | 0.6 | 1.0 |
| Damage State | Main Arch Ring | Columns | Bearings | |||
|---|---|---|---|---|---|---|
| Rebar Strain ε1 | Concrete Strain ε2 | Rebar Strain ε1 | Concrete Strain ε2 | Displacement d1 (Sliding Dir.)/mm | Displacement d2 (Fixed Dir.)/mm | |
| Slight Damage | ε1 ≤ 0.01 | ε2 ≤ 0.0035 | ε1 ≤ 0.01 | ε2 ≤ 0.0035 | d1 ≤ 130 | d2 ≤ 4 |
| Moderate Damage | 0.01 < ε1 ≤ 0.03 | 0.0035 < ε2 ≤ 0.0050 | 0.01 < ε1 ≤ 0.03 | 0.0035 < ε2 ≤ 0.0050 | 130 < d1 ≤160 | 4 < d2 ≤6 |
| Severe Damage | 0.03 < ε1 ≤ 0.05 | 0.0050 < ε2 ≤ 0.0080 | 0.03 < ε1 ≤ 0.05 | 0.0050 < ε2 ≤ 0.0080 | 160 < d1 ≤200 | 6 < d2 ≤8 |
| Complete Damage | ε1 > 0.05 | ε2 > 0.0080 | ε1 > 0.05 | ε2 > 0.0080 | d1 > 200 | d2 > 8 |
| Damage Level | Slight Damage | Moderate Damage | Severe Damage | Complete Damage |
|---|---|---|---|---|
| Traffic Capacity | 0.8 | 0.5 | 0 | 0 |
| ADE | 4000 | 2500 | 0 | 0 |
| ADD | 1000 | 2500 | 5000 | 5000 |
| Ground Motion Name | PGA/g | Ground Motion Name | PGA/g |
|---|---|---|---|
| Anza | 0.065 | San Francis | 0.247 |
| Lytle Creek | 0.071 | Fcy-Foster City | 0.266 |
| Gengma2 | 0.092 | Parkfield Fault Zone | 0.272 |
| N. Palm | 0.099 | Ittier Narrows | 0.296 |
| Chi-Chi | 0.107 | Butterworth | 0.325 |
| Fairview Ave | 0.129 | Jan | 0.334 |
| Holliater | 0.132 | Arleta | 0.35 |
| Whittier | 0.139 | San Fernando | 0.377 |
| Gengmaa | 0.143 | Topanga Canyon Blvd | 0.427 |
| La Union | 0.15 | Loma Prieta Usc | 0.435 |
| Ei Centor | 0.175 | Rinaldi R. | 0.45 |
| Fsd-Santa | 0.177 | Saticoy St | 0.464 |
| Los Angeles | 0.179 | Zhutang A | 0.553 |
| Llolleo | 0.206 | Kobe | 0.572 |
| San Gabriel | 0.21 | 17-Jan | 0.776 |
| Miyagi-Oki | 0.211 | Sichuan | 1.000 |
Disclaimer/Publisher’s Note: The statements, opinions and data contained in all publications are solely those of the individual author(s) and contributor(s) and not of MDPI and/or the editor(s). MDPI and/or the editor(s) disclaim responsibility for any injury to people or property resulting from any ideas, methods, instructions or products referred to in the content. |
© 2025 by the authors. Licensee MDPI, Basel, Switzerland. This article is an open access article distributed under the terms and conditions of the Creative Commons Attribution (CC BY) license (https://creativecommons.org/licenses/by/4.0/).
Share and Cite
Guo, J.; Zou, Y.; Zhang, J.; Zhang, Z.; Peng, W.; Zeng, G. Seismic Resilience and Post-Earthquake Sustainability Evaluation of Long-Span Deck-Type Reinforced Concrete Arch Bridges. Buildings 2025, 15, 4128. https://doi.org/10.3390/buildings15224128
Guo J, Zou Y, Zhang J, Zhang Z, Peng W, Zeng G. Seismic Resilience and Post-Earthquake Sustainability Evaluation of Long-Span Deck-Type Reinforced Concrete Arch Bridges. Buildings. 2025; 15(22):4128. https://doi.org/10.3390/buildings15224128
Chicago/Turabian StyleGuo, Jiping, Yunfeng Zou, Jijin Zhang, Zujun Zhang, Wenping Peng, and Guoliang Zeng. 2025. "Seismic Resilience and Post-Earthquake Sustainability Evaluation of Long-Span Deck-Type Reinforced Concrete Arch Bridges" Buildings 15, no. 22: 4128. https://doi.org/10.3390/buildings15224128
APA StyleGuo, J., Zou, Y., Zhang, J., Zhang, Z., Peng, W., & Zeng, G. (2025). Seismic Resilience and Post-Earthquake Sustainability Evaluation of Long-Span Deck-Type Reinforced Concrete Arch Bridges. Buildings, 15(22), 4128. https://doi.org/10.3390/buildings15224128

