Abstract
Based on the concept of integrated communities, this study focuses on improving public service facilities and perfecting convenient service facilities within integrated communities. Taking the central area of Nanchang’s old city as the research subject, the paper analyzes the configuration of public service facilities in 186 communities within this area and examines the correlation of configuration indicators. On the basis of data analysis, five communities with different allocation levels were selected for verification. The verification results show that field research and data analysis mutually confirm each other, and there is a positive correlation between the allocation level and the overall community environment. Combining data analysis and community verification, this study proposes two paths for integrated community construction oriented toward facility optimization and allocation level improvement, providing more operable theoretical support and practical guidance for the construction of integrated communities.
1. Introduction
The old urban area of Nanchang has developed rapidly, shifting from a phase of incremental expansion to one of stock optimization. Top-down planning and design, combined with the existing building conditions, have jointly shaped the landscape of the city’s old urban area. Problems such as the aging of basic service facilities and the uneven and insufficient allocation of such facilities in old urban communities have become increasingly prominent. Mr. Wu was the first to put forward the concept of “integrated communities”. He argued that “humans are the core of a city, communities are the most fundamental living spaces for humans, and the vital interests of grassroots residents serve as the starting point for the planning and construction of integrated communities” [1]. In December 2019, the National Housing and Urban-Rural Development Work Conference proposed the concept of integrated communities and vigorously advanced pilot projects. In August 2020, the Ministry of Housing and Urban-Rural Development issued the Standards for the Construction of Integrated Residential Communities (Trial). In December 2021, the Ministry of Housing and Urban-Rural Development distributed the Guidelines for the Construction of Integrated Residential Communities (hereinafter referred to as the “Guidelines”), which clarifies the connotation, requirements, construction guidelines, and other key aspects of integrated communities, thereby providing standards for the construction of integrated communities.
An integrated community refers to an urban social unit that achieves a high level of balance across three dimensions: equal public services, residents’ life satisfaction, and sound governance systems [2]. A livable environment where “benevolence fosters a harmonious community” is what citizens aspire to. Under the context of integrated community development, exploring how to address the issues of renewal and optimization in the era of urban stock development is worthy of in-depth discussion.
Zhang Lemin et al. established an assessment system for integrated communities, incorporating medical facility coverage and public space accessibility into quantitative evaluation and promoting a closed loop of “problem diagnosis–governance optimization” [3]. Han Shuai et al. proposed a “system–behavior–space” analytical framework, revealing the evolution from “systems governing life” to “life-driven institutional adjustments,” enriching the theoretical foundation of integrated communities [2].
Recent studies emphasize flexible planning and innovative governance mechanisms. Shi Jianren, taking Yiwu as a case, developed a flexible planning model for medical facilities covering “allocation–site selection–construction–function,” integrating GIS to meet the needs of aging and public health [4]. Sun Yijing, in Guangzhou’s historical district renewal, proposed a “catalytic element implantation + multi-stakeholder co-governance” model, balancing heritage protection and community vitality [5].
Yang Yujun et al. analyzed Xi’an’s elderly care facilities using questionnaires and cluster analysis, identifying demand differences and proposing optimization strategies for facility quantity, layout, quality, and management [6]. Eddie Chi-man Hui et al. and Cheng Xiuying et al. highlighted resident participation as key to community regeneration and cohesion in Xiamen and Southwest China [7,8]. Song Lu et al. developed the MGH3SFCA model to evaluate service facility supply–demand matching in Nanjing, revealing mismatched accessibility and undersupply of medical services, supporting targeted allocation in 15 min life circles [9].
Currently, most studies on integrated communities focus on the establishment of community evaluation systems, the exploration of implementation paths, and the renewal and transformation of single or multiple communities. However, studies that utilize the construction standards for integrated communities to conduct comprehensive diagnosis and analysis of issues at the urban regional scale and propose corresponding optimization strategies remain scarce.
In view of this, this paper takes the old city center of Nanchang as its research object. In accordance with the standards for improving basic public service facilities outlined in the “Guidelines”, it conducts diagnostic analysis on Nanchang’s urban spatial data using ArcGIS Pro 3.5 and selects 5 representative communities for verification. Based on this analysis and verification, the paper proposes construction paths, respectively, oriented towards overall type optimization and allocation level improvement, aiming to promote the development of integrated residential communities in the old city center of Nanchang.
2. Materials and Methods
2.1. Study Area
As shown in Figure 1, the study area is the old city center of Nanchang, defined in accordance with the Nanchang Territorial Spatial Master Plan (2021–2035). Centered on Bayi Square, it includes the southern part of the Ganjiang River in East Lake District, the western part of the Fuhe River in Xihu District, Shanghai Road Sub-district in Qingshanhu District, and the northeastern part of Qingyunpu District.
Figure 1.
Study Area: Old City Center of Nanchang.
As shown in Figure 2, the research objects cover 186 communities across 16 sub-districts within the aforementioned scope, with the specific names of the communities listed in Table 1.
Figure 2.
Research Objects: All Communities within the Study Area.
Table 1.
Summary of Communities within the Study Area.
2.2. Definition of Indicators
An Integrated Residential Community refers to a community where essential public service facilities, convenient commercial service facilities, municipal infrastructure, adequate public activity spaces, comprehensive property management, and a sound community management system are all within walking distance for residents [10,11,12,13,14]. Additionally, the community fosters a strong sense of belonging and identity among its residents. The “Guidelines” specify six key construction goals for an Integrated Residential Community, namely:
- (1)
- the provision of well-established basic public service facilities.
- (2)
- the establishment of convenient service facilities.
- (3)
- the completion of municipal infrastructure.
- (4)
- the availability of sufficient public activity spaces.
- (5)
- comprehensive property management coverage.
- (6)
- a sound community management mechanism.
Under each construction goal, specific content is subdivided. Some of these are easier to quantify and analyze at the planning scale and are thus considered explicit indicators. For example, under the goal of well-established basic public service facilities, explicit indicators include community service centers, kindergartens, and health service stations. On the other hand, some elements are not easily quantifiable at the planning scale and thus belong to implicit indicators. For instance, under the goal of completing municipal infrastructure, implicit indicators include accessible facilities [15,16,17], community public activity spaces and green spaces [18,19,20]; other goals that are also less quantifiable include full coverage of property management and a sound community management mechanism [21,22,23,24]. This paper primarily focuses on explicit indicators that can be quantified at the planning scale and will conduct data processing and spatial data analysis on these explicit indicators. Implicit indicators that are difficult to quantify are not the main focus of this study.
For the study of service facility configuration in the central area of Nanchang’s old city, based on the “Guidelines”, an “Eight-Fulfillment” indicator system for the service facilities of Integrated Residential Communities is proposed (see Table 2). The focus is on the construction goals of well-established basic public service facilities and well-developed convenient commercial service facilities. The “Eight-Fulfillment” refers to the completeness of eight service facilities within a single community, namely: community service centers, kindergartens, nurseries, senior service stations, community health service stations, general supermarkets, express delivery stations, and other convenient commercial service points. The “Guidelines” stipulate that senior service stations and nurseries should be integrated with community service centers. Therefore, during data analysis, community service centers, senior service stations, and nurseries will be merged for calculation. The following analysis will focus on the configuration of these eight types of service facilities across various communities in the central area of Nanchang’s old city.
Table 2.
“Eight-Fulfillment” Service Facility Configuration System for Integrated Residential Communities.
2.3. Research Methods
The research methods in this paper are shown in Figure 3 and are centered around the Integrated Residential Community Construction Standards. The process unfolds in three steps: “Data Acquisition—Processing and Analysis—Verification and Optimization”.
Figure 3.
Methodological framework.
In terms of data sources, 297,646 points of data were crawled from the Baidu Map POI database. Community service facilities within the old urban central area of Nanchang were extracted through spatial range filtering, and POI data unrelated to basic and convenient service facilities were excluded through type selection. Finally, experimental data meeting the requirements of the “Guideline” were further screened based on indicator definitions. After data cleaning according to three criteria—research scope, facility type selection, and guideline indicators—a total of 183 community service center POIs, 197 general supermarket POIs, 99 kindergarten POIs, and other experimental data were extracted.
During the data analysis phase, 186 communities were taken as the research subjects. Based on the “Integrated Residential Community Construction Guidelines”, community configuration analysis was conducted, community configuration levels were defined, and the correlation between the configuration level, individual community facilities, and community area factors was further analyzed.
For the community verification step, five communities with different configuration levels were selected: Huiminmen Community, Wanshougong Community, Gongjian Community, Hengmao Huacheng Community, and Provincial Government Compound No. 2 Community. Field surveys were conducted to collect the actual configuration data, which were then compared with the data analysis results to verify the accuracy of the configuration levels and explore the correlation between the configuration level and the community environment. Finally, based on both the data analysis and community verification results, an Integrated Residential Community construction path is proposed from two perspectives: type optimization and configuration level growth.
3. Analysis and Results
3.1. Service Facility Configuration Analysis and Results
3.1.1. Data of Service Facilities Processing Principles
Before analyzing the data of community service facilities within the research subjects, the following processing and selection principles are referenced from the “Guidelines” for the eight types of service facilities within the community:
The Community Service Center, Nursery, and Senior Service Station can be combined. That is, the functions of the nursery and senior service station can be included within the community service center based on demand. When calculating the service facility compliance rate, the community service center’s compliance with the configuration requirements also counts as meeting the requirements for the nursery and senior service station.
The Community Health Service Station in the “Guidelines” refers to medical service facilities that serve residents within a certain range in the community. Therefore, when processing this data, the focus is on health service stations and clinics within the community, excluding the impact of large comprehensive hospitals, specialty hospitals, beauty clinics, wellness centers, and other medical facilities outside the community on the calculation of compliance with the Integrated Community Service Facility Configuration Rate.
Similarly, following the “Guidelines”, when filtering data for General Supermarkets, small convenience stores and single-product retail supermarkets (such as flower shops, fruit shops, etc.) were excluded. These types of facilities are counted in the Convenient Service Points indicator, not in the General Supermarket indicator.
Data for Kindergartens, Postal Services, and Express Delivery Services are clearly defined, with complete and clear data.
Other convenient commercial service points include resident-oriented outlets such as barber shops, laundries, pharmacies, repair shops, household service outlets, restaurants, and others. Given their diversity and large quantity, this indicator is calculated based on the average number of convenient service points within communities in the study area.
3.1.2. Service Facility Configuration Levels
Based on the service facility configuration in the central area of Nanchang’s old city, the 186 communities within the study area were graded into nine levels of service facility configuration, as shown in Table 3.
Table 3.
Detailed Rules for Service Facility configuration levels.
3.1.3. Results of Configuration Level Analysis
As shown in Figure 4 and Figure 5, the analysis results indicate that among the 186 communities, 10 communities (5.38%) are graded at Level 8, where all eight indicators meet the service facility configuration requirements for integrated communities. These include Zhangjiang Road Community of Tengwangge Sub-district, Provincial Government Compound No. 2 Community of Dayuan Sub-district, Xinhua Community of Dongjiayao Sub-district, and Guangming Community of Pengjiaqiao Sub-district in Donghu District; Luojiahuayuan Community and Chuanshan Community of Nanpu Sub-district, and Nanchai Community of Dinggong Road Sub-district in Xihu District; as well as Banbianjie Community of Shanghai Road Sub-district, Gongrenxincunbei Community, and Railway No. 6 Community in Qingshanhu District.

Figure 4.
(a) Grading of service facility configuration; (b) Configuration of community service centers; (c) configuration of kindergartens; (d) Configuration of general supermarkets; (e) Configuration of community health service stations; (f) configuration of postal facilities; (g) configuration of other convenient commercial service points.
Figure 5.
Quantity distribution of service facility configuration levels.
A total of 64 communities (34.41%) are graded at Levels 6–7, with most configuration indicators meeting the construction standards of integrated communities. Another 102 communities (54.84%) are graded at Levels 3–5, representing average service facility configuration, while 9 communities (4.84%) are graded at Levels 1–2, representing relatively poor configuration. Only 1 community (0.53%) is graded at Level 0, namely the Geological Community of Dinggong Road Sub-district in Xihu District, where the configuration of service facilities is extremely poor.
For the individual analysis of service facility construction indicators in integrated communities, the configuration rate of Community Service Center is very high, with 91.40% of communities meeting the quantitative configuration requirements. The configuration rate of community health service stations is relatively low, with only 24.73% of communities meeting the requirements. The configuration rates of kindergartens, General Supermarket, and Multiple Express Delivery Stations are 38.17%, 46.24%, and 78.49%, respectively. For Other Convenient Commercial Service Points, due to their diverse types and large quantities, the compliance rate is calculated based on a 40% threshold. Specifically, the reference is all 186 communities within the study area: if the number of Other Convenient Commercial Service Points in a single community exceeds that of 60% of the communities, the indicator is regarded as compliant; otherwise, it is considered non-compliant.
The configuration differences among various types of facilities reflect a variety of practical factors. For example, community comprehensive service stations have a very high configuration rate due to policy requirements, which reflects their grassroots popularity. However, behind the high configuration rate lies the issue of service quality of such facilities. Through field surveys, the author found that the service quality of comprehensive service stations varies greatly among different communities: the comprehensive service station in Hengmao Huacheng Community is well-equipped with excellent service quality, truly serving the people; in contrast, the service configuration of the comprehensive service station in Wanshougong Community is worrying, with incomplete facilities and a poor environment. Since Hengmao Huacheng Community is mainly composed of commercial housing while Wanshougong Community consists of old residential buildings, the differences between their comprehensive service stations also reflect disparities in community property management, the meticulousness of grassroots work, and community finances, indicating that the task of urban renewal in the old city center remains arduous.
3.2. Correlation Analysis and Results Between Configuration Levels and Indicators
To explore the influencing factors of integrated community configuration level, a correlation analysis was conducted between the service facility configuration levels of communities within the study area and various construction indicators, as well as community area. This analysis aims to further examine how these factors affect the service facility configuration of integrated communities.
As shown in the correlation analysis between community service facility configuration level and individual indicators (Figure 6), positive correlations are observed between integrated community configuration levels and the number of Community Service Centers, community health service stations, kindergartens, General Supermarkets, Multiple Express Delivery Stations, and Other Convenient Commercial Service Points. The correlation coefficients (R) all fall between 0 and 0.3, indicating weak correlations. This result suggests that meeting the standard for any single type of facility does not significantly affect the overall configuration level of a community. It also reflects the goal of integrated community construction—to pursue the completeness and balance of facilities rather than the excessive development of any particular type. Therefore, in the construction of integrated community service facilities, it is essential to ensure overall coordination among different facility types rather than focusing narrowly on one category. Moreover, the differences in R values across facilities reveal their varying roles within communities. The relatively higher R value for the Community Service Center indicates that it has a greater impact on configuration levels, highlighting its importance as a comprehensive facility that integrates functions such as indoor activity spaces, elderly care services, and childcare. In contrast, the relatively lower R value for the Community Health Service Station reflects the real-world challenges of its construction, including high costs and long development cycles.
Figure 6.
(a) Correlation between configuration level and the number of community service centers; (b) Correlation between configuration level and the number of community health service stations; (c) Correlation between configuration level and the number of kindergartens; (d) Correlation between configuration level and the number of general supermarkets; (e) Correlation between configuration level and the number of express delivery stations; (f) Correlation between configuration level and the number of express delivery stations.
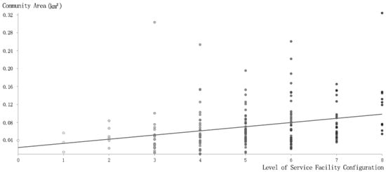
As illustrated in the correlation analysis between community service facility configuration level and community area (Figure 7), the two show a positive correlation, with a correlation coefficient of R = 0.082, which indicates a very weak relationship. This finding contradicts common assumptions that larger communities, containing more facilities, would naturally have higher configuration levels. The results show that the configuration level of integrated community service facilities is only weakly related to community size; a larger community area does not necessarily correspond to a higher configuration level. Therefore, when constructing integrated community service facilities, attention should not be limited to large communities, “small but refined” communities are equally important targets for integrated community development.
Figure 7.
Correlation between configuration level and community area.
This result also indirectly reflects the construction philosophy of integrated communities: the focus should not be on the sheer number of facilities but on achieving completeness and diversity in facility types.
4. Validation
4.1. Community Selection and Validation Objectives
On the basis of data analysis, further community validation is required, because configuration analysis of urban spatial data through ArcGIS has a certain generality, and combining it with field surveys can improve the accuracy of community configuration level analysis. In addition, large-scale research on community configuration is characterized by its macro-level nature, which still requires further field investigation to generate micro-level renovation strategies. Only by integrating macro and micro perspectives can renovation strategies for integrated communities be of practical significance. Conducting surveys on communities of different configuration levels makes it possible to more accurately uncover the deeper causes of configuration level differences, thereby serving the construction of integrated communities. Therefore, in this study, five communities of different configuration levels were selected as samples for validation analysis, namely Huiminmen Community, Wanshougong Community, Gongjian Community, Hengmao Huacheng Community, and Provincial Government Compound No. 2 Community (see Table 4).
Table 4.
Basic Information on Selected Communities.
The objectives of community validation are mainly threefold:
- (1)
- By investigating the five communities of different configuration levels, to determine whether the actual configuration of each community corresponds with the results generated through data analysis, and thus to infer the accuracy of the overall data analysis. This helps to compensate for the deviations caused by the generality and macro-level nature of large-scale data analysis.
- (2)
- Through the surveys, to determine whether the overall community environment is positively correlated with community configuration levels. The aim is to explore several reasons for the correlation between configuration level and the overall community environment, and to propose strategies to improve community environments from the perspective of facility configuration.
- (3)
- To attempt to propose construction pathways for service facilities in integrated communities from two different perspectives: type optimization and configuration level improvement. The type of optimization perspective focuses on overall construction, while configuration level improvement emphasizes specific communities.
4.2. Validation of Community Configuration Level
The validation of community configuration level focuses on examining whether the actual conditions of community service facilities are consistent with the configuration levels derived from data analysis, thereby assessing the effectiveness and accuracy of the overall analysis. Field survey results of the five selected communities demonstrate that the actual conditions successfully validate the data analysis. The facility configuration levels obtained through ArcGIS analysis are consistent with the actual situation in the communities, indicating that the results of community facility analysis possess practical accuracy.
Huiminmen Community, with a service facility configuration level of 2, meets only two of the eight configuration indicators, namely mail and express delivery service facilities and the community health service station, both of which align with the requirements for integrated community configuration. This validation is consistent with the data analysis. It is noteworthy that the Community Service Center in Huiminmen Community is closed and thus not included in the indicator statistics, which also corresponds to the results generated by data analysis. This demonstrates that ArcGIS-based service facility configuration analysis exhibits considerable accuracy and detail.
Wanshougong Community, with a configuration level of 4, has established a community activity center that meets the quantitative requirements but falls short in terms of quality when compared with the objectives of integrated community construction. This reflects the limitations of large-scale data analysis previously mentioned—while quantitative aspects of community service facility configurations can be accurately captured at a large scale, the qualitative aspects of such facilities are more difficult to control.
Communities graded at Level 5 are the most numerous, accounting for 25.81%, with Gongjian Community as a representative. Field surveys confirm that the Community Service Center in Gongjian Community is well constructed, while the kindergarten and mail and express delivery service facilities meet the required standards, thereby validating the data analysis results. Furthermore, the survey of Gongjian Community highlights the timeliness issue in configuration-level data analysis: one kindergarten that had already been closed was still counted in the configuration statistics of this community.
Hengmao Huacheng Community, graded at Level 7, reflects a major challenge in the construction of integrated communities—namely, the development of community health service stations. In the configuration of service facilities for integrated communities in the old city center of Nanchang, community health service stations exhibit the lowest configuration rate, with only 24.73% of communities meeting the numerical requirement. More significantly, among the 23 Level 7 communities, only Shangyuting Community, Suanziqiao Community, Ruziting Community, Railway No. 8 Community, and Jiefang West Road East Community meet the requirements for establishing a community health service station. Therefore, the establishment of community health service stations is a key objective in achieving integrated community development.
The Provincial Government Compound No. 2 Community, graded at Level 8, serves as a benchmark for integrated community construction. Field validation confirms that all service facilities within the community are adequately provided and well constructed.
4.3. Correlation Between Configuration Level and Overall Community Environment
The overall community environment refers to an organic whole in which multiple systems—natural ecology, built environment, social culture, and economic life—intertwine and dynamically coordinate to meet residents’ living needs and promote the harmonious coexistence of people and their environment.
By comparing the environments of communities with five different facility configuration levels, it is evident that communities with lower configuration levels, such as Huiminmen Community and Wanshougong Community, have poorer overall environments compared to Gongjian Community with a medium configuration level. In turn, the overall environment of Gongjian Community is inferior to that of higher-level communities such as Hengmao Huacheng Community and the Provincial Government Second Compound Community. Combined with field visits to communities such as Dizhi Community, Xiawan Street Community, Shebuting Community, Railway No. 2 Village Community, Guangming Community, and Nanchai Community, it can be observed that the higher the configuration level, the better the overall community environment, showing a positive correlation.
However, the positive correlation between configuration level and overall community environment does not necessarily apply at the level of individual communities. For instance, while the overall environment of communities with Level 7 configuration is generally better than that of communities with Level 6 configuration, this does not imply that the environment of Hengmao Huacheng Community (Level 7) is necessarily superior to that of a specific Level 6 community.
5. Discussion
5.1. Construction Pathways from the Perspective of Facility Type Optimization
The analysis results indicate that there is considerable room for improvement in the construction of basic public service facilities and convenient service facilities in the central area of the old city of Nanchang. In terms of quantitative configuration, various categories of basic service facilities show different degrees of deficiency. In terms of spatial distribution, certain facilities exhibit relatively uneven and insufficient spatial allocation. Regarding configuration level disparities, the current status of service facilities varies across communities, and therefore, renewal strategies should be formulated based on the specific conditions of each community.
From the perspective of optimizing the overall facility configuration in the central area of the old city of Nanchang, differences exist in the configuration rates of various types of facilities. Community Service Centers (Figure 8), as mandated by community construction requirements, must be configured in every community. This is also reflected in the data analysis, where the configuration rate reaches 91.40%. The few communities lacking Community Service Centers are mainly due to two reasons: the service station is located too far away, beyond the 500 m range specified in the integrated community requirements, and thus not counted within the community’s statistics; or the service station is shared with other communities, as in the case of Huiminmen Community. In some communities within Nanchang’s old urban areas, Community Service Centers exist in name only. Therefore, when updating and optimizing Community Service Centers, attention should not be limited to quantitative provision; greater emphasis should be placed on improving service quality to ensure that the centers genuinely serve community residents.
Figure 8.
Status of Community Service Centers.
Mail and express delivery stations, with a configuration rate second only to Community Service Centers, reach a high rate of 78.49%. These facilities have already become an indispensable part of daily life. The high configuration rate is attributable, on the one hand, to the rapid development of e-commerce, and on the other hand, to the relatively low construction cost of such facilities, with multiple forms coexisting, including postal centers, delivery stations, and parcel lockers. Therefore, in the process of constructing integrated communities, the development of these facilities is relatively less difficult and less constrained, making it easier to meet construction requirements.
Community Health Service Stations represent the facilities with the lowest configuration rate, standing at only 24.73%. This figure excludes large hospitals, pharmacies, and wellness centers, and accounts only for community health service stations and clinics within communities. The high construction cost, professional requirements, and strict qualification approvals make it difficult to equip every community with its own Community Health Service Station in the short term. Thus, during the construction of integrated communities, it is more practical to share a single Community Health Service Station among multiple communities, supplementing through facilities in neighboring areas. Compared with mail and express delivery stations or general supermarkets, which have high utilization rates for individuals, such a supplementary configuration approach is more reasonable.
According to the “Guidelines”, the construction of kindergartens is subject to the requirement of “at least one kindergarten, with no fewer than six classes, a building area of no less than 2200 square meters, and a land area of no less than 3500 square meters.” However, the serious aging of the population, particularly pronounced in old urban areas, has led to community populations dominated by elderly residents, with insufficient numbers of school-age children to support the operation of a kindergarten. For example, in Gongjian Community, the community canteen serving the elderly is fully occupied, while the adjacent kindergarten has long been closed. With China’s declining birth rate, this phenomenon will only become more pronounced in old urban districts. Therefore, in the construction of integrated communities with respect to kindergarten facilities, construction standards should be adjusted more flexibly to reflect actual local conditions, thereby supporting the healthy and orderly development of communities.
General supermarkets and other convenient commercial service points should be configured flexibly, and in cases where general supermarkets are absent, multiple commercial outlets may be used as a supplementary equivalent.
5.2. Construction Pathways from the Perspective of Configuration Level Growth
The construction of Integrated Communities should follow a graded governance approach and proceed step by step according to actual conditions. Communities with higher configuration levels possess better basic facility conditions and are more likely to meet the requirements for Integrated Communities, whereas communities with lower configuration levels face relatively greater construction difficulties. However, configuration level does not determine a community’s importance; construction should not be sequenced solely by grade. Instead, tailored construction recommendations should be proposed for communities at different configuration levels.
Communities graded at Level 8 account for 5.38% of the sample and possess well-established basic public service facilities, meeting the quantitative requirements for Integrated Community configuration. Nonetheless, some facilities may be lacking in construction quality. Therefore, Level-8 communities should receive additional attention regarding whether their community management mechanisms are sound, whether property management is comprehensively covered, whether the non-motorized transport system is adequate, and whether public green space is sufficient, so as to further advance Integrated Community construction. Communities graded at Levels 6–7 have relatively complete service facilities, with only one or two items failing to meet the standards; consequently, targeted interventions to address specific deficiencies are essential.
Communities graded at Levels 6–7 account for 34.41% of the total. Their missing-facility rates are as follows: Community Health Service Stations—65.625%; kindergartens—39%; General Supermarkets—20.31%; Multiple Express Delivery Stations—9.375%. Therefore, when undertaking further renewal in Levels 6–7 communities—where most facility types already meet Integrated Community standards—the greatest gap is the provision of Community Health Service Stations and thus requires priority attention. Multiple Express Delivery Stations are relatively well provided and, given their lower construction costs compared with other facilities, are the easiest to bring into compliance and should be prioritized for early implementation.
Communities graded at Levels 3–5 constitute 54.84% of the sample and represent the main body of Integrated Community construction within the aging urban district. Following the principle of graded governance, efforts should first address the facilities that solve residents’ immediate problems within these communities, thereby facilitating a transition to higher configuration levels and ultimately achieving the objectives of Integrated Community construction. Communities graded at Levels 0–2 account for 5.38% and are relatively few; these communities fail to meet multiple indicators and are unlikely to satisfy all eight configuration indicators in the short term. Long-term planning is therefore required: begin with facilities that have lower implementation difficulty and proceed in phased stages toward meeting the standards for Integrated Communities.
6. Conclusions
This study is grounded in the broader context of urban renewal and the construction of integrated communities, focusing on the optimization of service facilities in old communities and the upgrading of facility configurations. Through theoretical review, data analysis, and case validation, it systematically explores the pathways and approaches for communities in the old city center of Nanchang to move toward becoming integrated communities. The main conclusions can be summarized as follows:
- (1)
- The configuration levels of the 186 communities within the research scope exhibit a normal distribution. Most communities show average or good service facility configurations, while only a few demonstrate either very poor or excellent configurations. Based on this finding, the study proposes a construction pathway aimed at improving community configuration levels. It also analyzes the configuration rates of six categories of service facilities and the reasons behind their disparities. To address these differences, the study further proposes a construction pathway focusing on the optimization of facility types.
- (2)
- The study explores the correlations between single facilities and community configuration levels, as well as between community area and configuration levels. The results show positive correlations in both cases, but with relatively low correlation coefficients (R-values). Therefore, in building integrated communities, greater attention should be given to overall development rather than focusing narrowly on individual indicators. Furthermore, since the correlation between community area and configuration level is also weak, “small but refined” communities should equally be considered targets for integrated community development.
- (3)
- In the validation stage, on-site surveys of selected sample communities confirmed the accuracy of the facility configuration level analysis. Further investigation into the correlation between configuration levels and the overall community environment also revealed a positive relationship.
- (4)
- On the theoretical plane, this study further contributes to the development of the integrated community concept. Through data analysis, field investigation, and community verification, the author argues that the construction standards outlined in the “Guidelines” should allow for contextual adaptation under the framework of overall harmony, rather than a rigid pursuit of quantitative targets. A flexible, adaptive, and context-sensitive set of the “Guidelines” will serve as a more effective reference for community development.
The practical significance of this study lies in providing strategies for the renewal of old communities in historic urban areas, offering solutions that balance “overall facility optimization” with “growth in facility configuration levels.” It not only responds to the demands of urban renewal for quality improvement of existing spaces but also enriches the localized practice pathways of integrated community theory within a historical context.
Theoretically, this study supplements the “Guidelines” by proposing an approach of “contextual adaptation within a harmonized framework”. For instance, in small communities with limited population or space, where meeting all facility requirements is difficult, joint community service facilities may be established through integration with neighboring communities. For facilities with high construction difficulty and cost—such as Community Health Service Stations—joint construction in appropriate areas is also recommended. Similarly, considering the declining birth rate in old urban districts, the rigid requirement for one kindergarten per community could be relaxed by allowing shared kindergartens across several nearby communities. These additions provide empirical support for improving the flexibility of the “Guidelines” and advancing the theoretical development of integrated communities.
Nevertheless, the study has certain limitations: first, as the research scope is limited to old communities in Nanchang, the generalizability of the conclusions requires further validation in other types of communities; second, the discussion of implicit factors in community governance remains insufficient, and the quantitative evaluation of some indicators within the system still needs refinement. Future research on integrated communities should continue by expanding the sample scope and comparing construction differences across communities of different regions and types.
Finally, this study also focuses on the deep integration of digital governance and smart communities, exploring innovations in service models empowered by technology. While conducted under the framework of the integrated community concept, its conclusions and findings will further promote the development of integrated communities and help optimize the compilation of the “Guidelines” for Integrated Community Construction. In doing so, it provides more practical theoretical support and operational guidance for integrated community development in Nanchang and, more broadly, across China.
Author Contributions
Conceptualization, X.W. and X.Z.; methodology, X.W.; software, X.Z.; validation, X.Z.; formal analysis, X.W.; investigation, X.Z.; resources, X.W.; data curation, X.Z.; writing—original draft preparation, X.W. and X.Z.; writing—review and editing, X.Z.; visualization, X.Z.; supervision, X.W., N.Q.Z. and M.Z.A.G.; project administration, X.W., N.Q.Z. and M.Z.A.G.; funding acquisition, X.W. All authors have read and agreed to the published version of the manuscript.
Funding
This study was supported by the Jiangxi Provincial Key Research Base Project for Humanities and Social Sciences in Higher Education Institutions, titled “Research on Complete Community Development from the Perspective of Urban Regeneration” (Project Approval No.: JD24065).
Data Availability Statement
The original contributions presented in this study are included in the article. Further inquiries can be directed to the corresponding author.
Conflicts of Interest
The authors declare no conflicts of interest.
References
- Wu, L.Y. Human settlements at academic frontier. Urban Plan. Rev. 2012, 36, 9–12. [Google Scholar]
- Han, S.; Yuan, Q.F.; Li, R.R.; Wang, Y.K. From Lifang and Jiexiang to integrated community: Model evolution, planning practice and trend prospects in China. J. Hum. Settle. West China 2024, 39, 74–83. [Google Scholar] [CrossRef]
- Zhang, L.M.; Zhang, L.X.; Huang, Y.X.; LIU, L.F. Urban Physical Examination Evaluation Index System Research and Practice Towards Integrated Community Development. Planners 2022, 38, 45–52. [Google Scholar]
- Shi, J.R.; Jin, S.M.; Wu, J.; Zhao, X.M. Medical Facilities Flexible Planning Modes in Integrated Community. Planners 2023, 39, 101–107. [Google Scholar]
- Sun, Y.J.; Xiao, D.X.; Huang, L. Exploration of the Reconstruction of Old Residential Districts in Historical Urban Areas of Guangzhou under the Concept of Complete Community. S. Archit. 2023, 9, 62–69. [Google Scholar]
- Yang, Y.J.; Li, C.X.; Zhou, D. Study on the Characteristics of Community Elderly Care Service Facilities Usage and Optimization Design Based on Life Cycle Theory. Buildings 2024, 14, 3003. [Google Scholar] [CrossRef]
- Hui, E.C.M.; Chen, T.T.; Lang, W.; Ou, Y.B. Urban community regeneration and community vitality revitalization through participatory planning in China. Cities 2021, 110, 103072. [Google Scholar] [CrossRef]
- Cheng, X.Y.; Zhong, W.; Li, D.Q. Urban neighborhood self-governance and community attachment: Evidence from southwest China. Cities 2021, 112, 103128. [Google Scholar] [CrossRef]
- Song, L.; Kong, X.S.; Cheng, P. Supply-demand matching assessment of the public service facilities in 15-minute community life circle based on residents’ behaviors. Cities 2024, 144, 104637. [Google Scholar] [CrossRef]
- Wu, X.L.; Li, J.P. Constructing Associated Communities: The Practical Paths and Development Trends of “Future Communities”. Gov. Stud. 2025, 41, 58–73+158. [Google Scholar] [CrossRef]
- Wu, Z.Q.; Wang, K.; Chen, W.; Yang, Y.D.; Ren, G.Y.; Chen, Q.R.; Luo, C.; Su, L.L.; Cheng, Y.Y.; Li, Q.F. Innovative Reflections on Refined Governance of Community Space. Urban Plan. Forum 2020, 3, 1–14. [Google Scholar]
- Ye, Y.C.; Luo, J.; Guan, T.; Feng, D.J. Interpretation and Reflections on “Construction Standards for Complete Residential Communities (Trial)” from a Comparative Perspective. In Proceedings of the 2020/2021 China Urban Planning Annual Conference and 2021 China Urban Planning Academic Season, Chengdu, China, 25–27 September 2021; p. 9. [Google Scholar]
- Yu, C.H.; Liu, S.J.; Lu, S.W.; Xie, L.R.; Xie, X.T. The Evaluation Method of Urban Community Physical Examination Based on the Concept of Integrated Community: The Case of Daye City, Hubei Province. Planners 2024, 40, 63–70. [Google Scholar]
- Zhang, H.; Lan, T.Z. Construction of Complete Communities from the Perspective of ‘Neighborhood Communities’: Concepts, Problems, and Strategies. Urban Dev. Stud. 2024, 31, 50–55. [Google Scholar]
- Zang, Y.W.; Wang, H.M.; Huang, J.; Liu, G.F.; Li, J.J. Community disaster resilience assessment and external association characteristics analysis based on accessibility of service facilities: From the perspective of 15-minute life circle. Sustain. Cities Soc. 2025, 118, 106051. [Google Scholar] [CrossRef]
- Jiang, Z.H.; Wu, C.L.; Chung, H.Y.C. The 15-minute community life circle for older people: Walkability measurement based on service accessibility and street-level built environment—A case study of Suzhou, China. Cities 2025, 157, 105587. [Google Scholar] [CrossRef]
- Dong, W.; Cao, X.Y.; Wu, X.Y.; Dong, Y. Examining pedestrian satisfaction in gated and open communities: An integration of gradient boosting decision trees and impact-asymmetry analysis. Landsc. Urban Plan. 2019, 185, 246–257. [Google Scholar] [CrossRef]
- He, D.S.; Miao, J.; Lu, Y.; Song, Y.M.; Chen, L.; Liu, Y. Urban greenery mitigates the negative effect of urban density on older adults’ life satisfaction: Evidence from Shanghai, China. Cities 2022, 124, 103607. [Google Scholar] [CrossRef]
- Ding, X.Y.; Zhao, Z.Y.; Zheng, J.; Yue, X.P.; Jin, H.; Zhang, Y.K. Community Gardens in China: Spatial distribution, patterns, perceived benefits and barriers. Sustain. Cities Soc. 2022, 84, 103991. [Google Scholar] [CrossRef]
- Chen, Y.; Yue, W.Z.; La Rosa, D. Which communities have better accessibility to green space? An investigation into environmental inequality using big data. Landsc. Urban Plan. 2020, 204, 103919. [Google Scholar] [CrossRef]
- Slemp, C.; Davenport, M.A.; Seekamp, E.; Brehm, J.M.; Schoonover, J.E.; Williard, K.W.J. “Growing too fast:” Local stakeholders speak out about growth and its consequences for community well-being in the urban-rural interface. Landsc. Urban Plan. 2012, 106, 139–148. [Google Scholar] [CrossRef]
- Li, X.; Zhang, F.; Hui, E.C.M.; Lang, W. Collaborative workshop and community participation: A new approach to urban regeneration in China. Cities 2020, 102, 102743. [Google Scholar] [CrossRef]
- Davis, J.; Pijawka, D.; Wentz, E.A.; Hale, M. Evaluation of community-based land use planning through Geodesign: Application to American Indian communities. Landsc. Urban Plan. 2020, 203, 103880. [Google Scholar] [CrossRef]
- Cai, S.H.; Wang, X.Y.; Zhou, X.Y.; Hyman, M.R.; Yang, Z.L. Political and community logics jointly affect ‘social distancing’ compliance. Sustain. Cities Soc. 2021, 74, 103200. [Google Scholar] [CrossRef]
Disclaimer/Publisher’s Note: The statements, opinions and data contained in all publications are solely those of the individual author(s) and contributor(s) and not of MDPI and/or the editor(s). MDPI and/or the editor(s) disclaim responsibility for any injury to people or property resulting from any ideas, methods, instructions or products referred to in the content. |
© 2025 by the authors. Licensee MDPI, Basel, Switzerland. This article is an open access article distributed under the terms and conditions of the Creative Commons Attribution (CC BY) license (https://creativecommons.org/licenses/by/4.0/).









