Vibration Control and Energy Harvesting of a Two-Degree-of-Freedom Nonlinear Energy Sink to Primary Structure Under Transient Excitation
Abstract
1. Introduction
2. Electromechanical-Coupled Dynamics Model
3. Approximation of the Reduced Slow Flow
4. Results and Discussion
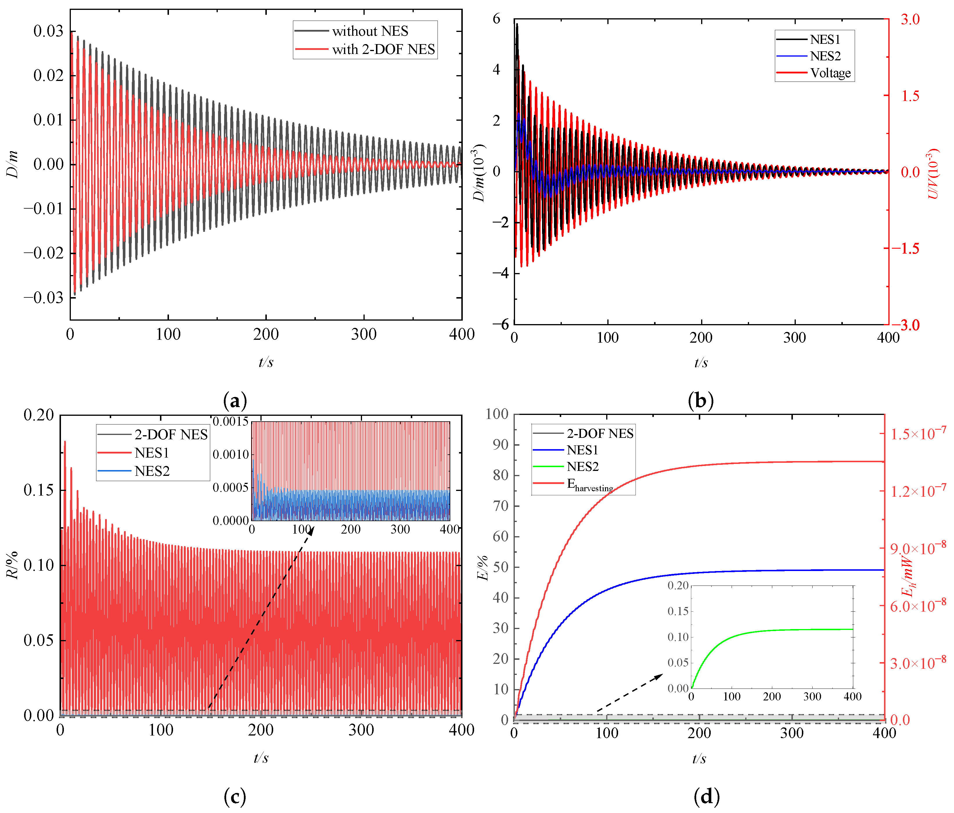
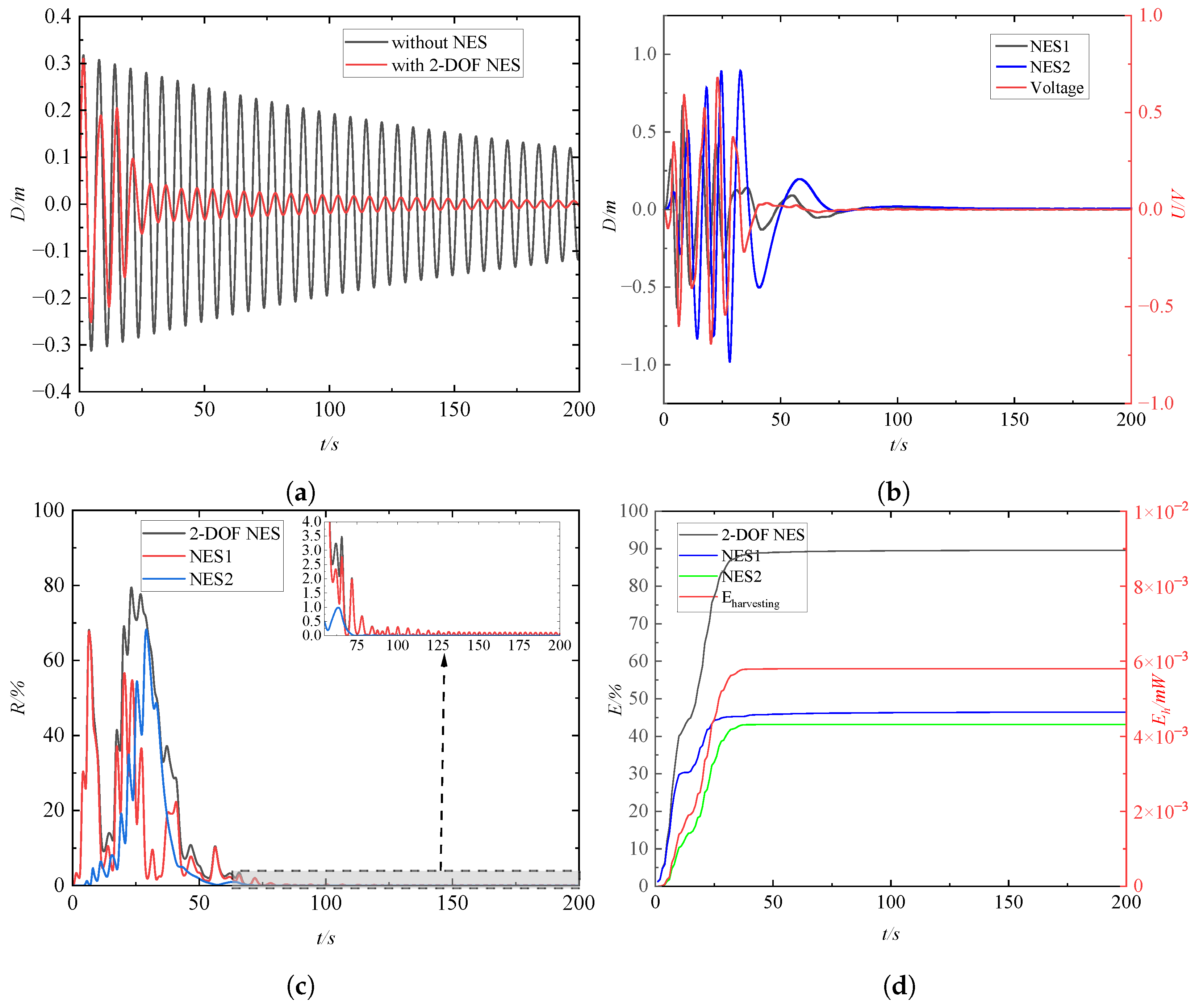
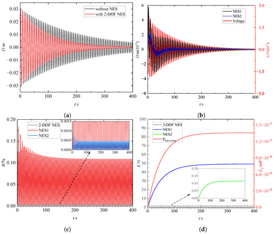
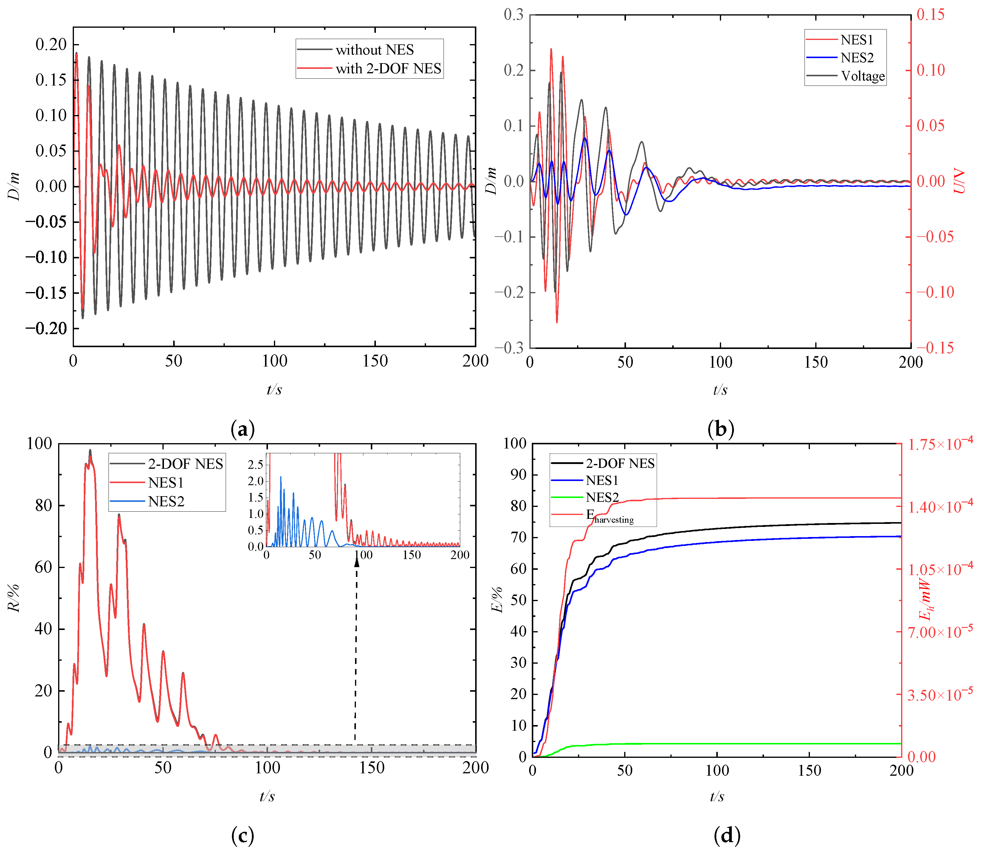
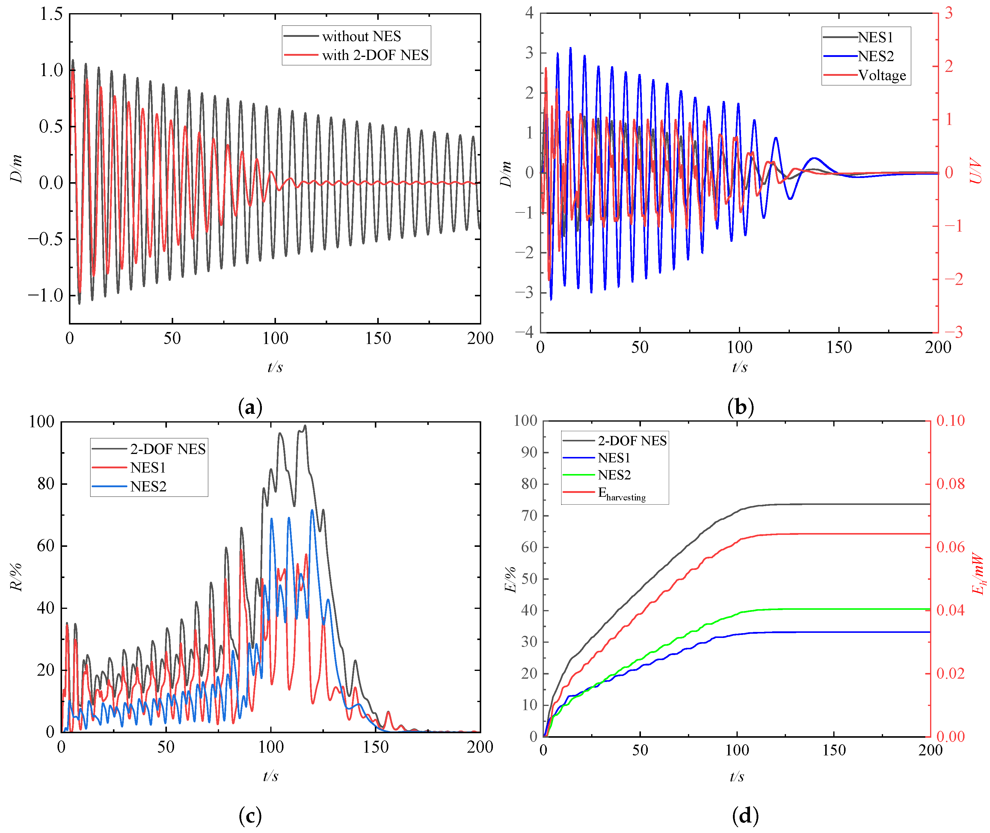
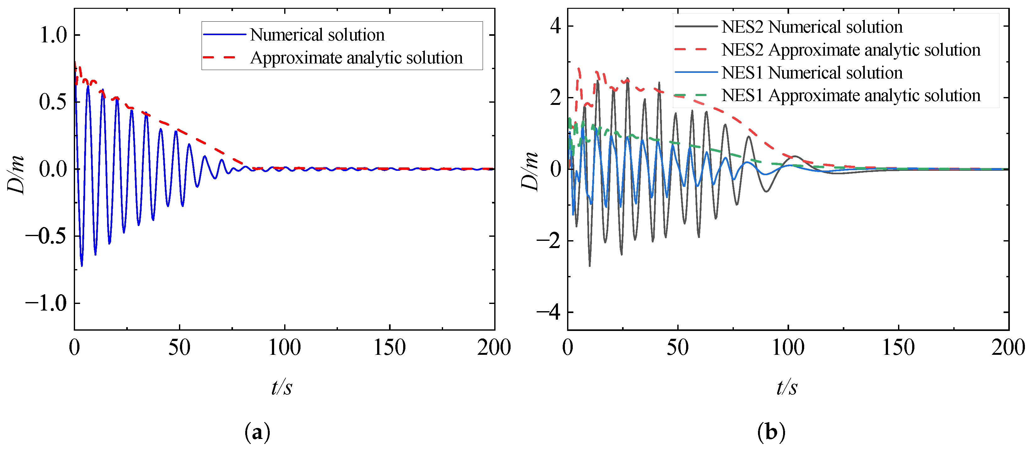
4.1. Analysis of Vibration Suppression and Energy Harvesting
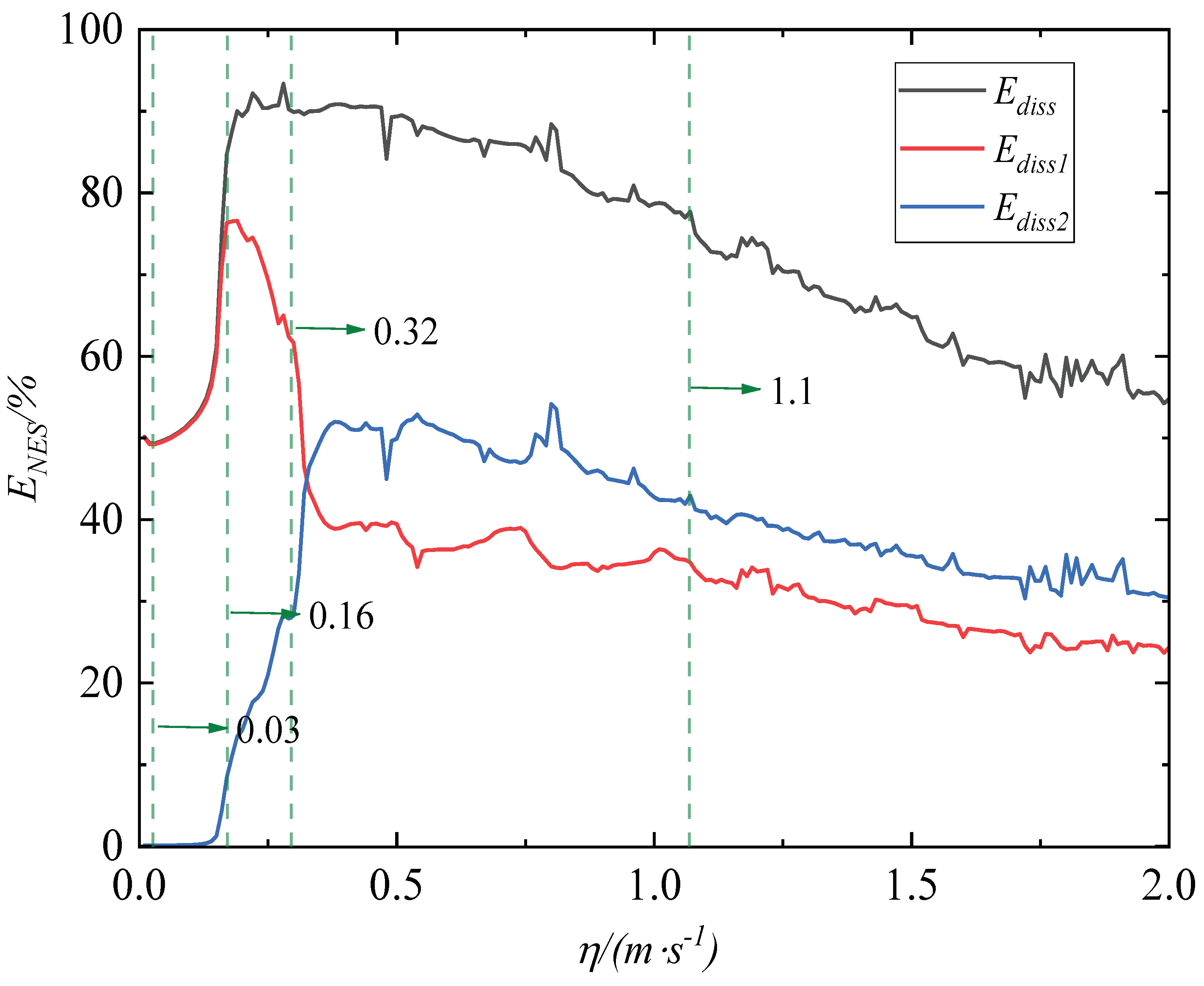
4.2. Study of the Mechanism of Target Energy Transfer
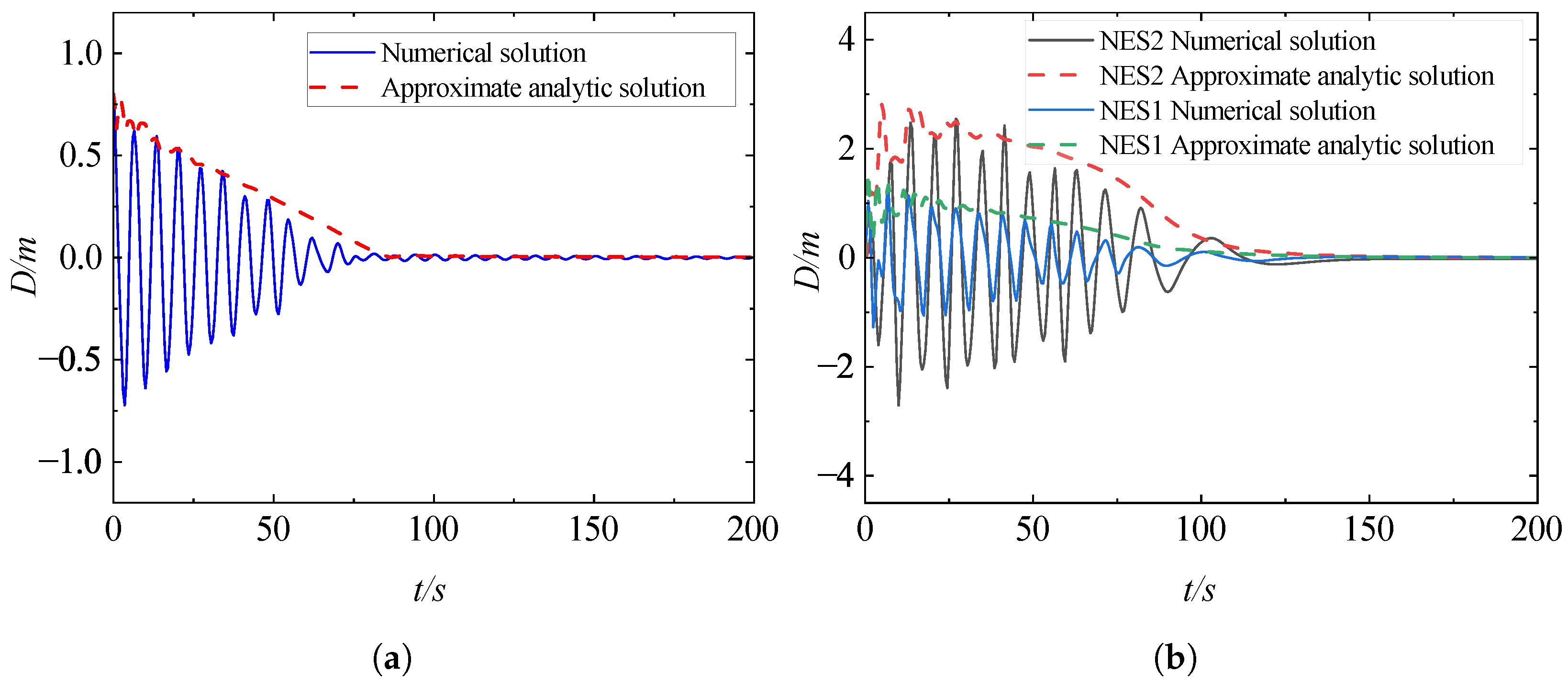
4.3. Analysis of the Reduced Slow Flow
4.4. Comparison of the Performance Between the S-DOF NES System and the Series-Connected 2-DOF NES System
5. Conclusions
- (1)
- When the transient excitation intensities are low, the vibration suppression primarily relies on 1:1 transient resonance capture and low-frequency transient resonance capture between the primary structure and the NES1 oscillator. However, as the transient excitation intensity surpasses a certain threshold, the vibration suppression of the structure by the NES oscillators is mainly achieved through 1:1:1 transient resonance capture, high-frequency transient resonance capture, and low-frequency transient resonance capture between the primary structure, the NES1 oscillator, and the NES2 oscillator over a wide frequency range. Under high transient excitation intensity, the vibration suppression of the NESs oscillator is predominantly achieved through the 1:1:1 transient resonance capture involving the primary structure, NES1 oscillator, and NES2 oscillator, albeit with a diminished level of performance.
- (2)
- The process of target energy transfer primarily arises from the strong nonlinear coupling between the primary structure and the two NESs oscillators. When the system enters the 1:1:1 transient resonance capture state, synchronous motion occurs between the primary structure and the two NESs oscillators, resulting in the phenomenon of target energy transfer. As the energy gradually dissipates, the strong nonlinear coupling diminishes, disrupting the targeted energy transfer condition and causing the system’s vibration state to deviate from the transient resonance capture state.
- (3)
- Compared with the vibration suppression performance of an S-DOF NES oscillator, the 2-DOF NES oscillators hold the advantages of enhanced robustness against external excitation intensity and efficiency of energy dissipation to the primary structure. The harvested energy can supply power to the structural health monitoring sensor device. In future work, a 2-DOF NES–piezoelectric system can be designed for a real-world structure, followed by further experimental studies on base excitation.
Author Contributions
Funding
Data Availability Statement
Conflicts of Interest
References
- Krenk, S.; Høgsberg, J. Tuned mass absorber on a flexible structure. J. Sound Vib. 2014, 333, 1577–1595. [Google Scholar] [CrossRef]
- Roberson, R.E. Synthesis of a nonlinear dynamic vibration absorber. J. Franklin Inst. 1952, 254, 205–220. [Google Scholar] [CrossRef]
- Wang, J.L.; Geng, L.F.; Ding, L.; Zhu, H.J.; Yurchenko, D. The state-of-the-art review on energy harvesting from flow-induced vibrations. Appl. Energy 2020, 267, 114902. [Google Scholar] [CrossRef]
- Jin, Y.; Xiao, S.; Zhang, Y. Enhancement of tristable energy harvesting using stochastic resonance. J. Stat. Mech. 2018, 267, 123211. [Google Scholar] [CrossRef]
- Nie, X.C.; Tan, T.; Yan, Z.M.; Yan, Z.T.; Zhang, W.M. Ultra-wideband piezoelectric energy harvester based on Stockbridge damper and its application in smart grid. Appl. Energy 2020, 267, 114898. [Google Scholar] [CrossRef]
- Yang, T.; Zhang, Y.Q.; Zhou, S.X. Multistage oscillators for ultra-low frequency vibration isolation and energy harvesting. Sci. China Technol. Sci. 2022, 65, 631–645. [Google Scholar] [CrossRef]
- Luo, H.; Liu, J.; Yang, T.; Zhang, Y.; Cao, Q. Dipteran flight-inspired bistable triboelectric nanogenerator for harvesting low frequency vibration. Nano Energy 2022, 103, 107755. [Google Scholar] [CrossRef]
- Vakakis, A.F. Inducing passive nonlinear energy sinks in vibrating systems. J. Vib. Acoust. 2001, 123, 324–332. [Google Scholar] [CrossRef]
- Gendelman, O.V.; Manevitch, L.I.; Vakakis, A.F. Energy pumping in nonlinear mechanical oscillators: Part I-Dynamics of the underlying Hamiltonian systems. J. Appl. Mech. 2001, 68, 34–41. [Google Scholar] [CrossRef]
- Gendelman, O.V. Transition of energy to a nonlinear localized mode in a highly asymmetric system of two oscillators. Nonlinear Dyn. 2001, 25, 237–253. [Google Scholar] [CrossRef]
- Qiu, D.H.; Seguy, S.; Paredes, M. Tuned nonlinear energy sink with conical spring: Design theory and sensitivity analysis. J. Mech. Design. 2018, 140, 011404. [Google Scholar] [CrossRef]
- Panagiotis, P.N.; Gendelman, O. Robustness of nonlinear targeted energy transfer in coupled oscillators to changes of initial conditions. Nonlinear Dyn. 2007, 47, 377–387. [Google Scholar]
- Lee, Y.S.; Vakakis, A.F.; Bergman, L.A.; McFarland, D.M.; Kerschen, G. Suppression aeroelastic instability using broadband passive targeted energy transfers, part 1: Theory. AIAA J. 2007, 45, 693–711. [Google Scholar] [CrossRef]
- Balaji, P.S.; SelvaKumar, K.K. Applications of nonlinearity in passive vibration control: A review. J. Vib. Eng. Technol. 2021, 9, 183–213. [Google Scholar] [CrossRef]
- Nucera, F.; Iocono, F.L.; McFarland, D.M. Application of broadband nonlinear targeted energy transfers for seismic mitigation of a shear frame: Experiment results. J. Sound Vib. 2008, 313, 57–76. [Google Scholar] [CrossRef]
- Wang, J.; Zheng, Y. Development and robustness investigation of track-based asymmetric nonlinear energy sink for impulsive response mitigation. Eng. Struct. 2023, 286, 116127. [Google Scholar] [CrossRef]
- Xiong, L.Y.; Tang, L.H.; Liu, K.F. Broadband piezoelectric vibration energy harvesting using a nonlinear energy sink. J. Phys. D Appl. Phys. 2018, 10, 1–19. [Google Scholar] [CrossRef]
- Yang, T.; Zhang, Y.; Zhou, S.; Fan, H.; Zhang, X. Wideband energy harvesting using nonlinear energy sink with bio-inspired hexagonal skeleton structure. Commun. Nonlinear Sci. 2022, 111, 106465. [Google Scholar] [CrossRef]
- Gendelman, O.V.; Gorlov, D.V.; Manevitch, L.I. Dynamics of coupled linear and essentially nonlinear oscillators with substantially different masses. J. Sound Vib. 2005, 286, 1–19. [Google Scholar] [CrossRef]
- Georgiades, F.; Vakakis, A.F.; Kerschen, G. Broadband passive targeted energy pumping from a linear dispersive rod to a lightweight essentially nonlinear end attachment. Int. J. Nonlinear Mech. 2007, 42, 773–788. [Google Scholar] [CrossRef][Green Version]
- Georgiadis, F.; Vakakis, A.F. Shock isolation through passive energy pumping caused by nonsmooth nonlinearities. Int. J. Bifurcat. Chaos. 2005, 15, 1989–2001. [Google Scholar] [CrossRef]
- Chouvion, B. A wave approach to show the existence of detached resonant curves in the frequency response of a beam with an attached nonlinear energy sink. Mech. Res. Commun. 2019, 95, 16–22. [Google Scholar] [CrossRef]
- Qiu, D.; Seguy, S.; Paredes, M. Design criteria for optimally tuned vibro-transient nonlinear energy sink. J. Sound Vib. 2018, 442, 497–513. [Google Scholar] [CrossRef]
- Yang, T.; Hou, S.; Qin, Z.; Ding, Q.; Chen, L. A dynamic reconfigurable nonlinear energy sink. J. Sound Vib. 2021, 494, 115629. [Google Scholar] [CrossRef]
- Wang, T.; Ding, Q. Targeted energy transfer analysis of a nonlinear oscillator coupled with bistable nonlinear energy sink based on nonlinear normal modes. J. Sound Vib. 2023, 556, 117727. [Google Scholar] [CrossRef]
- Zhang, W.; Chang, Z.Y.; Chen, J. Vibration reduction for an asymmetric elastically supported beam coupled to an inertial nonlinear energy sink. J. Vib. Eng. Technol. 2023, 11, 1711–1723. [Google Scholar] [CrossRef]
- Zeng, Y.; Ding, H.; Ji, J.; Xiao, M.; Li, C. A tristable nonlinear energy sink with time-varying potential barriers. Commun. Nonlinear. Sci. 2025, 142, 108559. [Google Scholar] [CrossRef]
- Song, W.; Liu, Z.; Lu, C.; Li, B.; Zhu, D.; Nie, F. Analysis of vibration suppression performance of nonlinear energy sink with negative stiffness. J. Vib. Eng. Technol. 2022, 10, 1481–1493. [Google Scholar] [CrossRef]
- Tan, T.; Yan, Z.M.; Zou, Y.J.; Zhang, W. Optimal dual-functional design for a piezoelectric autoparametric vibration absorber. Mech. Syst. Signal Process. 2019, 123, 513–532. [Google Scholar] [CrossRef]
- Nie, X.C.; Tan, T.; Yan, Z.M.; Yan, Z.T.; Hajj, M.R. Broadband and high efficient L-shaped piezoelectric energy harvester based on internal resonance. Int. J. Mech. Sci. 2019, 159, 287–305. [Google Scholar] [CrossRef]
- Kremer, D.; Liu, K. A nonlinear energy sink with an energy harvester: Harmonically forced responses. J. Sound Vib. 2017, 410, 287–302. [Google Scholar] [CrossRef]
- Zhang, Y.W.; Gao, C.Q.; Zhang, Z.; Zang, J. Dynamic analysis of vibration reduction and energy harvesting using a composite cantilever beam with galfenol and a nonlinear energy sink. Int. J. Appl. Mech. 2021, 13, 2150089. [Google Scholar] [CrossRef]
- Hou, S.; Teng, Y.Y.; Zhang, Y.W.; Zang, J. Enhanced energy harvesting of a nonlinear energy sink by internal resonance. Int. J. Appl. Mech. 2019, 11, 1950100. [Google Scholar] [CrossRef]
- Ahmadabadi, Z.N.; Khadem, S.E. Nonlinear vibration control and energy harvesting of a beam using a nonlinear energy sink and a piezoelectric device. J. Sound Vib. 2014, 333, 4444–4457. [Google Scholar] [CrossRef]
- Kremer, D.; Liu, K. A nonlinear energy sink with an energy harvester: Transient responses. J. Sound Vib. 2014, 333, 4859–4880. [Google Scholar] [CrossRef]
- Zhang, Y.; Tang, L.; Liu, K. Piezoelectric energy harvesting with a nonlinear energy sink. J. Intell. Mat. Syst. Struct. 2017, 28, 307–322. [Google Scholar] [CrossRef]
- Lin, X.; Wang, L.; Wang, Z.; Yan, Z.; Qin, Y.; Nie, X. Vibration suppression and energy harvesting of nonlinear energy sink-based piezoelectric system with combined damping and bistability properties for nonlinear oscillator. Int. J. Struct. Stab. Dyn. 2024, 16, 2650017. [Google Scholar] [CrossRef]
- Li, X.; Liu, K.; Xiong, L.; Tang, L. Development and validation of a piecewise linear nonlinear energy sink for vibration suppression and energy harvesting. J. Sound Vib. 2021, 503, 116104. [Google Scholar] [CrossRef]
- Chen, L.; Liao, X.; Xia, G.; Sun, B.; Zhou, Y. Variable-potential bistable nonlinear energy sink for enhanced vibration suppression and energy harvesting. Int. J. Mech. Sci. 2023, 242, 107997. [Google Scholar] [CrossRef]
- Chiacchiari, S.; Romeo, F.; McFarland, D.M.; Bergman, L.A.; Vakakis, A.F. Vibration energy harvesting from impulsive excitations via a bistable nonlinear attachment. Int. J. Nonlinear Mech. 2017, 94, 84–97. [Google Scholar] [CrossRef]
- Jin, Y.; Liu, K.; Xiong, L.; Tang, L. A non-traditional variant nonlinear energy sink for vibration suppression and energy harvesting. Mech. Syst. Signal Process. 2022, 181, 109479. [Google Scholar] [CrossRef]
- Li, Z.; Tang, L.; Yang, W.; Zhao, R.; Liu, K.; Mace, B. Transient response of a nonlinear energy sink based piezoelectric vibration energy harvester coupled to a synchronized charge extraction interface. Nano Energy 2021, 87, 106179. [Google Scholar] [CrossRef]
- Xiong, L.; Tang, L.; Liu, K.; Mace, B.R. Effect of electromechanical coupling on dynamic characteristics of a piezoelectric nonlinear energy sink system. J. Vib. Eng. Technol. 2021, 9, 687–699. [Google Scholar] [CrossRef]
- Cai, Q.; Hua, Y.; Zhu, S.; Zhang, X.; Zuo, H. Bistable energy-harvesting track nonlinear energy sink in offshore wind turbines. Mech. Syst. Signal Process. 2024, 215, 111407. [Google Scholar] [CrossRef]
- Ding, H.; Chen, L.Q. Designs, analysis, and applications of nonlinear energy sinks. Nonlinear Dyn. 2020, 100, 3061–3107. [Google Scholar] [CrossRef]
- Du, T.; Ding, H.; Zhang, D. Series ness for suppressing strongly forced vibration. Int. J. Appl. Mech. 2024, 16, 2450030. [Google Scholar] [CrossRef]
- Zhang, Y.C.; Kong, X.R.; Tang, S.Y. Vibration suppression using targeted energy transfer in a two-degree-of-freedom unequal mass nonlinear vibration absorber. In Proceedings of the 61st International Astronautical Congress, Prague, Czech Republic, 27 September–1 October 2010; Volume 9, pp. 7373–7379. [Google Scholar]
- Gendelman, O.V.; Sapsis, T.; Vakakis, A.F.; Bergman, L.A. Enhanced passive targeted energy transfer in strongly nonlinear mechanical oscillators. J. Sound Vib. 2011, 330, 1–8. [Google Scholar] [CrossRef]
- Tsakirtzis, S.; Panagopoulos, P.N.; Kerschen, G.; Gendelman, O.; Vakakis, A.F.; Bergman, L.A. Complex dynamics and targeted energy transfer in linear oscillators coupled to multi-degree-of-freedom essentially nonlinear attachments. Nonlinear Dyn. 2007, 48, 285–318. [Google Scholar] [CrossRef]
- Ahmadabadi, Z.N.; Khadem, S.E. Optimal vibration control and energy scavenging using collocated nonlinear energy sinks and piezoelectric elements. In Proceedings of the ASME 2018 International Mechanical Engineering Congress and Exposition, Pittsburgh, PA, USA, 9–15 November 2018; p. 52040. [Google Scholar]
- Starosvetsky, Y.; Gendelman, O.V. Attractors of harmonically forced linear oscillator with attached nonlinear energy sink. II: Optimization of a nonlinear vibration absorber. Nonlinear Dyn. 2008, 51, 47–57. [Google Scholar] [CrossRef]













Disclaimer/Publisher’s Note: The statements, opinions and data contained in all publications are solely those of the individual author(s) and contributor(s) and not of MDPI and/or the editor(s). MDPI and/or the editor(s) disclaim responsibility for any injury to people or property resulting from any ideas, methods, instructions or products referred to in the content. |
© 2025 by the authors. Licensee MDPI, Basel, Switzerland. This article is an open access article distributed under the terms and conditions of the Creative Commons Attribution (CC BY) license (https://creativecommons.org/licenses/by/4.0/).
Share and Cite
Lin, X.; Nie, X.; Fu, J.; Qin, Y.; Wang, L.; Yan, Z. Vibration Control and Energy Harvesting of a Two-Degree-of-Freedom Nonlinear Energy Sink to Primary Structure Under Transient Excitation. Buildings 2025, 15, 3561. https://doi.org/10.3390/buildings15193561
Lin X, Nie X, Fu J, Qin Y, Wang L, Yan Z. Vibration Control and Energy Harvesting of a Two-Degree-of-Freedom Nonlinear Energy Sink to Primary Structure Under Transient Excitation. Buildings. 2025; 15(19):3561. https://doi.org/10.3390/buildings15193561
Chicago/Turabian StyleLin, Xiqi, Xiaochun Nie, Junjie Fu, Yangdong Qin, Lingzhi Wang, and Zhitao Yan. 2025. "Vibration Control and Energy Harvesting of a Two-Degree-of-Freedom Nonlinear Energy Sink to Primary Structure Under Transient Excitation" Buildings 15, no. 19: 3561. https://doi.org/10.3390/buildings15193561
APA StyleLin, X., Nie, X., Fu, J., Qin, Y., Wang, L., & Yan, Z. (2025). Vibration Control and Energy Harvesting of a Two-Degree-of-Freedom Nonlinear Energy Sink to Primary Structure Under Transient Excitation. Buildings, 15(19), 3561. https://doi.org/10.3390/buildings15193561

