Abstract
With the global concept of sustainable development gaining widespread acceptance, the resource utilization of solid waste has become an important research direction in the field of building materials. Geopolymer concrete (GPC), especially solid waste-based geopolymer concrete (SWGPC) prepared using various industrial solid wastes as precursors, has gradually become a frontier in green building material research due to its low carbon footprint, high strength, and excellent durability. However, the rapid expansion of literature calls for a systematic review to quantify the knowledge structure, evolution, and emerging trends in this field. Based on two thousand and thirty-nine (2039) relevant articles indexed in the Web of Science Core Collection database between 2008 and 2025, this study employs bibliometric methods and visualization tools such as VOSviewer and CiteSpace to systematically construct a knowledge map of this field. The research comprehensively reveals the developmental trajectory, research hotspots, and frontier dynamics of SWGPC from multiple dimensions, including publication trends, geographical and institutional distribution, mainstream journals, keyword clustering, and burst word analysis. The results indicate that the field has entered a rapid development stage since 2016, with research hotspots focusing on the synergistic utilization of multi-source solid waste, optimization of alkali-activation systems, enhancement of concrete durability, and environmental impact assessment. In recent years, the introduction of emerging technologies such as machine learning, 3D printing, and nano-modification has been driving a paradigm shift in research. This systematic analysis not only clarifies research development trends but also provides a theoretical basis and decision-making support for future interdisciplinary integration and engineering practice transformation.
1. Introduction
Ordinary Portland cement (OPC) has long been the dominant construction binder. However, its production consumes large amounts of non-renewable resources such as limestone and clay, alongside fossil fuels like coal. The process not only accelerates the depletion of natural resources but also generates substantial emissions of CO2, SO2, NOx, and dust. According to the International Energy Agency (IEA), cement production alone accounts for nearly 8% of global CO2 emissions [1]. Recent frameworks highlight the urgency of decarbonizing cement plants through technological innovation to achieve net-zero emissions [2]. Against the backdrop of resource scarcity and worsening environmental conditions, promoting the green transformation of the building materials industry and realizing “carbon peak and carbon neutrality” goals have become global imperatives. Within this context, the efficient disposal and resource utilization of solid waste has emerged as a critical research focus. Developing high-performance building materials from diverse solid wastes based on their physicochemical properties not only facilitates waste resource utilization but also delivers significant environmental and economic benefits.
The concept of the “geopolymer” was first introduced by French scholar J. Davidovits. It refers to an inorganic polymeric aluminosilicate material formed by the polymerization of silicon–oxygen and aluminum–oxygen tetrahedra under alkaline conditions [3]. Geopolymers exhibit excellent compressive and flexural strength, as well as resistance to acid, alkali, high temperature, and corrosion, making them a strong alternative to OPC [4]. Compared with OPC, geopolymer concrete (GPC) generally reduces carbon emissions during production. However, the synthesis of alkali activators—particularly sodium silicate and sodium hydroxide—can contribute significantly to the overall carbon footprint. Life cycle assessments reveal that activator production may account for 30–50% of total GPC emissions [5], especially when fossil-based energy is used. Thus, while geopolymers eliminate CO2 emissions from limestone calcination (the major contributor in OPC production), their environmental performance must be evaluated holistically, considering precursor types, activator routes, transportation, and energy consumption [6].
Geopolymer raw materials are diverse, as almost all aluminosilicate-rich pozzolanic materials—such as fly ash (FA), metakaolin (MK), red mud, slag, waste glass, and mining tailings—can serve as precursors [7]. When combined, different wastes may generate synergistic effects through cooperative reactions, functioning as reactive component suppliers, structural stabilizers, or microstructural regulators in the geopolymerization process [8]. This leads to the development of solid waste-based geopolymer concrete (SWGPC), a novel and sustainable building material with broad application potential across civil engineering, environmental science, and materials science [9].
SWGPC not only provides a pathway for solid waste utilization but also reduces energy consumption and carbon emissions in the building materials sector, aligning with global sustainability goals. Its practical applications continue to expand. In infrastructure projects such as roads, bridges, and tunnels, GPC offers high compressive strength and durability while lowering project costs [10]. In structural applications, it reduces self-weight and improves efficiency. In harsh environments—marine, acidic, or alkaline—geopolymer concrete demonstrates superior corrosion resistance compared with OPC.
Due to its densely cross-linked aluminosilicate network, geopolymer also exhibits excellent high-temperature resistance [11]. Unlike OPC, which dehydrates and loses gel integrity at elevated temperatures, geopolymers contain little chemically bound water and maintain structural stability under thermal exposure [12]. Studies indicate that, between 100 °C and 800 °C, GPC experiences significantly less strength loss than OPC, making it highly suitable for fire-resistant construction [13]. Although its thermal behavior is ceramic-like, geopolymer formation does not require high-temperature sintering, further reducing energy demand.
In terms of hazardous waste immobilization, geopolymer shows unique advantages. Its zeolite-like aluminosilicate network can encapsulate radionuclides and heavy metals, preventing leaching. In contrast, OPC concrete, due to its lime content, often reacts with aggressive chemicals, limiting its application in waste treatment. The absence of easily reactive phases such as Ca(OH)2 makes geopolymer more suitable for stabilizing corrosive and toxic wastes [14].
Nevertheless, challenges remain. Solid waste precursors vary widely in source, composition, and reactivity, which significantly influences key performance indicators such as setting time, workability, and mechanical strength. Moreover, the reaction mechanism of geopolymerization is not fully understood, and mix design is still largely empirical [15]. Long-term durability under diverse environmental conditions also requires further validation [16].
Recent years have seen rapid growth in SWGPC research, covering raw material characterization, reaction kinetics, mix optimization, and performance testing. With the volume of literature expanding quickly, systematic organization is essential to identify research hotspots and emerging trends. Bibliometric analysis tools such as VOSviewer (v1.6.19) and CiteSpace (v6.2 R4) enable structured knowledge mapping through citation networks, keyword clustering, and collaboration analysis, providing insights into the intellectual landscape and frontier dynamics of the field.
While many reviews have focused on geopolymer materials and mechanisms, a comprehensive bibliometric analysis of SWGPC remains lacking. To address this gap, the present study analyzes 2039 publications indexed in the Web of Science Core Collection (2008–2025). The objectives are to (i) trace the developmental trajectory and identify key research fronts; (ii) visualize collaboration networks and thematic clusters; and (iii) highlight emerging trends such as machine learning integration, multi-waste synergy, and nano-modification.
Unlike earlier narrative reviews, this work combines quantitative bibliometrics with mechanistic interpretation. Beyond mapping contributors and topics, it links co-occurrence and co-citation patterns to precursor chemistry and gel formation mechanisms (N-A-S-H vs. C-(A)-S-H), explaining how microstructural evolution governs durability and performance.
Furthermore, this review identifies bridging topics that connect fundamental material chemistry to engineering applications, and proposes a roadmap integrating machine learning, multiphysics simulation, and life cycle assessment (LCA) for interpretable and efficient material design. By synthesizing large-scale evidence with a mechanism-oriented framework, this study provides both theoretical insights and practical guidance for advancing sustainable geopolymer concrete.
2. Data Source and Bibliometric Methodology
2.1. Data Source
Building upon earlier reviews, this study systematically investigates the research progress of solid waste-based geopolymer concrete (SWGPC). It focuses on precursor characteristics, reaction mechanisms, and technical challenges, with special attention to their influence on concrete performance. To capture research hotspots and evolutionary trends, the Web of Science (WoS) Core Collection was selected as the primary data source, given its rigorous curation of high-impact journals and global representativeness.
The retrieval strategy combined keywords such as “geopolymer concrete” AND (“solid waste” OR “industrial by-product” OR “fly ash” OR “slag”), targeting relevant articles and reviews published between 2008 and 2025. Screening was conducted following the PRISMA protocol, with a three-stage process: (i) title and keyword screening to remove irrelevant literature; (ii) abstract review to assess topic relevance; (iii) full-text review to ensure a focus on solid waste-based geopolymer concrete.
After screening, 2039 highly relevant articles were included. These span multiple dimensions—precursor composition, preparation methods, mechanical behavior, durability, and engineering applications—providing a robust basis for bibliometric analysis.
2.2. Statistical Methods for Bibliometric Analysis
To analyze research trends and knowledge structures, two widely recognized bibliometric visualization tools were used: VOSviewer (v1.6.19) and CiteSpace (v6.2 R4). VOSviewer was applied to construct co-occurrence and co-citation networks, using the following thresholds: minimum keyword frequency ≥ 15 (top 10% of terms), minimum author output ≥ 5 publications, and minimum institutional collaboration frequency ≥ 3.
The LinLog attraction–repulsion layout and modular optimization clustering were adopted to improve cluster readability and boundary clarity. CiteSpace was used for time-slice analysis (2008–2025; 2-year intervals), burst detection (Kleinberg algorithm, γ = 0.5, and minimum burst duration = 3 years), and network pruning (Pathfinder method).
Complementary analysis was performed in Excel 2016, mainly for data cleaning, deduplication, and standardization of institution names. To verify dataset robustness, a random sample of 204 publications was cross-validated against Scopus, yielding an 89% overlap rate (κ = 0.82), confirming good representativeness.
2.3. Literature Retrieval and Data Processing
This study adopts a systematic bibliometric approach, with data retrieved from the Web of Science (WoS) Core Collection. The search strategy was TS = (“geopolymer concrete” OR “alkali-activated concrete”) AND (“solid waste” OR “industrial by-product” OR “fly ash” OR “slag”). The query was restricted to articles and reviews in English published between 2008 and 2025, excluding conference abstracts and other non-research documents. A preliminary dataset of 3045 records was obtained. Following the PRISMA protocol, the screening was conducted in three steps: (i) Title and keyword check—to exclude irrelevant studies (e.g., non-construction research); (ii) Abstract review—to confirm thematic relevance; (iii) Full-text review—to ensure the focus on solid waste-based geopolymer concrete. After screening, 2039 publications were retained for analysis (Figure 1).
Figure 1.
PRISMA 2020 flow diagram illustrating literature screening and selection.
For network construction, VOSviewer (v1.6.19) was used with the following parameters: minimum keyword frequency ≥ 15 (top 10% of high-frequency terms); minimum author publications ≥ 5; minimum institutional collaborations ≥ 3. The LinLog attraction–repulsion layout was applied for clarity, and modularity-based clustering was used to identify research themes. CiteSpace (v6.2 R4) was employed for time-zone mapping and burst detection, with settings as follows: Time span: 2008–2025; Interval: 2 years per slice; Node types: keywords, institutions, and countries; Pruning: Pathfinder; Burst detection: Kleinberg algorithm (γ = 0.5; minimum burst duration = 3 years). Auxiliary data cleaning, such as duplicate removal, conversion of non-Roman characters, and institutional name standardization, was carried out in Excel 2016. Multiple bibliometric indicators were applied: Salton’s cosine formula for co-occurrence intensity; betweenness centrality to evaluate node bridging roles; Total Link Strength (TLS) to measure connectivity in VOSviewer.
Robustness checks confirmed dataset stability. When the keyword threshold was lowered from 15 to 10, the clustering structure remained consistent (Q-value change < 0.05). To validate corpus representativeness, a random sample of 204 publications was compared with Scopus, achieving 89% overlap (κ = 0.82), confirming that WoS adequately captures mainstream SWGPC research.
3. Bibliometric Analysis of Geopolymer Concrete Research
3.1. Annual Publication Trend Analysis
This paper systematically analyzed the 2039 core articles screened from the Web of Science database, plotting the annual publication volume and cumulative publication volume trends to reflect the global research activity and evolutionary path in solid waste-based geopolymer concrete. As shown in Figure 2, from 2008 to 2025, the annual publication volume and cumulative publication volume in this research field showed a significant growth trend, clearly divided into three stages: a slow exploration period (2008–2013), an accelerated growth stage (2014–2017), and a rapid expansion period (2018-present).
Figure 2.
Annual publication volume and cumulative publication volume trend chart (2008~2025).
In the slow development phase (2008–2013), despite increasing pressure for solid waste disposal and growing demand for sustainable building materials, research in this field was still in its preliminary exploration stage. The publication volume was low but increased year by year, growing from 1 article in 2008 to 26 articles in 2013, with an average annual publication volume of 8.17 articles during this period, reflecting the initial understanding and experimental verification phase of this material system by the academic community.
The period from 2014 to 2017 marked the accelerated growth phase, with research results showing a stable upward trend. Annual publications increased from 30 in 2014 to 74 in 2017, maintaining an average annual growth of about 16 articles. During this stage, a large number of experimental and theoretical studies emerged. Researchers used scanning electron microscopy (SEM), X-ray diffraction (XRD), and compressive strength tests to deeply analyze the microstructure and performance characteristics of geopolymer concrete, and constructed various mix optimization and performance prediction models, such as damage degradation models and long-term service performance models, promoting the construction of a theoretical system.
Since 2018, research has entered a period of rapid development. The annual publication peak was reached in 2023 with 381 articles published. The total publications during this stage amounted to 1770 articles, accounting for 86.8% of the total publications, with an average annual publication volume of 221.3 articles, nearly 27 times the volume of the initial stage. This explosive growth benefited from the accumulation of previous research, the expansion of application scenarios (such as marine engineering and extreme environment building materials), and the introduction of functional materials, shifting the research focus towards multi-functional composites, durability enhancement, and sustainable building integration.
3.2. Core Journals and Co-Citation Analysis
Research on SWGPC is at the frontier of the integration of building materials science and environmental engineering, with its core goal being to promote solid waste resource utilization and develop high-performance green building materials. By analyzing journal publication volume, citation frequency, and journal influence indicators (JCIs), the core platforms for academic dissemination and their research foci can be identified.
UK journals dominate this field, with seven selected; Switzerland has two and the USA has one. Construction and Building Materials ranks first with 469 articles, being the authoritative journal in this field; followed by Journal of Building Engineering (144 articles) and Materials (97 articles). In terms of JCI value, Cement and Concrete Composites leads with 1.85, followed by Journal of Cleaner Production (1.52) and Construction and Building Materials (1.42), indicating their significantly higher citation influence compared to similar journals.
Co-citation analysis reveals the academic association network between journals. In the co-citation map, Construction and Building Materials occupies the core position with the largest node frequency. Journal of Building Engineering and Materials also form larger citation clusters. Additionally, journals such as Case Studies in Construction Materials, Structures, and Structural Concrete form distinct academic clusters of their own colors, constituting important support for sub-fields within SWGPC research. These journals focus on key issues such as resource-efficient utilization, geopolymer performance optimization, and the construction of green building material systems.
3.3. Co-Citation Analysis of Core Literature
To deeply analyze the important literature foundation and research hotspots in the field of SWGPC, this paper systematically organized the top ten core literature by citation frequency. These highly cited publications were mainly published before 2015, with only one published recently, and all were completed by multiple authors, reflecting the highly collaborative and continuously accumulating nature of research in this field.
Among these ten core publications, seven primarily focus on the influence of different types of solid waste precursors on the properties of GPC, two concentrate on optimization strategies for geopolymer preparation processes, and one investigates its durability performance in extreme environments. The most cited article is by Duxson et al. [17], published in Cement and Concrete Research, titled “The role of inorganic polymer technology in the development of ‘green concrete’”, which has been cited over 1400 times. This paper systematically discusses the potential of inorganic polymer technology in the development of green building materials and the challenges it faces. It points out that, although such materials have advantages like low carbon emissions, excellent mechanical properties, and durability, they still face promotion obstacles such as insufficient standardization, lack of long-term durability verification data, and low market acceptance. The author further suggests that standard development and raw material adaptability research should be accelerated to promote the widespread application of this technology.
The second-ranked paper by McLellan et al. [18], published in Journal of Cleaner Production, titled “Costs and carbon emissions for geopolymer pastes in comparison to ordinary portland cement”, compares the differences in carbon emissions and costs between geopolymers and OPC, emphasizing the significant carbon reduction potential of geopolymers but noting their cost fluctuations, particularly showing greater sensitivity to distance in terms of transportation costs. Additionally, the authors introduced response surface methodology to optimize the preparation process, providing a theoretical basis and operational guidance for industrial production.
3.4. Author Output and Collaboration Analysis
To systematically evaluate the distribution of scientific research forces in the field of SWGPC, this paper counted the top ten high-yield authors in terms of publication volume. Among them, Chinese scholars occupy seven positions, the USA and Australia each have two, and the UK has one, reflecting the wide distribution and active participation of research forces globally in this field.
The further drawn author collaboration network map reveals the complex and close cooperative relationships among authors. In the co-authorship network presented, each node denotes an author, with node size scaled proportionally to the author’s total number of collaborative publications. Edges represent collaborative relationships between authors, where edge thickness corresponds to the frequency of collaboration (i.e., thicker edges indicate higher co-authoring frequency). The map differentiates author collaboration clusters by different colors, facilitating the identification of academic team compositions.
In the map, Pham TM, Elchalakani M, and Hao Hong form stable high-frequency collaboration clusters with close relationships and significant output. The core area shows multiple high-density collaboration cores, reflecting the formation of stable international academic networks in this field, with increasingly diversified and systematized collaboration models among scholars.
3.5. Research Hotspots and Frontiers
Keyword analysis serves as an important means to explore research hotspots and development trends in SWGPC, capable of revealing core concepts, research foci, and evolutionary trajectories within the field. By constructing a knowledge map of high-frequency keywords, this paper systematically organizes the intrinsic relationships and logical structures among various themes. In Figure 3, nodes represent keywords, and the node size is proportional to their frequency in the literature, reflecting the importance of the theme in research; lines between nodes represent co-occurrence relationships, indicating that they are mentioned together in the same document, revealing cross-associations between research themes; different colors represent different clusters, each forming a relatively independent research direction.
Figure 3.
SWGPC domain keyword co-occurrence Distribution Knowledge Map.
The keyword co-occurrence analysis reveals three distinct yet interconnected research cores (Figure 3). The prominent red cluster, interlinking ‘fly ash’ with ‘mechanical properties,’ signifies that a major thrust of SWGPC research is not merely about using fly ash as a raw material, but fundamentally about understanding and engineering the mechanical performance of the resulting composite. This highlights a maturation from simple waste utilization towards performance-driven material design. The green cluster, centered on “geopolymer concrete” and “compressive strength”, emphasizes the environmental friendliness of this material and its application in green buildings. The blue cluster revolves around keywords like “microstructure”, “performance”, and “strength”, focusing on the coupling relationship between microstructure and performance, providing a theoretical basis for enhancing material durability.
Table 1 lists the top 10 high-frequency keywords, with “geopolymer concrete” (1149 times), “fly ash” (749 times), and “compressive strength” (700 times) ranking as the top three. These keywords not only reflect the concentration of research focus but also reflect the complete technical chain from material source to performance evaluation.
Table 1.
Top 10 high-frequency keywords in SWGPC research with frequency, year, and centrality.
The keyword timeline map (Figure 4) further reveals the phased evolution of research trends. Early keywords like “fly ash” frequently appeared, indicating that research focus concentrated on raw material resource utilization. In recent years, keywords like “mechanical properties” and “durability” have gradually become focal points, indicating a shift in research from raw material development to performance optimization and service capability enhancement, closely aligning with the urgent demand for high-performance and long-life concrete in the green building materials field.
Figure 4.
Timeline distribution of keyword occurrences in SWGPC research.
Figure 5 shows the keyword cluster distribution map. The numerical number represents the clustering and grouping of keywords, where Cluster #6 is located at the center of the network, connecting multiple research branches, indicating its pivotal role in the field. This cluster mainly covers the innovative application of alkali-activated materials in GPC preparation. Clusters #1 and #6 correspond to the two major research directions: “performance regulation” and “alkali activator optimization for performance regulation”. The former involves full-process control from raw material selection and mix design to curing conditions to achieve synergistic optimization of performance and workability; the latter focuses on improving active reaction efficiency by adjusting the type and concentration of alkali activators (such as sodium silicate, sodium hydroxide). Cluster #2 corresponds to application of machine learning in geopolymer material design.
Figure 5.
Keyword co-occurrence cluster map highlighting thematic groupings in SWGPC research.
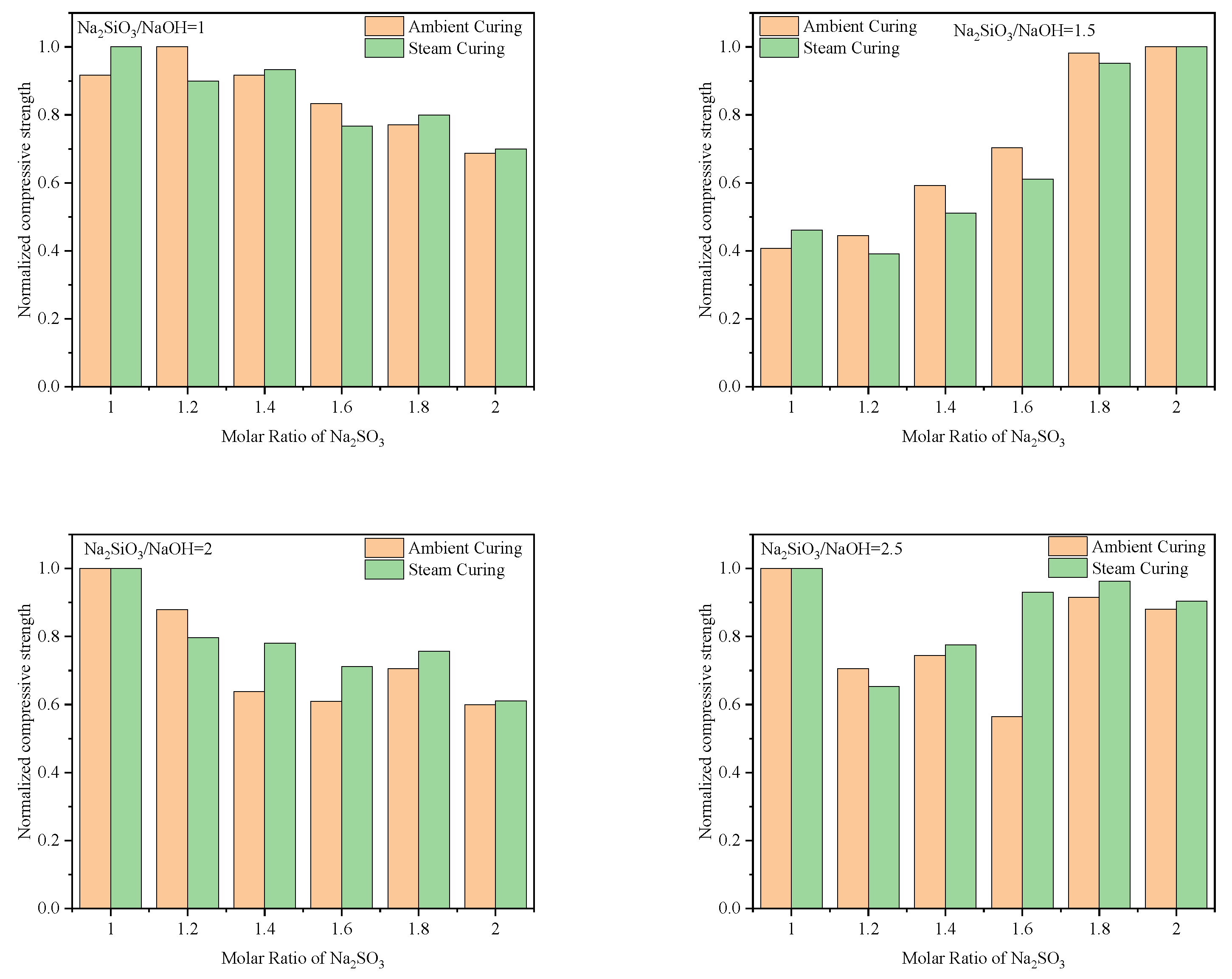
Related studies show that an excessively high alkali activator concentration may lead to rapid setting, affecting construction operations, while an insufficient concentration inhibits gel formation and reduces strength; the incorporation of functional components like recycled aggregates and phase change materials affects the pore structure and interfacial transition zone of concrete, significantly impacting durability and thermal performance. Therefore, dual regulation of the alkali activation system and composite materials has become a key technical path for enhancing the performance of SWGPC.
Cluster #0 and Cluster #7 focus on “functional material compounding” and “service performance enhancement”, respectively. The former enhances the concrete toughness and thermal regulation capacity by adding rubber particles, phase change materials, etc.; the latter focuses on long-term service performance research under complex environments (such as high temperature, chemical corrosion, and cyclic loading). Both emphasize the coupled regulation of microstructural and macroscopic properties, promoting the continuous expansion of GPC’s application adaptability in practical engineering.
As green buildings and infrastructure construction place higher demands on material durability and energy efficiency, ensuring structural safety and stability under complex service conditions has become a research priority. To address this issue, current research is systematically exploring multiple levels, including material design, preparation technology, composite technology, and interface regulation. Measures such as curing regime optimization, anti-corrosion coating design, and structural fine-tuning have been proven helpful in enhancing service performance.
The keyword timeline axis map shown in Figure 6 reveals the evolutionary trend of research directions. The four clusters formed by “machine learning”, “geopolymer concrete”, “alkali-activated materials”, and “compressive strength” are particularly prominent. Cluster #2, centered on “machine learning”, “prediction model”, “parameter optimization”, etc., establishes a data-driven performance prediction model framework. Especially after 2018, keywords like “deep learning” and “neural network” rapidly emerged, reflecting the penetration of artificial intelligence technology into the field of material design.
Figure 6.
SWGPC domain keyword cluster timeline map.
Cluster #3, “geopolymer concrete”, focuses on performance optimization and sustainability enhancement. Keywords like “flexural strength” and “setting time” frequently surged between 2015 and 2020, indicating that flexural performance and construction performance regulation became key research concerns. Cluster #9 focuses on keywords like “sodium silicate” and “activation efficiency”, representing research on the alkali activation mechanism, a key link in improving fundamental material properties.
In Cluster #0, “phase change materials” appeared as a recent burst word in 2021, indicating that research is gradually introducing temperature-regulating, energy-saving functional materials to expand the application boundaries of concrete; the continuous high frequency of “crumb rubber” also marks the rising importance of waste rubber particles in enhancing toughness. Through analysis, it is evident that SWGPC research is evolving from traditional material systems to a new stage integrating multi-functionality and intelligent control.
Overall, SWGPC research is showing the following trends: First, research content is shifting from resource utilization towards performance regulation and multi-functional integration. Second, research methods are shifting from traditional experimental approaches to a combination of numerical simulation and machine learning. Third, application scenarios are expanding from single structures to multiple fields, such as transportation, marine, and green buildings. Future research could further strengthen the systematic exploration of multi-source solid waste synergy mechanisms, deepen the understanding of the interaction mechanisms among material–structure–environment, and promote the development of this material system towards higher performance, broader adaptability, and lower carbon emissions.
3.6. Research Limitations
We fully recognize the limitations of using only the Web of Science (WoS) core collection database. Firstly, the inclusion preferences of Web of Science (WoS) may lead to incomplete literature coverage. Specific manifestations include the following: (1) Language bias: WoS mainly relies on English-language literature (92%), which may overlook important research results from non-English-speaking countries. Through Scopus sampling, we found that the WoS inclusion rate for relevant research in Chinese core journals is only about 65%. (2) Regional bias: Insufficient inclusion of local journals in developing countries, such as some volumes of the Indian Journal of Advanced Concrete Technology not being indexed. (3) Literature type bias: WoS tends to include basic research papers, which may underestimate achievements in engineering applications. However, our cross-validation with Scopus (89% overlap) and the alignment of the geographical distribution of publications in our dataset with global research output patterns confirm that the core trends are adequately represented. Secondly, the evolution of the database itself brings about temporal biases. WoS significantly expanded its inclusion of Asian journals after 2015 (with an average annual growth rate of 12%), which may have led to insufficient geographical representation of the early literature collection (2008–2014). To evaluate the impact of this bias, we took the following measures: firstly, cross-validation was conducted on 10% of the sample literature (n = 204) using the Scopus database, and the results showed that the overlap rate of the core literature reached 89% (kappa = 0.82), indicating that WoS has good representativeness for the coverage of this research topic; secondly, we analyzed the national/regional distribution of the literature and found that it is basically consistent with the actual output pattern of global solid waste resource utilization research (24.08% in India, 21.19% in China, and 17.07% in Australia).
4. Review of Research Status and Progress of Solid Waste-Based Geopolymer Concrete
4.1. Fresh-State Properties of Geopolymer Concrete
The fresh-state properties of geopolymer concrete (GPC), particularly its early-age strength development and workability, are fundamental characteristics distinguishing it from ordinary Portland cement concrete (OPC). These properties directly impact constructability, early structural performance, and long-term durability. A comprehensive understanding of these characteristics and their influencing factors is essential for optimizing mix design and guiding field implementation.
4.1.1. Early-Age Strength Development
A key advantage of geopolymer concrete (GPC) over ordinary Portland cement concrete (OPC) is its exceptionally rapid early-age strength development [19]. This characteristic offers significant benefits for projects requiring fast formwork removal, early loading, or accelerated construction schedules, such as precast element production, rapid repair works, and construction in cold regions.
Comparison with OPC: In contrast, OPC strength development relies on the gradual accumulation of calcium silicate hydrate (C-S-H gel). Its early strength mainly comes from the rapid hydration of aluminate phases (e.g., ettringite formation), while the primary strength-contributing C-S-H gel forms at a slower rate. This results in significantly lower initial strength for OPC compared to equivalent GPC [20].
Influence of Curing Temperature: Elevated curing temperature is highly effective for accelerating early strength development in GPC. Moderately increased temperatures (typically 40–80 °C) significantly enhance alkali-activation kinetics, promoting gel formation, maturation, and densification, enabling high strength within a very short timeframe [21]. However, excessively high temperatures or rapid heating rates can induce internal thermal stresses and exacerbate moisture migration, potentially causing microcracking that compromises long-term strength and durability [22]. Therefore, optimizing the curing regime (temperature, duration, and heating rate) is critical for maximizing GPC’s early strength advantages while ensuring long-term performance.
Analysis of Key Influencing Factors: (1) Precursor Characteristics: The chemical composition (reactive Si/Al content), mineral phases, particle morphology, and fineness of precursors determine reactivity. For instance, metakaolin typically exhibits higher early reactivity than fly ash due to its highly amorphous structure and larger specific surface area, enabling the faster formation of the strength-giving matrix [23]. Finer precursor particles provide greater reactive surface area, accelerating gel formation and early strength development [24]. Slag inclusion generally enhances early strength. (2) Mix Design: (a) Silica Fume: Optimal silica fume addition provides highly reactive amorphous SiO2, acting as an additional silica source that contributes to forming more gel phase, thereby enhancing the strength (including early strength). Its micro-filler effect also refines the pore structure [25]. However, excessive silica fume drastically increases the paste viscosity, reduces the workability, and may inhibit strength development due to increased water demand or altered reaction environments [26]. (b) Water-to-Binder Ratio (W/B): Reducing the W/B ratio is a classical approach for improving GPC compactness and strength. A lower W/B minimizes capillary pore formation and promotes gel phase continuity, significantly benefiting both early- and later-age strength [27]. Note that GPC paste inherently exhibits higher viscosity; excessively low W/B severely impairs workability (e.g., flowability and pumpability), creating construction difficulties. Identifying the lowest feasible W/B that satisfies placement requirements is a key mix optimization focus. (c) Alkali Content and Modulus: The alkali content (concentration) and modulus (SiO2/Na2O molar ratio) in sodium silicate solutions directly influence reaction kinetics and product composition. Appropriate alkali content and modulus are prerequisites for complete reaction and desirable early strength. Insufficient levels lead to slow reactions and delayed strength gain, while excessive levels may cause overly rapid reaction, increased shrinkage, or long-term strength regression.
Summary and recommended curing regimes for early strength: ambient curing at 20–25 °C yields slower strength development and is suitable for mixes rich in high-reactivity precursors (e.g., MK and slag). Moderate thermal curing (40–80 °C for 6–24 h) substantially accelerates geopolymerization, delivering high early strength for precast or rapid-repair applications. Excessive temperatures (>80–90 °C) or rapid heating/cooling may induce moisture gradients and microcracking, compromising later-age strength and durability. Where thermal curing is applied, a controlled ramp (≈10–20 °C/h), hold, and slow cool-down are recommended to balance early gain with long-term performance.
4.1.2. Workability
GPC workability encompasses flowability (fluidity), plasticity, cohesion, and water retention. It directly influences the ease of transporting, placing, compacting, and finishing of the concrete mixture to achieve uniform consolidation. GPC workability differs intrinsically from OPC, requiring adapted construction practices.
Flowability and Viscosity Characteristics: GPC paste typically exhibits higher viscosity and lower plastic flow than OPC [28]. This stems from two main factors: firstly, alkaline activator solutions themselves possess high viscosity (especially high-modulus sodium silicate solutions); secondly, the aluminosilicate gel formed during GPC hydration develops high structural viscosity early on. Additionally, the CH crystals present in OPC systems provide some lubrication, which is absent in GPC. Consequently, directly applying OPC experience to assess or design GPC flowability is often inappropriate.
Flowability Optimization Strategies: (1) Mix Proportioning Adjustments: (i) Increasing Water-to-Binder Ratio (W/B): This is the most direct method to enhance flow. However, as noted, excessive increases in W/B significantly impair GPC strength and durability (increased porosity and reduced density), and should be used cautiously, typically only for fine-tuning [29]. (ii) Controlling Silica Fume Content: While silica fume enhances later-age properties, its extremely high specific surface area substantially increases water demand and paste viscosity, significantly reducing flowability [30]. Strictly controlling the silica fume dosage, or combining it with HRWR/SP, is key to balancing its positive (strength) and negative (flow) effects. (iii) Fine Aggregate Proportion: Appropriately increasing the sand proportion helps improve mixture cohesion and water retention, reducing segregation and bleeding risks, and can sometimes moderately improve flowability [31]. (2) Chemical Admixtures: (i) High-Range Water Reducers/Superplasticizers (HRWR/SP): These are the most common and effective means to improve GPC flowability. HRWR/SP adsorb onto particle surfaces, generating electrostatic repulsion or steric hindrance that effectively disperse particles and release entrapped water. This significantly reduces the paste viscosity and enhances flowability without additional water [32]. Crucially, different HRWR/SP types (naphthyl, polycarboxylate ether (PCE), etc.) have different compatibilities with the GPC system, necessitating experimental optimization. (ii) Air-Entraining Agents (AEAs): Introducing a controlled amount of stable, uniformly distributed microscopic air bubbles provides a “ball bearing” lubricating effect, improving flowability, particularly in low-W/B or high-viscosity mixes. Simultaneously, AEAs significantly enhance GPC freeze–thaw resistance [33]. However, the AEA dosage must be precise; excessive air content reduces strength and can cause segregation, bleeding, or strength loss. Effectiveness is also influenced by the alkaline activator type and concentration. Practical protocol to determine the optimal AEA dosage: (i) conduct titration trials at 0.1–0.5% by binder mass, targeting a fresh-air content of 4.0–5.5% while maintaining slump/workability requirements; (ii) verify 24 h and 28 d compressive strength retention ≥ 90% vs. non-AEA control; (iii) assess freeze–thaw durability (e.g., relative dynamic modulus ≥ 90% after 300 cycles) to confirm the protective benefit; (iv) iterate dosage to minimize the strength penalty while meeting air and durability targets. Note that alkali-activated systems may require lower AEA dosages than OPC for the same air content; compatibility tests with the specific activator (Na2SiO3/NaOH ratio or silicate modulus) and superplasticizer are essential to prevent over-airing or bubble instability [33].
Cohesion and Water Retention: GPC typically demonstrates better cohesion and water retention than OPC [34]. This is primarily attributed to the viscous, continuous network structure of the aluminosilicate gel formed during alkali activation. This structure effectively binds water, minimizing bleeding, and enhances particle bonding, reducing segregation tendencies. This gives GPC potential advantages in applications like pumping or placement on slopes.
Influence of Precursor Composition: Cohesion and water retention vary with the precursor type. Metakaolin-based GPC usually exhibits strong cohesion and stickiness. Fly ash-based GPC is less viscous but exhibits good water retention. Slag incorporation may reduce viscosity. A high silica fume content significantly increases cohesiveness, potentially causing excessive stickiness that hampers construction. Water Retainers and Viscosity Modifying Admixtures (VMAs): Under harsh environmental conditions (hot, dry, or windy), water-retaining admixtures or viscosity-modifying admixtures (VMAs) can compensate for evaporation losses, maintain sufficient working time (open time), and prevent rapid setting [35]. Water retainers help lock in moisture, while VMAs increase paste viscosity, reducing bleeding/segregation risks and slowing evaporation rates.
Optimizing GPC fresh properties, particularly balancing the requirement for rapid early-age strength development with the need for adequate workability (especially flowability) for construction, is the core challenge for its successful application. This requires systematic consideration of multiple factors: precursor selection, alkali-activator formulation, W/B ratio, supplementary cementitious materials (e.g., silica fume), HRWR/SP selection and dosage, and curing conditions. Rigorous laboratory testing during mix design is indispensable to identify the optimal balance meeting specific project requirements (strength, construction method, and environmental exposure). A deep understanding of GPC’s unique rheological behavior is fundamental to addressing this challenge.
4.1.3. Setting Time and Initial Reaction
The setting time of geopolymer concrete reflects the transition from a fresh, flowable paste to a rigid solid structure, governed predominantly by the early reaction kinetics. This phase is significantly influenced by the solubility of aluminosilicate species from precursor materials, the concentration and viscosity of alkali activators, the water-to-binder ratio, and the curing conditions.
Studies have shown that increasing the alkali content accelerates the dissolution of reactive species, thereby shortening the initial and final setting times. For example, Pasupathy et al. [36] demonstrated that using higher NaOH concentrations in ground brick waste-based geopolymer foams reduced the initial setting time from 315 min to 140 min due to faster activation kinetics.
Moreover, additives such as sucrose have been explored to extend the setting time by delaying the gelation process. Assi et al. [37] observed that sucrose incorporation into silica fume-modified activators effectively prolonged both initial and final setting times, offering improved workability and adaptability during casting.
Analytical techniques such as differential scanning calorimetry (DSC), X-ray diffraction (XRD), and Fourier-transform infrared spectroscopy (FTIR) have been used to monitor the geopolymerization process and identify gel phases. A study by Wang et al. [38] highlighted that the presence of iron in iron ore tailings (IOT) can catalyze early reactions and promote rapid formation of geopolymer gels, thereby reducing the setting time significantly.
4.1.4. Rheological Behavior
The rheological behavior of fresh geopolymer concrete, characterized by yield stress and plastic viscosity, is critical in determining its flowability, pumpability, and suitability for placement. Compared to ordinary Portland cement, geopolymer systems often show higher viscosity and rapid structure buildup due to the fast gelation of aluminosilicate species.
For example, high-calcium fly ash (HCF)-based geopolymer binders exhibit significantly increased yield stress due to early formation of calcium-aluminosilicate-hydrate (C-A-S-H) gels, reducing the overall workability [39]. The incorporation of superplasticizers such as polycarboxylates can mitigate this by decreasing interparticle attraction, thereby reducing plastic viscosity [40].
Temperature is another crucial factor influencing rheology. Tennakoon et al. [41] found that elevated curing temperatures enhance the dissolution rate of precursors and the polymerization process, leading to shear-thickening behavior and faster slump loss in geopolymer mixes.
Rheological measurements using rotational rheometers (e.g., Brookfield or Haake) and fitting models like Bingham or Herschel–Bulkley enable quantitative evaluation. Understanding these behaviors not only aids in improving on-site casting but also plays a vital role in digital manufacturing applications such as 3D printing, where flow control and structural buildup are paramount.
4.2. Chemical Composition and Microstructural Characterization
4.2.1. Classification of Solid Waste-Based Precursors
Geopolymer concrete precursors typically refer to solid raw materials with potential aluminosilicate activity that can form a three-dimensional network geopolymer gel after activation by alkali activators. Their chemical composition is primarily silicon (Si), aluminum (Al), and oxygen (O), and also contains metal oxides such as calcium (Ca), sodium (Na), potassium (K), iron (Fe), and magnesium (Mg), with the specific composition varying by the raw material type.
Precursor materials mainly originate from aluminosilicate-rich solid wastes or natural minerals [42]. According to different sources, precursor materials can be divided into three major categories: industrial solid waste, natural minerals, and agricultural by-products. Different types of raw materials have significant differences in the chemical composition, glass phase content, activity level, and activation conditions, which critically affect the final material properties. Their reactivity, chemical composition, and phase structure directly determine the strength, durability, and environmental adaptability of the final geopolymer system [43].
Industrial Solid Waste Precursors
Industrial solid wastes are the most widely studied precursor type, mainly including fly ash (FA), ground granulated blast furnace slag (GGBFS), steel slag (SS), silica fume (SF), coal gangue (CG), etc. Fly Ash (FA): A fine-grained spherical vitreous material derived from the flue gas collection systems of coal-fired power plants. Rich in SiO2 and Al2O3, with a low CaO content and a high Si/Al ratio (≈2–3). Requires strong alkali activators (e.g., NaOH + Na2SiO3). Early strength development is slow but later strength is high. GGBFS: Derived from molten slag from blast furnace ironmaking; water-quenched and ground. Main chemical components: SiO2, Al2O3, CaO, and MgO. High Ca content and low Si/Al ratio (≈1–2). Activated by alkaline or neutral activators (e.g., lime + gypsum). Hydration reaction resembles cement. Early strength is high. Steel Slag (SS): Waste slag from steelmaking processes; crushed and ground. Main chemical components: CaO, SiO2, Al2O3, Fe2O3/FeO, and MgO. Characterized by low reactivity. Often used blended with FA or slag, or calcined at high temperature to enhance reactivity. Can serve as both binder and aggregate. Silica Fume (SF): By-products in the production of silicon metal or ferrosilicon. Extremely fine particles (average size 0.1–0.2 μm). Main chemical component is SiO2, but also Al2O3 and Fe2O3. Very high reactivity, significantly improves early strength and compactness. High water demand, and can reduce workability [44]. Coal Gangue (CG): Waste from coal mining and washing. Main components are clay minerals (e.g., kaolinite, and illite). Main chemical components: SiO2, Al2O3, Fe2O3, CaO, and MgO. Requires calcination at 600–800 °C for activation to destroy the clay mineral structure and release active Si/Al components. Innovative recycling pathways for industrial solid wastes (e.g., mechanochemical activation) are critical to enhance reactivity while minimizing processing costs [45]. The chemical composition of geopolymer precursors determines their reactivity, activation conditions, and final performance.
Natural Mineral Precursors
Metakaolin (MK): Derived from natural kaolin (Al2Si2O5(OH)4) calcined at 600–900 °C, and dehydroxylated to form amorphous aluminosilicate. Main chemical components are SiO2 and Al2O3. Si/Al ratio (≈1.5) is close to the ideal geopolymer composition. Rapid activation reaction. Can produce a high-strength geopolymer (compressive strength > 100 MPa). Relatively high cost. Clay minerals, as sustainable binders, offer significant potential for geopolymer synthesis due to their aluminosilicate-rich composition and low environmental impact [46]. Volcanic Ash: Natural aluminosilicate minerals formed by volcanic eruptions, e.g., perlite and obsidian. Main chemical components: SiO2, Al2O3, Fe2O3, CaO, and MgO. Requires grinding or calcination to release activity. Early strength is low. Often blended with other precursors [47].
Agricultural Solid Waste Precursors
Rice Husk Ash (RHA): Ash produced by the combustion of rice husks during rice processing. Rich in amorphous silica [48]. Main chemical components are SiO2 (requires controlled combustion temp < 600 °C to retain amorphous structure), C, and K2O (unburned carbon and potassium oxides). Low cost, high silica source, and can partially replace FA. Requires decarburization treatment to avoid affecting the setting.
Comparison of Chemical Composition and Performance
The performance of different precursors largely depends on their Si/Al ratio, Ca content, glass phase proportion, and Reaction Activity Index (RAI). For example, FA, with its high Si/Al ratio and low CaO content, typically forms the N-A-S-H-type gel, exhibiting good long-term strength development. In contrast, slag, with a high CaO content, tends to form C-(A)-S-H-type products, resulting in fast reaction and high early strength. Table 2 provides a comparative analysis of different precursors.
Table 2.
Factors controlling the activity of different precursors and their adapted activation conditions.
Natural minerals, although relatively costly, have pure structures and strong activity, making them high-quality resources for preparing high-performance geopolymer materials. Agricultural and other industrial wastes offer advantages like strong resource availability and significant environmental benefits, but require optimized pretreatment methods and blending ratios to improve their applicability and performance stability. Industrial solid wastes (e.g., FA and slag) are the mainstream raw materials due to their low cost and high Si/Al content. Their stability and low-cost advantages are the current mainstream direction for research and application, while natural minerals (e.g., MK) are mostly used for high-performance or special scenarios.
In summary, the chemical composition, active structure, and physical state of geopolymer precursors are key factors determining their performance in concrete systems. During material selection, a comprehensive consideration of the activator ratio, performance targets, and resource sustainability is essential. By blending different precursors (e.g., FA + slag), the Si/Al/Ca ratio can be optimized to balance strength, durability, and cost, promoting the engineering application of geopolymer concrete.
Synergistic Composition Strategies
Recent studies have increasingly explored the synergistic utilization of multiple solid waste sources to optimize both the reactivity and performance of geopolymer concrete. The rationale behind this approach lies in complementing the chemical composition and mineral phases of different wastes to achieve a balanced Si/Al/Ca ratio, thereby tailoring the formation of target gel phases such as N-A-S-H and C-(A)-S-H.
For example, the combination of Class F fly ash (low calcium and high silica) with ground granulated blast furnace slag (high calcium) has been widely reported to yield hybrid gels with improved early strength and durability. Studies by Deb et al. [49] and Nath and Sarker [50] demonstrated that a 50:50 FA–GGBFS blend under 10 M NaOH and sodium silicate solution produced compressive strengths exceeding 60 MPa within 28 days at ambient curing, outperforming single-precursor systems.
Similarly, the inclusion of silica fume into FA–MK blends contributes extra reactive silica, enhancing the degree of polymerization and densifying the pore structure. Researchers have also incorporated red mud with FA to leverage its alkaline content and residual alumina, while controlling heavy metal leachability through geopolymer encapsulation mechanisms.
A key consideration in these multi-precursor systems is the balance between the alkali demand and gel chemistry. High-Ca precursors promote C-A-S-H formation, enhancing the early strength but potentially reducing long-term stability in acidic environments. Conversely, low-Ca systems favor N-A-S-H gel, exhibiting superior acid resistance but slower strength development. Therefore, the selection of precursor compositions must be coupled with tailored activator systems, e.g., high-modulus waterglass for FA-rich systems and blended NaOH/Na2SO4 activators for GGBFS-based formulations.
Table 3 summarizes typical multi-source precursor strategies, their corresponding activator systems, and reported performance outcomes.
Table 3.
Multi-source precursor strategies and reported performance characteristics of SWGPC.
4.2.2. Alkali Activator Systems
Alkali activators play a core role in geopolymer concrete, acting as the reaction driving force that induces the dissolution, depolymerization, and reorganization of precursors into a three-dimensional network gel structure. Activators break the Si-O and Al-O bonds in the precursor by increasing the system alkalinity (OH− concentration) and introducing alkali metal ions (e.g., Na+ and K+), thereby releasing [SiO4]4− and [AlO4]5− monomers, promoting their condensation to form cementitious gel products such as N-A-S-H or C-(A)-S-H. Based on chemical composition and form of use, alkali activators can be divided into three categories: liquid strong alkalis, solid alkalis, and composite activators.
Liquid Strong Alkali Activators
Strong alkali solution activators, primarily aqueous solutions of strongly alkaline compounds, are the most commonly used type. The main types include NaOH/KOH solutions and sodium silicate (waterglass and Na2SiO3·nH2O) solution.
NaOH or KOH: Purity usually ≥96%. Dissolving in water provides a high concentration OH− ions, strong alkalinity (pH > 14), and high activation efficiency. Suitable for low-activity raw materials (e.g., FA). Solution concentration needs control (typically 5–12 mol/L). However, an excessively high alkali concentration can cause a violent reaction exotherm, increased porosity, and even microcracking, affecting the final structural performance [51].
Sodium Silicate (Waterglass): An activator that simultaneously provides an alkaline environment and a silicon source, thereby promoting polymerization. Chemical composition is mainly Na2O (or K2O), SiO2, and H2O, usually expressed as xNa2O·ySiO2·zH2O (x, y, and z molar ratios). Suitable for precursors with a low Si/Al ratio (e.g., slag). Requires dilution and modulus adjustment before use. Its modulus (Ms = SiO2/Na2O) typically ranges from 1.0 to 3.5, effectively participating in Si-Al polymerization and enhancing the gel formation rate. Low-modulus waterglass has strong alkalinity and fast polymerization, and is suitable for activating high Si/Al materials; high-modulus waterglass is rich in silicon source, and suitable for low-silicon systems or enhancing later strength. In practical engineering, the NaOH + Na2SiO3 composite system is often used, achieving performance balance by adjusting the ratio. It has a higher cost but superior comprehensive performance [52].
Composite Activators
To balance cost, workability, and performance control, researchers often combine multiple alkaline substances to form composite activator systems. Typical combinations include NaOH + sodium silicate, sulfates (e.g., Na2SO4) + alkali solution, etc.
NaOH + Sodium Silicate: Adjusts the Si/Al ratio, balances the alkalinity and silicon source supply, and improves the early strength and later density. Sulfates (e.g., Na2SO4) + Alkali Solution: Promotes calcium dissolution in slag and enhances the stability of cementitious products [53]. Composite activators effectively control the setting time, durability, and mechanical properties by optimizing ion migration, the gel nucleation rate, and the polymerization structure.
Solid Alkali Activators
Solid alkali activators are primarily solid alkaline substances that need to be mixed with water or directly added as components. They mainly include sodium carbonate (Na2CO3), potassium carbonate (K2CO3), and solid sodium silicate or potassium silicate.
Carbonates (Na2CO3, K2CO3): Pure carbonates. Dissolving in water hydrolyzes to generate OH− ions, providing an alkaline environment. Relatively weak alkalinity (pH~11–12). Slow activation speed, with a mild reaction. Suitable for situations requiring delayed setting or cost reduction.
Solid Silicates: Powder form. Need to be dissolved in water before use. Function similar to liquid silicate [54].
Influence of Key Parameters
Activator performance is controlled by key parameters such as the alkali concentration, modulus, and type of metal cation [55]. These parameters interact and jointly determine the reaction rate, gel structure, and final performance [56].
The type of alkali metal, silicate modulus, alkali concentration, and dosage of the activator are the core levers for controlling the reaction kinetics, microstructure formation, and ultimate macroscopic performance of geopolymer concrete, as shown in Table 4. A profound understanding of the mechanism of each parameter and their interrelationships, combined with systematic optimization based on specific raw materials and target performance, is key to the successful preparation of high-performance geopolymer concrete meeting engineering requirements. In practical applications, extensive experimentation (e.g., orthogonal tests) is needed to determine the optimal parameter combination for a specific system [57].
Table 4.
Summary of the performance impact of different parameters.
Pretreatment Techniques
Although solid waste precursor raw materials have significant advantages in resource recycling and cost control, their complex structure, low reactivity, and large compositional fluctuations often make it difficult to meet the demands of geopolymer concrete for early strength, density, and mechanical stability. Therefore, the appropriate pretreatment of precursors to enhance their activation performance and microstructural homogeneity is a key pathway to improving the performance and engineering adaptability of solid waste-based geopolymers [58].
Numerous pretreatment techniques for solid waste-derived raw materials have been investigated to reduce processing costs, enhance material reactivity, and optimize geopolymer performance [59]. The organic–inorganic hybrid interface optimization scheme can complement the mechanical chemical synergistic activation method, jointly explaining the mechanism of the 23% increase in the compressive strength of the surface-treated recycled aggregates shown.
- Physical Separation and Structural Optimization
Physical pretreatment is the most basic and relatively low-cost method, primarily removing inert components and enriching effective components through particle size control, density classification, and magnetic separation.
Air Classification and Sieving: Enriches small particle size and high-activity components, increases the specific surface area, and enhances the contact reaction rate with activators. Magnetic Separation: Effectively separates iron-containing or magnetic phase substances, e.g., removing some magnetic low-activity particles from FA. Studies show that FA treated by magnetic separation produces GPC with a significantly better reaction rate, mechanical strength, and durability than untreated raw materials. This difference stems from the regulatory effect of magnetic separation on mineral phase composition, altering interfacial reaction kinetics and increasing overall polymerization degree.
- 2.
- Chemical Additives and Synergistic Activation
Chemical pretreatment mainly enhances the depolymerization ability of the glass phase or amorphous phase in precursors by introducing additives or adjusting the pH of the solution system. Typical additives include accelerators (e.g., Ca(OH)2 and Na2SO4), retarders (e.g., sodium citrate), and water reducers (e.g., polycarboxylate-based superplasticizers. These additives can regulate the gel structure formation rate and solution uniformity in the early reaction stage, thus improving the material fluidity and structural stability. Additionally, for agricultural wastes with insufficient alkalinity or a high carbon content (e.g., RHA), the pre-addition of oxidants, decarburizers, etc., is needed to reduce the impurity content and stabilize their alkali-activation reaction behavior.
- 3.
- Thermal Activation Mechanism
Thermal activation, as a core method to enhance raw material reactivity, is suitable for natural or composite solid waste materials like metakaolin, coal gangue, and volcanic ash [60]. During thermal activation, the raw material is calcined at specific temperatures (generally 600–900 °C), destroying its crystal lattice structure and releasing active Si/Al components, forming more amorphous phases, thereby improving its reactivity with activators. For example, after kaolin is calcined into metakaolin, its degree of amorphization significantly increases, enabling the rapid formation of N-A-S-H gel under lower alkalinity [61]. MK is the most studied in the thermal activation treatment of industrial solid wastes. Furthermore, heat treatment can also remove organic impurities, volatile components, and excess moisture, enhancing the purity of the cementitious material and pore structure control capability. Although thermal activation can significantly improve performance, it is energy-intensive, requiring a balance between technical and economic feasibility.
- 4.
- Mechanical Grinding and Lattice Amorphization Control
Beyond thermal activation, mechanical activation serves as a pivotal pretreatment method, markedly enhancing the physical and chemical properties, structural characteristics, and surface reactivity of materials such as metakaolin [62]. This improvement significantly facilitates their utility in geopolymer synthesis research. Mechanical activation refers to destroying the crystal structure of materials through grinding, vibration, or shearing, increasing their specific surface area and reactivity. Methods like high-energy ball milling or ultra-fine grinding can increase the material surface energy, or cause lattice distortion or local amorphization, thereby enhancing their response to alkaline activators. For example, for MK or coal gangue, mechanical activation can be combined with heat treatment to further increase the solubility of active components and optimize the final polymerization network structure [63].
Currently, the primary constraints hindering the adoption of pretreatment methods for solid waste-derived geopolymers are prohibitive operational costs and technical barriers to industrial-scale implementation. Different types of solid waste respond very differently to pretreatment methods, requiring customized solutions. Table 5 and Figure 7 provide a comparative analysis of various pretreatment technologies. Future research should prioritize optimizing mechanical, chemical, and thermal activation parameters to enhance the cost-effectiveness and process efficiency. This includes developing advanced mechanical activation equipment and techniques, coupled with combinatorial pretreatment strategies, to improve geopolymer performance and sustainability. The ultimate objective is to translate laboratory-scale innovations into industrial-scale implementation, enabling the large-scale deployment of geopolymers in structural applications and transportation infrastructure.
Table 5.
Comparative analysis of pretreatment technologies for various solid waste raw materials.
Figure 7.
Comparative schematic of pretreatment technologies for solid waste-based precursors.
Overall, various pretreatment methods require a comprehensive trade-off between effectiveness, cost, and process controllability. For large-volume industrial solid waste materials (e.g., FA and slag), physical–chemical composite activation strategies can be employed to improve homogenization levels. For low-activity or highly variable raw materials (e.g., RHA and coal gangue), mechanical + thermal treatment combinations are more suitable to release potential reactivity [64]. Future research directions should focus on synergistic mechanism analysis under multi-technology fusion paths, the development of efficient equipment, and the optimization of process parameters, aiming to build standardized pretreatment schemes suitable for different raw material systems, characterized by low energy consumption, high reactivity, and easy promotion.
4.2.3. One-Part vs. Two-Part Geopolymer Concrete Systems
Geopolymer concrete (GPC) can be classified into two main types based on the formulation method: one-part systems, also referred to as “just-add-water” geopolymers, and two-part systems, where liquid alkali activators are added to precursors during mixing. The fundamental difference lies in how the alkaline activator is incorporated into the mix.
In two-part systems, solid precursors (e.g., fly ash, slag, and metakaolin) are combined with prepared aqueous alkaline solutions such as sodium hydroxide and sodium silicate. These systems typically offer higher early strength, better setting control, and greater tunability by adjusting the concentration and ratio of the liquid activators. However, handling highly alkaline liquids poses significant safety and logistical challenges, particularly in field applications. Specialized equipment, trained personnel, and protective gear are required, limiting their practical use in large-scale construction.
In contrast, one-part systems simplify logistics by blending solid activators (e.g., sodium metasilicate and NaOH pellets) with the precursor at the factory, and only requiring water addition on-site. This method improves the safety, shelf life, and ease of transport, making it attractive for precast components, remote construction sites, or 3D printing. Nevertheless, one-part systems face challenges such as incomplete activator dissolution, lower early reactivity, and difficulty controlling setting behavior without chemical admixtures. The formulation of these dry mixes also demands the precise control of the particle size, moisture content, and homogeneity to ensure performance consistency.
Several studies have investigated the performance trade-offs between these systems. One-part GPC has been shown to be more field-deployable, though often with lower early compressive strength unless high-reactivity precursors or nano-additives are used. Two-part systems are preferred in laboratory and precast settings where strength development and workability are tightly controlled. As shown in Table 6, each system has distinct implications for material performance, durability, and practical deployment.
Table 6.
Comparison of one-part and two-part geopolymer concrete systems.
Recent research has also explored the use of hybrid systems, where partially dissolved activators are embedded in precursor granules, or dry-activated materials are pelletized for better solubility. These hybrid strategies aim to bridge the gap between safety and reactivity. Future development of low-alkali solid activators, non-toxic alternatives, and automated dry blending technologies will be key to scaling up one-part GPC use in mainstream construction.
4.2.4. Reaction Mechanism and Microstructure
The geopolymerization reaction mechanism is a key scientific issue for understanding the performance formation process of geopolymer materials, and is also the foundation for their preparation optimization and application expansion. The current mainstream view generally accepts the “alkali-activation-induced polymerization” framework. In a strong alkaline environment, through the action of OH− and alkali metal ions, the Si-O and Al-O bonds in the precursor break, releasing silicon and aluminum monomers, which recombine under hydration to form an inorganic polymer network structure with cementitious properties [65]. The reaction process includes three major stages: depolymerization, transformation, and polycondensation, involving complex structural reconstruction and ion migration mechanisms.
Depolymerization–Polycondensation Reaction Model
The “Depolymerization–Polycondensation” model, first proposed by J. Davidovits, states that the geopolymerization process can be viewed as the reconstruction of inorganic polymer chains. The [SiO4]5− and [AlO4]5− tetrahedral units in the precursor dissociate from the original mineral structure under alkaline activation, forming low-polymerized aluminosilicate ion clusters. In solution, these clusters undergo condensation polymerization reactions, gradually generating three-dimensional network structures of N-A-S-H or C-(A)-S-H gels, endowing the material with excellent mechanical strength and durability [66]. This model intuitively reflects the evolution process of geopolymer from “disintegration” to “reconstruction”.
Three-Stage Kinetic Mechanism
With the development of characterization techniques and kinetic simulation methods, the geopolymerization process has been further refined into a “Dissolution–Diffusion–Reconstruction” three-stage kinetic pathway. Stage 1: The glass phase or amorphous structure in the precursor undergoes rapid dissolution under OH− attack, releasing soluble Si/Al species. Stage 2: The reactive species diffuse and redistribute in the liquid phase, forming transition state complexes with metal cations (Na+, K+). Stage 3: Under suitable pH, temperature, and modulus conditions, these complexes undergo condensation polymerization reactions, generating primary gel skeletons that continuously dehydrate to form stable structures. This mechanism emphasizes the important role of physical mass transfer behavior in the polymerization process and also explains the coupled influence of alkalinity, temperature, and solution composition on material performance [67].
Gel Types and Structure Evolution
The type of final reaction product in geopolymerization is significantly influenced by the calcium content of the raw material and the activator system. High-calcium systems (e.g., GGBFS) easily form C-(A)-S-H gel, whose structure is similar to the C-S-H phase in cement but also contains heteroatoms like Al and Na, resulting in a denser structure and stronger durability. Low-calcium systems (e.g., FA and MK) primarily form N-A-S-H gel, constituting a long-range disordered network cross-linked by [SiO4] and [AlO4] units. Different gel types exhibit their own characteristics in terms of pore structure, strength development, and corrosion resistance, leading to different adaptability to application scenarios.
Microstructural Characterization Methods
With the development of techniques such as synchrotron radiation, atom probe, infrared spectroscopy, and μCT, researchers can track the evolution of gel phases from the micro-scale [68]. For example, combined XRD and SEM analysis reveals the transformation path between precursor mineral phases and generated gels. FTIR spectra reflect changes in [Si-O-Al] and [Si-O-Si] bonds. Molecular Dynamics (MD) simulation and Density Functional Theory (DFT) simulation are used to predict stable structures of Si/Al units under specific pH and cation coordination environments.
Additionally, by combining XRD, SEM, and thermal analysis techniques, researchers have verified the transient generation and structural regulation role of intermediate phases such as zeolite-like crystals during polymerization, further refining the microstructural evolution model of geopolymers.
Current research trends are gradually shifting from “final state result analysis” to in-depth tracking of “reaction process paths”. The reaction mechanism is no longer simplified as chemical formula descriptions but is seen as a systematic evolutionary network interwoven by multi-scale mass transfer, ion complexation, and gel reconstruction processes. Research has found that the type and modulus of the alkali activator not only affect the depolymerization rate but also further control the polycondensation rate and gel network topology by altering the structure of intermediate complex states. It is noteworthy that multiphysics coupling modeling technology is increasingly being applied in the field of materials science. For instance, energy reservoir simulations have achieved precise descriptions of thermo-hydro-mechanical interactions [69]. Such methods could be extended to geopolymer reaction structure evolution research in the future, deepening the understanding of microscopic mechanisms. Particularly in systems blending multiple precursors, the dissolution sequence and polymerization competition between different active components directly affect the final microstructural continuity and pore system connectivity, which is decisive for material strength and durability [70].
In summary, geopolymerization is essentially a multi-step non-equilibrium chemical process driven in a strong alkaline liquid phase environment, with its outcome constrained by the synergistic effects of solution chemistry, structural kinetics, and environmental conditions [71]. A deep understanding of the polymerization mechanism helps optimize the gel generation rate and structure by regulating the reaction path, thereby promoting geopolymer material performance to a higher level. Future research can further combine in situ synchrotron characterization techniques with molecular modeling to construct a reaction structure–performance coupling model “from atomic-scale reaction to macroscopic performance evolution”, realizing a paradigm shift in material design from “empirical mix proportion” to “mechanism-driven”.
4.3. Mechanical Performance and Durability Characteristics
Mechanical properties are core indicators for evaluating the structural reliability and serviceability of geopolymer concrete (GPC), especially in engineering applications subjected to multi-axial stress, temperature–humidity variations, and fatigue loading [72]. The compressive, tensile, and flexural strengths of the material directly determine its application scope and long-term stability. Compared to ordinary Portland cement (OPC) concrete, GPC exhibits unique mechanical characteristics and evolution patterns due to its aluminosilicate cementitious structure and dense microporous system. Studies show that the precursor type, activator ratio, water-to-binder ratio (w/b), curing regime, and external additives are the main factors affecting its strength performance.
4.3.1. Compressive Strength and Optimization
Compressive strength (CS) is a core indicator for measuring the load-bearing capacity and structural integrity of GPC, serving as a fundamental parameter for structural design, and a key variable for predicting derived properties such as the splitting tensile strength and elastic modulus [73]. Similar to traditional cement concrete, the CS of GPC is influenced by various factors, including the binder type, type and concentration of alkaline activator solution, w/b ratio, and curing conditions. However, due to the complexity of the geopolymerization reaction mechanism, its strength development curve and densification process exhibit significantly different behavior from OPC.
The activator ratio has a particularly significant impact on the compressive strength. Pavithra et al. [74], studying FA-based GPC, proposed an optimal mix design method based on fixed variables (such as the molar concentration, sodium silicate to sodium hydroxide ratio (SS/SH), curing temperature, and time). The results showed that, as the ratio of alkaline activator solution (AAS) to binder material increases, the free water content in the system increases, blocking the reaction interface with water molecules, thereby limiting effective contact between the activator and raw materials, leading to insufficient geopolymer network formation and a consequent decrease in CS. This mechanism is similar to the strength decrease in OPC concrete with high w/b ratios.
Regarding raw material compounding, Naskar and Chakraborty [75] used a mixed binder system of 70% GGBFS and 30% FA, achieving a 28-day CS of 66 MPa. Yao et al. [76] validated the strength-enhancing effect of compounding MK-based GPC with FA and GGBFS, respectively.
The impact of AAS on compressive performance is also closely related to the precursor material. As shown in Figure 8, existing research finds that, when the SS/SH molar ratio is 1.0 or 2.0, the strength of GPC shows a decreasing trend; whereas, at SS/SH = 1.5, the CS significantly increases [77]. According to Onyelowe et al. [78], the water-to-solid ratio shows a clear negative correlation with the compressive strength of geopolymer concrete; an increase in this ratio significantly inhibits strength development. Furthermore, under elevated curing temperatures, the concrete can achieve nearly all of its compressive strength within 24 h.
Figure 8.
Effect of alkaline liquid type and concentration on the compressive strength of geopolymer concrete (modified from [77]).
Doping functional materials can significantly improve the mechanical properties of GPC. Feng et al. [79] studied the effect of nano-silica (NS), steel fibers, and polyvinyl alcohol (PVA) fibers on CS. When the dosages were 1.5%, 0.75%, and 0.6% respectively, CS increased by 23.2%, 41.4%, and 46.0%. GPC jointly doped with 0.25% NS, 0.25% steel fiber, and 0.2% PVA fiber showed increases of 180.73%, 302.90%, 285.51%, and 55.09% in the static yield stress, dynamic yield stress, plastic viscosity, and CS, respectively. However, when the dosage is too high, rheological properties deteriorate, limiting CS improvement. As shown in the Figure 9, the addition of nano-silica has a slight adverse effect on the compressive strength of concrete mixtures at the early ages of 3 days, 7 days, and 14 days. However, at the later ages of 28 days, 56 days, 90 days, and 180 days, the compressive strength increases by 5% with a higher nano-silica content, after which it exhibits a slight decrease. This result was attributed to the fact that, at the later ages of the geopolymer concrete mixture, the aluminosilicate species of the source binder materials contributed to the gel formation and, subsequently, the polycondensation forming an increasingly larger three-dimensional network, particularly due to the availability of reactive nS [80].
Figure 9.
CS of geopolymer concrete incorporating different dosages of nS at different curing ages [80].
Kurhade and Patankar [81] used machine learning methods (SPSS, Artificial Neural Network ANN, and Python modeling) to predict GPC CS, with input variables including the FA dosage and fineness, w/b ratio, and excess water. Results showed that the established model had a high prediction accuracy, and FA-doped GPC outperformed OPC in later-stage strength, validating the application value of ML methods in material design.
Zhang et al. [82] explored the reinforcing effect of crumb rubber (CR) particles in GPC. Results showed that a 10% CR replacement rate could increase the dynamic CS by 18.43%; however, when the replacement rate rose to 20%, the strength slightly decreased (1.96%) due to the increased porosity and crack propagation caused by the high rubber content. Although CR’s impact on the microstructure was not significant, its excellent impact energy dissipation capacity helped improve the concrete toughness, offering a new direction for rubber waste resource utilization.
Zuaiter et al. [83] investigated the effect of different binder systems and SS/SH ratios on CS. At SS/SH = 1.5, increasing the silica fume (SF) content to 50% increased the 28-day CS by 50% compared to a single-slag system; however, if the SF proportion was too high, the flexural and compressive strength decreased by 79% and 56%, respectively. When SS/SH increased to 2.0, the slag-dominated system showed the highest strength increase of 63%, while the SF-dominated system decreased by 87%. At SS/SH = 2.0, only the slag system achieved an elastic modulus of 18.7 GPa, a 240% increase compared to lower ratios.
Future research on GPC CS will continue to deepen in the following directions: (1) Multi-scale simulation integration, such as full-chain modeling of molecular dynamics-phase field-finite element, to accurately analyze the correlation mechanism between the microstructure and macroscopic strength. (2) Development of low-alkalinity intelligent activators, including organic–inorganic composites, biomimetic mineralization, and microwave-assisted activation systems, to enhance the activation efficiency and reduce alkali harm risks. (3) Precise microstructure regulation, relying on synchrotron μ-CT and atom probe technology to achieve real-time correlation between the pore structure and strength behavior. (4) Coupled research under extreme environments, exploring composite failure mechanisms under thermo-hygro-chemo-mechanical fields. (5) Machine learning-assisted optimization design, constructing four-dimensional strength prediction models based on high-dimensional data. (6) Standardization system construction, promoting the implementation of technical specifications for CS grade classification and non-destructive testing methods like acoustic emission [84].
In summary, GPC CS research is moving from an experience-dominated era to one equally emphasizing mechanism-driven and intelligent optimization, driving its leapfrog development in ultra-high-performance (≥150 MPa), long-service-life, and low-carbon construction.
4.3.2. Tensile and Flexural Performance
Although concrete materials are typically dominated by compressive performance, in actual structural applications, tensile and flexural performance are equally decisive for the deformation capacity and crack resistance of components [85]. GPC generally exhibits higher brittleness than OPC concrete due to its porous network structure, low oligomer gel connection density, and discontinuous interface characteristics. However, the toughening mechanism synergistically constructed by its nano-scale pore structure and three-dimensional silico-aluminate-oxygen network gives it certain advantages in tensile performance. The tensile and flexural strength of GPC are significantly affected by parameters such as the glass phase content (>70%), alkali activator modulus, and thermo-humid curing conditions (60–80 °C), exhibiting highly nonlinear response characteristics [86].
Extensive experimental evidence indicates that increasing the sand-to-binder ratio detrimentally impacts the tensile strength of geopolymer concrete (GPC), primarily due to localized stress concentrations and weakened interfacial bonding within the composite matrix. This trend can be mitigated by introducing highly reactive GGBFS, which has a significant effect on improving the tensile performance. Eltantawi et al. [87] showed that a higher stainless steel fiber (SSF) content leads to greater direct tensile strength in GPC. A 2% hybrid fiber mix (containing 0.5% short fibers and 1.5% long fibers) increased the tensile strength by up to 87.8%.
As shown in Figure 10, Xu et al. [88] demonstrated that wood pulp cellulose fibers (WHBFs) significantly enhance the flexural strength of recycled aggregate polymer-modified mortar (RPG), exhibiting trends consistent with compressive strength development. The optimal parameters—a 13 μm diameter, 6 mm length, and 0.6% dosage (6BF-13-6)—achieved a 28-day flexural strength of 6.13 MPa, representing an 85.20% increase over the control group (0BF-0-0). This performance substantially exceeded the 3 mm fiber group (3BF-13-6: 5.73 MPa; +73.10%). Flexural strength followed unimodal variation with an increasing fiber content/diameter, peaking at 13 μm. Mechanistically, the fiber geometry optimizes the monofilament distribution and fiber–matrix interface properties, enhancing hydration product adhesion, matrix compactness, and crack resistance energy absorption.
Figure 10.
Flexural strength of RPG with different WHBF parameters at different ages: (a) fiber content 0.3%; (b) fiber content 0.6%; (c) fiber content 0.9% [88].
Tensile strength and flexural strength generally exhibit consistent trends. Research indicates that appropriately increasing the content and length of waste hydrophilic basalt fiber (WHBF) effectively enhances the tensile strength. When the WHBF features a smaller diameter and shorter length, its effective load-bearing area resisting external forces decreases upon matrix loading. Although the 25 μm diameter fiber system demonstrates fewer pore defects, its average fiber spacing is larger. During specimen loading, interfacial forces between fibers and the surface-coated matrix paste intensify, more readily triggering interfacial failure. Consequently, as shown in Figure 11, the tensile strength shows a slight reduction compared to 13 μm diameter fibers [88].
Figure 11.
Tensile strength of RPG with different WHBF parameters at different ages: (a) fiber content 0.3%; (b) fiber content 0.6%; (c) fiber content 0.9% [88].
Shilar et al. [89] systematically investigated the effects of the alkali activator modulus, sand ratio, and FA/GGBFS ratio on the compressive and flexural strength of geopolymer concrete. They found that the FA/GGBFS ratio had the most significant influence, followed by the activator modulus, while the sand ratio exhibited minimal impact on strength development.
Hamed et al. [90] found that, as the silica fume (SF) content increased, the slump and CS of GPC simultaneously increased. At a 20% SF content, the 7-day and 28-day CS increased by 29% and 16%, respectively. At a 30% SF content, the tensile strength stabilized, and the FS increased by 22%; beyond this range, the strength decreased. Furthermore, the activator type significantly affected the mechanical properties. An increase in the SS/SH ratio reduced the 28-day CS by 21%, and the tensile and flexural strength by 24% and 35%, respectively; an increase in the SS/PH ratio could increase the CS by up to 7%, but reduced the tensile and flexural strength by 11% and 34%. An increase in the Activator-to-Cementitious material ratio (AA/C) increased the slump (+15%) but also caused decreases in the CS and FS of 23% and 34%, respectively.
Wang et al. [91] mainly studied the prediction of the chloride ion diffusion coefficient in cracked concrete, especially in the behavior of reinforced concrete (RC) structural elements in service. By analyzing the influence of cracks on the diffusion of chloride ions, the effects of different factors (such as the crack width, physical and chemical properties of concrete, etc.) on the diffusion coefficient of chloride ions were explored. The purpose is to improve the predictive ability of concrete durability and corrosion process, thereby providing a theoretical basis for the maintenance and reinforcement of related projects. Current research has largely clarified the main influence mechanisms of the alkali activator ratio, raw material activity, and curing regime on the tensile and flexural performance, achieving the directional regulation of the mechanical properties through a refined mix design. The successful application of GPC in extreme environments, such as high temperatures, marine corrosion, and structural strengthening, further validates its feasibility and engineering adaptability as a high-performance building material.
However, numerous challenges remain. The nonlinear impact of multi-factor coupling on the tensile performance leads to a low prediction accuracy (R2 < 0.75). Simultaneously, long-term exposure in 3.5% NaCl environments causes Al3+ migration from the gel phase and a decrease in the Al/Si ratio (30–50% reduction), increasing the stress corrosion susceptibility. Therefore, it is recommended to combine Digital Image Correlation (DIC) and Acoustic Emission (AE) techniques to establish dynamic damage evolution models covering the entire process from microcrack initiation to fracture [92].
Future research should deepen in the following four dimensions: (1) Material Mechanism: Combine advanced techniques like XRD, SEM, and CT scanning to analyze the evolution mechanism of the 3D Si-Al-O network structure; develop composite activation systems combining early high strength; utilize nanomaterials and fiber reinforcement to enhance the toughening capacity of composite structures [93]. (2) Application Expansion: Focus on mechanical adaptation in typical application scenarios like cross-sea bridges, tunnel linings, and high-temperature industrial buildings; combine embedded sensors and digital twin technology to achieve intelligent monitoring and real-time feedback of structural service performance. (3) Green and Economic Balance: Overcome activation and homogenization treatment technologies for industrial solid waste (e.g., mechanical activation and chemical modification); quantify its environmental benefits through Life Cycle Assessment (LCA); optimize regional raw material supply models; reduce carbon footprint and comprehensive cost [94]. (4) Standard System Construction and Industrialization Path: Develop unified specifications covering strength testing, durability evaluation, and construction processes; accelerate the transformation from laboratory research to the engineering scale; establish an “industry–academia–research–application” collaborative system; promote the standardization, engineering, and intelligent development of GPC in crack and flexure resistance fields.
In conclusion, GPC still has significant room for improvement in tensile and flexural performance. Its future development will focus on an integrated innovation path of multi-scale mechanism analysis, high-performance regulation, intelligent monitoring, and full-cycle assessment, laying a solid foundation for the widespread promotion of green low-carbon building materials.
4.3.3. Resistance to Chemical Corrosion
Chemical corrosion, especially acid attack, is one of the most common and destructive deterioration mechanisms for concrete in practical engineering service. Acidic media can react with calcareous components in concrete (e.g., Ca(OH)2 and C-S-H gel), generating soluble or expansive products (e.g., gypsum), leading to concrete microstructure deterioration, internal stress concentration, surface cracking, and spalling, severely weakening the structural stability and durability [95]. The propagation of these microcracks under coupled chemico-mechanical loading is a complex process, with parallels to fracture evolution observed in other porous geo-materials subjected to extreme thermal cycles [96]. The longer the service time in acidic environments, the more the mass and strength of concrete typically decrease [97].
GPC differs significantly from OPC concrete in terms of precursor types, hydration products, and microstructure, consequently exhibiting different performance and corrosion mechanisms under acid attack. Research generally recognizes that GPC possesses superior corrosion resistance in acidic media compared to OPC [98]. Its advantages stem primarily from two points: First, GPC contains almost no unstable calcium-containing hydration products like Ca(OH)2, AFt, or AFm; instead, it mainly forms structurally stable C-(A)-S-H, N-A-S-H gels, and zeolite-like phases, greatly reducing acid sensitivity. Second, the geopolymer gel microstructure is dense, with low porosity, and residual alkali activators (e.g., Na2SiO3 and NaOH) have a certain neutralizing effect on acidic media, effectively delaying corrosion penetration [99,100].
The degradation mechanisms of geopolymer concrete (GPC) under different acidic environments also vary. In H2SO4 environments, corrosion primarily occurs through gel dissolution and the formation of expansive gypsum (CaSO4·2H2O); in HCl and other non-sulfuric acids, it is mainly characterized by gel dissolution without gypsum formation [101]. The corrosion process leads to increased porosity, the deterioration of the paste–aggregate interfacial transition zone (ITZ), surface spalling, crack propagation, and ultimately results in mass loss and the degradation of mechanical properties.
Guo et al. [102] concluded that sulfate erosion primarily degrades the strength of geopolymer concrete through matrix pore expansion and crack propagation. Under high-concentration sulfate exposure, metakaolin-based geopolymer concrete developed significantly more cracks and pores than under low-concentration conditions, directly contributing to strength reduction. As shown in Figure 12, when the Na2SO4 solution concentration increased from 5% to 20%, the 28-day strength loss rose from 12.5% to 18.3%, whereas the mass loss decreased from 6.9% to 1.4%.
Figure 12.
The compressive strengths of specimens before and after the sulfate exposure for 3, 7, 28, and 120 days: (a) A3 of PVA and PP fiber-reinforced geopolymers; (b) B9 of PVA and WS fiber-reinforced geopolymers (Pure geopolymer—Geo; Control group with fibers—CG) [102].
Xie et al. [103] comprehensively assessed the corrosion resistance of alkali-activated concrete (AAC) and ordinary Portland cement concrete (OPC) under biological sulfuric acid (BSA) exposure, quantifying the degradation through surface deterioration analysis, mass loss, compressive strength reduction, and calcium leaching behavior. The results indicated that, under BSA attack, the OPC specimens exhibited significantly greater corrosion layer thickness, surface roughness, and porosity compared to AAC. Microstructural analysis confirmed that gypsum was the primary corrosion product in both OPC and AAC. Crucially, the main hydration products in OPC, Ca(OH)2, and C-S-H gel were severely degraded, accompanied by substantial gypsum formation, identified as the primary cause of its significant performance deterioration [104].
Sarıdemir et al. [105] quantified the degradation of slag-based geopolymer concrete (GPC) under hydrochloric acid exposure, revealing that escalating HCl concentrations (10%→20%) significantly intensified the mass loss (3.6%→8.9%) and compressive strength loss (29.0%→37.4%) over a 56-day corrosion period. This trend is attributed to the progressive dissolution of the N-A-S-H gel networks and interfacial bond deterioration at the aggregate–binder interface under intensified H+/Cl− attack. Notably, under identical corrosion conditions, the strength loss rate of OPC was approximately 52% higher than that of GPC. Further long-term studies by Valencia-Saavedra et al. [106] demonstrated that, after 365 days of immersion in equivalent concentrations of H2SO4 and acetic acid (CH3COOH) solutions, GPC exhibited strength losses of 65% and 66%, respectively, while OPC suffered considerably higher losses of 95% and 98%. Micro-mechanism analysis revealed that the H2SO4 environment led to the formation of expansive gypsum, while the acetic acid environment primarily caused the deposition of sodium bicarbonate salts.
Elyamany et al. [107] found that the inclusion of silica fume and fly ash had a negative effect on the acid erosion resistance of slag-based geopolymer concrete. The blended admixture of silica fume and fly ash increased the porosity and water absorption of the concrete, further promoting the formation of gypsum and ettringite, which was detrimental to the acid resistance stability of the concrete. After 5 months of exposure to a H2SO4 solution at pH = 0.6, the geopolymer concrete incorporating 10% silica fume and 30% fly ash exhibited higher mass loss and strength loss compared to the pure slag-based geopolymer concrete: its mass loss increased from 3.8% to 4.5%, while its strength loss increased from 52.2% to 65.2%.
Additionally, Ibrahim et al. [108] explored the enhancement effect of different dosages (1.0%, 2.5%, 5.0%, and 7.5%) of nano-SiO2 on the durability of pozzolan-based geopolymer concrete (GPC) in acidic environments. The results demonstrated that increasing the nano-SiO2 content significantly optimized the microstructure, reduced the porosity, and consequently enhanced the acid erosion resistance of the GPC. After 12 months of exposure to a 5% H2SO4 solution, the mass loss rate and strength loss rate of GPC without nano-SiO2 were 39% and 58%, respectively. In contrast, incorporating 7.5% nano-SiO2 reduced these loss rates significantly to 20% and 22%. XRD analysis confirmed that gypsum formed during the reaction was the key factor responsible for the mass loss and strength attenuation. Research by Karaaslan et al. [109] on enhancing the sulfuric acid resistance of fly ash-based GPC using calcium aluminate cement (CAC) reached conclusions consistent with those of Ibrahim et al.
Although existing research provides a relatively detailed understanding of GPC corrosion behavior under single-acid or salt solution environments, studies on the long-term durability and its degradation mechanisms under multi-acid/salt-coupled corrosion environments are still insufficient. Under complex service environments, synergistic/competitive effects between different media may induce new corrosion pathways, affecting the corrosion product morphology and evolution rate. Therefore, future research urgently needs to focus on the following aspects: constructing accelerated corrosion test systems for GPC under typical acid–base/salt mixed environments; revealing the microstructural evolution mechanisms under multi-media coupling using multi-scale techniques like XRD, FTIR, MIP, and SEM-EDS; exploring the synergistic protective effects of novel composite activators (low-calcium and heteroatom-doped) and functional admixtures (nanoparticles and anti-corrosion coatings) in extreme service environments; establishing corrosion online monitoring and prediction models based on acoustic emission, Electrochemical Impedance Spectroscopy (EIS), the crack propagation rate, etc., to provide a quantitative basis for structural safety assessment.
By deepening the research on multi-factor synergistic corrosion mechanisms and designing new material systems, GPC is expected to demonstrate broader application potential in highly corrosive projects such as wastewater treatment, municipal pipelines, and industrial acid–base tanks.
4.3.4. Carbonation Resistance
Concrete carbonation refers to the process where the internal pH of concrete gradually decreases during long-term exposure to CO2-containing environments, destroying the passive film on the steel reinforcement surface. This mechanism is one of the important factors affecting the durability of reinforced concrete. Once carbonation progresses beyond the concrete cover depth, the resulting reduction in pore solution alkalinity initiates the depassivation of the embedded steel reinforcement. Under concurrent exposure to moisture and oxygen, this triggers expansive corrosion reactions, ultimately inducing internal tensile stresses, concrete cracking, and the progressive deterioration of the structural load-bearing capacity and serviceability [110].
In OPC concrete, carbonation is typically described as the reaction of alkaline components like calcium hydroxide (Ca(OH)2) and calcium silicate hydrate (C-S-H) in the cement matrix with atmospheric CO2 in the presence of water. In GPC, due to differences in reaction mechanisms and products, its carbonation behavior also differs significantly. Carbonation in geopolymer systems mainly manifests as the reaction of N-A-S-H or C-(A)-S-H gels in the pores with environmental CO2 and water, generating carbonates and bicarbonates (e.g., Na2CO3 and NaHCO3), gradually transforming the pore solution from its original strong alkaline environment to a carbonate system [111,112].
Generally, the carbonation resistance of geopolymer concrete (GPC) is lower than that of ordinary Portland cement concrete (OPC). However, this performance disparity is significantly dependent on the precursor composition and reaction conditions, such as the type and concentration of the alkali activator and the curing regime [113]. Behfarnia et al. [114] investigated key parameters influencing the carbonation depth of alkali-activated slag concrete (AASC). The study revealed that, when the alkali-to-slag ratio (A/S) in AAS concrete mixtures increased from 0.4 to 0.55, the carbonation depth measured by accelerated carbonation tests exhibited a decreasing trend. As shown in Figure 13, the ratio of the carbonation depth after 28 days of carbonation cycles (d28) to that after 14 days (d14) (d28/d14) consistently exceeded 1, indicating a significantly greater carbonation depth at 28 days compared to 14 days. Furthermore, the study found that, as the A/S ratio increased to 0.55, the carbonation rate of AASC (characterized by a depth increase) decreased from 22% to 14%. Comparative data in the figure further demonstrated that, compared to ordinary Portland cement concrete (OPC), the CO2 penetration rate (or carbonation rate) in AASC increased more slowly, suggesting a lower resistance to CO2 penetration in the AASC than in the OPC. However, the study noted that substituting 15 wt% microsilica for partial slag could effectively overcome this deficiency in the carbonation resistance of AASC.
Figure 13.
Ratio of carbonation depths at 28 days to 14 days (d28/d14) for AASC and OPC under accelerated carbonation [114].
Research indicates that the carbonation rate of concrete exhibits a significant positive correlation with its porosity, permeability, and pore structure characteristics (e.g., pore size distribution) [115]. Bernal et al. [116], through a comparative analysis of the carbonation behavior of slag-based geopolymer concrete (slag-based GPC) and OPC, found that, although the slag-based GPC is more susceptible to carbonation, its carbonation resistance can be enhanced to a level comparable to OPC by optimizing the mix design; for instance, by increasing the slag content.
Given the relatively low CO2 concentration in the atmosphere, natural carbonation progresses extremely slowly. Researchers commonly employ accelerated carbonation testing methods. This approach involves elevating the CO2 concentration under strictly controlled temperature and relative humidity conditions to more efficiently evaluate the carbonation depth and mechanism of concrete.
Khan et al. [117] conducted an in-depth study of the carbonation process by monitoring the pH changes (assessing the pore solution alkalinity) of fly ash-based geopolymer concrete (FA-based GPC) and OPC under accelerated carbonation conditions, combined with X-ray diffraction (XRD) and quantitative analysis (identifying and quantifying carbonation products). The results demonstrated that carbonation behavior at a 1% CO2 concentration effectively simulates the natural environment. In contrast, under a 3% CO2 condition, the concrete pH decreased significantly, with the rate of pH decline gradually diminishing with an increasing depth. The primary mechanism underlying this phenomenon is the reaction of hydration products (in OPC) or reaction products (in GPC) with CO2 and water, generating bicarbonate ions (HCO3−), thereby consuming OH− ions and reducing the system’s alkalinity. The study further indicated that the pH of OPC is primarily governed by calcium hydroxide [Ca(OH)2], whereas the pH of GPC mainly depends on dissolved silicate/aluminate species and residual alkalinity in the pore solution. Partial replacement of slag with silica fume (SF) in slag-based geopolymer concrete (GPC) significantly reduces the carbonation depth while concurrently enhancing the compressive strength and reducing permeability. Complementing these findings, Li et al. [118] established that carbonation resistance in fly ash–slag hybrid geopolymer concrete (FA–slag hybrid GPC) improves with both (i) an increased NaOH concentration in alkaline activators, and (ii) the higher fineness of supplementary cementitious materials (SCMs). The resistance is further enhanced by thermal curing regimes and, notably, through retarder additions, which optimize the reaction kinetics and microstructure densification.
In summary, research on the carbonation resistance of geopolymer cementitious systems exhibits persistent discrepancies compared to traditional OPC-based materials, primarily attributable to heterogeneities in the precursor compositions and alkali-activator formulations. These variations induce substantial divergence in reaction products (e.g., N-A-S-H vs. C-(A)-S-H gel dominance) and microstructural characteristics (pore connectivity and gel density), thereby governing the carbonation kinetics. Furthermore, carbonation durability is modulated by synergistic factors, including the activator chemistry (NaOH vs. KOH, and silicate modulus), alkali concentration (affecting gel stability), curing regime, and exposure conditions (CO2 concentration and humidity). Consequently, targeted formulation design—optimizing precursor blends and reaction parameters—provides a viable pathway to enhance GPC carbonation resistance for structural applications.
4.3.5. Chloride Ion Penetration Resistance
Chloride ion penetration is one of the main mechanisms causing steel corrosion and concrete structure degradation, which is particularly prominent in marine environments and winter deicing salt erosion areas. Chloride ions have characteristics such as a small radius, high activity, and strong penetration ability. After penetrating concrete, they can significantly reduce the pH of the pore solution and destroy the passive film on the steel surface, thereby inducing steel corrosion and volume expansion, causing concrete cracking, and seriously affecting the structural durability and safety.
The migration of chloride ions within concrete is mainly driven by a combination of mechanisms, including diffusion, permeation, capillary action, and electromigration, with diffusion widely considered the dominant mode of chloride transport under conventional environmental conditions [119,120,121]. As the hydration products and pore structure of GPC vary significantly depending on the precursor and activation conditions, its resistance to chloride ion penetration also exhibits system-dependent differences. Geopolymer cementitious materials mainly form C-(A)-S-H gel (high-calcium systems) and N-A-S-H gel (low-calcium systems), and can also be accompanied by minor hydrotalcite and zeolite-like phases. Typically, C-(A)-S-H gel has a denser, more continuous pore structure compared to the looser structure formed by N-A-S-H gel, making it more effective in blocking chloride ion penetration [122]. Therefore, high-calcium system GPC is generally considered to possess superior chloride ion penetration resistance [123]. Compared to OPC concrete of an equivalent strength grade, GPC usually exhibits better chloride ion penetration resistance. This is mainly attributed to its denser pore structure and the stabilizing effect of the high-alkalinity environment on the steel passive film. Additionally, the high-alkaline environment provided by activators can maintain the integrity of the steel passive film for a longer time, thereby delaying the chloride-induced corrosion process [124].
Research by Kumar et al. [125] demonstrated that geopolymer concrete (GPC) prepared with a higher slag powder content and an elevated NaOH solution concentration significantly enhanced its mechanical properties through the formation of a denser microstructure. This optimization concurrently reduced the concentration of aggressive ions (e.g., Cl− and SO42−) within the concrete’s pore solution. Fu et al. [126] discovered that the distribution characteristics of the chloride ion concentration and form with depth; as shown in Figure 14, under the same erosion age, the total Cl− concentration exhibits a gradient decreasing trend as the depth increases from the surface towards the interior of the fly ash-based geopolymer concrete (FABGC). Simultaneously, the proportion of bound Cl− within the total Cl− increases significantly. This indicates that, at the erosion front region, Cl− primarily exists in its free form. When the aluminum (Al) content in FABGC is higher, it alters the microstructure of its gel phase. These Al-induced structural alterations effectively inhibit the transport of Cl− within the material.
Figure 14.
Chloride ion (Cl−) distribution in fly ash-based geopolymer concrete (FABGC) under static immersion conditions [126].
Yan et al. [127] developed a ternary slag–fly ash–ceramic waste geopolymer composite and evaluated its performance after 240 days of immersion in a 3.5 wt% NaCl solution. Results revealed that this ternary geopolymer paste exhibits superior chloride ion erosion resistance, primarily attributed to its denser pore structure and narrower interfacial transition zone (ITZ). These characteristics substantially enhance its capability to impede the chloride ion penetration. To evaluate the chloride ion resistance of slag-based geopolymer concrete (GGBS-GPC), Theja et al. [128] immersed specimens cured in air for 28 days in a 5% NaCl solution for an additional 28 days. The intent of Figure 15 and Figure 16 is to illustrate the dose-dependent influence of nano-titanium dioxide (n-TiO2) on the chloride resistance of GGBS-based geopolymer concrete. The independent variable, the n-TiO2 dosage (0%, 1.0%, 2.5%, 5.0%, and 7.5%), is plotted on the x-axis, while the dependent variables (mass loss percentage and compressive strength reduction percentage) are plotted on the y-axis. Although the n-TiO2 dosage levels are discrete, a line graph was deliberately chosen to visually emphasize the consistent and monotonic trend observed across the increasing dosage levels. This graphical representation effectively communicates the central finding: that a higher n-TiO2 content, up to 5%, leads to a progressive reduction in both mass loss and strength degradation upon chloride exposure.
Figure 15.
Effect of n-TiO2 dosage on mass loss (WL%) of GGBS-based geopolymer concrete under chloride exposure. The black line connects the mean values for each mix designation, while the red vertical bars indicate the standard deviations of the corresponding measurements [128].
Figure 16.
Effect of n-TiO2 dosage on compressive strength loss of GGBS-based geopolymer concrete under chloride exposure [128].
Figure 15 and Figure 16 illustrate the influence of n-TiO2 dosage on the (i) mass loss (WL%) and (ii) compressive strength loss of GGBS-based GPC under chloride exposure. A linear graph was adopted to highlight the dose–response relationship, since the horizontal axis represents the incremental addition of n-TiO2, while the vertical axis captures the corresponding performance parameter. Although the absolute values of mass loss appear relatively small (0.65–1.6%), the consistent and monotonic decline across replicate tests demonstrates a clear trend rather than random variation. This systematic reduction reflects a real material effect, with higher dosages of n-TiO2 leading to progressively improved resistance to chloride ingress. The choice of linear representation is therefore intended to emphasize the progressive improvement with dosage, which would not be as apparent in a bar chart or tabulated form. Statistical robustness was ensured in the original dataset of Theja et al. [128], which incorporated replicated measurements, thereby supporting the reliability of the observed reductions.
Kupwade-Patil et al. [129] demonstrated superior chloride resistance in Class F fly ash-based geopolymer concrete (FA-GPC) relative to ordinary Portland cement concrete (OPC), as evidenced by the significantly lower chloride diffusion coefficients, reduced chloride permeation/binding capacity, and diminished porosity. Zhang et al. [130] established that chloride permeability is fundamentally governed by the microstructure of reaction products in cementitious systems. While high-calcium geopolymer concretes (e.g., slag-based GPC) exhibit enhanced chloride resistance compared to OPC, their low-calcium counterparts (e.g., FA-GPC) show comparatively higher permeability. This performance dichotomy originates from the intrinsically refined pore architecture and greater tortuosity of the calcium-aluminosilicate-hydrate (C-A-S-H) gel in slag-GPC versus the conventional calcium-silicate-hydrate (C-S-H) gel in OPC. Crucially, slag incorporation promotes co-precipitation of C-(A)-S-H gels and hydrotalcite-like phases, which synergistically impede chloride ingress through (i) physical pore-blocking effects and (ii) the chemical binding of chloride ions via ion-exchange mechanisms. Consequently, increasing the slag content represents a validated strategy for reducing chloride diffusion coefficients in geopolymer matrices, thereby preserving the protective passive film on embedded steel reinforcement.
Although GPC performs excellently in resisting chloride ion penetration, its durability is still susceptible to fluctuations in raw materials and changes in environmental conditions. To enhance the performance stability of GPC, research and optimization of raw material selection, treatment processes, and preparation technologies should be strengthened. Simultaneously, current research on the chloride penetration resistance of GPC mainly focuses on the action of a single environment, failing to fully reflect the complexity of multiple environmental factors and loads acting together in engineering practice. Therefore, it is necessary to systematically conduct durability research under multi-factor coupling effects, especially revealing its performance degradation mechanisms at micro–meso–macro-scales, and establishing quantitative relationships between microstructure and macroscopic mechanical property degradation. This will provide a solid foundation for establishing a more comprehensive durability theoretical system for GPC.
4.3.6. Serviceability Challenges and Precursor–Performance Relationships in Geopolymer Concrete
While the environmental benefits and mechanical properties of geopolymer concrete (GPC) have been extensively explored, its long-term durability and serviceability—especially under aggressive environmental conditions—remain partially understood. Several deterioration mechanisms well-documented in ordinary Portland cement (OPC) systems also appear relevant to GPC, albeit with different triggers and kinetics, given the distinct chemistry of alkali-activated materials. Recent studies point to multiple underexamined domains in this context.
The alkali–silica reaction (ASR), for instance, is traditionally associated with high-calcium OPC systems. However, GPCs often contain elevated concentrations of free alkalis—especially when activated with sodium hydroxide or sodium silicate—and can still be vulnerable to ASR if reactive aggregates are present. Siddika et al. [131] documented the potential for ASR in glass-containing geopolymer concretes, highlighting that moisture exposure and residual alkalinity could generate expansive gels and microcracks. Ikotun et al. [132] further confirmed that ASR risks in alkali-activated systems remain relevant in pavement-scale applications, particularly when reactive aggregates are used under inadequate curing conditions.
Efflorescence and alkali leaching are two closely related concerns that have drawn increasing attention. Efflorescence is particularly prevalent in sodium-rich systems exposed to cyclic wetting and drying or to environments with elevated CO2 levels. According to Liang et al. [133], efflorescence not only affects aesthetic performance but may also indicate underlying ionic migration and pH instability within the matrix. Arbi et al. [134] emphasize that alkali leaching can lead to a progressive decline in matrix integrity, compromising both physical strength and chemical resistance over time. The migration of alkali ions to the surface, coupled with carbonation and salt precipitation, also alters pore chemistry and reduces the long-term durability of structural elements. Proposed mitigation techniques include adjusting activator concentrations, using sealers, and optimizing curing conditions.
Freeze–thaw resistance in GPC remains an area of partial consensus. Unlike OPC, which often relies on air entrainment for frost protection, GPC’s resistance to freeze–thaw cycling is heavily influenced by its pore size distribution and matrix compactness. Sherwani et al. [135] reported that optimized curing regimes and precursor selection (fly ash–slag blends) significantly improve freeze–thaw durability. Complementary results by Pacheco-Torgal et al. [136] indicate that alkali-activated binders generally show strong resistance to cyclic freezing, though performance is highly dependent on precursor chemistry and curing methods. However, real-world performance is likely to depend on multiple coupled factors, including the degree of saturation, exposure to deicing salts, and simultaneous mechanical loads. Long-term field simulations remain rare, highlighting the need for standardized durability tests under multistressor conditions.
Another vital yet understudied area is the interfacial transition zone (ITZ), which governs the mechanical integrity and transport behavior between aggregates and the geopolymer matrix. Ralli and Pantazopoulou [137] observed that heat-cured GPCs often develop dense ITZ regions with minimal porosity gradients, unlike OPC, which tends to form weak and porous ITZs due to bleeding and calcium hydroxide accumulation. However, the formation of microcracks within ITZ zones under thermal or drying shrinkage stresses remains an unresolved concern. Alanazi et al. [138] noted that incomplete geopolymerization or weak aggregate–matrix bonding can result in discontinuities at the interfacial transition zone, thereby increasing the permeability and susceptibility to chemical attack.
Lastly, reinforcement bond behavior and corrosion resistance in GPCs are essential for structural applications but remain inadequately characterized. Although early-age bond strength often matches or exceeds that of OPC-based systems, the chemical environment surrounding the rebar is substantially different. Without portlandite buffering and with different pH stability profiles, GPCs may present distinct corrosion initiation thresholds. Coppola et al. [139] reviewed durability-enhancing techniques for reinforced concretes and highlighted that chloride permeability control is essential in GPC for maintaining long-term bond strength. Field-scale evaluations under real exposure conditions—such as marine, freeze–thaw, and carbonation conditions—are still largely absent from the literature.
To address these serviceability concerns from a material design perspective, it is necessary to systematically examine how precursor selection governs multi-property performance outcomes. Different precursor types—such as low-calcium Class F fly ash, high-calcium fly ash, ground granulated blast furnace slag (GGBFS), and metakaolin—exhibit distinct behavior in terms of setting kinetics, strength development, dimensional stability, and chemical durability.
To synthesize these relationships, a decision support framework is proposed in the form of a precursor–performance decision tree (Figure 17). This schematic categorizes common precursor types based on key parameters such as the calcium content, amorphous phase fraction, and particle morphology. The resulting pathways guide expected outcomes in terms of the setting behavior, strength gain rate, shrinkage potential, efflorescence risk, and durability against environmental attacks. For example, high-Ca systems (e.g., slag-based) offer rapid strength development and lower porosity but may be more susceptible to carbonation-induced shrinkage and ASR. In contrast, low-Ca fly ash-based systems show enhanced chemical resistance and long-term dimensional stability but often require elevated-temperature curing. This decision tree serves as a practical tool for mix designers, enabling performance-oriented material selection under varied engineering constraints, environmental exposures, and construction methods.
Figure 17.
Decision tree linking geopolymer precursor type to concrete performance and applications.
From an engineering standpoint, solid waste-based geopolymer concrete (SWGPC) can be specified using evidence-aligned choices on materials and processing. For mix design, blending low-calcium aluminosilicate precursors (e.g., FA/MK) with a measured fraction of GGBFS balances early strength with long-term dimensional and chemical stability; where rapid early strength is essential, higher-calcium blends are feasible provided drying shrinkage is mitigated (e.g., through mix optimization and curing control) For activator design, we recommend explicitly reporting the silicate modulus and alkali dosage, avoiding over-rapid setting while targeting gel chemistry consistent with the exposure class (N-A-S-H for acidic/chemical environments; C-(A)-S-H-rich systems for fast strength with careful durability checks). Ambient curing is preferred for stability and practicality; moderated heat curing is reserved for schedule-critical elements and should be paired with shrinkage and microcracking control. Regarding durability envelopes, lower-calcium systems tend to show superior resistance under acidic or chemically aggressive exposure, while marine/chloride environments require dense matrices with verified low ion transport. In high-temperature or corrosion-prone applications (e.g., tunnels, marine works, and fire-resistant components), SWGPC’s thermal stability and inherent corrosion resistance can be leveraged with appropriate detailing and curing. For robust quality assurance and reproducibility, we recommend documenting activator modulus and curing profiles, and validating durability with permeability and ion transport tests aligned to the target exposure. Finally, practitioners should account for raw material variability through preliminary characterization and trial mixes, and implement site-appropriate safety and handling for alkaline activators.
Compared with earlier reviews that synthesized sub-topics narratively over shorter time windows and smaller corpora, our mapping of 2039 Web of Science records (2008–2025) using VOSviewer and CiteSpace resolves a stable three-cluster backbone—(1) materials and mix design, (2) activator optimization with microstructure–mechanical coupling, and (3) durability and environmental assessment—while quantifying the field’s post-2016 acceleration and revealing a frontier drift toward machine learning, 3D printing, and nano-modification. Whereas prior work often treated materials chemistry and durability separately, we provide a mechanism-aware interpretation that links activator/precursor chemistry and gel types (N-A-S-H vs. C-(A)-S-H) to performance under aggressive exposure. Together, these advances clarify where evidence is concentrated, identify persistent gaps (raw material variability, standardization, and long-term exposure datasets), and motivate the ML + multi-physics + LCA roadmap outlined in the Conclusions section.
5. Research Challenges and Future Directions
Despite these advances, models often rely on small, context-specific datasets, limiting their generalizability across different raw materials or curing conditions. Moreover, the black-box nature of many algorithms restricts interpretability—critical in safety-sensitive contexts. Addressing this, recent studies have integrated explainable AI (XAI) tools.
AI/ML has progressed from conceptual exploration to tangible engineering applications in geopolymer concrete research. Kurhade and Patankar [81] predicted compressive strength with a high accuracy (R2 ≈ 0.94) using an ANN model with seven input features, including fly ash fineness and curing temperature. Khan and Abbas [140] applied Random Forest (RF) to forecast long-term durability based on porosity, density, and 28-day strength, while Lin et al. [141] employed convolutional neural networks (CNNs) to automatically segment N-A-S-H gel phases in SEM images, providing high-resolution insights into matrix morphology. Gradient boosting (e.g., XGBoost) and support vector machines (SVMs) have also shown effectiveness in predicting strength and durability, often outperforming conventional regressions.
Despite the progress in machine learning-based concrete performance prediction, most studies still rely on relatively small, context-specific datasets, which limits the generalizability of the developed models. Future research must shift from descriptive approaches to integrative, mechanism-driven frameworks—combining open data platforms, interpretable ML, scalable nanotechnology, and standardized engineering practices. The integration of multiphysics modeling, which has proven valuable in simulating complex coupled processes in other fields, could provide a powerful tool for understanding and predicting the performance of SWGPC under real-world conditions [142]. Additionally, the black-box nature of many algorithms undermines interpretability and hinders user confidence, especially in safety-critical scenarios. To address these issues, recent research has increasingly adopted Explainable Artificial Intelligence (XAI) techniques, particularly SHapley Additive exPlanations (SHAP), to provide insights into the underlying mechanisms of model predictions.
Jueyendah et al. [143] utilized SHAP to interpret gradient-boosted tree models for predicting concrete compressive strength, and found that the water-to-binder ratio and cement content were the dominant influencing factors, while the curing temperature had a secondary effect. Majid et al. [144] proposed a hybrid AutoML–SHAP framework that simultaneously optimized hyperparameters and enabled transparent interpretation, thereby improving the prediction accuracy and revealing governing mechanisms. Taffese et al. [145] applied ensemble learning with SHAP to predict the flexural strength of ultra-high-performance concrete (UHPC), uncovering nonlinear threshold effects associated with the curing time and aggregate proportions.
In the context of sustainable concrete materials, studies have employed SHAP to interpret machine learning models for strength prediction of cementitious materials. Yu et al. [146] applied chemistry-informed deep learning with SHAP analysis to identify the dominant influence of mixture proportions and pore structure characteristics in geopolymer concrete. Similarly, He et al. [147] integrated SHAP with an adaptive machine learning framework for UHPC, enhancing the predictive robustness and transparency across diverse input conditions. Collectively, these studies demonstrate that explainable ML approaches are shifting the paradigm in concrete research—from black-box predictions to mechanism-aware interpretations. This transformation is especially vital for solid waste-based geopolymer concrete (SWGPC), where the variability of industrial by-products demands models that not only predict performance but also reveal the physical and chemical drivers behind it.
Nano-additives have shown great promise in enhancing the performance of geopolymer concrete (GPC) by refining the pore structure, accelerating geopolymerization, and improving durability under aggressive environments. For example, Shilar et al. [148] reviewed the role of nano-silica and found that incorporating 2–3% by weight can increase the compressive strength by 20–25% while reducing the permeability due to the densification of the microstructure. Theja et al. [128] demonstrated that nano-TiO2 additions (≤3%) significantly improved the chloride resistance of slag-based GPC, reducing the mass loss from 1.6% to 0.65% and enhancing its durability classification to “very low permeability.” Sargam et al. [149] explored the effects of nano-alumina on early-age strength and microstructure, and reported enhanced gel formation and matrix densification. Liu et al. [150] studied the reinforcement effect of graphene oxide (GO) in geopolymer composites, and showed that it substantially improved the crack resistance and chloride penetration resistance.
However, the practical implementation of nano-modified GPC still faces several challenges. Uniform dispersion of nanoparticles is difficult due to their tendency to agglomerate, which can negatively affect performance. The high cost of high-purity nanomaterials also restricts their use in large-scale applications. Moreover, long-term durability under multi-factor coupled environmental conditions—such as chloride attack, carbonation, and freeze–thaw cycles—remains uncertain. Zhang et al. [151] emphasized that the durability of nano-modified concrete should be assessed under salt spray conditions and long-term multi-factor coupled environments to ensure real-world performance.
Three-dimensional printing (3D printing) offers unprecedented opportunities in geopolymer concrete construction by enabling formwork-free fabrication, architectural freedom, and efficient material usage. Panda et al. [152] successfully demonstrated the 3D printing of fly ash–slag geopolymer mortars with compressive strengths exceeding 40 MPa, proving the structural viability of printed components. To enhance the buildability and interlayer adhesion, Zhang et al. [153] optimized the sodium silicate-to-sodium hydroxide ratio in the alkaline activator solution. Their results showed that increasing the Na2SiO3 proportion improved the shape retention and bond quality between printed layers. However, Paul et al. [154] highlighted that anisotropic mechanical behavior remains a major issue in 3D-printed GPC, as the interlayer bond strength can be significantly lower than in cast specimens. Their work proposed rheological tuning—specifically, yield stress and thixotropy optimization—to improve the interfacial strength. Despite these advances, the lack of standardized printable mix designs, curing regimes, and activator formulations continues to hinder industrial-scale implementation. Future research should prioritize the development of reproducible printable mixes, real-time extrusion monitoring technologies, and full-scale pilot demonstrations to ensure the structural reliability and sustainability of 3D-printed geopolymer structures
Taken together, these challenges show that, while AI/ML, nano-modification, and 3D printing are frontier technologies in SWGPC research, their current impact is constrained by dataset scarcity, dispersion and cost issues, interlayer weaknesses, and the lack of standardization. Future research must shift from descriptive approaches to integrative, mechanism-driven frameworks—combining open data platforms, interpretable ML, scalable nanotechnology, and standardized engineering practices. Such an interdisciplinary roadmap will enable the transformation of SWGPC from laboratory promise into a robust, sustainable, and industrially viable construction material.
6. Conclusions
This review charts the structure and trajectory of solid waste-based geopolymer concrete (SWGPC) using a large, recent corpus and a replicable bibliometric workflow. Beyond trends, we offer the following critical takeaways and next steps:
(1) State of the field. Since 2016, SWGPC has entered a rapid-growth phase organized around a three-cluster backbone: (i) materials and mix design; (ii) activator optimization with microstructure–mechanical coupling; (iii) durability and environmental assessment. Evidence is dense for compressive strength optimization but comparatively sparse for long-term performance across exposure classes.
(2) Bottlenecks. Progress is constrained by raw material variability, incomplete linkage between gel chemistry and performance, and non-standard reporting that obstructs comparability and meta-analysis.
(3) What this review adds. We consolidate dispersed work into a field-scale knowledge map, provide a mechanism-aware interpretation that connects activator/precursor chemistry and gel types (N-A-S-H vs. C-(A)-S-H) to observed performance.
(4) Implications for practice. Evidence supports exposure-aligned mix design (lower-calcium systems for acidic/chemical environments; dense matrices for marine/chloride), explicit activator specification (reporting silicate modulus and alkali dosage), and curing strategies that balance early throughput with shrinkage and durability control.
(5) Priorities for future work. (i) Build open, standardized datasets with harmonized material descriptors and test protocols; (ii) implement in situ, multi-scale characterization to close the mechanism→performance gap; (iii) integrate machine learning with multi-physics and explainable artificial intelligence (XAI) to deliver interpretable, data-efficient design tools; (iv) establish benchmark tasks and reporting checklists based on the proposed taxonomy to enable robust meta-analysis; and (v) develop long-term field-exposure datasets (including life-cycle assessment) to calibrate durability predictions and inform standards.
Author Contributions
J.W.: Writing—original draft and Data curation. L.Z.: Writing–review and editing and Conceptualization. D.W.: Conceptualization and Writing—review and editing. Y.X.: Conceptualization and Writing—review and editing. All authors have read and agreed to the published version of the manuscript.
Funding
This research was funded by Xi’an University of Technology (No. 451117008).
Data Availability Statement
Data will be made available on request.
Conflicts of Interest
Author Dongping Wan was employed by the company Xinjiang Yaxin Coalbed Methane Investment and Development (Group) Co., Ltd. The remaining authors declare that the research was conducted in the absence of any commercial or financial relationships that could be construed as a potential conflict of interest.
References
- Khalil, E.; AbouZeid, M. Framework for Cement Plants Assessment Through Cement Production Improvement Measures for Reduction of CO2 Emissions Towards Net Zero Emissions. Constr. Mater. 2025, 5, 20. [Google Scholar] [CrossRef]
- El Machi, A.; El Berdai, Y.; Mabroum, S.; Safhi, A.E.M.; Taha, Y.; Benzaazoua, M.; Hakkou, R. Recycling of mine wastes in the concrete industry: A review. Buildings 2024, 14, 1508. [Google Scholar] [CrossRef]
- Davidovits, J. Geopolymers: Inorganic polymeric new materials. J. Therm. Anal. Calorim. 1991, 37, 1633–1656. [Google Scholar] [CrossRef]
- Zhang, M.; El-Korchi, T.; Zhang, G.; Liang, J.; Tao, M. Synthesis factors affecting mechanical properties, microstructure, and chemical composition of red mud–fly ash based geopolymers. Fuel 2014, 134, 315–325. [Google Scholar] [CrossRef]
- Sharma, A.; Basumatary, N.; Singh, P.; Kapoor, K.; Singh, S.P. Potential of geopolymer concrete as substitution for conventional concrete: A review. Mater. Today Proc. 2022, 57, 1539–1545. [Google Scholar] [CrossRef]
- Tushar, Q.; Bhuiyan, M.A.; Abunada, Z.; Lemckert, C.; Giustozzi, F. Carbon Footprint and Uncertainties of Geopolymer Concrete Production: A Comprehensive Life Cycle Assessment (LCA). C 2025, 11, 55. [Google Scholar] [CrossRef]
- Cong, P.; Cheng, Y. Advances in geopolymer materials: A comprehensive review. J. Traffic Transp. Eng. 2021, 8, 283–314. [Google Scholar] [CrossRef]
- Luhar, I.; Luhar, S. A comprehensive review on fly ash-based geopolymer. J. Compos. Sci. 2022, 6, 219. [Google Scholar] [CrossRef]
- Khale, D.; Chaudhary, R. Mechanism of geopolymerization and factors influencing its development: A review. J. Mater. Sci. 2007, 42, 729–746. [Google Scholar] [CrossRef]
- Kriven, W.M.; Leonelli, C.; Provis, J.L.; Boccaccini, A.R.; Attwell, C.; Ducman, V.S.; Ferone, C.; Rossignol, S.; Luukkonen, T.; van Deventer, J.S.J.; et al. Why geopolymers and alkali-activated materials are key components of a sustainable world: A perspective contribution. J. Am. Ceram. Soc. 2024, 107, 5159–5177. [Google Scholar] [CrossRef]
- He, R.; Dai, N.; Wang, Z. Thermal and mechanical properties of geopolymers exposed to high temperature: A literature review. Adv. Civ. Eng. 2020, 2020, 7532703. [Google Scholar] [CrossRef]
- Verma, M.; Meena, R.K.; Singh, I.; Gupta, N.; Saxena, K.K.; Reddy, M.M.; Salem, K.H.; Salmaan, U. Investigation on the impact of elevated temperature on sustainable geopolymer composite. Adv. Mech. Eng. 2023, 15, 16878132231196402. [Google Scholar] [CrossRef]
- Hassan, A.; Arif, M.; Shariq, M. Mechanical behaviour and microstructural investigation of geopolymer concrete after exposure to elevated temperatures. Arab. J. Sci. Eng. 2020, 45, 3843–3861. [Google Scholar] [CrossRef]
- Rakhimova, N. Recent advances in alternative cementitious materials for nuclear waste immobilization: A review. Sustainability 2022, 15, 689. [Google Scholar] [CrossRef]
- Genua, F.; Lancellotti, I.; Leonelli, C. Geopolymer-Based Stabilization of Heavy Metals, the Role of Chemical Agents in Encapsulation and Adsorption. Polymers 2025, 17, 670. [Google Scholar] [CrossRef]
- Wang, J.; Gangarao, H.; Liang, R.; Liu, W. Durability and prediction models of fiber-reinforced polymer composites under various environmental conditions: A critical review. J. Reinf. Plast. Compos. 2016, 35, 179–211. [Google Scholar] [CrossRef]
- Duxson, P.; Fernández-Jiménez, A.; Provis, J.L.; Lukey, G.C.; Palomo, A.; Van Deventer, J.S. Geopolymer technology: The current state of the art. J. Mater. Sci. 2007, 42, 2917–2933. [Google Scholar] [CrossRef]
- McLellan, B.C.; Williams, R.P.; Lay, J.; Van Riessen, A.; Corder, G.D. Costs and carbon emissions for geopolymer pastes in comparison to ordinary portland cement. J. Clean. Prod. 2011, 19, 1080–1090. [Google Scholar] [CrossRef]
- Adnan; Anas, M. Geopolymer concrete as a sustainable alternative to OPC. J. Umm Al-Qura Univ. Eng. Archit. 2025, 1–23. [Google Scholar] [CrossRef]
- Ahmed, H.U.; Mahmood, L.J.; Muhammad, M.A.; Faraj, R.H.; Qaidi, S.M.; Sor, N.H.; Mohammed, A.S.; Mohammed, A.A. Geopolymer concrete as a cleaner construction material: An overview on materials and structural performances. Clean. Mater. 2022, 5, 100111. [Google Scholar] [CrossRef]
- Aarre, T.; Kaasgaard, M. Influence of curing temperature on strength development of concrete. Key Eng. Mater. 2016, 711, 118–125. [Google Scholar] [CrossRef]
- El-Habaak, G.; Askalany, M.; Abdel-Hakeem, M. Building up and characterization of calcined marl-based geopolymeric cement. Infrastructures 2018, 3, 22. [Google Scholar] [CrossRef]
- Vogt, O.; Ukrainczyk, N.; Ballschmiede, C.; Koenders, E. Reactivity and microstructure of metakaolin based geopolymers: Effect of fly Ash and liquid/solid contents. Materials 2019, 12, 3485. [Google Scholar] [CrossRef] [PubMed]
- Lu, X.; Liu, B.; Zhang, Q.; Wang, S.; Liu, J.; Li, Q.; Fan, J.; Wei, S. Mechanical properties and hydration of fly ash-based geopolymers modified by copper slag. Mater. Today Commun. 2024, 39, 108914. [Google Scholar] [CrossRef]
- Mohmmad, S.H.; Shakor, P.; Muhammad, J.H.; Hasan, M.F.; Karakouzian, M. Sustainable alternatives to cement: Synthesizing metakaolin-based geopolymer concrete using nano-silica. Constr. Mater. 2023, 3, 276–286. [Google Scholar] [CrossRef]
- Liu, H.; Sun, X.; Wang, Y.; Lu, X.; Du, H.; Tian, Z. Study on the influence of silica fume (SF) on the rheology, fluidity, stability, time-varying characteristics, and mechanism of cement paste. Materials 2021, 15, 90. [Google Scholar] [CrossRef]
- Gao, Y.; Liu, G.; Han, X.; Gao, Q.; Ren, J. Research on the design method of mix proportion of ceramsite lightweight aggregate concrete. Constr. Build. Mater. 2024, 433, 136665. [Google Scholar] [CrossRef]
- Mohseni, E.; Kazemi, M.J.; Koushkbaghi, M.; Zehtab, B.; Behforouz, B. Evaluation of mechanical and durability properties of fiber-reinforced lightweight geopolymer composites based on rice husk ash and nano-alumina. Constr. Build. Mater. 2019, 209, 532–540. [Google Scholar] [CrossRef]
- ElNemr, A. Generating water/binder ratio-to-strength curves for cement mortar used in Masnory walls. Constr. Build. Mater. 2020, 233, 117249. [Google Scholar] [CrossRef]
- Hamada, H.M.; Abed, F.; Katman, H.Y.B.; Humada, A.M.; Al Jawahery, M.S.; Majdi, A.; Yousif, S.T.; Thomas, B.S. Effect of silica fume on the properties of sustainable cement concrete. J. Mater. Res. Technol. 2023, 24, 8887–8908. [Google Scholar] [CrossRef]
- Hwang, S.D.; Lepesqueux, É.; Khayat, K.H. Effect of lightweight aggregate on key properties of SCC designated for repair applications. J. Sustain. Cem.-Based Mater. 2018, 7, 79–98. [Google Scholar] [CrossRef]
- Huang, J.; Diao, Y.; Li, P.; Zheng, G.; Pan, W.; Su, Y.; Gan, W.; Chen, H. Optimization design and characteristic of retarding and low-early-strength grouting material for capsule grouting technology: Laboratory and field evaluation. J. Mater. Res. Technol. 2022, 19, 4815–4831. [Google Scholar] [CrossRef]
- Karagöl, F.; Yegin, Y.; Polat, R.; Benli, A.; Demirboğa, R. The influence of lightweight aggregate, freezing–thawing procedure and air entraining agent on freezing–thawing damage. Struct. Concr. 2018, 19, 1328–1340. [Google Scholar] [CrossRef]
- Gökçe, H.S. Durability of slag-based alkali-activated materials: A critical review. J. Aust. Ceram. Soc. 2024, 60, 885–903. [Google Scholar] [CrossRef]
- Luhar, S.; Luhar, I.; Nicolaides, D.; Gupta, R. Durability performance evaluation of rubberized geopolymer concrete. Sustainability 2021, 13, 5969. [Google Scholar] [CrossRef]
- Pasupathy, K.; Ramakrishnan, S.; Sanjayan, J. Formulating eco-friendly geopolymer foam concrete by alkali-activation of ground brick waste. J. Clean. Prod. 2021, 325, 129180. [Google Scholar] [CrossRef]
- Assi, L.; Anay, R.; Leaphart, D.; Soltangharaei, V.; Ziehl, P. Understanding early geopolymerization process of Fly ash–based geopolymer paste using pattern recognition. J. Mater. Civ. Eng. 2018, 30, 04018092. [Google Scholar] [CrossRef]
- Wang, T.; Rao, F.; Yang, L.; Jiang, K.; Lin, N.; Mo, L. Influence of Wastes and Synthesis Conditions on the Compressive Strength, Setting Time and Gels of Waste-Based Geopolymers. Gels 2024, 10, 700. [Google Scholar] [CrossRef]
- Ling, Y.; Wang, K.; Wang, X.; Hua, S. Effects of mix design parameters on heat of geopolymerization, set time, and compressive strength of high calcium fly ash geopolymer. Constr. Build. Mater. 2019, 228, 116763. [Google Scholar] [CrossRef]
- Zhang, P.; Ding, J.; Dai, X.; Zheng, Y.; Zheng, M. Mechanical properties of geopolymer concrete solidified with waste materials. Constr. Build. Mater. 2025, 460, 139835. [Google Scholar] [CrossRef]
- Tennakoon, C.; San Nicolas, R.; Sanjayan, J.G.; Shayan, A. Thermal effects of activators on the setting time and rate of workability loss of geopolymers. Ceram. Int. 2016, 42, 19257–19268. [Google Scholar] [CrossRef]
- Provis, J.L. Geopolymers and other alkali activated materials: Why, how, and what? Mater. Struct. 2014, 47, 11–25. [Google Scholar] [CrossRef]
- Alelweet, O.; Pavia, S. An evaluation of the feasibility of several industrial wastes and natural materials as precursors for the production of alkali activated materials. Int. J. Archit. Civ. Constr. Sci. 2019, 13, 745–752. [Google Scholar]
- Elhag, A.B.; Raza, A.; Khan, Q.U.Z.; Abid, M.; Masood, B.; Arshad, M.; Deifalla, A.F. A critical review on mechanical, durability, and microstructural properties of industrial by-product-based geopolymer composites. Rev. Adv. Mater. Sci. 2023, 62, 20220306. [Google Scholar] [CrossRef]
- Mousavi, S.S.; Bhojaraju, C.; Ouellet-Plamondon, C. Clay as a sustainable binder for concrete—A review. Constr. Mater. 2021, 1, 134–168. [Google Scholar] [CrossRef]
- Alassaf, Y. Comprehensive review of the advancements, benefits, challenges, and design integration of energy efficient materials for sustainable buildings. Buildings 2024, 14, 2994. [Google Scholar] [CrossRef]
- Al-Duais, I.N.; Ahmad, S.; Al-Osta, M.M.; Maslehuddin, M.; Saleh, T.A.; Al-Dulaijan, S.U. Optimization of alkali-activated binders using natural minerals and industrial waste materials as precursor materials. J. Build. Eng. 2023, 69, 106230. [Google Scholar] [CrossRef]
- Zheng, Q.; Zhou, Y.; Liu, X.; Liu, M.; Liao, L.; Lv, G. Environmental hazards and comprehensive utilization of solid waste coal gangue. Prog. Nat. Sci. Mater. Int. 2024, 34, 223–239. [Google Scholar] [CrossRef]
- Deb, P.S.; Nath, P.; Sarker, P.K. The effects of ground granulated blast-furnace slag blending with fly ash and activator content on the workability and strength properties of geopolymer concrete cured at ambient temperature. Mater. Des. 2014, 62, 32–39. [Google Scholar] [CrossRef]
- Nath, P.; Sarker, P.K. Effect of GGBFS on setting, workability and early strength properties of fly ash geopolymer concrete cured in ambient condition. Constr. Build. Mater. 2014, 66, 163–171. [Google Scholar] [CrossRef]
- Hossain, S.S.; Roy, P.K.; Bae, C.J. Utilization of waste rice husk ash for sustainable geopolymer: A review. Constr. Build. Mater. 2021, 310, 125218. [Google Scholar] [CrossRef]
- Guo, S.; Wu, Y.; Jia, Z.; Qi, X.; Wang, W. Sodium-based activators in alkali-activated materials: Classification and comparison. J. Build. Eng. 2023, 70, 106397. [Google Scholar] [CrossRef]
- Nodehi, M.; Taghvaee, V.M. Alkali-activated materials and geopolymer: A review of common precursors and activators addressing circular economy. Circ. Econ. Sustain. 2022, 2, 165–196. [Google Scholar] [CrossRef]
- Lothenbach, B.; Nonat, A. Calcium silicate hydrates: Solid and liquid phase composition. Cem. Concr. Res. 2015, 78, 57–70. [Google Scholar] [CrossRef]
- Ma, C.; Zhao, B.; Guo, S.; Long, G.; Xie, Y. Properties and characterization of green one-part geopolymer activated by composite activators. J. Clean. Prod. 2019, 220, 188–199. [Google Scholar] [CrossRef]
- Leong, H.Y.; Ong, D.E.L.; Sanjayan, J.G.; Nazari, A. The effect of different Na2O and K2O ratios of alkali activator on compressive strength of fly ash based-geopolymer. Constr. Build. Mater. 2016, 106, 500–511. [Google Scholar] [CrossRef]
- Wang, L.; Zhang, W.; Cao, Z.; Xue, Y.; Xiong, F. Coupled effects of the anisotropic permeability and adsorption-induced deformation on the hydrogen and carbon reservoir extraction dynamics. Phys. Fluids 2025, 37, 066608. [Google Scholar] [CrossRef]
- Sun, B.; Ye, G.; De Schutter, G. A review: Reaction mechanism and strength of slag and fly ash-based alkali- activated materials. Constr. Build. Mater. 2022, 326, 126843. [Google Scholar] [CrossRef]
- Keskin, T.; Yilmaz, E.; Kasap, T.; Sari, M.; Cao, S. Toward viable industrial solid residual waste recycling: A review of its innovative applications and future perspectives. Minerals 2024, 14, 943. [Google Scholar] [CrossRef]
- Venkatesan, G.; Alengaram, U.J.; Ibrahim, S.; Ibrahim, M.S.I. Effect of Fly Ash characteristics, sodium-based alkaline activators, and process variables on the compressive strength of siliceous Fly Ash geopolymers with microstructural properties: A comprehensive review. Constr. Build. Mater. 2024, 437, 136808. [Google Scholar] [CrossRef]
- Garcés, P.; Andión, L.G.; Zornoza, E.; Bonilla, M.; Payá, J. The effect of processed fly ashes on the durability and the corrosion of steel rebars embedded in cement–modified fly ash mortars. Cem. Concr. Compos. 2010, 32, 204–210. [Google Scholar] [CrossRef]
- Balczár, I.; Korim, T.; Kovács, A.; Makó, É. Mechanochemical and thermal activation of kaolin for manufacturing geopolymer mortars–comparative study. Ceram. Int. 2016, 42, 15367–15375. [Google Scholar] [CrossRef]
- Hounsi, A.D.; Lecomte-Nana, G.L.; Djétéli, G.; Blanchart, P. Kaolin-based geopolymers: Effect of mechanical activation and curing process. Constr. Build. Mater. 2013, 42, 105–113. [Google Scholar] [CrossRef]
- Frost, R.L.; Makó, É.; Kristóf, J.; Horváth, E.; Kloprogge, J.T. Mechanochemical treatment of kaolinite. J. Colloid Interface Sci. 2001, 239, 458–466. [Google Scholar] [CrossRef] [PubMed]
- Siyal, A.A.; Mohamed, R.M.S.R.; Shamsuddin, R.; Ridzuan, M.B. A comprehensive review of synthesis kinetics and formation mechanism of geopolymers. RSC Adv. 2024, 14, 446–462. [Google Scholar] [CrossRef] [PubMed]
- Rahier, H.; Wastiels, J.; Biesemans, M.; Willlem, R.; Van Assche, G.; Van Mele, B. Reaction mechanism, kinetics and high temperature transformations of geopolymers. J. Mater. Sci. 2007, 42, 2982–2996. [Google Scholar] [CrossRef]
- Chen, C.; Gong, W.; Lutze, W.; Pegg, I.L. Kinetics of fly ash geopolymerization. J. Mater. Sci. 2011, 46, 3073–3083. [Google Scholar] [CrossRef]
- Huo, W.; Zhu, Z.; Sun, H.; Gao, Q.; Zhang, J.; Wan, Y.; Zhang, C. Reaction kinetics, mechanical properties, and microstructure of nano-modified recycled concrete fine powder/slag based geopolymers. J. Clean. Prod. 2022, 372, 133715. [Google Scholar] [CrossRef]
- Wang, L.; Zhu, L.; Xue, Y.; Cao, X.; Liu, G. Multiphysics modeling of thermal–fluid–solid interactions in coalbed methane reservoirs: Simulations and optimization strategies. Phys. Fluids 2025, 37, 076649. [Google Scholar] [CrossRef]
- Kumar, S.G.K.M.; Kinuthia, J.M.; Oti, J.; Adeleke, B.O. Geopolymer Chemistry and Composition: A Comprehensive Review of Synthesis, Reaction Mechanisms, and Material Properties—Oriented with Sustainable Construction. Materials 2025, 18, 3823. [Google Scholar] [CrossRef]
- Mao, Q.; Li, Y.; Liu, K.; Peng, H.; Shi, X. Mechanism, characterization and factors of reaction between basalt and alkali: Exploratory investigation for potential application in geopolymer concrete. Cem. Concr. Compos. 2022, 130, 104526. [Google Scholar] [CrossRef]
- Mohammed, A.A.; Ahmed, H.U.; Mosavi, A. Survey of mechanical properties of geopolymer concrete: A comprehensive review and data analysis. Materials 2021, 14, 4690. [Google Scholar] [CrossRef]
- Castillo, H.; Collado, H.; Droguett, T.; Sánchez, S.; Vesely, M.; Garrido, P.; Palma, S. Factors affecting the compressive strength of geopolymers: A review. Minerals 2021, 11, 1317. [Google Scholar] [CrossRef]
- Pavithra, P.; Reddy, M.S.; Dinakar, P.; Rao, B.H.; Satpathy, B.K.; Mohanty, A.N. A mix design procedure for geopolymer concrete with fly ash. J. Clean. Prod. 2016, 133, 117–125. [Google Scholar] [CrossRef]
- Naskar, S.; Chakraborty, A.K. Effect of nano materials in geopolymer concrete. Perspect. Sci. 2016, 8, 273–275. [Google Scholar] [CrossRef]
- Yao, Z.; Luo, L.; Qin, Y.; Cheng, J.; Qu, C. Research on mix design and mechanical performances of MK-GGBFS based geopolymer pastes using central composite design method. Sci. Rep. 2024, 14, 9101. [Google Scholar] [CrossRef] [PubMed]
- Hassan, A.; Arif, M.; Shariq, M. Use of geopolymer concrete for a cleaner and sustainable environment–A review of mechanical properties and microstructure. J. Clean. Prod. 2019, 223, 704–728. [Google Scholar] [CrossRef]
- Onyelowe, K.C.; Kamchoom, V.; Ebid, A.M.; Hanandeh, S.; Llamuca Llamuca, J.L.; Londo Yachambay, F.P.; Palta, J.L.A.; Vishnupriyan, M.; Avudaiappan, S. Optimizing the utilization of Metakaolin in pre-cured geopolymer concrete using ensemble and symbolic regressions. Sci. Rep. 2025, 15, 6858. [Google Scholar] [CrossRef]
- Feng, Z.; Zhang, P.; Guo, J.; Zheng, Y.; Hu, S. Single and synergistic effects of nano-SiO2 and hybrid fiber on rheological property and compressive strength of geopolymer concrete. Constr. Build. Mater. 2025, 472, 140945. [Google Scholar] [CrossRef]
- Ahmed, H.U.; Mohammed, A.S.; Faraj, R.H.; Qaidi, S.; Mohammed, A.A. Compressive strength of geopolymer concrete modified with nano-silica: Experimental and modeling investigations. Case Stud. Constr. Mater. 2022, 16, e01036. [Google Scholar] [CrossRef]
- Kurhade, S.D.; Patankar, S. Predicting compressive strength of geopolymer concrete using machine learning models. Innov. Infrastruct. Solut. 2025, 10, 12. [Google Scholar] [CrossRef]
- Zhang, B.; Feng, Y.; Zhou, X.; Lai, D.; Zhong, H.; Yu, T.; Liang, J.; Xie, J. Dynamic mechanical behaviour and life cycle assessment of rubberised solid waste-based geopolymer concrete. J. Clean. Prod. 2025, 501, 145247. [Google Scholar] [CrossRef]
- Zuaiter, M.; Khalil, A.; Elkafrawy, M.; Hawileh, R.; AlHamaydeh, M.; Ayman, A.; Kim, T.Y. Effect of blending GGBS and silica fume on the mechanical properties of geopolymer concrete. Sci. Rep. 2025, 15, 9091. [Google Scholar] [CrossRef]
- Asghar, R.; Khan, M.A.; Alyousef, R.; Javed, M.F.; Ali, M. Promoting the green Construction: Scientometric review on the mechanical and structural performance of geopolymer concrete. Constr. Build. Mater. 2023, 368, 130502. [Google Scholar] [CrossRef]
- Lee, B.; Kim, G.; Kim, R.; Cho, B.; Lee, S.; Chon, C.M. Strength development properties of geopolymer paste and mortar with respect to amorphous Si/Al ratio of fly ash. Constr. Build. Mater. 2017, 151, 512–519. [Google Scholar] [CrossRef]
- Shahmansouri, A.A.; Nematzadeh, M.; Behnood, A. Mechanical properties of GGBFS-based geopolymer concrete incorporating natural zeolite and silica fume with an optimum design using response surface method. J. Build. Eng. 2021, 36, 102138. [Google Scholar] [CrossRef]
- Eltantawi, I.; Sheikh, M.N.; Hadi, M.N. Influence of stainless steel fibres on the mechanical properties of self-compacting ultra-high-performance geopolymer concrete. Constr. Build. Mater. 2025, 463, 140092. [Google Scholar] [CrossRef]
- Xu, J.; Kang, A.; Wu, Z.; Xiao, P.; Gong, Y. Evaluation of workability, microstructure and mechanical properties of recycled powder geopolymer reinforced by waste hydrophilic basalt fiber. J. Clean. Prod. 2023, 396, 136514. [Google Scholar] [CrossRef]
- Shilar, F.A.; Ganachari, S.V.; Patil, V.B.; Khan, T.Y.; Javed, S.; Baig, R.U. Optimization of alkaline activator on the strength properties of geopolymer concrete. Polymers 2022, 14, 2434. [Google Scholar] [CrossRef]
- Hamed, Y.R.; Keshta, M.M.; Elshikh, M.M.Y.; Elshami, A.A.; Matthana, M.H.; Youssf, O. Performance of Sustainable Geopolymer Concrete Made of Different Alkaline Activators. Infrastructures 2025, 10, 41. [Google Scholar] [CrossRef]
- Wang, X.H.; Hu, D.G.; Hong, A.K.B.; Shi, D.D. Prediction of equivalent chloride ion diffusion coefficient in cracked concrete of the in-service RC element. KSCE J. Civ. Eng. 2022, 26, 2369–2380. [Google Scholar] [CrossRef]
- Wang, H.; Bi, J.; Zhao, Y.; Wang, C.; Wang, W. Fracture behavior and fracture evolution mechanism of rock-concrete bi-material under acousto-optic characteristics. Constr. Build. Mater. 2025, 458, 139585. [Google Scholar] [CrossRef]
- Bhattarai, S.R.; Adesina, M.; Akbari, A. Geopolymers as Sustainable Materials: A Short Review. J. Build. Archit. (JBA) 2025, 2, 1–5. [Google Scholar]
- Ramesh, V.; Muthramu, B.; Rebekhal, D. A review of sustainability assessment of geopolymer concrete through AI-based life cycle analysis. AI Civ. Eng. 2025, 4, 3. [Google Scholar] [CrossRef]
- Tian, L.; He, D.; Zhao, J.; Wang, H. Durability of geopolymers and geopolymer concretes: A review. Rev. Adv. Mater. Sci. 2021, 60, 1–14. [Google Scholar] [CrossRef]
- Wang, L.; Zhu, L.; Cao, Z.; Liu, J.; Xue, Y.; Wang, P.; Cao, X.; Liu, Y. Thermo-mechanical degradation and fracture evolution in low-permeability coal subjected to cyclic heating-cryogenic cooling. Phys. Fluids 2025, 37, 086617. [Google Scholar] [CrossRef]
- Samimi, K.; Kamali-Bernard, S.; Maghsoudi, A.A. Durability of self-compacting concrete containing pumice and zeolite against acid attack, carbonation and marine environment. Constr. Build. Mater. 2018, 165, 247–263. [Google Scholar] [CrossRef]
- Wang, A.; Zheng, Y.; Zhang, Z.; Liu, K.; Li, Y.; Shi, L.; Sun, D. The durability of alkali-activated materials in comparison with ordinary Portland cements and concretes: A review. Engineering 2020, 6, 695–706. [Google Scholar] [CrossRef]
- Yang, G.; Zhao, J.; Wang, Y. Durability properties of sustainable alkali-activated cementitious materials as marine engineering material: A review. Mater. Today Sustain. 2022, 17, 100099. [Google Scholar] [CrossRef]
- Albitar, M.; Ali, M.M.; Visintin, P.; Drechsler, M. Durability evaluation of geopolymer and conventional concretes. Constr. Build. Mater. 2017, 136, 374–385. [Google Scholar] [CrossRef]
- Cai, C.; Li, F.; Fan, S.; Yan, D.; Sun, Q.; Jin, H.; Shao, J.; Chen, Z.; Liu, M. Investigation on deterioration mechanism of geopolymer cemented coal Gangue-Fly ash backfill under combined action of high temperature and salt corrosion environment. Constr. Build. Mater. 2023, 398, 132518. [Google Scholar] [CrossRef]
- Guo, L.; Wu, Y.; Xu, F.; Song, X.; Ye, J.; Duan, P.; Zhang, Z. Sulfate resistance of hybrid fiber reinforced metakaolin geopolymer composites. Compos. Part B Eng. 2020, 183, 107689. [Google Scholar] [CrossRef]
- Xie, Y.; Lin, X.; Ji, T.; Liang, Y.; Pan, W. Comparison of corrosion resistance mechanism between ordinary Portland concrete and alkali-activated concrete subjected to biogenic sulfuric acid attack. Constr. Build. Mater. 2019, 228, 117071. [Google Scholar] [CrossRef]
- Gu, L.; Bennett, T.; Visintin, P. Sulphuric acid exposure of conventional concrete and alkali-activated concrete: Assessment of test methodologies. Constr. Build. Mater. 2019, 197, 681–692. [Google Scholar] [CrossRef]
- Sarıdemir, M.; Celikten, S. Effect of high temperature, acid and sulfate on properties of alkali-activated lightweight aggregate concretes. Constr. Build. Mater. 2022, 317, 125886. [Google Scholar] [CrossRef]
- Valencia-Saavedra, W.G.; de Gutiérrez, R.M.; Puertas, F. Performance of FA-based geopolymer concretes exposed to acetic and sulfuric acids. Constr. Build. Mater. 2020, 257, 119503. [Google Scholar] [CrossRef]
- Elyamany, H.E.; Elmoaty, A.E.M.A.; Diab, A.R.A. Sulphuric acid resistance of slag geopolymer concrete modified with fly ash and silica fume. Iran. J. Sci. Technol. Trans. Civ. Eng. 2021, 45, 2297–2315. [Google Scholar] [CrossRef]
- Ibrahim, M.; Salami, B.A.; Algaifi, H.A.; Rahman, M.K.; Nasir, M.; Ewebajo, A.O. Assessment of acid resistance of natural pozzolan-based alkali-activated concrete: Experimental and optimization modelling. Constr. Build. Mater. 2021, 304, 124657. [Google Scholar] [CrossRef]
- Karaaslan, C.; Yener, E.; Bağatur, T.; Polat, R. Improving the durability of pumice-fly ash based geopolymer concrete with calcium aluminate cement. J. Build. Eng. 2022, 59, 105110. [Google Scholar] [CrossRef]
- Chen, K.; Wu, D.; Xia, L.; Cai, Q.; Zhang, Z. Geopolymer concrete durability subjected to aggressive environments–A review of influence factors and comparison with ordinary Portland cement. Constr. Build. Mater. 2021, 279, 122496. [Google Scholar] [CrossRef]
- Ye, H.; Radlińska, A. Carbonation-induced volume change in alkali-activated slag. Constr. Build. Mater. 2017, 144, 635–644. [Google Scholar] [CrossRef]
- Zhang, X.; Long, K.; Liu, W.; Li, L.; Long, W.J. Carbonation and chloride ions’ penetration of alkali-activated materials: A review. Molecules 2020, 25, 5074. [Google Scholar] [CrossRef] [PubMed]
- Kolade, A.S.; Ikotun, B.D.; Oyejobi, D.O. A Review of the Chemistry, Waste Utilization, Mix Design and Performance Evaluation of Geopolymer Concrete. Iran. J. Sci. Technol. Trans. Civ. Eng. 2025, 1–34. [Google Scholar] [CrossRef]
- Behfarnia, K.; Rostami, M. An assessment on parameters affecting the carbonation of alkali-activated slag concrete. J. Clean. Prod. 2017, 157, 1–9. [Google Scholar] [CrossRef]
- Dudi, L.; Bishnoi, S. Revealing the relationships between transport properties and microstructure characteristics in low-clinker binders before and after carbonation. Cem. Concr. Res. 2025, 198, 108006. [Google Scholar] [CrossRef]
- Bernal, S.A.; San Nicolas, R.; Provis, J.L.; Mejía de Gutiérrez, R.; van Deventer, J.S. Natural carbonation of aged alkali-activated slag concretes. Mater. Struct. 2014, 47, 693–707. [Google Scholar] [CrossRef]
- Khan, M.S.H.; Castel, A.; Noushini, A. Carbonation of a low-calcium fly ash geopolymer concrete. Mag. Concr. Res. 2017, 69, 24–34. [Google Scholar] [CrossRef]
- Li, Z.G.; Li, S. Carbonation resistance of fly ash and blast furnace slag based geopolymer concrete. Constr. Build. Mater. 2018, 163, 668–680. [Google Scholar] [CrossRef]
- Wong, L.S. Durability performance of geopolymer concrete: A review. Polymers 2022, 14, 868. [Google Scholar] [CrossRef]
- Feng, H.; Xin, X.; Guo, A.; Yu, Z.; Shao, Q.; Sheikh, M.N.; Sun, Z. Effect of mix proportion parameters on chloride erosion resistance of fly ash/slag-based engineered geopolymer composites. J. Clean. Prod. 2024, 438, 140785. [Google Scholar] [CrossRef]
- Liu, Q.F.; Cai, Y.; Peng, H.; Meng, Z.; Mundra, S.; Castel, A. A numerical study on chloride transport in alkali-activated fly ash/slag concretes. Cem. Concr. Res. 2023, 166, 107094. [Google Scholar] [CrossRef]
- Osio-Norgaard, J.; Gevaudan, J.P.; Srubar, W.V., III. A review of chloride transport in alkali-activated cement paste, mortar, and concrete. Constr. Build. Mater. 2018, 186, 191–206. [Google Scholar] [CrossRef]
- Vu, T.H.; Dang, L.C.; Kang, G.; Sirivivatnanon, V. Chloride induced corrosion of steel reinforcement in alkali activated slag concretes: A critical review. Case Stud. Constr. Mater. 2022, 16, e01112. [Google Scholar] [CrossRef]
- Ma, Q.; Nanukuttan, S.V.; Basheer, P.M.; Bai, Y.; Yang, C. Chloride transport and the resulting corrosion of steel bars in alkali activated slag concretes. Mater. Struct. 2016, 49, 3663–3677. [Google Scholar] [CrossRef]
- Kumar, S.; Maradani, L.S.R.; Mohapatra, A.K.; Pradhan, B. Effect of mix parameters on chloride content, sulfate ion concentration, and microstructure of geopolymer concrete. Constr. Build. Mater. 2024, 435, 136864. [Google Scholar] [CrossRef]
- Fu, Q.; Zhang, Z.; Niu, D. Understanding the acceleration impact of load and flowing water on the chloride ion transport properties of fly ash-based geopolymer concrete. Cem. Concr. Compos. 2023, 141, 105146. [Google Scholar] [CrossRef]
- Yan, G.; Hu, J.; Chen, M.; Ma, Y.; Huang, H.; Zhang, Z.; Wei, J.; Shi, C.; Yu, Q. Performance evaluation of reinforced slag-fly ash-ceramic waste powders ternary geopolymer concrete under chloride ingress environment. Constr. Build. Mater. 2025, 478, 141447. [Google Scholar] [CrossRef]
- Theja, A.R.; Sivaramakrishmaiah, M.; Sastry, K.G.K.; Sashidhar, C.; Paramasivam, P.; Kanti, P.K.; Ayani, A.G. Influence of Nano Titanium Dioxide on Strength and Durability of Ambient-Cured GGBS-Based Geopolymer Concrete. Results Eng. 2025, 27, 105757. [Google Scholar] [CrossRef]
- Kupwade-Patil, K.; Allouche, E.N. Examination of chloride-induced corrosion in reinforced geopolymer concretes. J. Mater. Civ. Eng. 2013, 25, 1465–1476. [Google Scholar] [CrossRef]
- Zhang, J.; Ma, Y.; Zheng, J.; Hu, J.; Fu, J.; Zhang, Z.; Wang, H. Chloride diffusion in alkali-activated fly ash/slag concretes: Role of slag content, water/binder ratio, alkali content and sand-aggregate ratio. Constr. Build. Mater. 2020, 261, 119940. [Google Scholar] [CrossRef]
- Siddika, A.; Hajimohammadi, A.; Mamun, M.A.A.; Alyousef, R.; Ferdous, W. Waste glass in cement and geopolymer concretes: A review on durability and challenges. Polymers 2021, 13, 2071. [Google Scholar] [CrossRef]
- Ikotun, J.O.; Aderinto, G.E.; Madirisha, M.M.; Katte, V.Y. Geopolymer Cement in Pavement Applications: Bridging Sustainability and Performance. Sustainability 2024, 16, 5417. [Google Scholar] [CrossRef]
- Liang, K.; Cui, K.; Sabri, M.M.S.; Huang, J. Influence factors in the wide application of alkali-activated materials: A critical review about efflorescence. Materials 2022, 15, 6436. [Google Scholar] [CrossRef] [PubMed]
- Arbi, K.; Nedeljkovic, M.; Zuo, Y.; Ye, G. A review on the durability of alkali-activated fly ash/slag systems: Advances, issues, and perspectives. Ind. Eng. Chem. Res. 2016, 55, 5439–5453. [Google Scholar] [CrossRef]
- Sherwani, A.F.H.; Younis, K.H.; Arndt, R.W. Fresh, mechanical, and durability behavior of fly ash-based self compacted geopolymer concrete: Effect of slag content and various curing conditions. Polymers 2022, 14, 3209. [Google Scholar] [CrossRef]
- Pacheco-Torgal, F.; Abdollahnejad, Z.; Camões, A.F.; Jamshidi, M.; Ding, Y. Durability of alkali-activated binders: A clear advantage over Portland cement or an unproven issue? Constr. Build. Mater. 2012, 30, 400–405. [Google Scholar] [CrossRef]
- Ralli, Z.G.; Pantazopoulou, S.J. State of the art on geopolymer concrete. Int. J. Struct. Integr. 2021, 12, 511–533. [Google Scholar] [CrossRef]
- Alanazi, H. Study of the interfacial transition zone characteristics of geopolymer and conventional concretes. Gels 2022, 8, 105. [Google Scholar] [CrossRef]
- Coppola, L.; Beretta, S.; Bignozzi, M.C.; Bolzoni, F.; Brenna, A.; Cabrini, M.; Candamano, S.; Caputo, D.; Carsana, M.; Cioffi, R.; et al. The improvement of durability of reinforced concretes for sustainable structures: A review on different approaches. Materials 2022, 15, 2728. [Google Scholar] [CrossRef]
- Khan, M.I.; Abbas, Y.M. Intelligent data-driven compressive strength prediction and optimization of reactive powder concrete using multiple ensemble-based machine learning approach. Constr. Build. Mater. 2023, 404, 133148. [Google Scholar] [CrossRef]
- Lin, J.; Liu, Y.; Sui, H.; Sagoe-Crentsil, K.; Duan, W. Microstructure of graphene oxide–silica-reinforced OPC composites: Image-based characterization and nano-identification through deep learning. Cem. Concr. Res. 2022, 154, 106737. [Google Scholar] [CrossRef]
- Liu, J.; Liang, X.; Xue, Y.; Li, S.T.; Su, S.; Cao, W.J. Multiphysics modeling of microwave heating-induced moisture and methane transport in shale gas reservoir. Phys. Fluids 2025, 37, 076656. [Google Scholar] [CrossRef]
- Jueyendah, S.; Yaman, Z.; Dere, T.; Çavuş, T.F. Comparative Study of Linear and Non-Linear ML Algorithms for Cement Mortar Strength Estimation. Buildings 2025, 15, 2932. [Google Scholar] [CrossRef]
- Majid, K.A.; Amin, F.; Al Ismaeel, A.; Faning, D.; Shah, J. Sustainable rehabilitation of corroded RC culverts using ECC and interpretable machine learning. Structures 2025, 80, 109896. [Google Scholar] [CrossRef]
- Taffese, W.Z.; Zhu, Y.; Chen, G. Ensemble-learning model based ultimate moment prediction of reinforced concrete members strengthened by UHPC. Eng. Struct. 2024, 305, 117705. [Google Scholar] [CrossRef]
- Yu, Y.; Al-Damad, I.M.A.; Foster, S.; Nezhad, A.A.; Hajimohammadi, A. Compressive strength prediction of fly ash/slag-based geopolymer concrete using EBA-optimised chemistry-informed interpretable deep learning model. Dev. Built Environ. 2025, 23, 100736. [Google Scholar] [CrossRef]
- He, Y.; Gao, S.; Li, Y.; Guan, Y.; Zhang, J.; Hu, D. Adaptive machine learning framework: Predicting UHPC performance from data to modelling. Results Eng. 2025, 27, 106724. [Google Scholar] [CrossRef]
- Shilar, F.A.; Ganachari, S.V.; Patil, V.B.; Khan, T.Y.; Almakayeel, N.M.; Alghamdi, S. Review on the relationship between nano modifications of geopolymer concrete and their structural characteristics. Polymers 2022, 14, 1421. [Google Scholar] [CrossRef]
- Sargam, Y.; Wang, K. Influence of dispersants and dispersion on properties of nanosilica modified cement-based materials. Cem. Concr. Compos. 2021, 118, 103969. [Google Scholar] [CrossRef]
- Liu, X.; Wu, Y.; Li, M.; Jiang, J.; Guo, L.; Wang, W.; Zhang, W.; Zhang, Z.; Duan, P. Effects of graphene oxide on microstructure and mechanical properties of graphene oxide-geopolymer composites. Constr. Build. Mater. 2020, 247, 118544. [Google Scholar] [CrossRef]
- Zhang, H.; Zhang, W.; Meng, Y. Salt Spray Resistance of Roller-Compacted Concrete with Surface Coatings. Materials 2023, 16, 7134. [Google Scholar] [CrossRef]
- Panda, B.; Tan, M.J. Experimental study on mix proportion and fresh properties of fly ash based geopolymer for 3D concrete printing. Ceram. Int. 2018, 44, 10258–10265. [Google Scholar] [CrossRef]
- Zhang, P.; Wang, C.; Wang, F.; Yuan, P. Influence of sodium silicate to precursor ratio on mechanical properties and durability of the metakaolin/fly ash alkali-activated sustainable mortar using manufactured sand. Rev. Adv. Mater. Sci. 2023, 62, 20220330. [Google Scholar] [CrossRef]
- Paul, S.C.; Tay, Y.W.D.; Panda, B.; Tan, M.J. Fresh and hardened properties of 3D printable cementitious materials for building and construction. Arch. Civ. Mech. Eng. 2018, 18, 311–319. [Google Scholar] [CrossRef]
Disclaimer/Publisher’s Note: The statements, opinions and data contained in all publications are solely those of the individual author(s) and contributor(s) and not of MDPI and/or the editor(s). MDPI and/or the editor(s) disclaim responsibility for any injury to people or property resulting from any ideas, methods, instructions or products referred to in the content. |
© 2025 by the authors. Licensee MDPI, Basel, Switzerland. This article is an open access article distributed under the terms and conditions of the Creative Commons Attribution (CC BY) license (https://creativecommons.org/licenses/by/4.0/).
















