Experimental and Numerical Simulation Study on Shear Performance of RC Corbel Under Synergistic Change in Inclination Angle
Abstract
1. Introduction
2. Experimental Program
2.1. Design of Corbel
2.2. Material Properties
2.3. Test Measurement Scheme
3. Test Results and Analysis
3.1. Failure Process and Crack Distribution
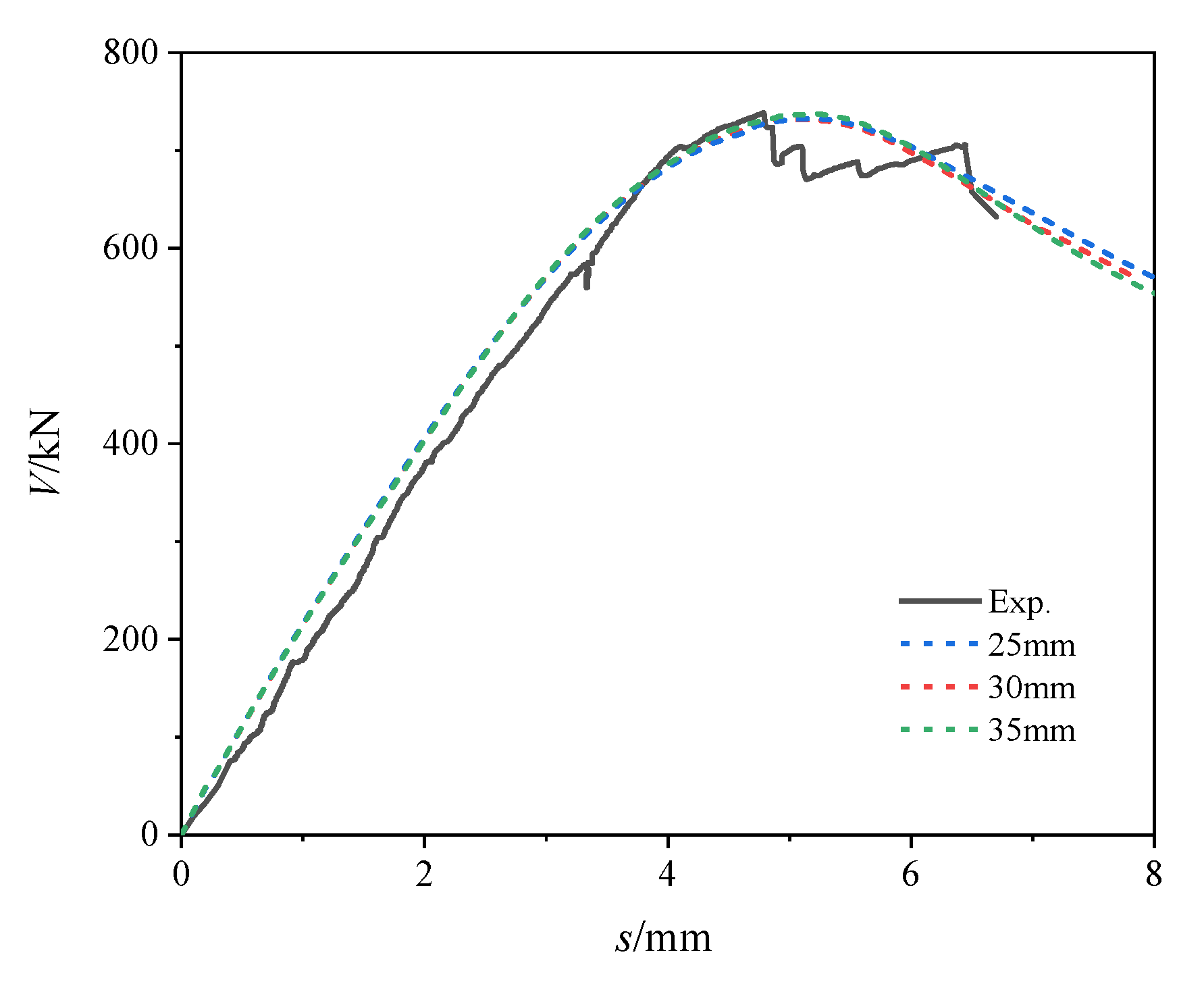
3.2. Load–Displacement Curves
3.3. Strain Development of Steel Bar
4. Finite Element Model
4.1. Material Models
4.2. Element Types and Meshing
4.3. Boundary and Loading Conditions
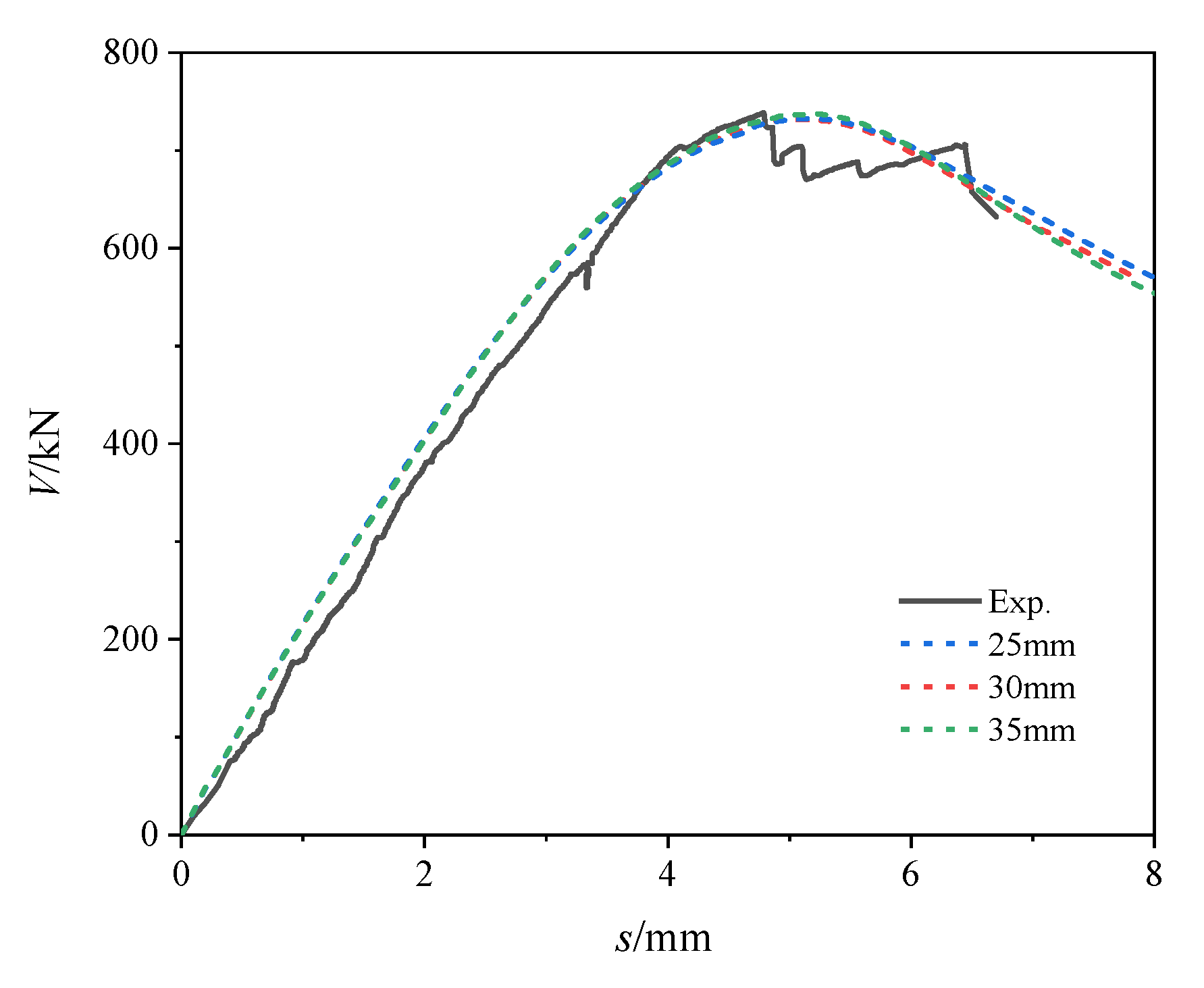
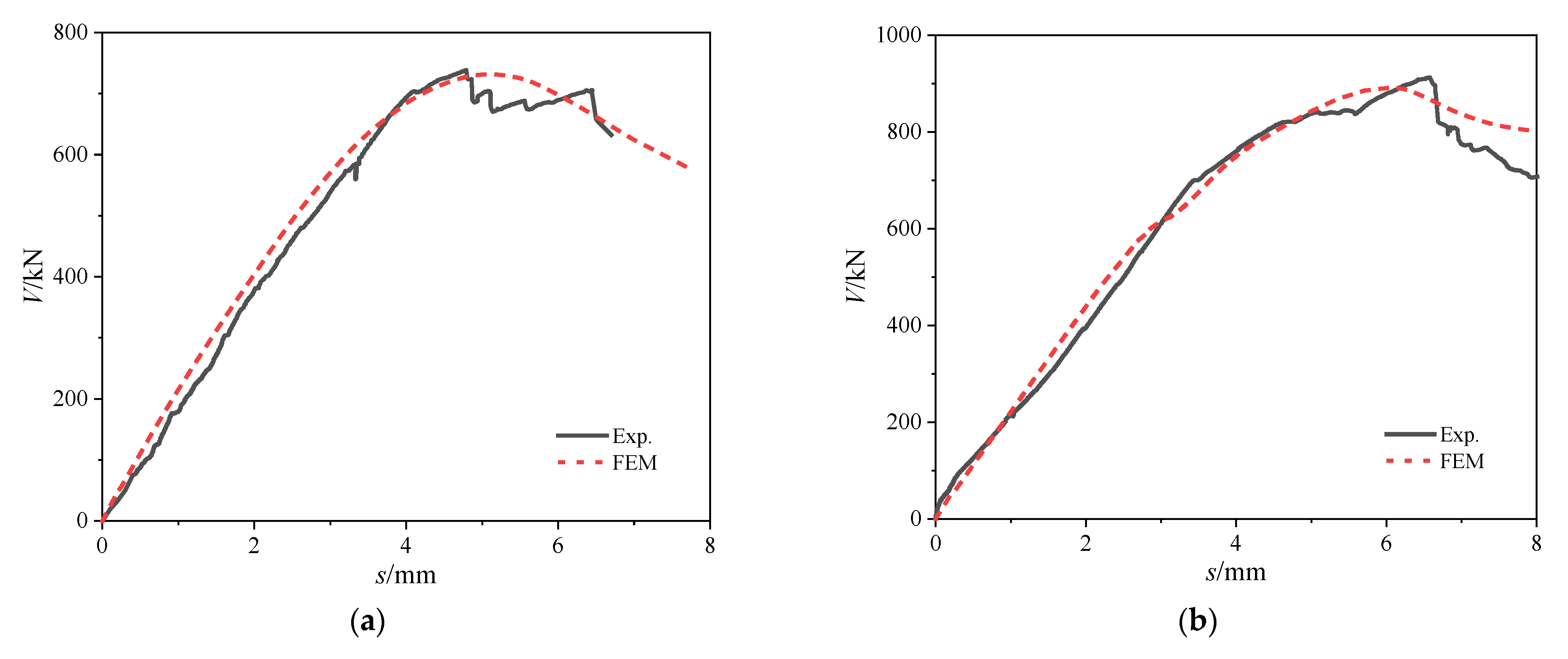
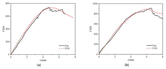
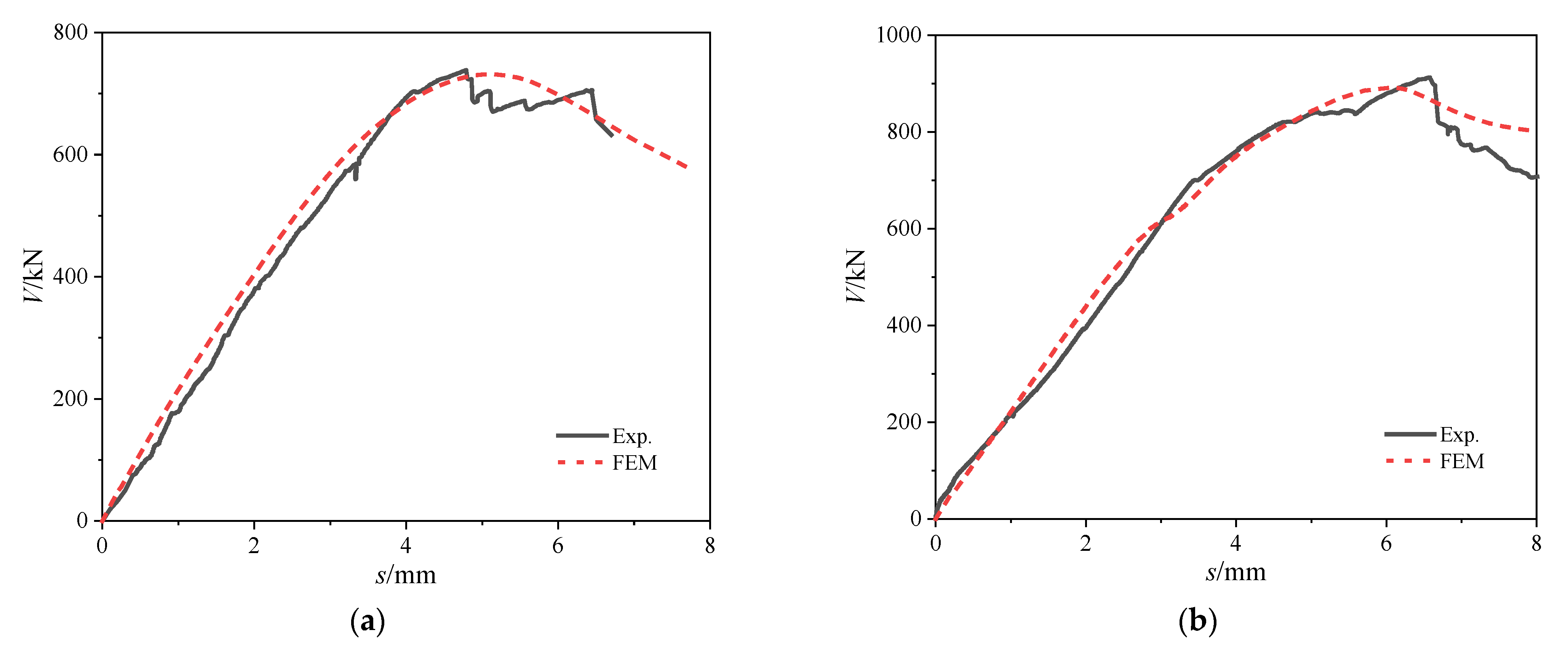
4.4. Finite Element Analyses and Results
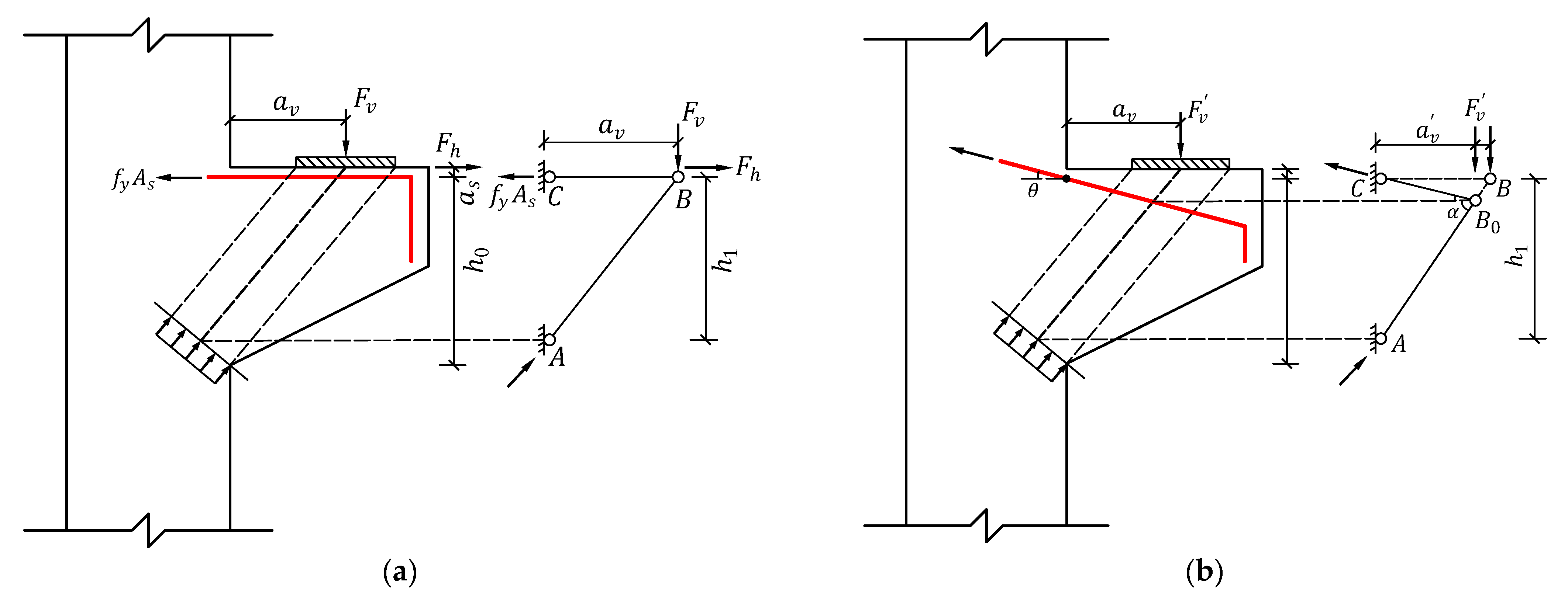
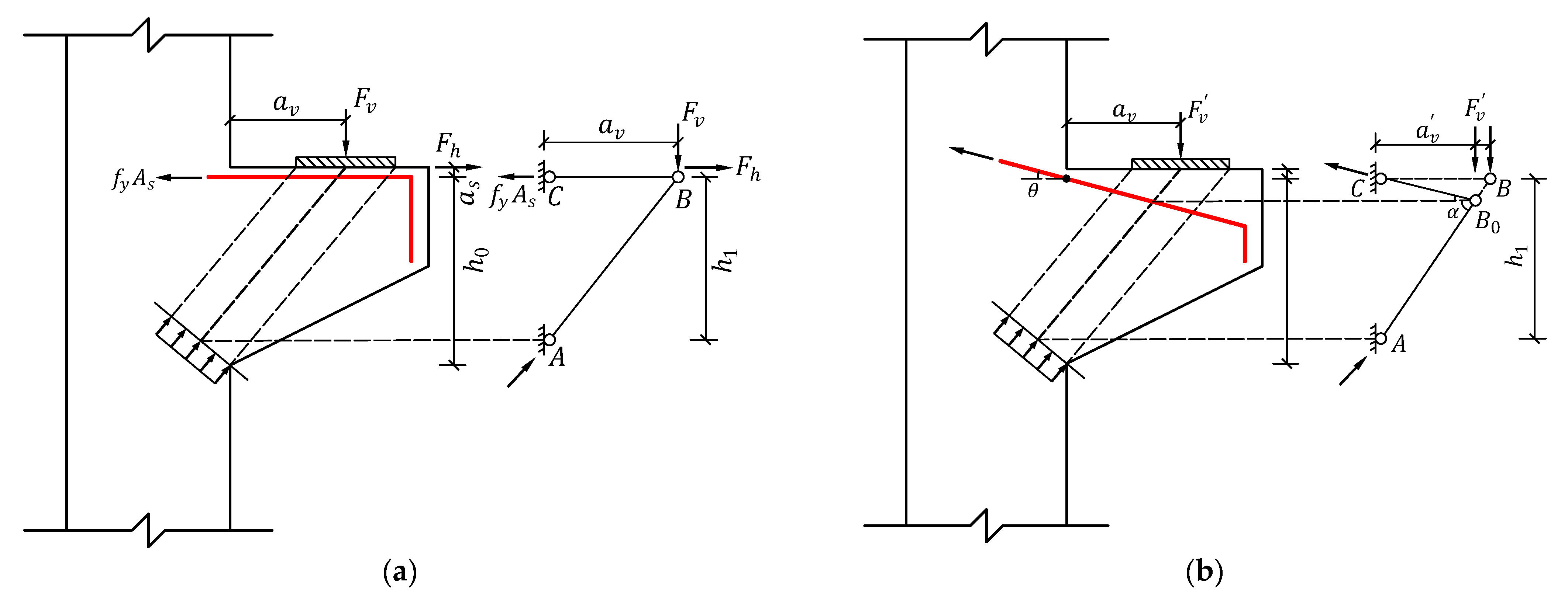
5. Comparison of STM and TTM Models
5.1. STM
5.2. Chinese Code GB 50010-2010 Method
6. Application Limitations and Future Work
- Parametric Expansion: Future studies should explore a broader spectrum of inclination angles and various combinations of inclined main bars and stirrups to identify the global optimum for shear strength and ductility.
- Complex Loading Conditions: Investigating the performance under seismic loading and long-term sustained loading is crucial to understanding the behavior in real-world scenarios
- Durability Aspects: Research into how inclined reinforcement layouts affect crack width development and long-term durability, particularly regarding corrosion resistance, would be highly valuable.
- Development of Design Guidelines: A major goal should be the development of practical design guidelines and simplified analytical methods that incorporate the benefits of optimized reinforcement inclination.
7. Conclusions
- (1)
- The 15° inclined reinforcement scheme (main bars + stirrups) markedly improved shear performance compared with conventional horizontal layouts: Yield load increased by 28.3% (from 643.1 kN to 825.0 kN). Ultimate load increased by 23.6% (from 738.5 kN to 912.8 kN). This confirms that optimizing reinforcement angles unlocks substantial untapped structural potential ignored by current design codes.
- (2)
- It is revealed that the inclined steel bar reshapes the internal force transmission. At 400 kN, the main rod strain of the 15° specimen is reduced by 51.3%, indicating that the stress concentration at the corner is reduced. The stirrups showed a delayed yield (yield load increased by 11.6%) and lower strain level (decreased by 23.7% at 250 kN), indicating that the confinement of concrete struts was enhanced. The finite element stress cloud diagram further verifies that the oblique steel bar optimizes the stress path of the oblique concrete strut and makes the stress distribution more uniform.
- (3)
- The ABAQUS CDP model achieved a high accuracy: The ultimate load prediction errors were ≤2.27% for both specimens. The model also produced a faithful reproduction of the failure modes (diagonal compression crushing) and crack propagation patterns.
- (4)
- While the 15° specimen showed a superior strength and deformation capacity (37.4% higher ultimate displacement), its displacement ductility coefficient was slightly lower than the 0° specimen. This highlights a design balance: inclined angles enhance load-bearing efficiency but marginally reduce the plastic deformation reserves post yield.
- (5)
- Based on the triangular truss model of the horizontal inclination angle of the tie rod, the parameter of the angle between the tie rod and the horizontal angle is introduced, and the predicted ratio is highly consistent with the ratio of the experimental value, which confirms the feasibility of quantifying the bearing capacity gain by adjusting the horizontal inclination angle of the tie rod. At the same time, compared with the American strut-and-tie model, the predicted value of the triangular truss model is closer to the experimental value.
Author Contributions
Funding
Data Availability Statement
Acknowledgments
Conflicts of Interest
References
- Kaloop, M.R.; Roy, B.; Chaurasia, K.; Kim, S.-M.; Jang, H.-M.; Hu, J.-W.; Abdelwahed, B.S. Shear Strength Estimation of Reinforced Concrete Deep Beams Using a Novel Hybrid Metaheuristic Optimized SVR Models. Sustainability 2022, 14, 5238. [Google Scholar] [CrossRef]
- Mansour, M.; El-Ariss, B.; El-Maaddawy, T. Effect of Support Conditions on Performance of Continuous Reinforced Concrete Deep Beams. Buildings 2020, 10, 212. [Google Scholar] [CrossRef]
- Kachouh, N.; El-Maaddawy, T.; El-Hassan, H.; El-Ariss, B. Shear Behavior of Steel-Fiber-Reinforced Recycled Aggregate Concrete Deep Beams. Buildings 2021, 11, 423. [Google Scholar] [CrossRef]
- Hsu, T.T.C. Unified theory of reinforced concrete—A summary. Struct. Eng. Mech. 1994, 2, 1–16. [Google Scholar] [CrossRef]
- Khosravikia, F.; Kim, H.s.; Yi, Y.; Wilson, H.; Yousefpour, Y.H.H.; Hrynyk, T.; Bayrak, O. Experimental and Numerical Assessment of Corbels Designed Based on Strut-and-Tie Provisions. J. Struct. Eng. 2018, 144, 04018138. [Google Scholar] [CrossRef]
- Hwang, S.-J.; Tsa, R.-J.; Lam, W.-K.; Moehle, J.P. Simplification of softened strut-and-tie model for strength prediction of discontinuity regions. ACI Struct. J. 2017, 114, 1569–1579. [Google Scholar] [CrossRef]
- GB 50010-2010; Code for Design of Concrete Structures. China Architecture & Building Press: Beijing, China, 2015.
- ACI 318-19; Building Code Requirements for Structural Concrete. American Concrete Institute: Philadelphia, PA, USA, 2019.
- EN 1992-1-1:2004; Eurocode 2: Design of Concrete Structures—Part 1-1: General Rules and Rules for Buildings. British Standards Institution: London, UK, 2004.
- CSA A23.3-14; Design of Concrete Structures. Canadian Standards Association: Toronto, ON, Canada, 2014.
- Comité Euro-International Du Béton (CEB). CEB-FIP Model Code 2010 for Concrete Structures; Comité Euro-International Du Béton (CEB): Lausanne, Switzerland, 2010. [Google Scholar]
- Kriz, L.; Raths, C. Connections in Precast Concrete Structures—Strength of Corbels. J. Prestress. Concr. Inst. 1965, 10, 16–61. [Google Scholar] [CrossRef]
- Hermansen, B.R.; Cowan, J. Modified shear-friction theory for bracket design. J. Proc. 1974, 71, 55–60. [Google Scholar]
- Mattock, A.H.; Chen, K.; Soongswang, K. The behavior of reinforced concrete corbels. PCI J. 1976, 21, 52–77. [Google Scholar] [CrossRef]
- Fattuhi, N.I. Column-load effect on reinforced concrete corbels. J. Struct. Eng. 1990, 116, 188–197. [Google Scholar] [CrossRef]
- Foster, S.J.; Powell, R.E.; Selim, H.S. Performance of high-strength concrete corbels. ACI Struct. J. 1996, 93, 555–563. [Google Scholar] [CrossRef] [PubMed]
- Lu, W.-Y.; Lin, I.-J. Behavior of reinforced concrete corbels. Struct. Eng. Mech. 2009, 33, 357–371. [Google Scholar] [CrossRef]
- Wilson, H.R.; Yousefpour, H.; Brown, M.D.; Bayrak, O. Investigation of Corbels Designed According to Strut-and-Tie and Empirical Methods. ACI Struct. J. 2018, 115, 813–824. [Google Scholar] [CrossRef]
- Ding, B.Y. Calculation of Reinforced Concrete Corbels. Ind. Constr. 1974, 2, 31–36+51. [Google Scholar]
- Özkal, F.M.; Uysal, H. Reinforcement detailing of a corbel via an integrated strut-and-tie modeling approach. Comput. Concr. 2017, 19, 589–597. [Google Scholar] [CrossRef]
- Lei, H.; Wu, F.; Gao, L.; Yan, J.; Huang, H. Experimental study and kinematics-based approach for shear strength assessment of RC corbels with variously inclined reinforcement. Eng. Struct. 2025, 341, 120830. [Google Scholar] [CrossRef]
- SIMULIA. Abaqus Unified FEA, Version 2022; Computer software; Dassault Systèmes: Providence, RI, USA, 2022.
- Fib-Federation Internationale du Beton. fib Model Code for Concrete Structures 2010; John Wiley & Sons: Hoboken, NJ, USA, 2013. [Google Scholar]
- Windisch, A. Extended Rankine Failure Criteria for Concrete. Concr. Struct. 2022, 23, 4–10. [Google Scholar] [CrossRef]
- Sidoroff, F. Description of anisotropic damage application to elasticity. In Proceedings of the Physical Non-Linearities in Structural Analysis: Symposium, Senlis, France, 27–30 May 1980. [Google Scholar]
- Walraven, J.C. Aggregate Interlock: A Theoretical and Experimental Analysis; Delft University Press: Delft, The Netherlands, 1980. [Google Scholar]















| Specimen | (mm) | (mm) | (mm) | (-) | Main Reinf | (%) | Stirrup | (%) | Inclined Angle (°) |
|---|---|---|---|---|---|---|---|---|---|
| A0-S0.61 | 200 | 350 | 570 | 0.61 | 222 | 0.667 | Φ12@100 | 1.131 | 0 |
| A15-S0.61 | 15 |
| Diameter (mm) | Yielding Strength (MPa) | Ultimate Strength (MPa) | Yielding Strain (-) | Elongation Ratio (-) | Elastic Modulus (GPa) |
|---|---|---|---|---|---|
| 22 | 461.8 | 633.3 | 0.0022 | 0.24 | 205.8 |
| 16 | 488.3 | 688.23 | 0.0023 | 0.235 | 212.1 |
| 12 | 418.2 | 598.56 | 0.00205 | 0.23 | 204.1 |
| Specimen | (kN) | (kN) | (kN) | (mm) | (mm) | (mm) | (-) |
|---|---|---|---|---|---|---|---|
| A0-S0.61 | 134.9 | 643.1 | 738.5 | 0.76 | 3.68 | 4.79 | 1.43 |
| A15-S0.61 | 135.5 | 825.0 | 912.8 | 0.56 | 4.85 | 6.58 | 1.36 |
| Dilation Angle (Ψ) | Eccentricity (θ) | |||
|---|---|---|---|---|
| 38 | 0.1 | 1.16 | 0.6667 | 0.001 |
| Specimen | Test Result (kN) | Finite Element Results (kN) | Error (%) |
|---|---|---|---|
| A0-S0.61 | 738.5 | 723.5 | 2.03 |
| A15-S0.61 | 912.8 | 892.1 | 2.27 |
| Average Error | 2.15 | ||
| Standard Deviation | 0.12 |
| Ratio of Shear Span to Depth | Angle Between Strut and Tie () | Concrete Strut AB | Node A (CCT) | Node B (CCC) |
|---|---|---|---|---|
| Specimen | STM | TTM | ||
|---|---|---|---|---|
| (kN) | (kN) | |||
| A0-S0.61 | 382.5 | 0.518 | 486.1 | 0.658 |
| A15-S0.61 | 460.4 | 0.504 | 584.7 | 0.641 |
Disclaimer/Publisher’s Note: The statements, opinions and data contained in all publications are solely those of the individual author(s) and contributor(s) and not of MDPI and/or the editor(s). MDPI and/or the editor(s) disclaim responsibility for any injury to people or property resulting from any ideas, methods, instructions or products referred to in the content. |
© 2025 by the authors. Licensee MDPI, Basel, Switzerland. This article is an open access article distributed under the terms and conditions of the Creative Commons Attribution (CC BY) license (https://creativecommons.org/licenses/by/4.0/).
Share and Cite
Huang, H.; Xue, C.; Wang, Z. Experimental and Numerical Simulation Study on Shear Performance of RC Corbel Under Synergistic Change in Inclination Angle. Buildings 2025, 15, 3098. https://doi.org/10.3390/buildings15173098
Huang H, Xue C, Wang Z. Experimental and Numerical Simulation Study on Shear Performance of RC Corbel Under Synergistic Change in Inclination Angle. Buildings. 2025; 15(17):3098. https://doi.org/10.3390/buildings15173098
Chicago/Turabian StyleHuang, Hao, Chengfeng Xue, and Zhangdong Wang. 2025. "Experimental and Numerical Simulation Study on Shear Performance of RC Corbel Under Synergistic Change in Inclination Angle" Buildings 15, no. 17: 3098. https://doi.org/10.3390/buildings15173098
APA StyleHuang, H., Xue, C., & Wang, Z. (2025). Experimental and Numerical Simulation Study on Shear Performance of RC Corbel Under Synergistic Change in Inclination Angle. Buildings, 15(17), 3098. https://doi.org/10.3390/buildings15173098
