Simulation Study on Stability of Air-Supported Membrane Coal Storage Bin Under Fire Scenario
Abstract
1. Introduction
2. Model Building and Validation
2.1. Introduction of Numerical Simulation Methodologies
2.2. The Governing Equation
2.3. Construction of Air-Supported Membrane Coal Storage Bin Mathematical Model
2.4. Model Verification
2.4.1. Differential Pressure Simulation Verification
2.4.2. Grid Independence Analysis
3. Study on Stability of Internal Pressure
3.1. Simulation of Internal Pressure Under No-Fire Condition
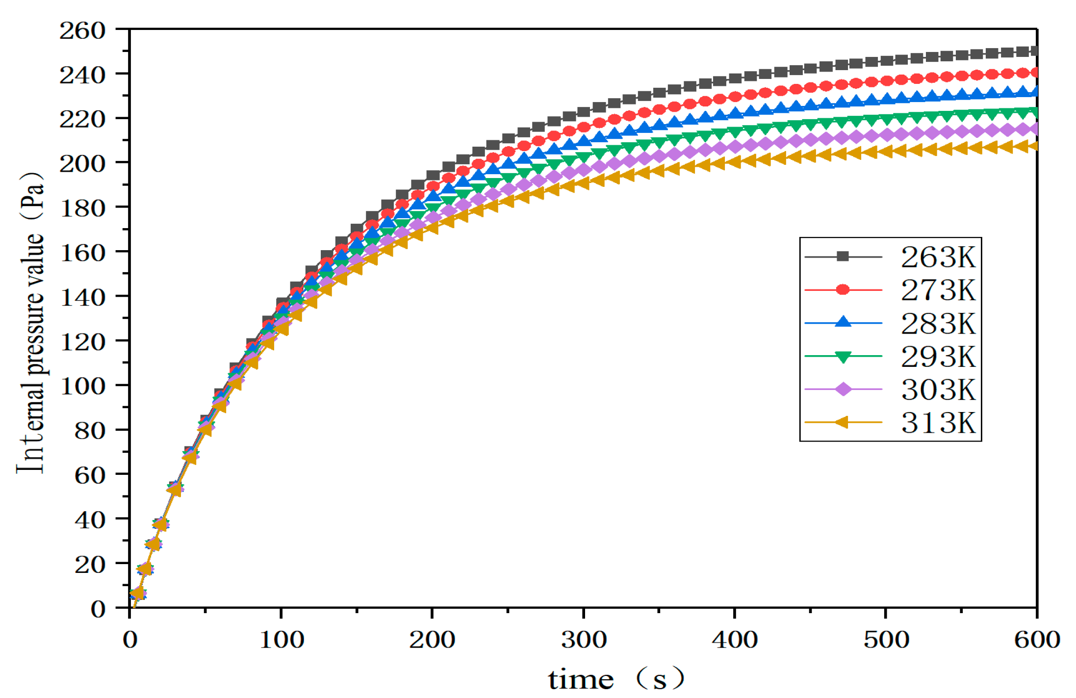
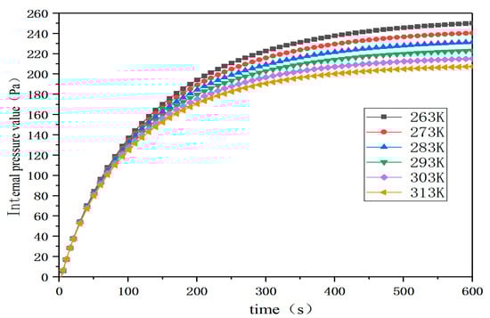
3.1.1. Influence of Ambient Temperature on Internal Pressure
3.1.2. Influence of Mechanical Air Supply Volume on Internal Pressure
3.1.3. Influence of Leakage Area on Internal Pressure
3.2. Simulation of Internal Pressure Under Fire Condition
3.2.1. Influence of Heat Release Rate of Fire Source on Internal Pressure
3.2.2. Influence of Fire Growth Coefficient on Internal Pressure
3.2.3. Influence of Fire Source Position on Internal Pressure
3.3. Simulation of Thermal Stability
- There are various types of coal in the coal storage bin with different ignition points ranging from 250~300 °C for lignite to more than 400 °C [17]. This affects the ignition threshold of the coal pile under thermal radiation.
- Critical condition of coal pile spontaneous combustion: The spontaneous combustion of the coal pile is due to the accumulation of heat generated by the reaction between coal and oxygen [18]. When the packing density exceeds 1.2 t/m3 or the ventilation condition is poor, the heat is not easily emitted, resulting in a sharp rise in internal temperature. The study shows that the critical temperature of coal pile spontaneous combustion is between 100 °C and 200 °C.
- Heat radiation ignition: According to the literature [2,19], PVC membrane material begins pyrolysis significantly at 250–300 °C or when the heat radiation intensity received by the PVC membrane material exceeds 12.5 kW/m2, and the peak mass loss rate appears at 350 °C. Based on a comprehensive review of thermogravimetric analysis (TGA) data and prior experimental studies [10,20], the critical pyrolysis threshold for the PVC membrane material in this investigation was conservatively established at 250 °C. The selection of this value aligns with established industry standards [21] while accounting for potential uncertainties in real-world fire dynamics through the incorporation of a 10% safety margin below the 275 °C failure point observed in accelerated aging tests.
- The formula for calculating the thermal radiation intensity received by the PVC membrane surface is as follows [22]:
- The horizontal distance between the ignition coal pile and the adjacent coal piles;
- The distance from the ignition source to the side walls;
- The vertical distance between the burning coal pile and roof PVC membrane surface.
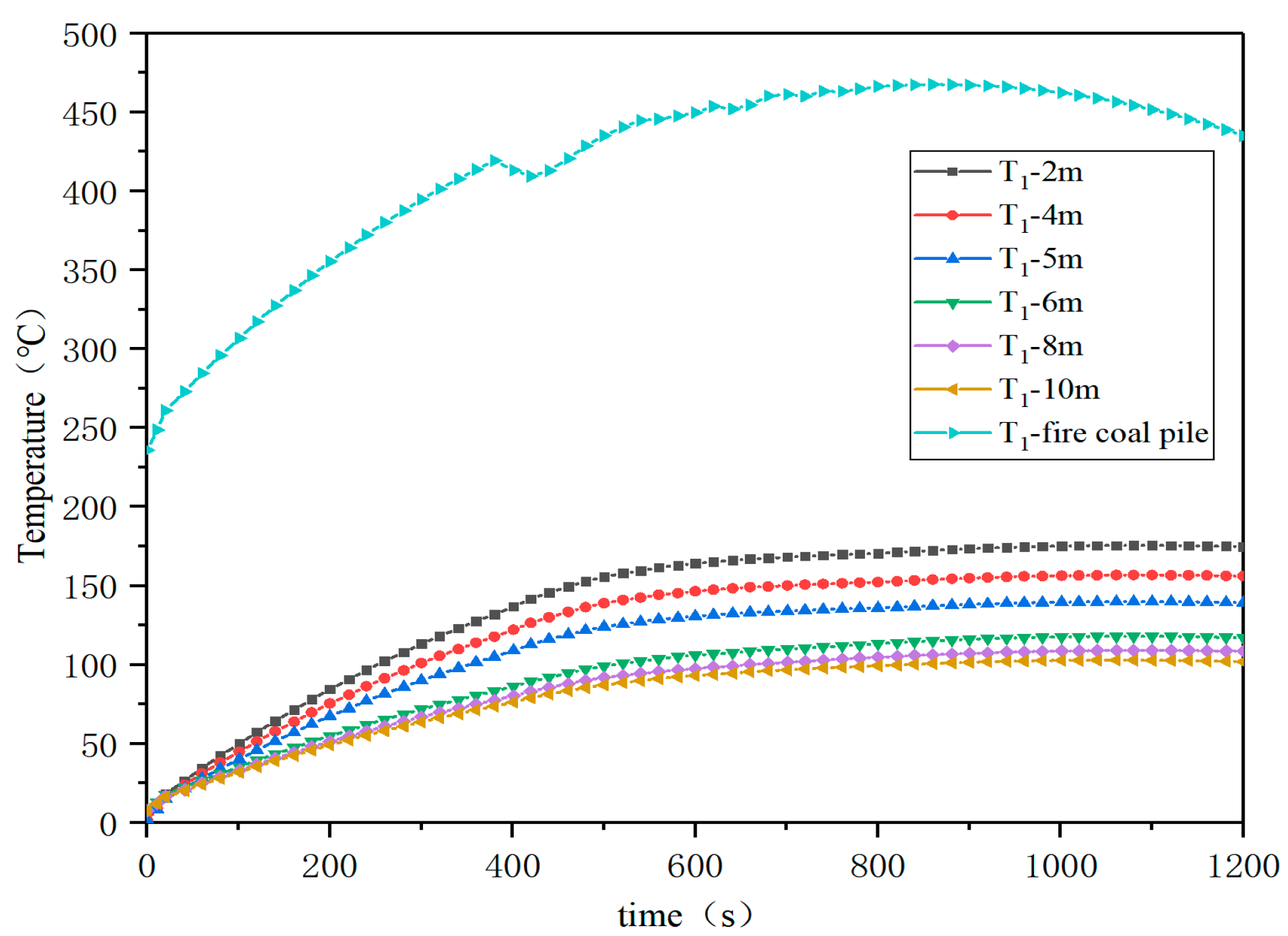
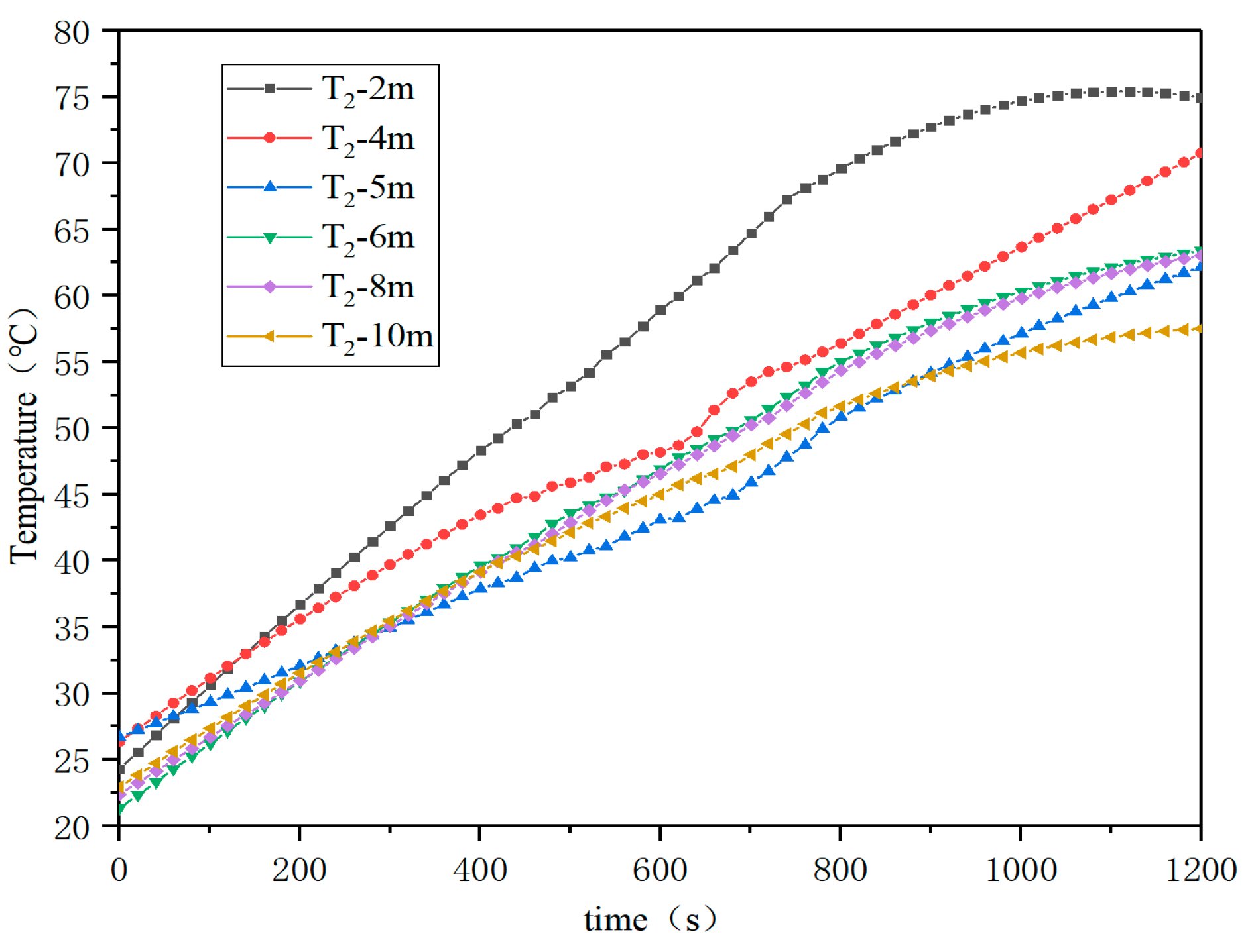
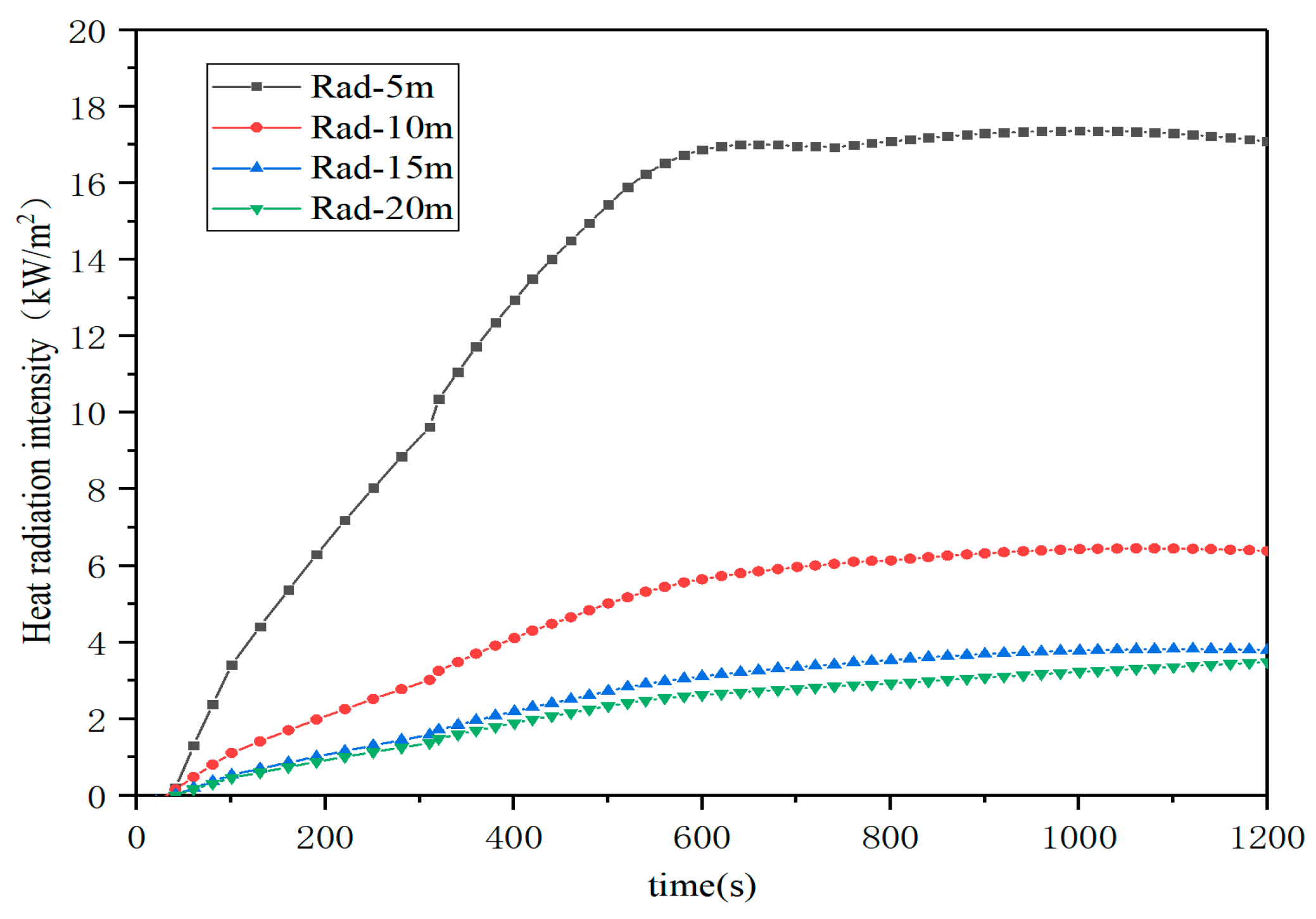
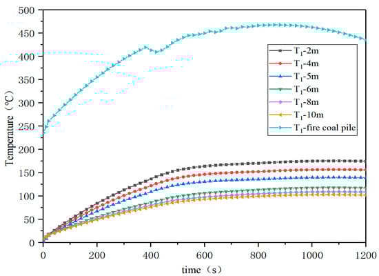
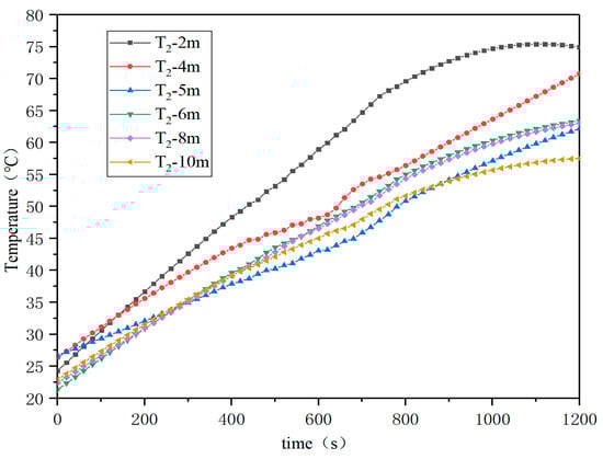
3.3.1. Influence of Fire Source Coal Pile–Coal Pile Spacing on Thermal Stability
- Temperature detection point T1 at the apex of adjacent coal pile
- The adjacent coal pile base temperature detection point T2
- The detection point R of the thermal radiation intensity received by the adjacent coal pile.
3.3.2. Influence of Fire Source Coal Pile–Side Wall Spacing on Thermal Stability
- Vertical PVC membrane surface temperature (T01-T03): the measured temperature distribution along the height of the air-supported membrane directly facing the ignition source;
- Lateral wall PVC membrane surface temperature (T04-T06): we recorded the temperature of the side wall PVC membrane surface;
- Radiometric measurements (R1-R2): R1: vertical thermal radiation intensity on the PVC membrane surface; R2: horizontal thermal radiation intensity on the side wall.
3.3.3. Influence of Fire Source Coal Pile–Roof Spacing on Thermal Stability
4. Research Findings and Discussion
4.1. Internal Pressure Stability Under No-Fire Condition
4.2. Internal Pressure Stability Under Fire Condition
4.3. Safety-Critical Design Parameters
4.4. Practical Implications and Limitations
- This study did not use FEA tools to cross-validate pressure and thermal stress results.
- Due to the lack of experiments, the “pressure change in the case of pressure exceeding the standard or holes in PVC membrane pyrolysis” is not deeply discussed.
- In future work, probabilistic fire growth models should be added to quantify the uncertainty of different thresholds.
- This study is discussed from the perspective of inhibiting fire spread and preventing smoke diffusion, without analyzing the smoke exhaust performance of the building and without considering the influence of membrane pyrolysis holes on internal pressure stability and thermal stability. Future work should deeply consider the material characteristics in real engineering and study the smoke exhaust performance of air-supported membrane structure buildings.
5. Conclusions
- Under non-fire conditions, ambient temperature, leakage area and mechanical air supply volume critically influence internal pressure stability, with higher temperatures reducing steady-state pressure (e.g., a 10 K increase decreases pressure by 9.4 Pa), while increased air supply improves both stabilization time and pressure magnitude.
- Under fire conditions, internal pressure stability depends on heat release rate (HRR), fire location and fire growth type, with HRR > 10 MW causing dangerous pressure spikes (>600 Pa) and leading to structural deformation.
- Thermal stability analysis identified the minimum safety protection spacing: a 6 m horizontal separation prevents coal pile spontaneous combustion (radiation < 12.5 kW/m2, temperature < 100 °C), while 10 m and above vertical spacing prevents PVC membrane pyrolysis (radiation < 12.5 kW/m2). These results provide actionable guidelines for ASMS fire protection design, emphasizing asymmetric safety margins due to vertical–horizontal radiation anisotropy.
Author Contributions
Funding
Data Availability Statement
Acknowledgments
Conflicts of Interest
References
- Liu, K. Research on Design and Construction of Tensioned Membrane Structures. Ph.D. Thesis, Harbin Institute of Technology, Harbin, China, 2007. [Google Scholar]
- Zhang, P.W. Analysis of the Fire Resistance of Rectangle-Plane Air-Supported Structure. Master’s Thesis, Xi’an University of Architecture and Technology: Xi’an, China, 2014. [Google Scholar]
- Jia, Y.W.; Guo, J.S.; Su, D.X. Numerical Fire Simulation of Rectangular Air-Supported Membrane Structure Based on Fluent; School of Civil Engineering, Beijing University of Technology: Beijing, China, 2018; pp. 448–456. [Google Scholar] [CrossRef]
- Zhang, H. Simulation of Fire Temperature Field for Large Space Air-Supported Membrane Structure. Master’s Thesis, Harbin Institute of Technology, Harbin, China, 2020. [Google Scholar] [CrossRef]
- Wang, Y.; Zhu, G.; Zhou, J.; Chai, G. Simulation research on evacuation of university gymnasium. Fire Sci. Technol. 2020, 39, 1215–1218. [Google Scholar]
- Dong, M.W.; Gu, Y.; Qiao, L.; Qu, H. Review on the structure of air-supported membranes. J. Build. Struct. 2023, 53, 544–550. [Google Scholar] [CrossRef]
- Stamatis, D.; Wainwright, E.R.; Lakshman, S.V.; Kessler, M.S.; Weihs, T.P. Finite Difference Analysis of Turbulent Combustion Dynamics in Large-Scale Fires. Combust. Flame 2020, 217, 93–102. [Google Scholar] [CrossRef]
- Han, D.-H.; Sung, H.-G. A numerical study on heterogeneous aluminum dust combustion including particle surface and gas-phase reaction. Combust. Flame 2019, 206, 112–122. [Google Scholar] [CrossRef]
- McGrattan, K. Fire Dynamics Simulator Technical Reference Guide: Version 6.7; National Institute of Standards and Technology: Gaithersburg, MD, USA, 2021. [Google Scholar] [CrossRef]
- Hurley, M.J.; Gottuk, D.; Hall, J.R.; Harada, K.; Kuligowski, E.; Puchovsky, M.; Torero, J.; Watts, J.M.; Wieczorek, C. SFPE Handbook of Fire Protection Engineering; Springer: Berlin/Heidelberg, Germany, 2016. [Google Scholar] [CrossRef]
- Du, P.; Ren, G.D.; Liu, Z.Y. Research on fire prevention performance of gas-borne membrane structure coal storage shed based on physical test and FDS simulation. Build. Sci. 2024, 40, 84–92. [Google Scholar]
- Guo, F. Study on Burning Behavior of Textile Membrane and Overall Stability Analysis of Air-Supported Membrane Structure Under Fire Condition. Master’s Thesis, China University of Mining and Technology, Xuzhou, China, 2016. [Google Scholar]
- Wang, G.L. Numerical Simulation of Internal Pressure Got Air-Supported Membrane Structure Under FIRE based on Abaqus; Harbin Institute of Technology: Harbin, China, 2023. [Google Scholar] [CrossRef]
- Yan, F. Study on Fire Response and Collapse Mechanism of Air-Supported Structure. Ph.D. Thesis, Beijing University of Technology, Beijing, China, 2022. [Google Scholar] [CrossRef]
- GB55037-2022; Code for Fire Prevention in Building Design. Ministry of Housing and Urban-Rural Development of the People’s Republic of China: Beijing: China, 2022.
- Ding, H.; Xu, Y.D.; Deng, Q.L.; Lian, Z.X. Simulation study on influence of fire smoke flow on evacuation in high-rise buildings. China Saf. Sci. J. 2020, 30, 118–124. [Google Scholar] [CrossRef]
- Chen, Q.Y.; Wang, Y.S.; Su, J. Single Particle Ignition of Different Rank Coals. J. Eng. Thermophys. 2020, 41, 2052–2058. [Google Scholar]
- Li, L.; Zhang, R.W.; Pei, X.D. Analysis on Indication Gases of Different Coal’s Oxidized Spontaneous Combustion. Min. Saf. Environ. Prot. 2006, 5, 69–71, 89. [Google Scholar]
- Zhang, L.; Zhu, G.Q.; Zhang, G.W.; Han, R.S. Performance-based Fire Design of Air-supported Membrane Coal Storage Shed. Proc. Eng. 2013, 52, 593–601. [Google Scholar] [CrossRef]
- Bahramian, A. The effect of thermal and non-thermal routes on treatment of the Mg–Al layered double hydroxide catalyst dispersed by titania nanoparticles in products distribution arising from poly(ethylene terephthalate) degradation. Polym. Degrad. Stab. 2020, 179, 109243. [Google Scholar] [CrossRef]
- EN 13782:2015; Temporary Structures—Tents—Safety. European Committee for Standardization (CEN): Brussels, Belgium, 2015.
- Li, N.; Lu, W.Y. Applied Research of the calculation parameters for natural smoke exhaust. Tianjin Constr. Sci. Technol. 2022, 32, 50–53. [Google Scholar]
- Yu, Y.; Cao, Z.G.; Sun, Y.; Wu, Y. FDS simulation of internal pressure of air-supported membrane structure under fire. J. Northeast. Univ. (Nat. Sci.) 2022, 43, 1176–1182. [Google Scholar]
- Zhang, Y. Simulation study on fire temperature and internal air pressure of air-supported membrane structure coal storage shed. Fire Sci. Technol. 2024, 43, 492–497. [Google Scholar] [CrossRef]
- Duan, P.J. Simulation Study on Smoke Spreading Law of Long-Span Warehouse Fire. Master’s Thesis, Xi’an University of Science And Technology, Xi’an, China, 2020. [Google Scholar] [CrossRef]























| Gird (m) | Temperature (°C) | Relative Error (%) |
|---|---|---|
| 2.0 | 57.54 | - |
| 1.0 | 65.24 | 13.38 |
| 0.75 | 68.28 | 4.65 |
| 0.5 | 73.44 | 7.5 |
| 0.2 | 74.7 | 1.7 |
| 0.1 | 75.48 | 1.0 |
| Leak Area (m2) | Supply Volume (m3/s) | Ambient Temperature (K) |
|---|---|---|
| 0.2 | 4 | 263 |
| 0.2 | 4 | 273 |
| 0.2 | 4 | 283 |
| 0.2 | 4 | 293 |
| 0.2 | 4 | 303 |
| 0.2 | 4 | 313 |
| 0.2 | 1 | 293 |
| 0.2 | 2 | 293 |
| 0.2 | 3 | 293 |
| 0.2 | 4 | 293 |
| 0.2 | 5 | 293 |
| 0.2 | 6 | 293 |
| 0.2 | 7 | 293 |
| 0.2 | 8 | 293 |
| 0.06 | 4 | 293 |
| 0.08 | 4 | 293 |
| 0.1 | 4 | 293 |
| 0.2 | 4 | 293 |
| 0.3 | 4 | 293 |
| 0.4 | 4 | 293 |
| Fire Position | HRR (MW) | Fire Growth Factor (kW/s2) |
|---|---|---|
| 1 area | 2.5 | 0.044 |
| 2 area | 2.5 | 0.044 |
| 3 area | 2.5 | 0.044 |
| Wall-side area | 2.5 | 0.044 |
| Corner area | 2.5 | 0.044 |
| 3 area | 1.5 | 0.044 |
| 3 area | 3 | 0.044 |
| 3 area | 4 | 0.044 |
| 3 area | 10 | 0.044 |
| 3 area | 20 | 0.044 |
| 3 area | 2.5 | 0.00278 |
| 3 area | 2.5 | 0.011 |
| 3 area | 2.5 | 0.178 |
| Type | Working Condition | Distance (m) |
|---|---|---|
| Coal pile–Coal pile | 1 | 2 |
| 2 | 4 | |
| 3 | 5 | |
| 4 | 6 | |
| 5 | 8 | |
| 6 | 10 | |
| Coal pile–Side wall membrane surface | 7 | 3 |
| 8 | 4 | |
| 9 | 5 | |
| 10 | 6 | |
| Coal pile–Roof membrane surface | 11 | 5 |
| 12 | 10 | |
| 13 | 15 | |
| 14 | 20 |
Disclaimer/Publisher’s Note: The statements, opinions and data contained in all publications are solely those of the individual author(s) and contributor(s) and not of MDPI and/or the editor(s). MDPI and/or the editor(s) disclaim responsibility for any injury to people or property resulting from any ideas, methods, instructions or products referred to in the content. |
© 2025 by the authors. Licensee MDPI, Basel, Switzerland. This article is an open access article distributed under the terms and conditions of the Creative Commons Attribution (CC BY) license (https://creativecommons.org/licenses/by/4.0/).
Share and Cite
Xia, Y.; Cheng, Y.; Li, N. Simulation Study on Stability of Air-Supported Membrane Coal Storage Bin Under Fire Scenario. Buildings 2025, 15, 1734. https://doi.org/10.3390/buildings15101734
Xia Y, Cheng Y, Li N. Simulation Study on Stability of Air-Supported Membrane Coal Storage Bin Under Fire Scenario. Buildings. 2025; 15(10):1734. https://doi.org/10.3390/buildings15101734
Chicago/Turabian StyleXia, Yiwen, Yuanda Cheng, and Na Li. 2025. "Simulation Study on Stability of Air-Supported Membrane Coal Storage Bin Under Fire Scenario" Buildings 15, no. 10: 1734. https://doi.org/10.3390/buildings15101734
APA StyleXia, Y., Cheng, Y., & Li, N. (2025). Simulation Study on Stability of Air-Supported Membrane Coal Storage Bin Under Fire Scenario. Buildings, 15(10), 1734. https://doi.org/10.3390/buildings15101734
