Evaluation of Age-Friendly Retrofits for Urban Communities in China Using a Social–Ecological–Technological Systems Framework
Abstract
1. Introduction
- (1)
- Demand Analysis: Various subjective weighting methods such as the Analytic Hierarchy Process (AHP) [11] and the Kano model [12] are employed to calculate the weights of age-friendly criteria in urban communities, supporting multi-criteria ranking for retrofitting. While these methods can provide preliminary assessments of the needs of elderly residents to enhance age-friendly retrofitting, they often heavily rely on expert judgments. Moreover, they involve a large amount of information from various dimensions and evaluation scales, making the process complex. Additionally, there is a lack of scientific processing when it comes to classifying household needs accurately. Integrating this information into evaluation decisions remains a significant challenge.
- (2)
- Transformation Solutions: Urban community age-friendly retrofitting involves multiple stakeholders [13] with diverse social services and technological innovation propositions, covering various dimensions such as public facilities, the ecological environment, operational management, and basic services. For different criteria transformation solution problems, Quality Function Deployment (QFD) [14] and DEMATEL methods [15] exhibit some effectiveness in subjective importance extraction and fuzzy evaluation aspects. However, considering the heterogeneity of household weights and the intrinsic relationships between needs during information collection affects the reliability of evaluation results.
- (1)
- This study employs information entropy to assess the dispersion and impact of various indicators, with the goal of mitigating both the subjective biases inherent in expert judgment and the objective biases that stem from incomplete or poor-quality data. This approach effectively addresses the indecision experts may experience when faced with multiple evaluative terms, thus offering a scientifically rational foundation for the comprehensive assessment of multiple indicators.
- (2)
- This study comprehensively considers the interdependent relationships among the needs for community aging adaptation and employs the DEMATEL method to analyze and correct the initial importance of transformation needs obtained through fuzzy QFD technology. This process involves an in-depth analysis of the direct and indirect causal relationships between factors in the system, thereby effectively enhancing the accuracy and credibility of the importance of transformation needs.
- (3)
- This study adopts an improved Kano model to calculate the Kano importance of residents’ needs. The improved satisfaction index of this model fully reflects the nonlinear relationship between its characteristics and customer satisfaction, which is different from traditional linear satisfaction models. This nonlinear relationship can more truly reflect the changes in customer satisfaction, thereby helping to promote continuous urban renewal and service optimization.
2. Materials and Methods
2.1. Research Framework
2.2. Evaluation Indicator System
2.3. Sample Selection
2.4. Data Collection
3. Literature Review
3.1. Organize the Preparatory Work
3.2. Evaluation Methods for Age-Friendly Urban Communities
- (1)
- While the Kano model provides direct access to weightings for age-friendly community renovation demands, it overlooks individual differences among elderly residents. This undermines the credibility of evaluation data, disrupting the sorting assessment of age-friendly community renovations, thus affecting their objectivity and effectiveness.
- (2)
- Age-friendly retrofitting exhibits ambiguity due to interdependencies or conflicts among indicators across various stages. DEMATEL fails to adequately consider the transfer effects resulting from the inherent influence of multiple indicators on others, thereby affecting the related impacts on other indicators.
- (3)
- In the early stages, urban community age-friendly evaluations heavily rely on experts’ subjective preferences, leading to significant fluctuations in demand weighting and an inability to accurately identify evaluation criteria.
3.3. Social–Ecological–Technological Systems Framework
4. Empirical Analysis
4.1. Determination of Initial Indicator Weights
4.1.1. Construction of Initial Evaluation Matrix and Standardization
4.1.2. Entropy Weight Method Calculation of Initial Weights
4.2. Optimizing Indicator Weights
4.2.1. Calculating Weights with DEMATEL Method
- (1)
- Normalization of the direct influence matrix. The normalized direct influence matrix is denoted as U by applying the formula:
- (2)
- Construction of the comprehensive influence matrix. The comprehensive influence matrix is denoted as O by applying the formula:
- (3)
4.2.2. Kano Model for Adjusting Weights
4.3. Determining Comprehensive Indicator Weights
4.4. TOPSIS Optimal Evaluation Scheme
- (1)
- Construction of the urban community aging-friendly renovation evaluation matrix. In this analysis, we set two types of indicators: first, horizontal evaluation indicators, assuming there are m in total; second, vertical case samples, assuming there are n in total. For the collected data, we will conduct normalization to ensure the accuracy of the analysis, constructing matrix . After normalization, we obtain matrix J. The normalized values are obtained by running the formula:
- (2)
- Normalization and construction of the weighted matrix. According to the comprehensive indicator weight Gi and the normalized matrix Jij, matrix Qij is obtained through weighting. The results are shown in Table 11.
- (3)
- The calculation of positive and negative ideal solutions, using the formulas:
- (4)
- Calculation of the Euclidean distance, using the formulas:
- (5)
- Calculation of the relative closeness, where a higher value indicates a more reasonable evaluation of indicators. The results are shown in Table 12.
5. Results
5.1. Case Results’ Verification
5.2. Improving Design Plans
5.2.1. Design and Renovation Principles
- (1)
- The accessible design indicator is the most important criterion for measuring the age-friendly renovation of urban communities. It reflects the diverse increase in the demand for accessibility discovered through the questionnaire survey among urban residents. These demands not only include the built environment and indoor spaces but also involve public facilities and leisure and entertainment products, from the physical space to the accessibility of information exchange.
- (2)
- Health-oriented design is the primary principle of age-friendly renovation. However, when assessing the impact factors of age-friendly renovations in urban communities, the layout of green spaces is considered by the elderly group to be the least important of the first-level indicators. This indicates a lack of emphasis on green sustainable development among the elderly population.
- (3)
- During the questionnaire survey process, many elderly residents reported that due to the lack of sufficient public supporting facilities, they often have to use green spaces and public transportation spaces for activities, which brings safety hazards. This situation is in line with the weight of the evaluation indicator regarding the completeness of public supporting facilities in age-friendly renovations.
5.2.2. Design and Renovation Pathways
- (1)
- Public ancillary facilities: By establishing a collaborative mechanism, we can effectively integrate scattered community service facilities into a unified public service space. At the same time, considering the specific situation of the community and the needs of residents of all ages, we will add diverse personalized service projects. Our goal is to create a multifunctional home-based elderly care center that integrates services, fitness, and organization, and establish a comprehensive public service system.
- (2)
- Green space layout: Utilizing the scattered spaces within the community, autonomous gardens created and managed jointly by local seniors and design teams adopt sustainable design and maintenance concepts. These gardens serve multiple purposes, as they support various activities such as planting, gardening, and ecological education. Additionally, they play a vital role in promoting ecological awareness within the community, encouraging green and low-carbon lifestyles, fostering a sense of belonging among community members, and contributing to the physical health and well-being of residents.
- (3)
- Accessible design: Through comprehensive transformation of the community environment, we have tailored friendly living spaces for the elderly. During the renovation process, we not only considered ergonomic design concepts but also paid special attention to residents’ individualized needs. This includes installing barrier-free facilities, eliminating steep slopes in front of doors, and setting clear barrier-free signage. In addition, ample open space has been intentionally preserved in the community’s public activity areas and green spaces to ensure easy access for wheelchair users. Specific improvement design plans can be seen in Figure 9.
6. Discussion
6.1. Characteristics
6.2. Limitations
- (1)
- This study selected six representative urban communities and explored age-friendly renovations from multiple perspectives. However, due to the limited sample size, these research results cannot fully reflect the overall aging trend of society. Even among similar communities, there are significant differences, especially in terms of the age composition of the population. Therefore, future research needs to further explore the relationship between the age structure of the community population, particularly the proportion of the elderly population, and the effectiveness of age-friendly renovations. To more accurately grasp the living conditions and needs of the elderly population, it is necessary to increase the sample size of surveys and interviews. The age-friendly renovation of communities aims to create a more convenient and comfortable social environment for elderly residents. However, in addition to physical inconveniences, the psychological needs of the elderly are also worth paying attention to. Future work can strengthen research on the emotional care of the elderly, thereby more comprehensively understanding the issue of aging and improving the standards of community age-friendly renovations from various aspects, thereby enhancing the quality of life and happiness of elderly residents.
- (2)
- The age-friendly of urban communities involves not only direct economic costs but also social benefits and long-term impacts. In future research, when analyzing costs, it is essential to consider the risks and uncertainties in the adaptation process and assess their impact on the total costs. From a social perspective, the cost–benefit analysis should evaluate how the project enhances the quality of life and social participation of the elderly. Ecologically, the cost analysis must include an assessment of the community’s environmental impact, especially the layout and sustainability of green spaces. On the technological front, the application of intelligent and information technologies is crucial in aging adaptations; these technologies can significantly improve the safety and convenience of elderly living but also require a balance of cost-effectiveness and the elderly’s acceptance of technology. By considering these factors comprehensively, we can more fully assess the cost-effectiveness of aging adaptations in urban communities, ensuring that the project meets the actual needs of the elderly, is economically feasible, and promotes the overall development of the community.
6.3. Prospects
7. Conclusions
- (1)
- “Urban renewal, technological iteration, and ecosystem research” are significant issues of concern across multidisciplinary fields against the backdrop of global aging and sustainable development. This study, through on-site surveys, has conducted a detailed analysis of the current situation of age-friendly modifications in communities of Dalian City, Liaoning Province, China, and has clearly delineated the existing problems and the organization patterns of residential spaces. Based on the theory of social–ecological–technological systems, it has comprehensively analyzed various factors such as the living environment, lifestyle, and housing needs of the elderly, and established six key evaluation indicators: public participation level, public ancillary facilities, green space layout, living environment building, health service support, and accessible design. The aim of this study is to provide guidance for the living environment and community renewal construction for the elderly in cities, with the hope of offering valuable suggestions to improve the theoretical system of age-friendly modifications.
- (2)
- This study innovatively applies the social–ecological–technological systems model to the field of aging services and, based on this, constructs an evaluation model and design evaluation indicators. This marks a new exploration of the evaluation index system for the age friendliness of urban communities. Compared with other age-friendly evaluation models, the core of this model lies in identifying and defining from the perspective of stakeholders, emphasizing the impact and role of different stakeholders in the age friendliness of urban communities, which is highly consistent with the community characteristics of urban community aging adaptation. Using this model as an evaluation tool can break through the limitations of a single perspective, comprehensively consider the co-construction, co-governance, and sharing relationships among community members such as the government, elderly residents, technical personnel, and environmental regulatory agencies, and thus more comprehensively evaluate and observe the current situation of urban community aging adaptation, providing guidance for its management and operation.
- (1)
- The construction of an evaluation index system for the aging adaptation of urban community renovations is crucial for the government to formulate and implement more precise and effective age-friendly policies. This system enables the government to accurately identify the specific needs of the elderly in their living environment and the challenges they face. By analyzing this detailed information, the government can clarify the key areas and priorities for aging adaptation, ensuring the efficient allocation of resources. Therefore, in the process of urban renewal and community renovation, the needs of the elderly can be more comprehensively considered. In addition, the evaluation index system can serve as a monitoring tool for the implementation of policies, helping the government to supervise and evaluate the execution of aging adaptation projects, thereby ensuring the achievement of policy goals.
- (2)
- The evaluation index system for the age friendliness of urban community renovations not only clarifies the actual needs of the elderly but also points out the market direction for related industries, promoting precise positioning and service innovation. This index system can significantly enhance the positioning and service quality of the community, accelerating the technological progress and service upgrade of the industry. Utilizing these indicators, related industries can more effectively plan community renovations and services to meet market demands, thereby enhancing their market competitiveness. Moreover, the system encourages enterprises to engage in research and innovation, creating more community environments and planning schemes suitable for the elderly, which helps to form a comprehensive and competitive aging industry ecosystem.
Author Contributions
Funding
Institutional Review Board Statement
Informed Consent Statement
Data Availability Statement
Conflicts of Interest
Appendix A
| Expert | Gender | Seniority | Degree | Research Direction | Professional Rank |
|---|---|---|---|---|---|
| 1 | Female | 28 | Master | Urban Planning & Technical Science | Doctoral Supervisor (Professor of Urban Planning) |
| 2 | Male | 19 | Ph.D | Age-friendly Design & Environmental Design | Master’s supervisor (Professor of Design) |
| 3 | Male | 17 | Ph.D | Public Architecture Design and Theory | Master’s supervisor (Professor of Architecture) |
| 4 | Female | 25 | Ph.D | Accessible Universal Design and Theory | Master’s supervisor (Professor of Design) |
| 5 | Female | 31 | Master | Spatial Planning & Ecological Restoration | Doctoral Supervisor (Professor of Architecture) |
| 6 | Male | 16 | Master | Settlements Renewal & Housing Planning | Master’s supervisor (Professor of Urban Planning) |
| 7 | Female | 15 | Ph.D | Interior Design & Public Art | Doctoral Supervisor (Professor of Design) |
| 8 | Male | 22 | Ph.D | Regional Development & Spatial Planning | Master’s supervisor (Professor of Urban Planning) |
| 9 | Female | 26 | Master | Building Technology Sciences | Master’s supervisor (Professor of Architecture) |
Appendix B
| Expert Basic Information Collection Form | ||||
| 1. Your Name: Workplace: Phone Number: E-mail: | ||||
| 2. Your Current Job Position: | ||||
| 3. Your Current Professional Rank: | ||||
| 4. Your Age: (1) <40 (2) 40~49 (3) 50~59 (4) ≥60 | ||||
| 5. Your level of education: (1) Bachelor (2) Master (3) Ph.D | ||||
| 6. Your years of work experience: | ||||
| 7. Your Affiliation Type: (1) Higher Education Institution (2) Research Institute | ||||
| 8. Your Current Field of Expertise: | ||||
| 9. Your familiarity with the current age-friendly urban community transformation: (1) very familiar (2) familiar (3) average (4) not very familiar (5) completely unfamiliar | ||||
| 10. Do you have work or research experience in the following areas: (1) management work experience (2) policy experience (3) indicator analysis experience | ||||
| Urban Community Age-Friendly Evaluation Index Solicitation Form | ||||
| This study proposes six urban community aging adaptation evaluation indicators based on the three dimensions of the social–ecological systems theory. If you agree with them, please mark a ‘√’ in the ‘Agree’ column; otherwise, please mark an ‘×’ in the ‘Agree’ column, and also provide suggestions for modification, or write your own views in the ‘Suggestion’ column. | ||||
| Indicator | Number | Indicator Description | Agree | Suggestion |
| public participation level | A | Refers to the level of involvement of elderly community residents in the renovation process, including their suggestions on the renovation plan, impact on the decision-making process, and feedback on the outcomes of the renovation. | ||
| public ancillary facilities | B | Refers to a series of public services and facilities designed and equipped to meet the special needs of the elderly, such as accessible passages, rest areas, fitness equipment, etc. | ||
| green space layout | C | Refers to the special consideration of the leisure and activity needs of the elderly in community planning, with the rational allocation of green spaces, gardens, walking paths, and other natural landscapes. | ||
| living environment building | D | Refers to creating a convenient, healthy, and harmonious living space for the elderly by improving the safety, accessibility, comfort, and sociability of the living environment. | ||
| health service support | E | Refers to providing easily accessible medical care, rehabilitation services, and health promotion within the community to ensure that the elderly can receive timely and effective health support and care. | ||
| accessible design | F | Refers to the adoption of universal design principles in community planning and architectural design to ensure that all facilities and services are easily accessible and usable for the elderly and others with mobility impairments, including but not limited to barrier-free ramps, wide doorways, high-contrast signage, and emergency call systems. | ||
Appendix C
| Urban Community Age-Friendly Renovation Satisfaction Survey Questionnaire | ||||||
| Hello! Thank you for participating in this survey. This is a questionnaire about the satisfaction with the age-friendly renovation of urban communities. This survey is conducted anonymously, there is no right or wrong answer, and the results will only be used for academic research. We will strictly keep your answers confidential, and they will not cause any adverse effects to you personally or to your community. Please answer the questions based on your actual situation. Your cooperation will be of great help for the effective conduct of this research. Thank you for your support and cooperation! | ||||||
| Research Group January 2024 | ||||||
| Part I: Basic Information | ||||||
| Please directly mark a ‘√’ on the option that best fits your actual situation, or fill in your own situation or opinion on the ‘__’. Unless otherwise specified, only one option should be marked for each question. | ||||||
| 1. Your Gender | A. Male | B. Female | ||||
| 2. Your Age | A. 60~64 | B. 65~69 | C. 70~74 | D. 75~79 | E. ≥80 | |
| 3. Your Level of Education | A. Primary School or below | B. Junior High School | ||||
| C. High School | D. Bachelor’s degree or above | |||||
| 4. Your Marital Status | A. With spouse | B. Without spouse | ||||
| 5. Your Income Situation | A. <3000 | B. 3000~6000 | C. >6000 | |||
| 6. Your Health Status | A. Wellness | B. General | C. Unhealthy | |||
| 7. Your Length of Residence | A. <10 | B. 10~20 | C. >20 | |||
| 8. Your Residency Status | A. Living alone | B. Living with family | ||||
| 9. Your Frequency of Going Out | A. <1 | B. 1~3 | C. >3 | |||
| Part II: Urban Community Age-Friendly Satisfaction Survey | ||||||
| Please mark a ‘√’ directly on the corresponding score, where the scores range from 1 to 5, representing ‘Very Dissatisfied’, ‘Somewhat Dissatisfied’, ‘Neutral’, ‘Somewhat Satisfied’, and ‘Very Satisfied’ respectively. That is, the smaller the number, the less you agree with the following items; the larger the number, the more you agree with the following items. | ||||||
| Please evaluate the following items based on the actual situation of the community, and choose an appropriate number from 1 to 5 (Public Participation Level): | Very Dissatisfied | Somewhat Dissatisfied | Neutral | Somewhat Satisfied | Very Satisfied | |
| How satisfied are you with the public participation mechanism in the community’s age-friendly renovation process? | 1 | 2 | 3 | 4 | 5 | |
| How do you rate the efficiency and effectiveness of the community in collecting and adopting residents’ opinions during the age-friendly renovation? | 1 | 2 | 3 | 4 | 5 | |
| In the age-friendly renovation project, how satisfied are you with the communication channels and feedback mechanisms provided by the community? | 1 | 2 | 3 | 4 | 5 | |
| Please evaluate the following items based on the actual situation of the community, and choose an appropriate number from 1 to 5 (Public Ancillary Facilities): | Very Dissatisfied | Somewhat Dissatisfied | Neutral | Somewhat Satisfied | Very Satisfied | |
| Do you think the location of the public facilities in this community is convenient for your daily access? | 1 | 2 | 3 | 4 | 5 | |
| Are you satisfied with the maintenance and cleanliness of the public facilities in your community? | 1 | 2 | 3 | 4 | 5 | |
| Do you feel that the public facilities in your community meet the diverse needs of you and your family? | 1 | 2 | 3 | 4 | 5 | |
| Please evaluate the following items based on the actual situation of the community, and choose an appropriate number from 1 to 5 (Green Space Layout): | Very Dissatisfied | Somewhat Dissatisfied | Neutral | Somewhat Satisfied | Very Satisfied | |
| Are you satisfied with the coverage of green spaces in your community, such as parks and greenways? | 1 | 2 | 3 | 4 | 5 | |
| Do you think the green spaces in your community, such as parks and gardens, are safe for the elderly? | 1 | 2 | 3 | 4 | 5 | |
| Do you feel satisfied with the multifunctionality of the green spaces in your community, including features like leisure seating and social interaction spaces? | 1 | 2 | 3 | 4 | 5 | |
| Please evaluate the following items based on the actual situation of the community, and choose an appropriate number from 1 to 5 (Living Environment Building): | Very Dissatisfied | Somewhat Dissatisfied | Neutral | Somewhat Satisfied | Very Satisfied | |
| Do you think the community has adequately considered safety in its aging-friendly renovations for the living environment? | 1 | 2 | 3 | 4 | 5 | |
| Are you satisfied with the aging-friendly modifications made to the transportation facilities in your community? | 1 | 2 | 3 | 4 | 5 | |
| Are you satisfied with the accessibility of information and services provided by your community in the context of aging-friendly renovations? | 1 | 2 | 3 | 4 | 5 | |
| Please evaluate the following items based on the actual situation of the community, and choose an appropriate number from 1 to 5 (Health Service Support): | Very Dissatisfied | Somewhat Dissatisfied | Neutral | Somewhat Satisfied | Very Satisfied | |
| Are you satisfied with the convenience of medical services provided in your community, such as clinics, hospitals, and first-aid stations? | 1 | 2 | 3 | 4 | 5 | |
| Are you satisfied with the variety and participation level of health promotion activities organized by your community, such as health lectures, physical examinations, and fitness guidance? | 1 | 2 | 3 | 4 | 5 | |
| Are you satisfied with the availability and effectiveness of the psychological health support provided by your community, such as psychological counseling services and emotional support groups? | 1 | 2 | 3 | 4 | 5 | |
| Please evaluate the following items based on the actual situation of the community, and choose an appropriate number from 1 to 5 (Accessible Design): | Very Dissatisfied | Somewhat Dissatisfied | Neutral | Somewhat Satisfied | Very Satisfied | |
| Are you satisfied with the coverage of accessible facilities in our community? This includes whether public areas, residential entrances, elevators, and other facilities are equipped with barrier-free access. | 1 | 2 | 3 | 4 | 5 | |
| Do you find the barrier-free signs in our community clear and easy to understand, and do they effectively help the elderly locate accessible facilities? | 1 | 2 | 3 | 4 | 5 | |
| Are you satisfied with the thoughtfulness of the accessible design in our community? This involves whether the facilities have taken into account the usage habits and physical conditions of the elderly. | 1 | 2 | 3 | 4 | 5 | |
Appendix D
| Projects | Characteristics | Full-Sample | Online Research | Offline Research | |||
|---|---|---|---|---|---|---|---|
| Frequency | Percentage | Frequency | Percentage | Frequency | Percentage | ||
| Gender | Male | 283 | 51.27% | 128 | 51.83% | 155 | 50.82% |
| Female | 269 | 48.73% | 119 | 48.17% | 150 | 49.18% | |
| Age groups | 60~64 | 70 | 12.68% | 25 | 35.71% | 45 | 64.29% |
| 65~69 | 134 | 24.28% | 52 | 38.81% | 82 | 61.19% | |
| 70~74 | 141 | 25.54% | 67 | 47.52% | 74 | 52.48% | |
| 75~79 | 125 | 22.64% | 60 | 48% | 65 | 52% | |
| ≥80 | 82 | 14.86% | 43 | 52.44% | 39 | 47.56% | |
| Education | Primary and below | 162 | 29.35% | 52 | 32.1% | 110 | 67.9% |
| Middle school | 236 | 42.75% | 109 | 46.19% | 127 | 53.81% | |
| High school | 119 | 21.56% | 60 | 50.42% | 59 | 49.58% | |
| Bachelor and above | 35 | 6.34% | 26 | 74.29% | 9 | 25.71% | |
| Marriage | With spouse | 314 | 56.88% | 138 | 43.95% | 176 | 56.05% |
| Without spouse | 238 | 43.12% | 109 | 45.8% | 129 | 54.2% | |
| Incomes (CNY) | <3000 | 264 | 47.83% | 106 | 40.15% | 158 | 59.85% |
| 3000~6000 | 190 | 34.42% | 98 | 51.58% | 92 | 48.42% | |
| >6000 | 98 | 17.75% | 43 | 43.88% | 55 | 56.12% | |
| Health | Wellness | 268 | 48.55% | 89 | 33.21% | 179 | 66.79% |
| General | 179 | 32.43% | 85 | 47.49% | 94 | 52.51% | |
| Unhealthy | 105 | 19.02% | 73 | 69.52% | 32 | 30.48% | |
| Length of residency (year) | <10 | 182 | 32.97% | 84 | 46.15% | 98 | 53.85% |
| 10~20 | 257 | 46.56% | 102 | 39.69% | 155 | 60.31% | |
| >20 | 113 | 20.47% | 61 | 53.98% | 52 | 46.02% | |
| Residing status | Living alone | 341 | 61.78% | 150 | 43.99% | 191 | 56.01% |
| Living with family | 211 | 38.22% | 97 | 45.97% | 114 | 54.03% | |
| Frequency of going out (per day) | <1 | 45 | 8.15% | 35 | 77.78% | 10 | 22.22% |
| 1~3 | 216 | 39.13% | 119 | 55.1% | 97 | 44.9% | |
| >3 | 291 | 52.72% | 93 | 31.96% | 198 | 68.04% | |
References
- Lu, W.Z.; Qiu, B.X.; Wu, Y.Z. Exploration of urban community renewal governance for adaptive improvement. Habitat. Int. 2024, 144, 102999. [Google Scholar] [CrossRef]
- Xu, S.T.; Chen, M.L.; Yuan, B.F.; Zhou, Y.H.; Zhang, J.G. Resident Satisfaction and Influencing Factors of the Renewal of Old Communities. J. Urban Plan. Dev. 2024, 150, 04023061. [Google Scholar] [CrossRef]
- Xie, L.L. Age-Friendly Communities and Life Satisfaction Among the Elderly in Urban China. Res. Aging 2018, 40, 883–905. [Google Scholar] [CrossRef] [PubMed]
- Hirai, T. “Double Ageing” in the High-Rise Residential Buildings of Tokyo. Urban Plan. 2022, 7, 313–324. [Google Scholar] [CrossRef]
- Davern, M.; Winterton, R.; Brasher, K.; Woolcock, G. How Can the Lived Environment Support Healthy Ageing? A Spatial Indicators Framework for the Assessment of Age-Friendly Communities. Int. J. Environ. Res. Public Health 2020, 17, 7685. [Google Scholar] [CrossRef] [PubMed]
- Radermacher, H.; Karunarathna, Y.; Grace, N.; Feldman, S. Partner or perish? Exploring inter-organisational partnerships in the multicultural community aged care sector. Health Soc. Care Community 2011, 19, 550–560. [Google Scholar] [CrossRef]
- Lehning, A.; Scharlach, A.; Wolf, J.P.; Davitt, J.; Wiseman, H. Perceived Challenges to the Sustainability of Community-Based Aging Initiatives: Findings from a National Study of Villages. J. Gerontol. Soc. Work 2015, 58, 684–702. [Google Scholar] [CrossRef] [PubMed]
- Pan, L.; Sun, J.; Zhou, R.T. Research on the Construction of Age-Friendly Community Based on Fuzzy Comprehensive Evaluation Model: Evidence from Community in Hefei of China. Risk Manag. Healthc. Policy 2021, 14, 3841–3852. [Google Scholar] [CrossRef] [PubMed]
- Greenfield, E.A.; Buffel, T. Age-Friendly Cities and Communities: Research to Strengthen Policy and Practice. J. Aging Soc. Policy 2022, 34, 161–174. [Google Scholar] [CrossRef]
- Chen, Y.; Bouferguene, A.; Shirgaokar, M.; Al-Hussein, M. Spatial Analysis Framework for Age-Restricted Communities Integrating Spatial Distribution and Accessibility Evaluation. J. Urban Plan. Dev. 2020, 146, 04019021. [Google Scholar] [CrossRef]
- Li, Y.H.; Ran, Q.C.; Yao, S.; Ding, L.K. Evaluation and Optimization of the Layout of Community Public Service Facilities for the Elderly: A Case Study of Hangzhou. Land 2023, 12, 629. [Google Scholar] [CrossRef]
- Mikulic, J.; Prebezac, D. A critical review of techniques for classifying quality attributes in the Kano model. Manag. Serv. Qual. 2011, 21, 46–66. [Google Scholar] [CrossRef]
- Raut, S.B. Applying multi-criteria decision analysis to prioritise age-friendly criteria for policy implications. Int. J. Urban Sustain. Dev. 2023, 15, 250–266. [Google Scholar] [CrossRef]
- Kullberg, A.; Nordqvist, C.; Lindqvist, K.; Timpka, T. Examining quality function deployment in safety promotion in Sweden. Health Promot. Int. 2014, 29, 414–426. [Google Scholar] [CrossRef] [PubMed][Green Version]
- Zhu, Y.L.; Zhu, B.W.; Te, Y.N.; Badarulzaman, N.B.; Xiong, L. Exploring the Key Factors of Old Neighborhood Environment Affecting Physical and Mental Health of the Elderly in Skipped-Generation Household Using an RST-DEMATEL Model. Systems 2023, 11, 104. [Google Scholar] [CrossRef]
- Wicki, S.; Black, B.; Kurmann, M.; Gret-Regamey, A. Archetypes of social-ecological-technological systems for managing ecological infrastructure. Environ. Res. Lett. 2024, 19, 014038. [Google Scholar] [CrossRef]
- Resnick, B.; Gruber-Baldim, A.L.; Pretzer-Aboff, I.; Galik, E.; Buie, V.C.; Russ, K.; Zimmerman, S.M. Reliability and validity of the evaluation to sign consent measure. Gerontologist 2007, 47, 69–77. [Google Scholar] [CrossRef]
- Jones, J.; Russo, A. Exploring the role of public participation in delivering inclusive, quality, and resilient green infrastructure for climate adaptation in the UK. Cities 2024, 148, 104879. [Google Scholar] [CrossRef]
- Bovaird, T. Beyond engagement and participation: User and community coproduction of public services. Public Adm. Rev. 2007, 67, 846–860. [Google Scholar] [CrossRef]
- Bennett, J.; Iossa, E. Building and managing facilities for public services. J. Public Econ. 2006, 90, 2143–2160. [Google Scholar] [CrossRef]
- Baek, S.G.; Kwon, H.A. Participatory Planning through Flexible Approach: Public Community Facilities in Seoul’s Urban Regeneration Project. Sustainability 2021, 12, 10435. [Google Scholar] [CrossRef]
- Douglas, D.; Lennon, M.; Scott, M. Green space benefits for health and well-being: A life-course approach for urban planning, design and management. Cities 2017, 66, 53–62. [Google Scholar] [CrossRef]
- Chen, Y.; Yue, W.Z.; La Rosa, D. Which communities have better accessibility to green space? An investigation into envi-ronmental inequality using big data. Landsc. Urban Plan. 2020, 204, 103919. [Google Scholar] [CrossRef]
- Frost, S.S.; Goins, R.T.; Hunter, R.H.; Hooker, S.P.; Bryant, L.L.; Kruger, J.; Pluto, D. Effects of the Built Environment on Physical Activity of Adults Living in Rural Settings. Am. J. Health Promot. 2010, 24, 267–283. [Google Scholar] [CrossRef] [PubMed]
- Yu, J.; Rosenberg, M.W. Aging and the changing urban environment: The relationship between older people and the living environment in post-reform Beijing, China. Urban Geogr. 2019, 41, 162–181. [Google Scholar] [CrossRef]
- Mancini, M.A. An Exploration of Factors that Effect the Implementation of Peer Support Services in Community Mental Health Settings. Community Ment. Health J. 2018, 54, 127–137. [Google Scholar] [CrossRef] [PubMed]
- Sen, Q.; Lei, Z. The impact of community care services on older people’s psychological health: An empirical study in Liaoning Province, China. Front. Public Health 2023, 11, 1199830. [Google Scholar] [CrossRef] [PubMed]
- Ma, Y.H.; Siu, K.W.M.; Zou, G.T. Contradictory and consistent views on designing an inclusive community-based centre for older people: A mixed-methods study of different age groups in China. Aging Soc. 2020, 40, 1867–1886. [Google Scholar] [CrossRef]
- Guo, J.; Yanai, S.; Kodama, T. Factors influencing the use of and attitude toward community gardens in aged care facilities: The managers’ perspective. Urban For. Urban Green. 2022, 70, 127524. [Google Scholar] [CrossRef]
- Akimov, A.V.; Gemueva, K.A.; Semenova, N.K. The Seventh Population Census in the PRC: Results and Prospects of the Country’s Demographic Development. Her. Russ. Acad. Sci. 2021, 91, 724–735. [Google Scholar] [CrossRef]
- Gordon-Larsen, P.; McMurray, R.G.; Popkin, B.M. Determinants of adolescent physical activity and inactivity patterns. Pedi-atrics 2000, 105, e83. [Google Scholar] [CrossRef] [PubMed]
- Bec, A.; Moyle, C.L.J.; Moyle, B.D. Community Resilience to Change: Development of an Index. Social Indic. Res. 2019, 142, 1103–1128. [Google Scholar] [CrossRef]
- Song, L.; Kong, X.S.; Cheng, P. Supply-demand matching assessment of the public service facilities in 15-minute community life circle based on residents’ behaviors. Cities 2023, 144, 104637. [Google Scholar] [CrossRef]
- Fang, K.L.; Wu, Y.F.; Jiao, L. Community Governance in Age-Friendly Community Regeneration-A Case Study on Installing Elevators in Old Residential Buildings. Buildings 2024, 14, 125. [Google Scholar] [CrossRef]
- James, B.L.; Saville-Smith, K. Designing housing decision-support tools for resilient older people. Archit. Sci. Rev. 2018, 61, 305–312. [Google Scholar] [CrossRef]
- Su, X.M.; Wang, S. Research on functional space of community-based medical-nursing combined facilities for the aged in small cities. J. Asian Archit. Build. Eng. 2021, 21, 1399–1410. [Google Scholar] [CrossRef]
- Aksoy, E.; Korkmaz-Yaylagul, N. Assessing Liveable Cities for Older People in an Urban District in Turkey Using the Ana-lytical Hierarchy Process. Urban Plan. 2019, 4, 83–95. [Google Scholar] [CrossRef]
- Zhou, Z.J.; Wang, L.; Dong, Y.B. Research on innovative design of community mutual aid elderly care service platform based on Kano model. Heliyon 2023, 9, e15546. [Google Scholar] [CrossRef] [PubMed]
- Chum, K.; Fitzhenry, G.; Robinson, K.; Murphy, M.; Phan, D.; Alvarez, J.; Hand, C.; Rudman, D.L.; McGrath, C. Examining Community-Based Housing Models to Support Aging in Place: A Scoping Review. Gerontologist 2022, 62, E178–E192. [Google Scholar] [CrossRef]
- Xu, Y.X.; Liu, H.; Su, S.; Mao, P. Ageing Suitability Evaluation of Residential Districts Based on Active Ageing Theory. Buildings 2023, 13, 1041. [Google Scholar] [CrossRef]
- Chen, J.L.; Pellegrini, P.; Wang, H.Q. Comparative Residents’ Satisfaction Evaluation for Socially Sustainable Regenera-tion-The Case of Two High-Density Communities in Suzhou. Land 2022, 11, 1483. [Google Scholar] [CrossRef]
- Ide, K.; Jeong, S.; Tsuji, T.; Watanabe, R.; Miyaguni, Y.; Nakamura, H.; Kimura, M.; Kondo, K. Suggesting Indicators of Age-Friendly City: Social Participation and Happiness, an Ecological Study from the JAGES. Int. J. Environ. Res. Public Health 2022, 19, 5096. [Google Scholar] [CrossRef]
- Yadav, A.; Singh, R.K.; Mishra, R.; Bag, S. Perceived challenges affecting user engagement in online community: An analysis of interrelationships and interaction. Benchmarking 2023, 31, 1320–1349. [Google Scholar] [CrossRef]
- Sun, G.S.; Li, M.Z.; Dong, J.Y.; Wan, S.P.; Feng, J. Evaluation of Key Factors for Promoting Green Construction Practices Based on a Hybrid Decision-Making Framework: A Case Study on the Renovation of Old Residential Communities in China. Axioms 2023, 12, 971. [Google Scholar] [CrossRef]
- Tseng, M.L.; Lin, C.Y.; Lin, C.W.R.; Wu, K.J.; Sriphon, T. Ecotourism development in Thailand: Community participation leads to the value of attractions using linguistic preferences. J. Clean. Prod. 2019, 231, 1319–1329. [Google Scholar] [CrossRef]
- Sen, M.K.; Dutta, S.; Kabir, G. Evaluation of interaction between housing infrastructure resilience factors against flood hazard based on rough DEMATEL approach. Int. J. Disaster Resil. 2021, 12, 555–575. [Google Scholar] [CrossRef]
- Sun, G.S.; Tang, X.R.; Wan, S.P.; Feng, J. An Extended Fuzzy-DEMATEL System for Factor Analyses on Social Capital Selection in the Renovation of Old Residential Communities. CMES Comput. Model. Eng. Sci. 2022, 134, 1041–1067. [Google Scholar] [CrossRef]
- Polojaervi, D.; Palmer, E.; Dunford, C. A systematic literature review of sociotechnical systems in systems engineering. Syst. Eng. 2023, 26, 482–504. [Google Scholar] [CrossRef]
- Dell, N.A.; Maynard, B.R.; Murphy, A.M.; Stewart, M. Technology for Research Synthesis: An Application of Sociotechnical Systems Theory. J. Soc. Soc. Work. Res. 2021, 12, 201–222. [Google Scholar] [CrossRef]
- Rocha, J.; Malmborg, K.; Gordon, L.; Brauman, K.; DeClerck, F. Mapping social-ecological systems archetypes. Environ. Res. Lett. 2020, 15, 034017. [Google Scholar] [CrossRef]
- Herrmann, D.L.; Schwarz, K.; Allen, C.R.; Angeler, D.G.; Eason, T.; Garmestani, A. Iterative scenarios for social-ecological systems. Ecol. Soc. 2021, 26, 260408. [Google Scholar] [CrossRef] [PubMed]
- Branny, A.; Moller, M.S.; Korpilo, S.; McPhearson, T.; Gulsrud, N.; Olafsson, A.S.; Raymond, C.M.; Andersson, E. Smarter greener cities through a social-ecological-technological systems approach. Curr. Opin. Env. Sust. 2022, 55, 101168. [Google Scholar] [CrossRef]
- Sharifi, A. Resilience of urban social-ecological-technological systems (SETS): A review. Sustain. Cities Soc. 2023, 99, 104910. [Google Scholar] [CrossRef]
- Ferraro, F.R.; Muehlenkamp, J.J.; Paintner, A.; Wasson, K.; Hager, T.; Hoverson, F. Aging, Body Image, and Body Shape. J. Gen. Psychol. 2008, 135, 379–392. [Google Scholar] [CrossRef] [PubMed]
- Foody, G.M. Status of land cover classification accuracy assessment. Remote Sens. Environ. 2002, 80, 185–201. [Google Scholar] [CrossRef]
- Shemshadi, A.; Shirazi, H.; Toreihi, M.; Tarokh, M.J. A fuzzy VIKOR method for supplier selection based on entropy measure for objective weighting. Expert Syst. Appl. 2011, 38, 12160–12167. [Google Scholar] [CrossRef]
- Chen, P.Y. Effects of the entropy weight on TOPSIS. Remote Sens. Environ. 2021, 168, 114186. [Google Scholar] [CrossRef]
- Zhou, M.; Liu, X.B.; Yang, J.B.; Chen, Y.W.; Wu, J. Evidential reasoning approach with multiple kinds of attributes and en-tropy-based weight assignment. Knowl. -Based Syst. 2019, 163, 358–375. [Google Scholar] [CrossRef]
- Hori, S.; Shimizu, Y. Designing methods of human interface for supervisory control systems. Control Eng. Pract. 1999, 7, 1413–1419. [Google Scholar] [CrossRef]
- Si, S.L.; You, X.Y.; Liu, H.C.; Zhang, P. DEMATEL Technique: A Systematic Review of the State-of-the-Art Literature on Methodologies and Applications. Math. Probl. Eng. 2018, 2018, 3696457. [Google Scholar] [CrossRef]
- Zhou, Q.; Huang, W.L.; Zhang, Y. Identifying critical success factors in emergency management using a fuzzy DEMATEL method. Saf. Sci. 2011, 49, 243–252. [Google Scholar] [CrossRef]
- Zhang, W.Q.; Deng, Y. Combining conflicting evidence using the DEMATEL method. Soft Comput. 2019, 23, 8207–8216. [Google Scholar] [CrossRef]
- Wu, H.H.; Chang, S.Y. A case study of using DEMATEL method to identify critical factors in green supply chain management. Appl. Math. Comput. 2015, 256, 394–403. [Google Scholar] [CrossRef]
- Kwartnik-Pruc, A.; Ginda, G.; Trembecka, A. Using the DEMATEL Method to Identify Impediments to the Process of Deter-mining Compensation for Expropriated Properties. Land 2022, 11, 693. [Google Scholar] [CrossRef]
- Matzler, K.; Hinterhuber, H.H. How to make product development projects more successful by integrating Kano’s model of customer satisfaction into quality function deployment. Technovation 1998, 18, 25–38. [Google Scholar] [CrossRef]
- Xu, Q.L.; Jiao, R.J.; Yang, X.; Helander, M.; Khalid, H.M.; Opperud, A. An analytical Kano model for customer need analysis. Design Stud. 2009, 30, 87–110. [Google Scholar] [CrossRef]
- Liu, Y.; Wang, W.W. Research on Quality Evaluation of Product Interactive Aging Design Based on Kano Model. Comput. Intell. Neurosci. 2022, 2022, 3869087. [Google Scholar] [CrossRef]
- Geng, X.L.; Chu, X.N. A new importance-performance analysis approach for customer satisfaction evaluation supporting PSS design. Expert Syst. Appl. 2012, 39, 1492–1502. [Google Scholar] [CrossRef]
- Deng, L.J.; Romainoor, N.H.; Zhang, B.L. Evaluation of the Usage Requirements of Hospital Signage Systems Based on the Kano Model. Sustainability 2023, 15, 4972. [Google Scholar] [CrossRef]
- Behzadian, M.; Otaghsara, S.K.; Yazdani, M.; Ignatius, J. A state-of the-art survey of TOPSIS applications. Expert Syst. Appl. 2012, 39, 13051–13069. [Google Scholar] [CrossRef]
- Du, S. Hybrid Kano-DEMATEL-TOPSIS model based benefit distribution of multiple logistics service providers considering consumer service evaluation of segmented task. Expert Syst. Appl. 2023, 213, 119292. [Google Scholar] [CrossRef]
- Kovacs, N.; Liska, O.; Idara-Umoren, E.O.; Mahrouseh, N.; Varga, O. Trends in dental care utilisation among the elderly using longitudinal data from 14 European countries: A multilevel analysis. PLoS ONE 2023, 38, e0286192. [Google Scholar] [CrossRef] [PubMed]
- Wang, W.J.; Durst, N.J. Planning for active aging: Exploring housing preferences of elderly populations in the United States. J. Hous. Built Environ. 2022, 38, 795–809. [Google Scholar] [CrossRef]
- Sallnow, L.; Paul, S. Understanding community engagement in end-of-life care: Developing conceptual clarity. J. Crit. Public Health 2015, 25, 231–238. [Google Scholar] [CrossRef]
- Zhou, Y.R.; Zhang, X. The Experience and Enlightenment of the Community-Based Long-Term Care in Japan. Healthcare 2022, 10, 1599. [Google Scholar] [CrossRef]










| Goal Oriented | Doctrine | Dimension | Extension Indicator | Cronbach’s α | Reference |
|---|---|---|---|---|---|
| Validation of the Urban Community Age-Friendly Renewal Program | Social System | People | Public Participation Level (A) | 0.736 | Jones et al. [18] Bovaird [19] |
| Structure | Public Ancillary Facilities (B) | 0.758 | Bennett et al. [20] Baek et al. [21] | ||
| Ecological System | Natural Resource | Green Space Layout (C) | 0.731 | Douglas et al. [22] Chen et al. [23] | |
| Environment | Living Environment Building (D) | 0.745 | Frost et al. [24] Yu et al. [25] | ||
| Technical System | Task | Health Service Support (E) | 0.713 | Mancini [26] Sen et al. [27] | |
| Technology | Accessible Design (F) | 0.769 | Ma et al. [28] Guo et al. [29] |
| Sample | People | Structure | Natural Resource | Environment | Task | Technology |
|---|---|---|---|---|---|---|
| Sincerity Community (C1) | ![]() | ![]() | ![]() | ![]() | ![]() | ![]() |
| Red Plum Community (C2) | ![]() | ![]() | ![]() | ![]() | ![]() | ![]() |
| Red Light Community (C3) | ![]() | ![]() | ![]() | ![]() | ![]() | ![]() |
| Promoting Community (C4) | ![]() | ![]() | ![]() | ![]() | ![]() | ![]() |
| Round Mountain Community (C5) | ![]() | ![]() | ![]() | ![]() | ![]() | ![]() |
| Seaview Garden Community (C6) | ![]() | ![]() | ![]() | ![]() | ![]() | ![]() |
| Indicator Level | Age-Friendly Community Sample | |||||
|---|---|---|---|---|---|---|
| C1 | C2 | C3 | C4 | C5 | C6 | |
| A | 7.4 | 7.6 | 7.8 | 7.8 | 8.0 | 7.2 |
| B | 8.2 | 7.6 | 7.6 | 7.8 | 7.4 | 8.0 |
| C | 7.8 | 8.0 | 7.8 | 7.4 | 8.2 | 7.8 |
| D | 8.2 | 7.4 | 7.2 | 8.0 | 7.8 | 8.0 |
| E | 7.6 | 7.8 | 8.0 | 7.4 | 7.2 | 8.2 |
| F | 8.0 | 7.8 | 7.6 | 8.0 | 7.6 | 8.0 |
| Indicator Level | Age-Friendly Community Sample | |||||
|---|---|---|---|---|---|---|
| C1 | C2 | C3 | C4 | C5 | C6 | |
| A | 0.396 | 0.406 | 0.417 | 0.417 | 0.428 | 0.385 |
| B | 0.431 | 0.399 | 0.399 | 0.410 | 0.389 | 0.420 |
| C | 0.406 | 0.417 | 0.406 | 0.385 | 0.427 | 0.406 |
| D | 0.431 | 0.389 | 0.378 | 0.420 | 0.410 | 0.420 |
| E | 0.403 | 0.413 | 0.424 | 0.392 | 0.381 | 0.434 |
| F | 0.417 | 0.406 | 0.396 | 0.417 | 0.396 | 0.417 |
| Index-Level Indicators | A | B | C | D | E | F |
|---|---|---|---|---|---|---|
| Information Entropy Value | 0.8511 | 0.8196 | 0.8736 | 0.8449 | 0.8316 | 0.7548 |
| Weight Value | 0.1489 | 0.1804 | 0.1264 | 0.1551 | 0.1684 | 0.2452 |
| Evaluation Indicators | A | B | C | D | E | F |
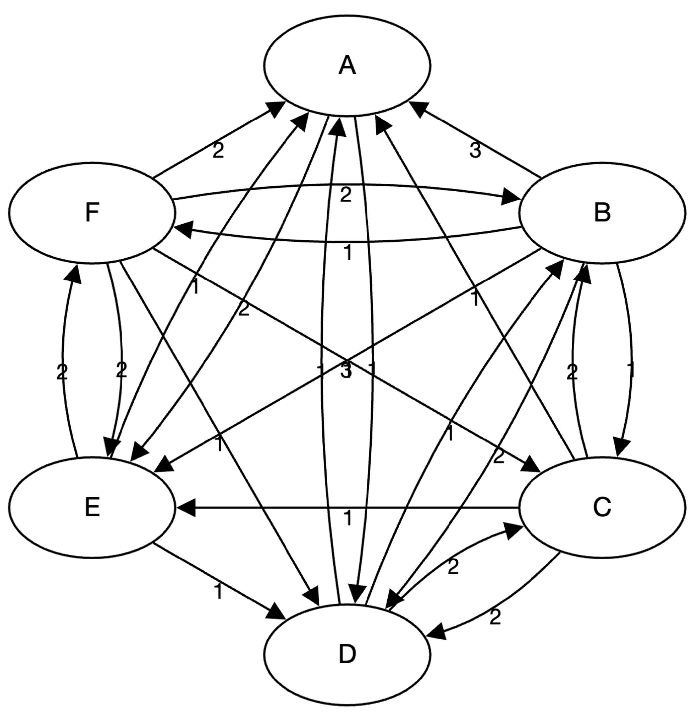
|---|---|---|---|---|---|---|
| A | 0 | 0 | 0 | 1 | 2 | 0 |
| B | 3 | 0 | 1 | 2 | 1 | 1 |
| C | 1 | 2 | 0 | 2 | 1 | 0 |
| D | 1 | 1 | 2 | 0 | 0 | 0 |
| E | 1 | 0 | 0 | 1 | 0 | 2 |
| F | 2 | 2 | 3 | 1 | 2 | 0 |
| Evaluation Indicators | Mi | Ni | Ci | Ri | Di |
|---|---|---|---|---|---|
| A | 0.578 | 1.637 | 2.215 | −1.058 | 0.152 |
| B | 1.575 | 1.022 | 2.597 | 0.553 | 0.178 |
| C | 1.242 | 1.200 | 2.442 | 0.041 | 0.167 |
| D | 0.864 | 1.502 | 2.366 | −0.638 | 0.162 |
| E | 0.961 | 1.281 | 2.242 | −0.321 | 0.154 |
| F | 2.082 | 0.658 | 2.74 | 1.423 | 0.188 |
| Evaluation Indicators | A | O | M | I | Total | Kano Category |
|---|---|---|---|---|---|---|
| A | 122 | 166 | 185 | 79 | 552 | M |
| B | 137 | 215 | 119 | 81 | 552 | O |
| C | 145 | 150 | 198 | 59 | 552 | M |
| D | 112 | 149 | 226 | 65 | 552 | M |
| E | 129 | 171 | 204 | 48 | 552 | M |
| F | 233 | 158 | 107 | 54 | 552 | A |
| Indicator-Level Indicators | A | B | C | D | E | F |
|---|---|---|---|---|---|---|
| Weight value | 0.1 | 0.2 | 0.1 | 0.1 | 0.1 | 0.4 |
| Indicator-Level Indicators | A | B | C | D | E | F |
|---|---|---|---|---|---|---|
| Weight value | 0.0659 | 0.1870 | 0.0615 | 0.0732 | 0.0755 | 0.5370 |
| Evaluation Indicators | Age-Friendly Community Sample | |||||
|---|---|---|---|---|---|---|
| C1 | C2 | C3 | C4 | C5 | C6 | |
| A | 0.026 | 0.027 | 0.027 | 0.027 | 0.028 | 0.025 |
| B | 0.081 | 0.075 | 0.075 | 0.077 | 0.073 | 0.079 |
| C | 0.025 | 0.026 | 0.025 | 0.024 | 0.026 | 0.025 |
| D | 0.031 | 0.028 | 0.028 | 0.031 | 0.030 | 0.031 |
| E | 0.030 | 0.031 | 0.032 | 0.030 | 0.029 | 0.033 |
| F | 0.224 | 0.218 | 0.213 | 0.224 | 0.213 | 0.224 |
| Euclidean Distance and Nearness Degree | Age-Friendly Community Sample | |||||
|---|---|---|---|---|---|---|
| C1 | C2 | C3 | C4 | C5 | C6 | |
| 0.003 | 0.009 | 0.013 | 0.006 | 0.014 | 0.004 | |
| 0.014 | 0.007 | 0.004 | 0.012 | 0.004 | 0.014 | |
| 0.807 | 0.434 | 0.252 | 0.683 | 0.237 | 0.785 | |
| Rank | 1 | 4 | 5 | 3 | 6 | 2 |
| Nearness Degree | Empowerment Methods | Age-Friendly Community Sample | |||||
|---|---|---|---|---|---|---|---|
| C1 | C2 | C3 | C4 | C5 | C6 | ||
| Sample Collection Score | M1 | 0.685 | 0.458 | 0.367 | 0.596 | 0.380 | 0.675 |
| M2 | 0.655 | 0.436 | 0.416 | 0.523 | 0.408 | 0.664 | |
| M3 | 0.78 | 0.433 | 0.28 | 0.662 | 0.261 | 0.764 | |
| M4 | 0.821 | 0.438 | 0.285 | 0.698 | 0.278 | 0.807 | |
| M5 | 0.807 | 0.434 | 0.252 | 0.683 | 0.237 | 0.785 | |
| Normalization | M1 | 0.22 | 0.14 | 0.12 | 0.19 | 0.12 | 0.21 |
| M2 | 0.21 | 0.14 | 0.13 | 0.17 | 0.13 | 0.21 | |
| M3 | 0.25 | 0.14 | 0.09 | 0.21 | 0.08 | 0.24 | |
| M4 | 0.25 | 0.13 | 0.09 | 0.21 | 0.08 | 0.24 | |
| M5 | 0.25 | 0.14 | 0.08 | 0.21 | 0.07 | 0.25 | |
| Preferred Ranking of Options | M1 | 1 | 4 | 6 | 3 | 5 | 2 |
| M2 | 1 | 4 | 5 | 3 | 6 | 2 | |
| M3 | 1 | 4 | 5 | 3 | 6 | 2 | |
| M4 | 1 | 4 | 5 | 3 | 6 | 2 | |
| M5 | 1 | 4 | 5 | 3 | 6 | 2 | |
| Empowerment Methods | A | B | C | D | E | F |
|---|---|---|---|---|---|---|
| M1 | 0.1453 | 0.1761 | 0.1234 | 0.1514 | 0.1643 | 0.2394 |
| M2 | 0.1308 | 0.1856 | 0.1220 | 0.1452 | 0.1499 | 0.2665 |
| M3 | 0.0767 | 0.1859 | 0.0651 | 0.0799 | 0.0868 | 0.5055 |
| M4 | 0.0659 | 0.1870 | 0.0615 | 0.0732 | 0.0755 | 0.5370 |
Disclaimer/Publisher’s Note: The statements, opinions and data contained in all publications are solely those of the individual author(s) and contributor(s) and not of MDPI and/or the editor(s). MDPI and/or the editor(s) disclaim responsibility for any injury to people or property resulting from any ideas, methods, instructions or products referred to in the content. |
© 2024 by the authors. Licensee MDPI, Basel, Switzerland. This article is an open access article distributed under the terms and conditions of the Creative Commons Attribution (CC BY) license (https://creativecommons.org/licenses/by/4.0/).
Share and Cite
Zeng, H.; Zhu, J.; Lin, H.; Fan, P.; Qiu, T. Evaluation of Age-Friendly Retrofits for Urban Communities in China Using a Social–Ecological–Technological Systems Framework. Buildings 2024, 14, 2074. https://doi.org/10.3390/buildings14072074
Zeng H, Zhu J, Lin H, Fan P, Qiu T. Evaluation of Age-Friendly Retrofits for Urban Communities in China Using a Social–Ecological–Technological Systems Framework. Buildings. 2024; 14(7):2074. https://doi.org/10.3390/buildings14072074
Chicago/Turabian StyleZeng, Hui, Jinwei Zhu, Hanxi Lin, Peiyi Fan, and Ting Qiu. 2024. "Evaluation of Age-Friendly Retrofits for Urban Communities in China Using a Social–Ecological–Technological Systems Framework" Buildings 14, no. 7: 2074. https://doi.org/10.3390/buildings14072074
APA StyleZeng, H., Zhu, J., Lin, H., Fan, P., & Qiu, T. (2024). Evaluation of Age-Friendly Retrofits for Urban Communities in China Using a Social–Ecological–Technological Systems Framework. Buildings, 14(7), 2074. https://doi.org/10.3390/buildings14072074





































