Revealing Urban Color Patterns via Drone Aerial Photography—A Case Study in Urban Hangzhou, China
Abstract
1. Introduction
2. Materials and Methods
2.1. Study Area
2.2. The Collection of Urban Color
2.3. Image Preprocessing
2.4. Color Extraction
2.5. Random Walk Model in a Transportation Network
2.6. Origin–Destination Trip Model
2.7. Correlation Analysis
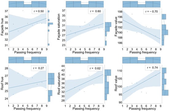
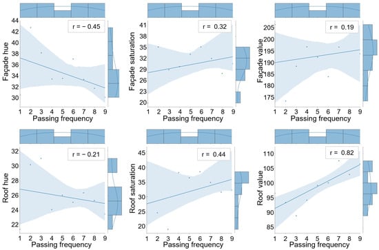
3. Results
4. Discussion
5. Future Recommendations
6. Conclusions
Author Contributions
Funding
Institutional Review Board Statement
Informed Consent Statement
Data Availability Statement
Conflicts of Interest
References
- Jung, C.; Mahmoud, N.S.A.; El Samanoudy, G.; Al Qassimi, N. Evaluating the color preferences for elderly depression in the United Arab Emirates. Buildings 2022, 12, 234. [Google Scholar] [CrossRef]
- Wan, J.; Zhou, Y.; Li, Y.; Su, Y.; Cao, Y.; Zhang, L.; Ying, L.; Deng, W. Research on color space perceptions and restorative effects of blue space based on color psychology: Examination of the yijie district of dujiangyan city as an example. Int. J. Environ. Res. Public Health 2020, 17, 3137. [Google Scholar] [CrossRef]
- Xu, Z.; Zheng, X. Roadmap of moving urban colour toward cultural sustainability in China. Color Res. Appl. 2021, 46, 222–239. [Google Scholar] [CrossRef]
- Boeri, C. Color loci placemaking: The urban color between needs of continuity and renewal. Color Res. Appl. 2017, 42, 641–649. [Google Scholar] [CrossRef]
- Gou, A.; Wang, J. Research on the location characters of urban color plan in China. Color Res. Appl. 2008, 33, 68–76. [Google Scholar] [CrossRef]
- Dong, X.; Kong, Y. Urban Colourscape Planning: A Colour Study of the Architecture of Karlskrona. In Urban Colourscape Planning; Blekinge Institute of Technology: Karlskrona, Sweden, 2019. [Google Scholar]
- Gou, A. Method of urban color plan based on spatial configuration. Color Res. Appl. 2013, 38, 65–72. [Google Scholar] [CrossRef]
- Nowghabi, A.S.; Talebzadeh, A. Psychological influence of advertising billboards on city sight. Civ. Eng. J. 2019, 5, 390–397. [Google Scholar] [CrossRef]
- Ma, B.; Hauer, R.J.; Xu, C. Effects of design proportion and distribution of color in urban and suburban green space planning to visual aesthetics quality. Forests 2020, 11, 278. [Google Scholar] [CrossRef]
- Odetti, J.V. The study of color as a component of urban cultural construction: A theoretical reflection and methodological proposal. Color Res. Appl. 2023, 48, 453–467. [Google Scholar] [CrossRef]
- Wang, J.; Zhang, L.; Gou, A. Study of the color characteristics of residential buildings in Shanghai. Color Res. Appl. 2021, 46, 240–257. [Google Scholar] [CrossRef]
- Peng, Z.; Sun, H.; Pan, D.; Tao, W.; Zeng, F.; Yang, J.; Wang, H. The Use of Quantitative Methods to Study the Colours of Mani Heaps in Tibet: A Dêngqên County Case Study. Int. J. Humanit. Arts Comput. 2021, 15, 152–169. [Google Scholar] [CrossRef]
- Mu, Y.; Lin, W.; Diao, X.; Zhang, Z.; Wang, J.; Lu, Z.; Guo, W.; Wang, Y.; Hu, C.; Zhao, C. Implementation of the visual aesthetic quality of slope forest autumn color change into the configuration of tree species. Sci. Rep. 2022, 12, 1034. [Google Scholar] [CrossRef]
- Yang, J.; Wang, X.R.; Zhao, Y. Leaf color attributes of urban colored-leaf plants. Open Geosci. 2022, 14, 1591–1605. [Google Scholar] [CrossRef]
- Naige, C.; Xiaofan, X.; Minghong, T.; Xianming, W. A Spatial Analysis of Urban Color Harmony in Five Global Metropolises. J. Resour. Ecol. 2022, 13, 238–246. [Google Scholar] [CrossRef]
- Zhong, T.; Ye, C.; Wang, Z.; Tang, G.; Zhang, W.; Ye, Y. City-scale mapping of urban façade color using street-view imagery. Remote. Sens. 2021, 13, 1591. [Google Scholar] [CrossRef]
- Gou, A.; Wang, J. A comparison between wishes and status: Gray is not the preference for residents while the city shows neutral colors. Color Res. Appl. 2017, 42, 650–663. [Google Scholar] [CrossRef]
- Li, K.R.; Yang, Y.Q.; Zheng, Z.Q. Research on color harmony of building façades. Color Res. Appl. 2020, 45, 105–119. [Google Scholar] [CrossRef]
- Zhou, Z.; Zhong, T.; Liu, M.; Ye, Y. Evaluating building color harmoniousness in a historic district intelligently: An algorithm-driven approach using street-view images. Environ. Plan. Urban Anal. City Sci. 2023, 50, 1838–1857. [Google Scholar] [CrossRef]
- Zhang, L.; Cheng, Y.; Ma, L. A Quantitative Study on the Colour of City Landmark Landscape Architectures. In Journal of Physics: Conference Series; IOP Publishing: Bristol, UK, 2019; Volume 1288, p. 012011. [Google Scholar]
- Yang, M. Investigating seasonal color change in the environment by color analysis and information visualization. Color Res. Appl. 2020, 45, 503–511. [Google Scholar] [CrossRef]
- Shen, S.; Yao, Y.; Li, C. Quantitative study on landscape colors of plant communities in urban parks based on natural color system and M-S theory in Nanjing, China. Color Res. Appl. 2022, 47, 152–163. [Google Scholar] [CrossRef]
- Riascos, A.P.; Mateos, J.L. Random walks on weighted networks: A survey of local and non-local dynamics. J. Complex Netw. 2021, 9, cnab032. [Google Scholar] [CrossRef]
- Yamamoto, T.; Takamura, S.; Morikawa, T. Structured random walk parameter for heterogeneity in trip distance on modeling pedestrian route choice behavior at downtown area. Travel Behav. Soc. 2018, 11, 93–100. [Google Scholar] [CrossRef]
- Shaikh, S.; Talpur, M.A.H.; Baig, F.; Tariq, F.; Khahro, S.H. Adoption of Electric Motorcycles in Pakistan: A Technology Acceptance Model Perspective. World Electr. Veh. J. 2023, 14, 278. [Google Scholar] [CrossRef]
- Gordon, J.B.; Koutsopoulos, H.N.; Wilson, N.H. Estimation of population origin–interchange–destination flows on multimodal transit networks. Transp. Res. Part C Emerg. Technol. 2018, 90, 350–365. [Google Scholar] [CrossRef]
- Farahani, R.Z.; Miandoabchi, E.; Szeto, W.Y.; Rashidi, H. A review of urban transportation network design problems. Eur. J. Oper. Res. 2013, 229, 281–302. [Google Scholar] [CrossRef]
- Noh, J.D.; Rieger, H. Random walks on complex networks. Phys. Rev. Lett. 2004, 92, 118701. [Google Scholar] [CrossRef]
- Zhong, C.; Arisona, S.M.; Huang, X.; Batty, M.; Schmitt, G. Detecting the dynamics of urban structure through spatial network analysis. Int. J. Geogr. Inf. Sci. 2014, 28, 2178–2199. [Google Scholar] [CrossRef]
- Mohammed, M.; Oke, J. Origin-destination inference in public transportation systems: A comprehensive review. Int. J. Transp. Sci. Technol. 2023, 12, 315–328. [Google Scholar] [CrossRef]
- Bhellar, M.G.; Talpur, M.A.H.; Khahro, S.H.; Ali, T.H.; Javed, Y. Visualizing Travel Accessibility in a Congested City Center: A GIS-Based Isochrone Model and Trip Rate Analysis Considering Sustainable Transportation Solutions. Sustainability 2023, 15, 16499. [Google Scholar] [CrossRef]
- Talpur, M.A.H.; Khahro, S.H.; Ali, T.H.; Waseem, H.B.; Napiah, M. Computing travel impendences using trip generation regression model: A phenomenon of travel decision-making process of rural households. Environ. Dev. Sustain. 2023, 25, 5973–5996. [Google Scholar] [CrossRef]
- Qian, Z. Hangzhou. Cities 2015, 48, 42–54. [Google Scholar] [CrossRef]
- Yao, L.; Li, X.; Zheng, R.; Zhang, Y. The impact of air pollution perception on urban settlement intentions of young talent in China. Int. J. Environ. Res. Public Health 2022, 19, 1080. [Google Scholar] [CrossRef]
- Liu, Q.; Tang, X.; Li, K. Do Historic Landscape Images Predict Tourists’ Spatio-Temporal Behavior at Heritage Sites? A Case Study of West Lake in Hangzhou, China. Land 2022, 11, 1643. [Google Scholar] [CrossRef]
- Tai, Z.; Ye, L.; Wang, Z. How can mega-events contribute to urban tourism in developing countries? A case study of the 2016 G20 Summit in Hangzhou, China. Int. Plan. Stud. 2023, 28, 268–280. [Google Scholar] [CrossRef]
- Zhang, S.; Guo, Y.; Wang, Z. Correlation between flood frequency and geomorphologic complexity of rivers network–a case study of Hangzhou China. J. Hydrol. 2015, 527, 113–118. [Google Scholar] [CrossRef]
- Sun, D.; Hu, C.; Wang, Y.; Wang, Z.; Zhang, J. Examining spatio-temporal characteristics of urban heat islands and factors driving them in Hangzhou, China. IEEE J. Sel. Top. Appl. Earth Obs. Remote. Sens. 2021, 14, 8316–8325. [Google Scholar] [CrossRef]
- Bao, J.; Xu, L.; Shi, Y.; Ma, Q.; Lu, Z. The Influence of Street Morphology on Thermal Environment Based on ENVI-met Simulation: A Case Study of Hangzhou Core Area, China. ISPRS Int. J. -Geo-Inf. 2023, 12, 303. [Google Scholar] [CrossRef]
- O’Connor, Z. Façade colour and judgements about building size and congruity. J. Urban Des. 2011, 16, 397–404. [Google Scholar] [CrossRef]
- Rakha, T.; Gorodetsky, A. Review of Unmanned Aerial System (UAS) applications in the built environment: Towards automated building inspection procedures using drones. Autom. Constr. 2018, 93, 252–264. [Google Scholar] [CrossRef]
- Kuang, Q.; Wu, J.; Pan, J.; Zhou, B. Real-time UAV path planning for autonomous urban scene reconstruction. In Proceedings of the 2020 IEEE International Conference on Robotics and Automation (ICRA), Paris, France, 31 May–31 August 2020; pp. 1156–1162. [Google Scholar]
- Daftry, S.; Hoppe, C.; Bischof, H. Building with drones: Accurate 3D facade reconstruction using MAVs. In Proceedings of the 2015 IEEE International Conference on Robotics and Automation (ICRA), Seattle, WA, USA, 26–30 May 2015; pp. 3487–3494. [Google Scholar]
- Ricchiardi, S. Distorted picture: Thanks to Photoshop, it’s awfully easy to manipulate photographs, as a number of recent scandals make painfully clear. Misuse of the technology poses a serious threat to photojournalism’s credibility. Am. Journal. Rev. 2007, 29, 36–44. [Google Scholar]
- Vonikakis, V.; Kouskouridas, R.; Gasteratos, A. On the evaluation of illumination compensation algorithms. Multimed. Tools Appl. 2018, 77, 9211–9231. [Google Scholar] [CrossRef]
- Bittner, K.; Cui, S.; Reinartz, P. Building extraction from remote sensing data using fully convolutional networks. Int. Arch. Photogramm. Remote. Sens. Spat. Inf. Sci. 2017, 42, 481–486. [Google Scholar] [CrossRef]
- Chen, J.; Wang, G.; Luo, L.; Gong, W.; Cheng, Z. Building area estimation in drone aerial images based on mask R-CNN. IEEE Geosci. Remote. Sens. Lett. 2020, 18, 891–894. [Google Scholar] [CrossRef]
- Jung, H.; Choi, H.S.; Kang, M. Boundary enhancement semantic segmentation for building extraction from remote sensed image. IEEE Trans. Geosci. Remote. Sens. 2021, 60, 1–12. [Google Scholar] [CrossRef]
- Idri, A.; Oukarfi, M.; Boulmakoul, A.; Zeitouni, K.; Masri, A. A new time-dependent shortest path algorithm for multimodal transportation network. Procedia Comput. Sci. 2017, 109, 692–697. [Google Scholar] [CrossRef]
- Pandey, S. Principles of correlation and regression analysis. J. Pract. Cardiovasc. Sci. 2020, 6, 7–11. [Google Scholar]
- Kaya, N.; Crosby, M. Color associations with different building types: An experimental study on American college students. Color Res. Appl. 2006, 31, 67–71. [Google Scholar] [CrossRef]
- Samavatekbatan, A.; Gholami, S.; Karimimoshaver, M. Assessing the visual impact of physical features of tall buildings: Height, top, color. Environ. Impact Assess. Rev. 2016, 57, 53–62. [Google Scholar] [CrossRef]
- Chang, Y.H.; Huang, P.H.; Wu, B.Y.; Chang, S.W. A study on the color change benefits of sustainable green building materials. Constr. Build. Mater. 2015, 83, 1–6. [Google Scholar] [CrossRef]
- Aste, N.; Leonforte, F.; Piccolo, A. Color rendering performance of smart glazings for building applications. Sol. Energy 2018, 176, 51–61. [Google Scholar] [CrossRef]











Disclaimer/Publisher’s Note: The statements, opinions and data contained in all publications are solely those of the individual author(s) and contributor(s) and not of MDPI and/or the editor(s). MDPI and/or the editor(s) disclaim responsibility for any injury to people or property resulting from any ideas, methods, instructions or products referred to in the content. |
© 2024 by the authors. Licensee MDPI, Basel, Switzerland. This article is an open access article distributed under the terms and conditions of the Creative Commons Attribution (CC BY) license (https://creativecommons.org/licenses/by/4.0/).
Share and Cite
Li, R.; Wu, M. Revealing Urban Color Patterns via Drone Aerial Photography—A Case Study in Urban Hangzhou, China. Buildings 2024, 14, 546. https://doi.org/10.3390/buildings14020546
Li R, Wu M. Revealing Urban Color Patterns via Drone Aerial Photography—A Case Study in Urban Hangzhou, China. Buildings. 2024; 14(2):546. https://doi.org/10.3390/buildings14020546
Chicago/Turabian StyleLi, Rushi, and Mincheng Wu. 2024. "Revealing Urban Color Patterns via Drone Aerial Photography—A Case Study in Urban Hangzhou, China" Buildings 14, no. 2: 546. https://doi.org/10.3390/buildings14020546
APA StyleLi, R., & Wu, M. (2024). Revealing Urban Color Patterns via Drone Aerial Photography—A Case Study in Urban Hangzhou, China. Buildings, 14(2), 546. https://doi.org/10.3390/buildings14020546
