The Consequences of Dimension Reduction for Open Graded Friction Course (OGFC) Asphalt Mixtures: Morphological Characteristics and Finite Element Model (FEM) Simulation
Abstract
1. Introduction
2. Characterization of 2D Models
2.1. Morphological Analysis of 2D Models
2.2. Image Similarity Estimation among Different 2D Models
2.2.1. Cosine Similarity of Images
2.2.2. Structural Similarity Index Measure (SSIM)
3. Finite Element Modeling of 2D Images
3.1. Model Construction Using Digital Image Processing (DIP)
3.2. Constitutive Models Used for Simulation
3.3. Simulation of an Indirect Tensile Test
4. Results and Discussion
4.1. Morphological Characteristics of 2D Images
4.1.1. Phase Compositions
4.1.2. Particle Area Distribution
4.1.3. Aspect Ratio
4.1.4. Summary of Our Morphological Analysis of the 2D Images
4.2. Image Similarity Matrixes
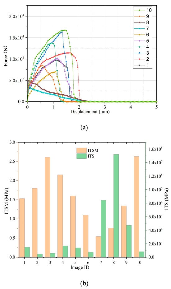
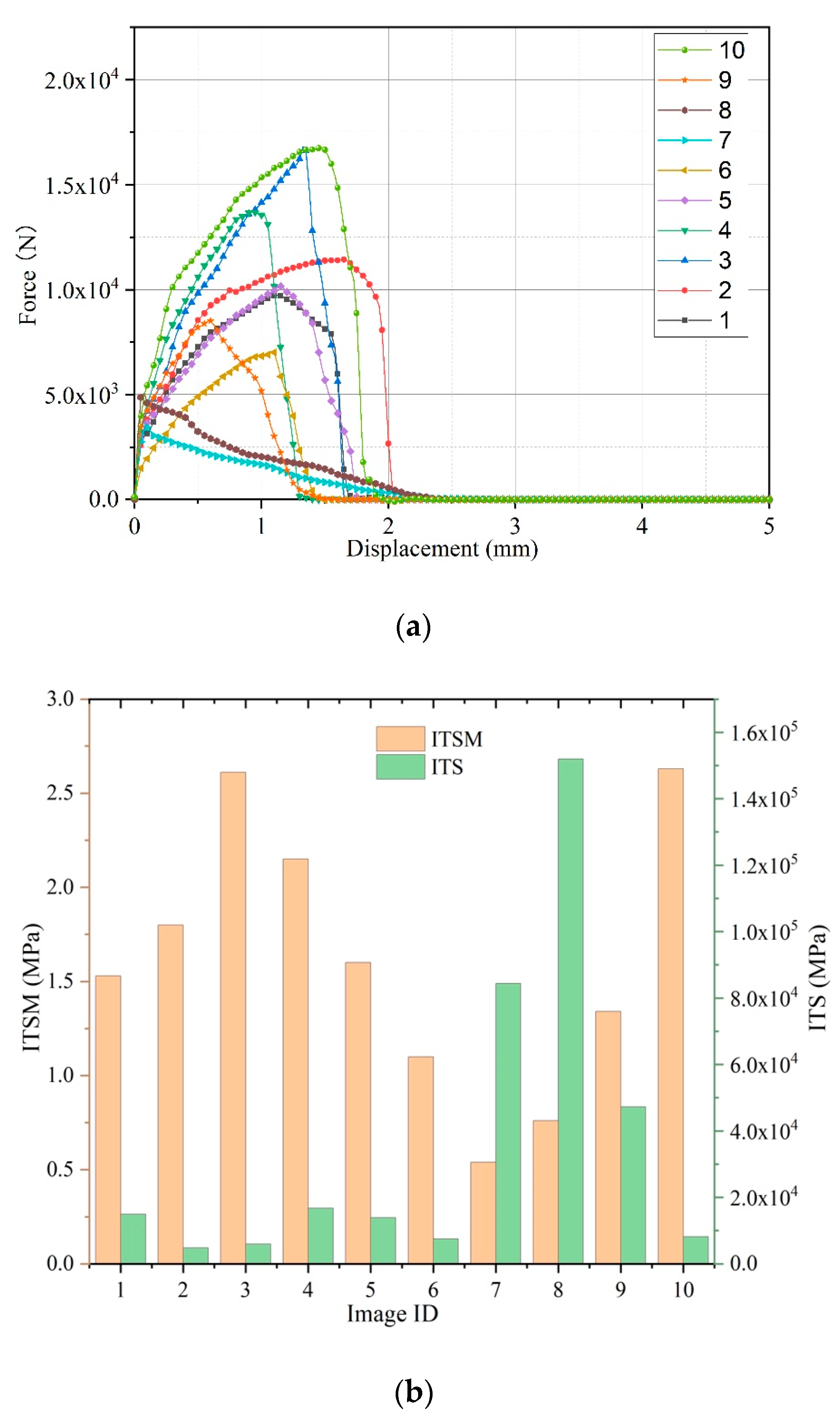
4.3. Variation Analysis Based on 2D FE Simulation Results
4.3.1. Stress Distribution Pattern
4.3.2. Force–Strain Curves
5. Conclusions
Author Contributions
Funding
Data Availability Statement
Conflicts of Interest
References
- Wu, J.; Liu, Q.; Wang, Y.; Chen, J.; Wang, D.; Xie, L.; Ago, C. Effect of Mixing Time and Temperature on the Homogeneity of Asphalt Mixtures Containing Reclaimed Asphalt Pavement Material. Transp. Res. Rec. 2018, 2672, 167–177. [Google Scholar] [CrossRef]
- Liu, P.; Xing, Q.; Wang, D.; Oeser, M. Application of Linear Viscoelastic Properties in Semianalytical Finite Element Method with Recursive Time Integration to Analyze Asphalt Pavement Structure. Adv. Civ. Eng. 2018, 2018, 9045820. [Google Scholar] [CrossRef]
- Ling, C.; Arshadi, A.; Bahia, H. Importance of binder modification type and aggregate structure on rutting resistance of asphalt mixtures using image-based multi-scale modelling. Road Mater. Pavement Des. 2017, 18, 785–799. [Google Scholar] [CrossRef]
- Wang, X.; Zhang, J.; Li, K.; Ding, Y.; Geng, L. Cracking Analysis of Asphalt Mixture Using Semi-circle Bending Method. Iran. J. Sci. Technol. Trans. Civ. Eng. 2021, 45, 269–279. [Google Scholar] [CrossRef]
- Board, T.R. National Academies of Sciences, Engineering, and Medicine. Top-Down Cracking of Hot-Mix Asphalt Layers: Models for Initiation and Propagation; The National Academies Press: Washington, DC, USA, 2010. [Google Scholar]
- Ameri, M.; Mansourian, A.; Heidary Khavas, M.; Aliha, M.R.M.; Ayatollahi, M.R. Cracked asphalt pavement under traffic loading—A 3D finite element analysis. Eng. Fract. Mech. 2011, 78, 1817–1826. [Google Scholar] [CrossRef]
- Wang, H.; Ozer, H.; Al-Qadi, I.L.; Duarte, C.A. Analysis of Near-Surface Cracking under Critical Loading Conditions Using Uncracked and Cracked Pavement Models. J. Transp. Eng. 2013, 139, 992–1000. [Google Scholar] [CrossRef]
- Dinegdae, Y.H.; Birgisson, B. Effects of truck traffic on top-down fatigue cracking performance of flexible pavements using a new mechanics-based analysis framework. Road Mater. Pavement Des. 2018, 19, 182–200. [Google Scholar] [CrossRef]
- Yin, A.; Yang, X.; Zhang, C.; Zeng, G.; Yang, Z. Three-dimensional heterogeneous fracture simulation of asphalt mixture under uniaxial tension with cohesive crack model. Constr. Build. Mater. 2015, 76, 103–117. [Google Scholar] [CrossRef]
- Wang, H.; Wang, J.; Chen, J. Micromechanical analysis of asphalt mixture fracture with adhesive and cohesive failure. Eng. Fract. Mech. 2014, 132, 104–119. [Google Scholar] [CrossRef]
- Yin, A.; Yang, X.; Gao, H.; Zhu, H. Tensile fracture simulation of random heterogeneous asphalt mixture with cohesive crack model. Eng. Fract. Mech. 2012, 92, 40–55. [Google Scholar] [CrossRef]
- Rami, K.Z.; Amelian, S.; Kim, Y.-R.; You, T.; Little, D.N. Modeling the 3D fracture-associated behavior of viscoelastic asphalt mixtures using 2D microstructures. Eng. Fract. Mech. 2017, 182, 86–99. [Google Scholar] [CrossRef]
- Coleri, E.; Harvey, J.T.; Yang, K.; Boone, J.M. Development of a micromechanical finite element model from computed tomography images for shear modulus simulation of asphalt mixtures. Constr. Build. Mater. 2012, 30, 783–793. [Google Scholar] [CrossRef]
- Huang, W.; Wang, H.; Yin, Y.; Zhang, X.; Yuan, J. Microstructural Modeling of Rheological Mechanical Response for Asphalt Mixture Using an Image-Based Finite Element Approach. Materials 2019, 12, 2041. [Google Scholar] [CrossRef]
- Liu, P.; Hu, J.; Wang, D.; Oeser, M.; Alber, S.; Ressel, W.; Canon Falla, G. Modelling and evaluation of aggregate morphology on asphalt compression behavior. Constr. Build. Mater. 2017, 133, 196–208. [Google Scholar] [CrossRef]
- Kollmann, J.; Lu, G.; Liu, P.; Xing, Q.; Wang, D.; Oeser, M.; Leischner, S. Parameter optimisation of a 2D finite element model to investigate the microstructural fracture behaviour of asphalt mixtures. Theor. Appl. Fract. Mech. 2019, 103, 102319. [Google Scholar] [CrossRef]
- Sun, Y.; Du, C.; Zhou, C.; Zhu, X.; Chen, J. Analysis of load-induced top-down cracking initiation in asphalt pavements using a two-dimensional microstructure-based multiscale finite element method. Eng. Fract. Mech. 2019, 216, 106497. [Google Scholar] [CrossRef]
- Du, C.; Sun, Y.; Chen, J.; Gong, H.; Wei, X.; Zhang, Z. Analysis of cohesive and adhesive damage initiations of asphalt pavement using a microstructure-based finite element model. Constr. Build. Mater. 2020, 261, 119973. [Google Scholar] [CrossRef]
- Zhao, Y.; Jiang, L.; Jiang, J.; Ni, F. Accuracy Improvement for Two-Dimensional Finite-Element Modeling while Considering Asphalt Mixture Meso-Structure Characteristics in Indirect Tensile Test Simulation. J. Mater. Civ. Eng. 2020, 32, 04020275. [Google Scholar] [CrossRef]
- Masad, E.; Muhunthan, B.; Shashidhar, N.; Harman, T. Internal Structure Characterization of Asphalt Concrete Using Image Analysis. J. Comput. Civ. Eng. 1999, 13, 88–95. [Google Scholar] [CrossRef]
- Hassan, N.; Airey, G.; Khan, R.; Collop, A. Nondestructive characterisation of the effect of asphalt mixture compaction on aggregate orientation and segregation using X-ray computed tomography. Int. J. Pavement Res. Technol. 2012, 5, 84–92. [Google Scholar]
- Xing, C.; Xu, H.; Tan, Y.; Liu, X.; Zhou, C.; Scarpas, T. Gradation measurement of asphalt mixture by X-ray CT images and digital image processing methods. Measurement 2019, 132, 377–386. [Google Scholar] [CrossRef]
- Zegeye Teshale, E. Low-Temperature Fracture Behavior of Asphalt Concrete in Semi-Circular Bend Test. Ph.D. Dissertation, University of Minnesota, Minneapolis, MN, USA, 2012. [Google Scholar]
- Baek, J. Modeling Reflective Cracking Development in Hot-Mix Asphalt Overlays and Quantification of Control Techniques. Ph.D. Thesis, University of Illinois at Urbana-Champaign, Champaign, IL, USA, 2010. [Google Scholar]
- Chakraborty, A.; Ghosh, S.; Mukhopadhyay, P.; Dinara, S.; Bag, A.; Mahata, M.; Kumar, R.; Das, S.; Jana, S.; Majumdar, S.; et al. Trapping Effect Analysis of AlGaN/InGaN/GaN Heterostructure by Conductance-Frequency Measurement. In Proceedings of the MRS Fall Meeting 2015, Boston, MA, USA, 29 November–4 December 2015. [Google Scholar]
- ASTM D7369-11; Standard Test Method for Determining the Resilient Modulus of Bituminous Mixtures by Indirect Tension Test. ASTM International: West Conshohocken, PA, USA, 2011.
- Gu, F.; Watson, D.; Moore, J.; Tran, N. Evaluation of the benefits of open graded friction course: Case study. Constr. Build. Mater. 2018, 189, 131–143. [Google Scholar] [CrossRef]











| Bilinear Cohesive Zone Model | t0 = 3 MPa, G = 2.75 kJ/m2 | ||||
|---|---|---|---|---|---|
| Prony Series with μ = 0.35 | |||||
| i | ρi (s) | Ei (MPa) | i | ρi (s) | Ei (MPa) |
| 1 | 1.00 × 10−7 | 5218.14 | 8 | 1.00 × 100 | 512.63 |
| 2 | 1.00 × 10−6 | 5381.72 | 9 | 1.00 × 101 | 154.93 |
| 3 | 1.00 × 10−5 | 5499.81 | 10 | 1.00 × 102 | 55.72 |
| 4 | 1.00 × 10−4 | 5570.35 | 11 | 1.00 × 103 | 13.97 |
| 5 | 1.00 × 10−3 | 5112.13 | 12 | 1.00 × 104 | 6.79 |
| 6 | 1.00 × 10−2 | 3608.49 | Ee | - | 34.20 |
| 7 | 1.00 × 10−1 | 1489.17 | |||
| AF | CoV | AVF | CoV | ASRA | CoV | ASRAV | CoV | |
| 1 | 53.72 | 7.4% | 2.85 | 46.3% | 1.62 | 6.0% | 1.84 | 68.1% (14.1% *) |
| 2 | 53.4 | 5.84 | 1.95 | 2.09 | ||||
| 3 | 60 | 1.22 | 1.76 | 8.05 * | ||||
| 4 | 56.67 | 2.07 | 1.98 | 2.17 | ||||
| 5 | 57.7 | 2.29 | 1.95 | 1.75 | ||||
| 6 | 53.8 | 1.98 | 1.74 | 2.66 | ||||
| 7 | 50.28 | 2.05 | 1.92 | 2.15 | ||||
| 8 | 58.4 | 3.8 | 1.81 | 1.74 | ||||
| 9 | 45.6 | 2.27 | 1.77 | 2.37 | ||||
| 10 | 55.6 | 2.25 | 1.86 | 1.84 | ||||
| θ (A) | CoV | θ (AV) | CoV | Δ (A) | CoV | Δ (AV) | CoV | |
| 1 | 39.59 | 7.2% | 50.32 | 11.0% | 54.32 | 5.9% | 47.00 | 16.3% |
| 2 | 49.26 | 48.69 | 53.04 | 57.06 | ||||
| 3 | 46.96 | 61.99 | 62.27 | 76.38 | ||||
| 4 | 46.22 | 48.21 | 54.85 | 41.12 | ||||
| 5 | 42.43 | 51.38 | 63.06 | 61.84 | ||||
| 6 | 50.04 | 45.1 | 60.66 | 60.81 | ||||
| 7 | 48.96 | 46.56 | 55.97 | 54.04 | ||||
| 8 | 44.78 | 43.67 | 61.62 | 59.40 | ||||
| 9 | 41.86 | 51.14 | 58.65 | 56.12 | ||||
| 10 | 44.88 | 41.57 | 60.29 | 48.83 |
Disclaimer/Publisher’s Note: The statements, opinions and data contained in all publications are solely those of the individual author(s) and contributor(s) and not of MDPI and/or the editor(s). MDPI and/or the editor(s) disclaim responsibility for any injury to people or property resulting from any ideas, methods, instructions or products referred to in the content. |
© 2024 by the authors. Licensee MDPI, Basel, Switzerland. This article is an open access article distributed under the terms and conditions of the Creative Commons Attribution (CC BY) license (https://creativecommons.org/licenses/by/4.0/).
Share and Cite
Li, K.; Liu, Q.; Tian, Y.; Du, C.; Xu, Z. The Consequences of Dimension Reduction for Open Graded Friction Course (OGFC) Asphalt Mixtures: Morphological Characteristics and Finite Element Model (FEM) Simulation. Buildings 2024, 14, 545. https://doi.org/10.3390/buildings14020545
Li K, Liu Q, Tian Y, Du C, Xu Z. The Consequences of Dimension Reduction for Open Graded Friction Course (OGFC) Asphalt Mixtures: Morphological Characteristics and Finite Element Model (FEM) Simulation. Buildings. 2024; 14(2):545. https://doi.org/10.3390/buildings14020545
Chicago/Turabian StyleLi, Kai, Quan Liu, Yuan Tian, Cong Du, and Zhixiang Xu. 2024. "The Consequences of Dimension Reduction for Open Graded Friction Course (OGFC) Asphalt Mixtures: Morphological Characteristics and Finite Element Model (FEM) Simulation" Buildings 14, no. 2: 545. https://doi.org/10.3390/buildings14020545
APA StyleLi, K., Liu, Q., Tian, Y., Du, C., & Xu, Z. (2024). The Consequences of Dimension Reduction for Open Graded Friction Course (OGFC) Asphalt Mixtures: Morphological Characteristics and Finite Element Model (FEM) Simulation. Buildings, 14(2), 545. https://doi.org/10.3390/buildings14020545
