The Vertical Behaviors of Dissimilar Pile Composite Foundations over Inclined Bedrock
Abstract
1. Introduction
2. Methodology
2.1. Analysis Model
2.2. Cushion
2.3. Fictitious Pile
2.4. Extended Soil
2.5. Governing Integral Equations
- (1)
- Flexible foundation condition
- (2)
- Rigid foundation condition
2.6. Numerical Solution
3. Validation of Proposed Method
3.1. Two Single Pile Field Load Tests
3.2. Vertically Loaded 3 × 1 Dissimilar PCF
4. Case Study
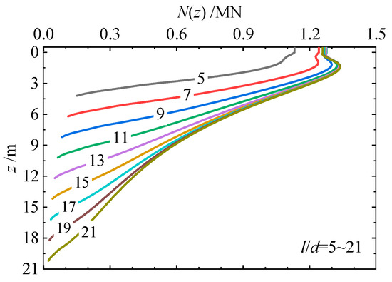
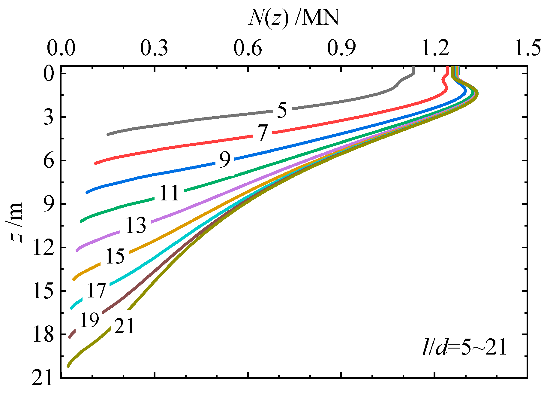
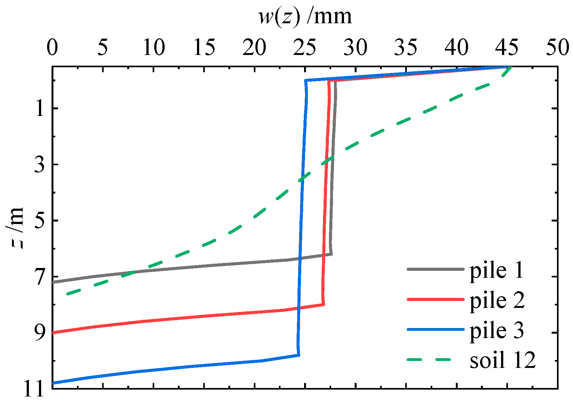
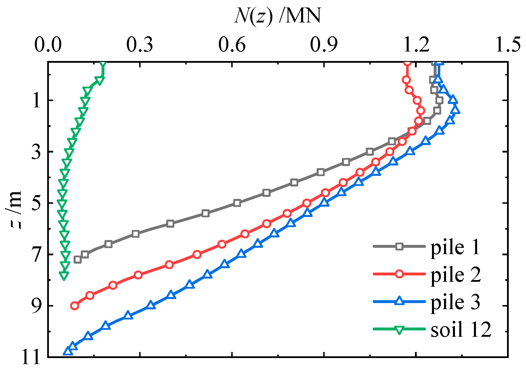
4.1. Vertical Bearing Behaviors
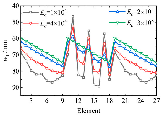
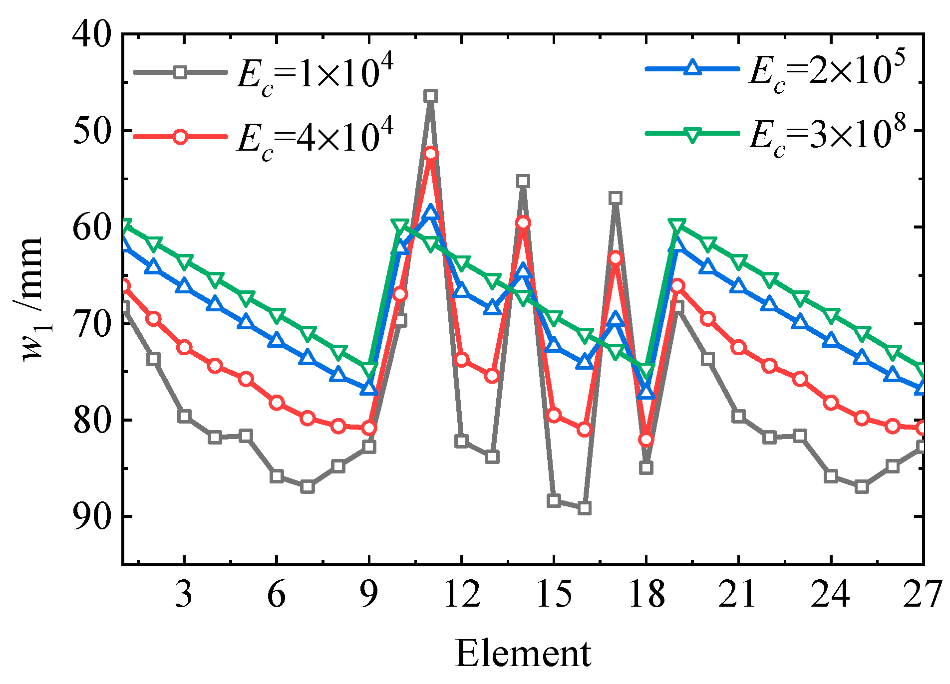
4.2. Cushion Stiffness Effect
4.3. Effect of Distance from Pile Bottom to Bedrock Δ
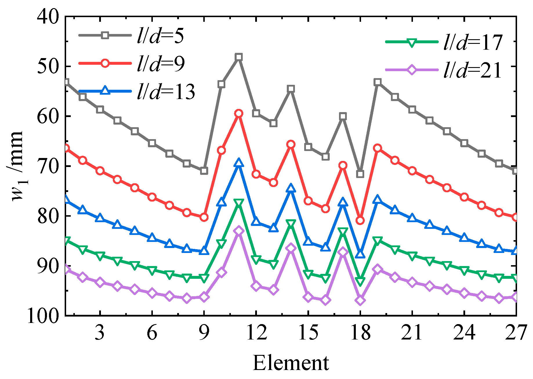
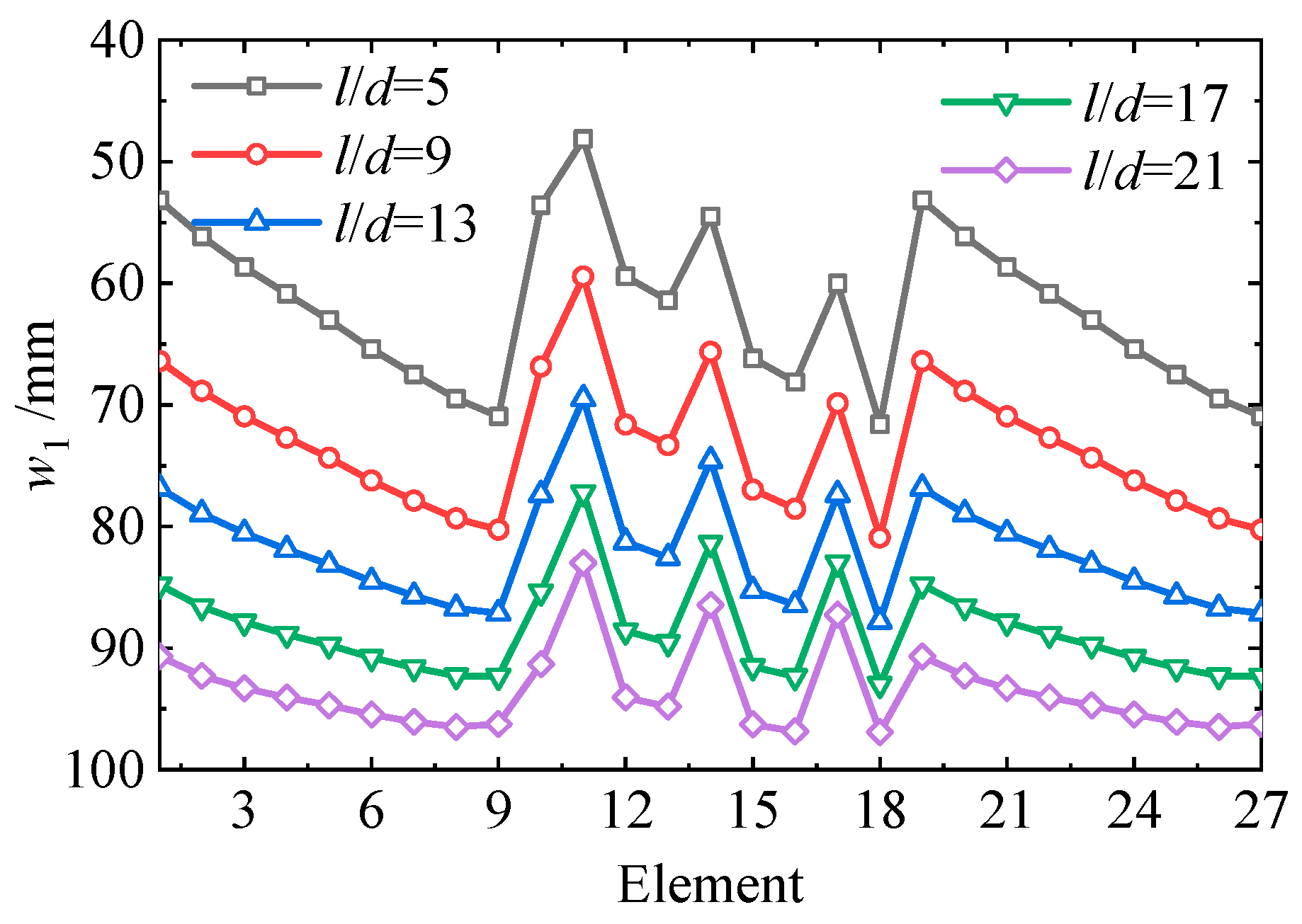
4.4. Effects of the Pile Length to Diameter Ratio l/d
5. Conclusions
- (1)
- For rigid pile conditions, rigid piles exhibit significant vertical stiffness and a strong load transfer ability. The factor of the pile length plays a controlling role in the PCF’s behaviors. Therefore, regarding the axial force of the pile shaft, the N0/wdEs of the PCF increases with l/d, and the displacement mode of the piles is characterized as rigid body settlement. For the flexible pile condition, the LSR of the piles and the N0/wdEs of the PCF are affected by the pile length and the distance from the pile bottom to bedrock Δ. Due to the relatively weaker load transfer ability of piles, the compression of the pile shaft cannot be ignored. The vertical rigidity of piles has a significant influence on the load distribution and settlement behaviors of the PCF.
- (2)
- The depth of the neutral layer of piles decreases with an increase in the cushion stiffness. The neutral layer depth of the pile for the rigid pile condition is larger than that for the flexible pile condition when considering the same cushion stiffness. Additionally, the LSRs of the piles Ni/N0 and the N0/wdEs of the PCF increase with Kc, and the average settlement and differential settlement of the rigid foundation decrease with Kc.
- (3)
- The neutral layer depth of piles is not significantly affected by the distance from the pile bottom to bedrock Δ. The LSRs of piles decrease with Δ and increase significantly with the pile rigidity. The N0/wdEs of the PCF decreases with Δ, and the decrease rate gradually diminishes. The settlement of the pile and soil element head w1 increases significantly with Δ and decreases with l/d. The differential settlement of rigid foundation wd is affected by the pile vertical stiffness and the parameter Δ.
Author Contributions
Funding
Data Availability Statement
Conflicts of Interest
References
- Yang, Y.; Zhang, J. Analysis of Features of Long and Short Pile Composite Foundation in High-Rise Buildings. Soil Mech. Found. Eng. 2022, 59, 92–101. [Google Scholar] [CrossRef]
- Fatolahzadeh, S.; Mehdizadeh, R.; Nadi, B. Study of the Effect of an Inclined Bedrock on the Bearing Capacity of Shallow Foundations. Iran. J. Sci. Technol. Trans. Civ. Eng. 2020, 44, 1359–1372. [Google Scholar] [CrossRef]
- Ding, X.; Qu, L.; Yang, J.; Wang, C. Soil vibration induced by railway traffic around a pile under the inclined bedrock condition. Geomech. Eng. 2021, 24, 143–156. [Google Scholar]
- Jiang, K.; Gong, W.; Xu, J.; Dai, G.; Guo, X. Effects of inclined bedrock on dissimilar pile composite foundation under vertical loading. Geomech. Eng. 2022, 31, 477–488. [Google Scholar]
- Liming, Q.; Xuanming, D.; Changjie, Z.; Chongrong, W.; Guangwei, C. Numerical and test study on vertical vibration characteristics of pile group in slope soil topography. Earthq. Eng. Eng. Vib. 2021, 20, 377–390. [Google Scholar] [CrossRef]
- Yu, J.L.; Zhou, J.J.; Gong, X.N.; Xu, R.Q.; Li, J.Y.; Xu, S.D. Centrifuge study on behavior of rigid pile composite foundation under embankment in soft soil. Acta Geotech. 2020, 16, 1909–1921. [Google Scholar] [CrossRef]
- Abdrabbo, F.M.; El-wakil, A.Z. Behavior of pile group incorporating dissimilar pile embedded into sand. Alex. Eng. J. 2015, 54, 175–182. [Google Scholar] [CrossRef]
- Fu, X.; Li, J.; Liu, J.; Hu, Z.; Tang, C. Influence of Complex Hydraulic Environments on the Mechanical Properties of Pile-Soil Composite Foundation in the Coastal Soft Soil Area of Zhuhai. Buildings 2023, 13, 563. [Google Scholar] [CrossRef]
- GB50007-2011; Code for Design of Building Foundation. China Architecture Publishing & Media Co., Ltd.: Beijing, China, 2012.
- Zhang, D.M.; Huang, Z.K.; Wang, R.L.; Yan, J.Y.; Zhang, J. Grouting-based treatment of tunnel settlement: Practice in Shanghai. Tunn. Undergr. Space Technol. 2018, 80, 181–196. [Google Scholar] [CrossRef]
- Zhang, Z.; Gong, W.; Dai, G.; Cao, X.; Zhu, Y.; Huang, H. Field Tests on Bearing Characteristics of Large-Diameter Combined Tip-and-Side Post Grouted Drilled Shafts. Appl. Sci. 2021, 11, 11883. [Google Scholar] [CrossRef]
- Doi, T.; Murono, Y.; Zhang, F.; Hirayama, Y. In-situ horizontal cyclic loading tests on composite foundation composed of soilbags and piles. Soils Found. 2023, 63, 101327. [Google Scholar] [CrossRef]
- Rajan, K.C.; Sharma, K.; Raychowdhury, P.; Acharya, I.P.; Burnwal, M.L.; Misra, J. State-of-the-art review of composite caisson-pile foundation (CCPF). Appl. Ocean. Res. 2023, 136, 103571. [Google Scholar]
- Yasser, A.; Hassona, F.; Hakeem, B.M.; Moussa Abu Bakr, A. Finite element simulation of piled raft capacity under different loading conditions. J. Adv. Eng. Trends 2022, 42, 141–155. [Google Scholar] [CrossRef]
- Ma, Q.; Mou, J.; Xiao, H. Experimental and Numerical Studies on Bearing Characteristics of Hexagonal-Section Composite Foundation Element. Iran. J. Sci. Technol. Trans. Civ. Eng. 2021, 45, 929–939. [Google Scholar] [CrossRef]
- Saeedi Azizkandi, A.; Rasouli, H.; Baziar, M.H. Load Sharing and Carrying Mechanism of Piles in Non-connected Pile Rafts Using a Numerical Approach. Int. J. Civ. Eng. 2018, 17, 793–808. [Google Scholar] [CrossRef]
- Huang, M.; Liang, F.; Jiang, J. A simplified nonlinear analysis method for piled raft foundation in layered soils under vertical loading. Comput. Geotech. 2011, 38, 875–882. [Google Scholar] [CrossRef]
- Kodikara, J.K.; Johnston, I.W. Analysis of compressible axially loaded piles in rock. Int. J. Numer. Anal. Methods Geomech. 1994, 18, 427–437. [Google Scholar] [CrossRef]
- El-Garhy, B.M. A Simplified Method for the Nonlinear Analysis of Composite Piled Raft Foundation. Geotech. Geol. Eng. 2022, 40, 4357–4375. [Google Scholar] [CrossRef]
- Yang, M.H.; Zhang, X.W.; Zhao, M.H. A simplified approach for settlement calculation of pile groups considering pile-to-pile interaction in layered soils. J. Cent. South Univ. Technol. 2011, 18, 2131–2136. [Google Scholar] [CrossRef]
- Kitiyodom, P.; Matsumoto, T. A simplified analysis method for piled raft and pile group foundations with batter piles. Int. J. Numer. Anal. Methods Geomech. 2002, 26, 1349–1369. [Google Scholar] [CrossRef]
- Shen, W.Y.; Chow, Y.K.; Yong, K.Y. A variational approach for the analysis of pile group–pile cap interaction. Geotechnique 2000, 50, 349–357. [Google Scholar] [CrossRef]
- Shen, W.Y.; Chow, Y.K.; Yong, K.Y. Variational solution for vertically loaded pile groups in an elastic half-space. Geotechnique 1999, 49, 199–213. [Google Scholar] [CrossRef]
- Poulos, H.G.; Davis, E.H. Pile Foundation Analysis and Design; Wiley: New York, NY, USA, 1980. [Google Scholar]
- Banerjee, P.K.; Davies, T.G. The behaviour of axially and laterally loaded single piles embedded in nonhomogeneous soils. Geotechnique 1978, 28, 309–326. [Google Scholar] [CrossRef]
- Liang, F.; Chen, L.; Han, J. Integral equation method for analysis of piled rafts with dissimilar piles under vertical loading. Comput. Geotech. 2009, 36, 419–426. [Google Scholar] [CrossRef]
- Liang, F.Y.; Song, Z. BEM analysis of the interaction factor for vertically loaded dissimilar piles in saturated poroelastic soil. Comput. Geotech. 2014, 62, 223–231. [Google Scholar] [CrossRef]
- Chen, S.L.; Song, C.Y.; Chen, L.Z. Two-pile interaction factor revisited. Can. Geotech. J. 2011, 48, 754–766. [Google Scholar] [CrossRef]
- Butterfield, R.; Banerjee, P.K. The Elastic Analysis of Compressible Piles and Pile Groups. Geotechnique 1971, 21, 43–60. [Google Scholar] [CrossRef]
- Butterfield, R.; Banerjee, P.K. The Problem of Pile Group–Pile Cap Interaction. Geotechnique 1971, 21, 135–142. [Google Scholar] [CrossRef]
- Kuwabara, F. An Elastic Analysis for Piled Raft Foundations in a Homogeneous Soil. Soils Found. 1989, 29, 82–92. [Google Scholar] [CrossRef]
- Randolph, M.F.; Wroth, C.P. An analysis of the vertical deformation of pile groups. Geotechnique 1979, 29, 423–439. [Google Scholar] [CrossRef]
- Lu, J.F.; Liu, Y.; Huang, Y.J.; Feng, Q.S. Dynamic response of the periodic pile-reinforced composite foundation to harmonic seismic waves. Soil Dyn. Earthq. Eng. 2022, 161, 107418. [Google Scholar] [CrossRef]
- Hu, K.; Jiang, K.; Gou, X.; Wei, W.; Yan, L.; Zhou, T.; Guo, Z.; Chen, G. Dissimilar Pile Raft Foundation Behavior under Eccentric Vertical Load in Elastic Medium. Buildings 2023, 13, 3040. [Google Scholar] [CrossRef]
- Xu, H.; Zhang, S.; Li, W.; Cao, Z.; Jiang, K. Behaviors and group effects of pile composite foundation under lateral load. Results Eng. 2023, 17, 100899. [Google Scholar] [CrossRef]
- Muki, R.; Sternberg, E. Elastostatic Load-Transfer to a Half-Space from a Partially Embedded Axially Loaded Rod. Int. J. Solids Struct. 1970, 6, 69–90. [Google Scholar] [CrossRef]
- Burmister, D.M. The General Theory of Stresses and Displacements in Layered Systems. I. J. Appl. Phys. 1945, 16, 89–94. [Google Scholar] [CrossRef]
- Kitiyodom, P.; Matsumoto, T. A simplified analysis method for piled raft foundations in non-homogeneous soils. Int. J. Numer. 2003, 27, 85–109. [Google Scholar] [CrossRef]
- Poulos, H.G. Stresses and displacements in an elastic layer underlain by a rough rigid base. Geotechnique 1967, 17, 378–410. [Google Scholar] [CrossRef]
- Zhang, L.; Wang, T.; Zhao, Z.; Jin, X. Research on Bearing Difference between Single-Pile Composite Foundation Field Test and Group-Pile Composite Foundation of High-Rise Buildings. Buildings 2023, 13, 2127. [Google Scholar] [CrossRef]
- Song, H.L.; Zhao, R.F.; Zhao, G.T. Calculation method for composite modulus of flexible pile composite foundation for high-speed railway under post-work settlement source. Constr. Build. Mater. 2024, 411, 134576. [Google Scholar] [CrossRef]
- Halder, P.; Manna, B. Large scale model testing to investigate the influence of granular cushion layer on the performance of disconnected piled raft system. Acta Geotech. 2021, 16, 1597–1614. [Google Scholar] [CrossRef]
- Malekkhani, M.J.; Bazaz, J.B. An Analytical Model to Study the Behavior of Non-connected Piled Rafts with Granular Cushion Subjected to Vertical Load. Int. J. Civ. Eng. 2021, 19, 941–956. [Google Scholar] [CrossRef]
- Yang, Y.; Cheng, Y.P.; Gong, W.; Fan, H.; Dai, G. Effect of cushion types on the seismic response of structure with disconnected pile raft foundation. Structures 2023, 48, 1333–1345. [Google Scholar] [CrossRef]
- Liu, S.; Guo, P.; Li, X.; Wang, K.; Tang, R.; Wang, Y. Settlement Behavior of Composite Foundation with Deep Mixed Piles Supporting Highway Subgrades in Water-Rich Flood Plains. Water 2023, 15, 2048. [Google Scholar] [CrossRef]





































Disclaimer/Publisher’s Note: The statements, opinions and data contained in all publications are solely those of the individual author(s) and contributor(s) and not of MDPI and/or the editor(s). MDPI and/or the editor(s) disclaim responsibility for any injury to people or property resulting from any ideas, methods, instructions or products referred to in the content. |
© 2024 by the authors. Licensee MDPI, Basel, Switzerland. This article is an open access article distributed under the terms and conditions of the Creative Commons Attribution (CC BY) license (https://creativecommons.org/licenses/by/4.0/).
Share and Cite
Zhou, Y.; Tan, L.; Yue, Z.; Yan, L.; Jiang, K.; Gou, X. The Vertical Behaviors of Dissimilar Pile Composite Foundations over Inclined Bedrock. Buildings 2024, 14, 424. https://doi.org/10.3390/buildings14020424
Zhou Y, Tan L, Yue Z, Yan L, Jiang K, Gou X. The Vertical Behaviors of Dissimilar Pile Composite Foundations over Inclined Bedrock. Buildings. 2024; 14(2):424. https://doi.org/10.3390/buildings14020424
Chicago/Turabian StyleZhou, Yingjie, Lihua Tan, Zhiliang Yue, Lei Yan, Kaiyu Jiang, and Xiaoying Gou. 2024. "The Vertical Behaviors of Dissimilar Pile Composite Foundations over Inclined Bedrock" Buildings 14, no. 2: 424. https://doi.org/10.3390/buildings14020424
APA StyleZhou, Y., Tan, L., Yue, Z., Yan, L., Jiang, K., & Gou, X. (2024). The Vertical Behaviors of Dissimilar Pile Composite Foundations over Inclined Bedrock. Buildings, 14(2), 424. https://doi.org/10.3390/buildings14020424

