In Search of Eudaimonia Towards Circular Economy in Buildings—From Large Overarching Theories to Detailed Engineering Calculations
Abstract
1. Introduction
1.1. Emergence of the CE Concept
1.2. CE in the Construction Industry and the Critical Review of Existing CE Frameworks
1.3. The Connection Between Eudaimonic and Hedonic Well-Being and CE
2. Materials and Methods
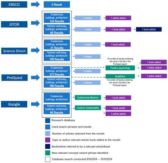
2.1. Meta-Synthesis Methodology
2.2. Detailed Description of the Meta-Synthesis Review
2.3. Meta-Synthesis Review Findings
3. Interpretive Analysis in Relation to Buildings and Architecture
3.1. Hedonic Architecture Example
3.2. Eudaimonic Architecture Example
3.3. Contemporary Architectural Approach to Hedonia—Hedonic Sustainability
3.4. Contemporary Architectural Approach to Eudaimonia—The Eudaimonia Machine
4. The Quantified Approach to Human Well-Being—The Logical Numerical Engineering Approach
4.1. Thermal Analysis of Building Materials and CE
4.2. Mathematical Modelling—The Robust, Systematic Approach
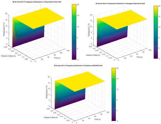
5. Numerical Analysis and Results—A Practical Example of the Mathematical Model
5.1. TheOutline of the Case Study
5.2. Indoor Temperature and Human Well-Being
6. Discussion
7. Recommendations
8. Conclusions
Author Contributions
Funding
Data Availability Statement
Conflicts of Interest
References
- Ellen Macarthur Foundation. Towards the Circular Economy. Bind 1: Economic and Business Rationale for an Accelerated Transition; The Ellen MacArthur Foundation, 2013. Circular Economy 2.pdf. UNFCCC. Available online: https://unfccc.int/documents/66280?gad_source=1&gclid=CjwKCAiA9vS6BhA9EiwAJpnXw9VMVD-STPeRakPiZj4ZuNBwhg-NIK2Q_Tx0J3qoleeWt2dJVHTy0RoCbWoQAvD_BwE (accessed on 15 September 2024).
- Ellen Macarthur Foundation. The Circular Economy in Detail. Available online: https://www.ellenmacarthurfoundation.org/the-circular-economy-in-detail-deep-dive (accessed on 15 September 2024).
- Arruda, E.H.; Melatto, R.A.P.B.; Levy, W.; Conti, D.d.M. Circular Economy: A Brief Literature Review (2015–2020). Sustain. Oper. Comput. 2021, 2, 79–86. [Google Scholar] [CrossRef]
- Curado, M.T.; Resende, R.; Rato, V.M. Circular Economy: Current View from the Construction Industry Based on Published Definitions. Sustain. Sci. Pract. Policy 2024, 20, 2364954. [Google Scholar] [CrossRef]
- Charef, R.; Morel, J.-C.; Rakhshan, K. Barriers to Implementing the Circular Economy in the Construction Industry: A Critical Review. Sustainability 2021, 13, 12989. [Google Scholar] [CrossRef]
- Saradara, S.M.; Khalfan, M.M.A.; Jaya, S.V.; Swarnakar, V.; Rauf, A.; El Fadel, M. Advancing Building Construction: A Novel Conceptual Framework Integrating Circularity with Modified Lean Project Delivery Systems. Dev. Built Environ. 2024, 20, 100531. [Google Scholar] [CrossRef]
- Jayakodi, S.; Senaratne, S.; Perera, S.; Bamdad, K. Circular Economy Assessment Using Project-Level and Organisation-Level Indicators for Construction Organisations: A Systematic Review. Sustain. Prod. Consum. 2024, 48, 324–338. [Google Scholar] [CrossRef]
- Eser, A. Construction Waste Statistics Statistics: Market Data Report 2024. Worldmetrics.org. 2024. Available online: https://worldmetrics.org/construction-waste-statistics/ (accessed on 15 September 2024).
- Charef, R.; Lu, W.; Hall, D. The Transition to the Circular Economy of the Construction Industry: Insights into Sustainable Approaches to Improve the Understanding. J. Clean. Prod. 2022, 364, 132421. [Google Scholar] [CrossRef]
- Benachio, G.L.F.; Freitas, M.D.C.D.; Tavares, S.F. Circular Economy in the Construction Industry: A Systematic Literature Review. J. Clean. Prod. 2020, 260, 121046. [Google Scholar] [CrossRef]
- Clube, R.K.; Tennant, M. What Would a Human-Centred ‘Social’ Circular Economy Look Like? Drawing from Max-Neef’s Human-Scale Development Proposal. J. Clean. Prod. 2023, 383, 135455. [Google Scholar] [CrossRef]
- Valencia, M.; Bocken, N.; Loaiza, C.; De Jaeger, S. The Social Contribution of the Circular Economy. J. Clean. Prod. J. Clean. Prod. 2023, 408, 137082. [Google Scholar] [CrossRef]
- Lofthouse, V.; Prendeville, S. Human-Centred Design of Products and Services for the Circular Economy—A Review. Des. J. 2018, 21, 451–476. [Google Scholar] [CrossRef]
- Eberhardt, L.C.M.; Birkved, M.; Birgisdottir, H. Building Design and Construction Strategies for a Circular Economy. Arch. Eng. Des. Manag. 2020, 18, 93–113. [Google Scholar] [CrossRef]
- Ellen MacArthur Foundation. Building Prosperity: Unlocking the Potential of a Nature-Positive, Circular Economy for Europe. www.ellenmacarthurfoundation.org. July 2024. Available online: https://www.ellenmacarthurfoundation.org/building-prosperity (accessed on 15 September 2024).
- Vinney, C. What’s the Difference between Eudaimonic and Hedonic Happiness? ThoughtCo. 14 February 2020. Available online: https://www.thoughtco.com/eudaimonic-and-hedonic-happiness-4783750 (accessed on 15 September 2024).
- Gable, S.L.; Haidt, J. What (and Why) Is Positive Psychology? Rev. Gen. Psychol. 2005, 9, 103–110. [Google Scholar] [CrossRef]
- Pennock, S.F. The Hedonic Treadmill—Are We Forever Chasing Rainbows? PositivePsychology.com. 5 September 2016. Available online: https://positivepsychology.com/hedonic-treadmill/#:~:text=What%20is%20the%20hedonic%20treadmill (accessed on 15 September 2024).
- Steger, M.F.; Kashdan, T.B.; Oishi, S. Being Good by Doing Good: Daily Eudaimonic Activity and Well-Being. J. Res. Pers. 2008, 42, 22–42. [Google Scholar] [CrossRef]
- Lee, L.; Böttger, T.M. The Therapeutic Utility of Shopping: Retail Therapy, Emotion Regulation, and Well-Being (Chapter); Routledge: London, UK, 2017. [Google Scholar]
- Walker, B. Another Kind of Science: Christopher Alexander on Democratic Theory and the Built Environment. Can. J. Political Sci. 2003, 36, 1053–1072. [Google Scholar] [CrossRef]
- Berridge, K.C.; Kringelbach, M.L. Building a Neuroscience of Pleasure and Well-Being. Psychol. Well-Being Theory Res. Pract. 2011, 1, 3. [Google Scholar] [CrossRef]
- Stevens, R.; Petermans, A.; Vanrie, J. Design for Human Flourishing: A Novel Design Approach for a More ‘Humane’ Architecture. Des. J. 2019, 22, 391–412. [Google Scholar] [CrossRef]
- Heatherwick, T. Humanise; Random House: New York, NY, USA, 2023. [Google Scholar]
- Chatterjee, A. The Aesthetic Brain: How We Evolved to Desire Beauty and Enjoy Art; Oxford University Press: New York, NY, USA, 2013; pp. 11–22. [Google Scholar]
- Seamon, D. Ways of Understanding Wholeness: Place, Christopher Alexander, and Synergistic Relationality. World Futures World Futur. 2024, 80, 93–110. [Google Scholar] [CrossRef]
- Ehrenfeld, J. Flourishing: Designing a Brave New World. She Ji J. Des. Econ. Innov. 2019, 5, 105–116. [Google Scholar] [CrossRef]
- Mcgilchrist, I. The Master and His Emissary: The Divided Brain and the Making of the Western World; Yale University Press: New Haven, CT, USA, 2019. [Google Scholar]
- Croffi, J.; Kroll, D.; Soebarto, V.; Barrie, H.; McDougall, K. Well-being Fostered by Design: A Framework for Evaluating Indoor Environment Performance. Build. Cities 2023, 4, 507–523. [Google Scholar] [CrossRef]
- Kumagai, K.; Nagasawa, S. Hedonic Shopping Experience, Subjective Well-Being and Brand Luxury: A Comparative Discussion of Physical Stores and E-Retailers. Asia Pac. J. Mark. Logist. 2021, 34, 1809–1826. [Google Scholar] [CrossRef]
- Laurent, L.; Sheffield, D.; Holland, F. Exploring Buddhism as a ‘Tool’ to Support Well-Being: An Interpretative Phenomenological Analysis of Western Adopters’ Experiences. Pastor. Psychol. 2021, 70, 471–485. [Google Scholar] [CrossRef]
- Csikszentmihalyi, M. Flow and the Foundations of Positive Psychology; Springer: Berlin/Heidelberg, Germany, 2014. [Google Scholar]
- D’Olimpio, L. Aesthetica and Eudaimonia: Education for Flourishing Must Include the Arts. J. Philos. Educ. 2022, 56, 238–250. [Google Scholar] [CrossRef]
- Pilat, D.; Sekoul, D. Hedonic Treadmill. The Decision Lab. Available online: https://thedecisionlab.com/reference-guide/psychology/hedonic-treadmill (accessed on 15 September 2024).
- Liu, A.; Baines, E.; Ku, L. Slow Fashion Is Positively Linked to Consumers’ Well-Being: Evidence from an Online Questionnaire Study in China. Sustainability 2022, 14, 13990. [Google Scholar] [CrossRef]
- Jung, C.G. Mandala Symbolism; Princeton University Press: Princeton, NJ, USA, 1973. [Google Scholar]
- Kringelbach, M. Mandalas | Centre for Eudaimonia and Human Flourishing. Centre for Eudaimonia and Human Flourishing. 2021. Available online: https://hedonia.kringelbach.org/2021/12/18/mandalas/ (accessed on 15 September 2024).
- Radvansky, G.A.; Copeland, D.E. Walking through Doorways Causes Forgetting: Situation Models and Experienced Space. Mem. Cogn. 2006, 34, 1150–1156. [Google Scholar] [CrossRef] [PubMed]
- Bronkhorst, J. Mystical Experience. Religions 2022, 13, 589. [Google Scholar] [CrossRef]
- Rahmani, K.; Gnoth, J.; Mather, D. Hedonic and Eudaimonic Well-Being: A Psycholinguistic View. Tour. Manag. 2018, 69, 155–166. [Google Scholar] [CrossRef]
- https://www.re-thinkingthefuture.com/. 2022. “TED Talk for Architects: Bjarke Ingels—Hedonistic Sustainability.” RTF | Rethinking the Future. 7 June 2022. Available online: https://www.re-thinkingthefuture.com/rtf-architectural-reviews/a7090-ted-talk-for-architects-bjarke-ingels-hedonistic-sustainability/ (accessed on 1 November 2024).
- BIG. Yes is More. An Archicomic on Architectural Evolution. TASCHEN Books. 2022. Available online: https://www.taschen.com/en/books/architecture-design/18509/big-yes-is-more-an-archicomic-on-architectural-evolution/ (accessed on 8 November 2024).
- Estika, N.D.; Kusuma, Y.; Prameswari, D.R.; Sudradjat, I. The Hedonistic Sustainability Concept in the Works of Bjarke Ingels. ARTEKS J. Tek. Arsit. 2020, 5, 339–346. [Google Scholar] [CrossRef]
- European Commission. New European Bauhaus: Beautiful, Sustainable, Together. New-European-Bauhaus.europa.eu. 2021. Available online: https://new-european-bauhaus.europa.eu/index_en (accessed on 15 September 2024).
- Florian, M.-C. ‘Architecture as a Framework for the Life That We Want to Live’: Bjarke Ingels Explains Hedonistic Sustainability and the New Bauhaus. ArchDaily. 26 July 2023. Available online: https://www.archdaily.com/1004541/architecture-as-a-framework-for-the-life-that-we-want-to-live-bjarke-ingels-explains-hedonistic-sustainability-and-the-new-bauhaus#:~:text=This%20concept%20takes%20inspiration%20from (accessed on 15 September 2024).
- Newport, C. Deep Work: Rules for Focused Success in a Distracted World; Piatkus: London, UK, 2016. [Google Scholar]
- Turner, H. The Eudaimonia Machine—Designing Productivity—Holtby Turner. Holtby Turner. 15 January 2020. Available online: https://holtbyturner.co.uk/the-eudaimonia-machine-designing-productivity/ (accessed on 15 September 2024).
- Mute Design. Eudaimonia Machine—What Does an Ideal ‘Deep Work’ Office Look Like? | Mute—Acoustic Solutions for Good Workspace. Mute—Acoustic Solutions for Good Workspace | Acoustic Solutions for Good Workspace. 23 May 2022. Available online: https://www.mute.design/2022/05/23/eudaimonia-machine/ (accessed on 15 September 2024).
- OECD. Built Environment Through a Well-Being Lens; OECD Publishing: Paris, France, 2023. [Google Scholar] [CrossRef]
- World Health Organization. WHO Housing and Health Guidelines; World Health Organization: Geneva, Switzerland, 2018. [Google Scholar]
- Kehoe, I. ‘There Will Never Be a Solution to Climate Change without Us Realising That We Are Dealing with a Much Greater and Broader Problem’—The Currency. The Currency. 30 March 2022. Available online: https://thecurrency.news/articles/78324/there-will-never-be-a-solution-to-climate-change-without-us-realizing-that-we-are-dealing-with-a-much-greater-and-broader-problem/ (accessed on 15 September 2024).








| List Based on the Comparing Attributes to Profile Human-Centred Design in Architecture—Design for Human Flourishing [23] | ||
| Area of manifesting attributes | Comparing attributes | |
| Concept/Mindset | Focus on resolving negative aspects | Focus on inspiring positive aspects |
| The outcome of the design process | Physical, definite results with direct impact | Immaterial, complex results with indirect impact |
| Characteristics of design effect | Tangible, real effects | Psychological and emotional effects |
| Impact level of design | Brief, transient effect with no internal impact | Enduring effect with profound impact |
| Targeted user group of the design | Limited scope, uniform | Large, extended scope, multifaceted |
| List Based on Comparing Attributes to Profile Design for Flourishing [27] | ||
| Nature of the inner world | More associated with the left hemisphere | More associated with the right hemisphere |
| Comprehensive perceptual area | Stronger focus on the past (Known information). | Stronger focus on the now (New information). |
| Devoid of meaning | Importance of meaning is emphasised | |
| Detached, common knowledge | Special, individual knowledge and understanding | |
| Devoid of context | Abundantly contextual | |
| Fixed, passive | Developing, changing | |
| Respective Parts | Inanimate, determined | Animate, indefinite |
| Common, uniform objects | Specific, unique objects | |
| Unsubstantiated, isolated in space and time | Interrelated, interconnected | |
| Unequivocal, explicit characteristics | Tacit, implicit connotations | |
| List Based on Comparing Attributes to Understand Analytic and Synergistic Relationality [26] | ||
| Completeness, wholeness as Analytic Relationality | Integrity, wholeness as Synergistic Relationality | |
| The complete—The whole | An array of correlations and connections among different units | Self-fulfilling and self-managing units. Each unit participates and contributes to the formation of every other part |
| Manifestation of the whole | Based on the particular/specific characteristics of independent, disunited, cooperating units | Based on the fully integral nature of the whole and its intrinsic parts |
| Units, parts of the whole | Units or parts stay disunited, even if collected and built into the whole. Focus is on the interaction between the units, signifying changes in a few or all the other parts of the whole | Units or parts acquire meaning, and importance because they are part of the whole. Their unique features and characteristics metamorphose into and by the nature of the whole |
| The ontological view of the whole | Is not an intrinsic concept but a repository of many, complex, connected parts and units. (Consequently, it could be more associated with researchers’ random choices when investigating a few or a selection of these many inter-relational connections). Correspondingly the completeness of the whole is only whole secondarily. | The whole is an intrinsic concept with its parts united integrally together. The coherence and the unity of the parts gain their individuality and uniqueness into completeness/wholeness. The whole and its parts are manifesting as one. |
| An Extended List of Eudaimonic & Hedonic Well-being Associations from Selected and Additionally Included Literature [21,22,23,24,25,26,27,28,29,30,31,32,33,34,35] | |
|---|---|
| It could be more associated with Hedonic well-being in relation to buildings and architecture | It could be more associated with Eudaimonic well-being in relation to buildings and architecture |
| Analytical | Integrating, synergizing, holistic |
| Logic | More strongly associated with intuition, creativity |
| Lifeless, static | Living, evolving |
| Decontextualised, literal | Richly contextual, symbolic |
| Short, superficial impact | Long-lasting, profound impact |
| Tangible, direct physical results | Intangible, psychological-emotional impacts |
| The focus is on the individual | The focus is on connectedness, relationships |
| Fast-moving consumer goods trends | Classical, timeless design |
| Fashion trends | Aesthetic experience |
| Hedonic treadmill | Contentment |
| Reducing negative feelings | Stimulating positive feelings |
| According to certain studies, it could be more associated with the activity of the left brain hemisphere | According to certain studies, it could be more associated with the activity of the right brain hemisphere |
| Material | Thermal Conductivity [W/m·K] | Density (ρ) [kg/m3] | Specific Heat Capacity [J/kg·K] |
|---|---|---|---|
| Cellular Clay Brick (CCB) | 0.72 | 1345 | 1180 |
| Polyurethane Foam (PUF) | 0.02–0.03 | 30–60 | 1400 |
| Fiberglass (Glass Wool) | 0.04–0.045 | 12–40 | 840 |
| Polystyrene (EPS/XPS) | 0.033–0.04 | 15–45 | 1300 |
| Thickness [m] | Thermal Conductivity [W/m·K] | ||
|---|---|---|---|
| External Layer | Cellular clay brick | 0.1-0.3 | 0.72 |
| Internal Layer | Wood/Gypsum | 0.025 | 0.12 |
| Insulation Layer | Polyurethane Foam | 0.05–0.3 | 0.022–0.028 |
| Fiberglass | 1–1.05 | ||
| Polystyrene | 0.034–0.038 |
| Case 1 | Case 2 | Case 3 |
|---|---|---|
| Thermal Resistance (R-value) | Heat Flux Analysis | Energy Savings |
| Analysis for calculation and comparison of the overall R-value of the wall for each insulation type | Analysis of the heat flux through the wall over time using sinusoidal external temperature variation (e.g., day/night cycle) | Estimation of potential energy savings due to insulation |
| The wall resistance is computed as the sum of the resistances of individual layers | The heat flux (Q) through the wall was estimated using Fourier’s Law | The energy required to maintain a constant internal temperature compared to an uninsulated wall |
| Environment Condition | Temperature Range [°C] | Assumption |
|---|---|---|
| Internal (T_int) | 20:24 | comfortable room temperature |
| External (T_ext) | −5:+5/−10:+10/−20:+20 | simulating a typical winter/spring day/night cycle |
| Case 1 | Case 2 | Case 3 |
|---|---|---|
| Winter Thermal Resistance (R-Value) | Winter Heat Loss Analysis | Energy Savings for Heating |
| R-value calculation for each insulation material, while the total R-value depends on the thickness of each material; higher R-values indicate better insulation, which reduces heat loss from the building to the external environment | Minimise the heat flux (Q) from the building to the external environment, since the winter conditions are declared, the internal temperature is higher than the external temperature, and the heat will naturally flow outward | The calculation of the energy saved by comparing the heat loss through a well-insulated/non-insulated wall |
Disclaimer/Publisher’s Note: The statements, opinions and data contained in all publications are solely those of the individual author(s) and contributor(s) and not of MDPI and/or the editor(s). MDPI and/or the editor(s) disclaim responsibility for any injury to people or property resulting from any ideas, methods, instructions or products referred to in the content. |
© 2024 by the authors. Licensee MDPI, Basel, Switzerland. This article is an open access article distributed under the terms and conditions of the Creative Commons Attribution (CC BY) license (https://creativecommons.org/licenses/by/4.0/).
Share and Cite
Scurtu, I.C.; Khetani, K.P.; Scheaua, F.D. In Search of Eudaimonia Towards Circular Economy in Buildings—From Large Overarching Theories to Detailed Engineering Calculations. Buildings 2024, 14, 3983. https://doi.org/10.3390/buildings14123983
Scurtu IC, Khetani KP, Scheaua FD. In Search of Eudaimonia Towards Circular Economy in Buildings—From Large Overarching Theories to Detailed Engineering Calculations. Buildings. 2024; 14(12):3983. https://doi.org/10.3390/buildings14123983
Chicago/Turabian StyleScurtu, Ionut Cristian, Katalin Puskas Khetani, and Fanel Dorel Scheaua. 2024. "In Search of Eudaimonia Towards Circular Economy in Buildings—From Large Overarching Theories to Detailed Engineering Calculations" Buildings 14, no. 12: 3983. https://doi.org/10.3390/buildings14123983
APA StyleScurtu, I. C., Khetani, K. P., & Scheaua, F. D. (2024). In Search of Eudaimonia Towards Circular Economy in Buildings—From Large Overarching Theories to Detailed Engineering Calculations. Buildings, 14(12), 3983. https://doi.org/10.3390/buildings14123983

