Study on the Mechanical Behavior of Top-Chord-Free Vierendeel-Truss Composite Slabs
Abstract
1. Introduction
2. Test Overview
2.1. Specimen Design
2.2. Material Properties
2.3. Loading Devices and Scheme
2.4. Test Scheme
3. Analysis of Test Results
3.1. Observations and Failure Patterns
- (1)
- The bottom surface of the concrete slab exhibited a markedly higher concentration of cracks compared to its top surface;
- (2)
- Intensive cracks emerged around the loading points. The concrete surrounding these points experienced a collapse, and the damage correlated with the primary crack patterns noted at the slab’s bottom surface;
- (3)
- At the slab’s pure bending segment, surface cracks manifested in a slender and densely packed form, spreading laterally. This suggests a high bending capacity resilience, demonstrating the slab’s proficiency in tolerating flexural stresses;
- (4)
- An outward pulling trend was observed near the steel top plate of the vertical web within the bending-shearing segment, causing substantial cracking and spalling of the concrete;
- (5)
- Longitudinal cracks developed near the top and bottom of the concrete slab, close to the steel top plate of the vertical webs, and extended along the length of the slab;
- (6)
- Significant fractures occurred at the bottom of the concrete slab adjacent to the two loading points. This wide crack extended vertically from the bottom to the top of the slab, spanning its entire thickness. Indeed, this particular pattern of cracking is undeniably one of the principal factors contributing to internal fracture and consequent overall damage within the composite slab.
3.2. Load-Deflection Curve
- (1)
- Elastic stage (0–Py): During this phase, the specimen manifested a substantial stiffness and experienced relatively small deformation, thereby resulting in a linear load-displacement curve. The gradient of this curve effectively represented the initial stiffness of the specimen. The steel bottom chord and the concrete slab, working in tandem, sustained concurrent loads and deformations without any noticeable relative slipping occurring. Additionally, a series of fine transverse cracks were detected near the loading point and at the bottom surface of the concrete slab within the pure bending segment;
- (2)
- Elastoplastic stage (Py–Pu): As the bottom chord yielded, the specimen attained the load threshold Py, signifying the transition into the elastoplastic phase. Throughout this phase, the yield zone within the bottom chord methodically expanded upwards from its base. Upon the yield of the complete cross-section, transversal cracks at the bottom surface of the concrete slab fully developed, accompanied by vertical edge cracks ascending along the slab’s thickness. Moreover, longitudinal fractures surfaced on the concrete slab within the bending-shearing segment and advanced towards mid-span. Prior to crushing, the concrete in the upper region reached its compressive strength. The load-deflection curve assumed a nonlinear trajectory in this stage, reflecting the decline in the composite slab’s stiffness;
- (3)
- Failure Stage (Pu–Pf): Upon attaining the ultimate load, concrete in proximity to the loading area experienced crushing, culminating in the notable spalling of large concrete pieces from the slab’s underside. The integration of shear connectors played a pivotal role in fostering a synergistic bond between the concrete and steel members, which was instrumental in maintaining the composite slab’s notable ductility and a steady descending segment in the load-displacement curve. After implementing displacement control over a defined interval, a fracture initiated at the steel chord’s splice joint, triggering a load reduction to 85% Pu and ultimately precipitating comprehensive failure of the composite slab.
3.3. Overall Deformation Characteristics
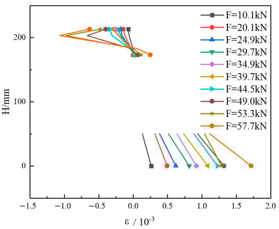
3.4. Strain Analysis of the Section
3.4.1. Strain Distribution Characteristics of Solid Section
3.4.2. Strain Distribution Characteristics of Open-Web Section
4. Finite Element Analysis
4.1. FEA Modelling
4.1.1. Finite Element Meshing and Material Constitutive Relationship
4.1.2. Boundary Conditions and Loads
4.2. Verification of Simulation Results
4.2.1. Load-Deflection Comparative Analysis
4.2.2. Section Strain Comparative Analysis
4.3. Analysis of the Influence of Various Parameters on the Mechanical Properties of TVCS
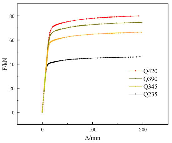
4.3.1. Strength Grade of Concrete
4.3.2. Steel Yield Strength
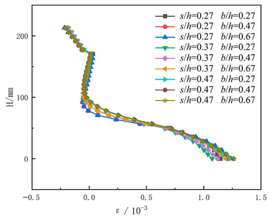
4.3.3. Parametric Analysis of Vertical Web Width Ratio and Web Distance Ratio
5. Calculation Formula of Flexural Bearing Capacity
- (1)
- The open-web section is selected to calculate the flexural bearing capacity. The stress distribution patterns at the top and bottom of the open-web section are rectangular, as shown in Figure 23;
- (2)
- The interface slip between the steel truss and concrete slab is ignored, indicating that the steel truss and concrete slab are assumed to work well together;
- (3)
- The contributions of vertical webs and the steel bars in the concrete slab to the flexural bearing capacity are not considered;
- (4)
- The contribution of the concrete in the tension zone (under the neutral-axis) to the flexural bearing capacity of the composite slab is ignored.
6. Conclusions
- (1)
- The static loading test of the TVCS can be divided into three stages: elastic, elastoplastic, and failure. The composite slab demonstrated excellent overall flexural performance and ductility;
- (2)
- Cracks primarily appeared in the lower section of the concrete slab near the two loading points, and during the loading process, there was a rapid increase in crack width. This phenomenon is the main factor contributing to the decrease in the stiffness of the concrete slab;
- (3)
- The FEA model accurately simulated the stress and deformation of the TVCS. As the tensile strength of the steel increased, the yield and ultimate loads of the specimen rose significantly, while the initial stiffness remained largely unchanged;
- (4)
- During the elastic stage, the strain distribution along the height of the section was approximately bilinear and did not conform to the assumption of a conventional section. There was a small stress region. The strain distributions in the upper and lower sections of the open-web regions were roughly linear. Both the solid and open-web sections of the bottom chord experienced maximum stresses at their respective bottoms;
- (5)
- Based on the equivalent stress method, formulae for the ultimate flexural bearing capacity of the TVCS were developed. The errors in the calculation results were controlled to within 15% of the finite-element simulation results. By introducing an adjustment coefficient based on the vertical web distance ratio, the calculated value became closer to the measured value. The proposed method can be used for design calculations with adequate safety margins under specified accuracy requirements.
Author Contributions
Funding
Data Availability Statement
Conflicts of Interest
References
- Altfillisch, M.C.B.R.; Toprac, A.A. An investigation of welded open-web expanded beams. Weld. Res. Counc. Bull. 1957, 2, 775–785. [Google Scholar]
- Sangeetha, P.; Senthil, R. A study on ultimate behaviour of composite space truss. KSCE J. Civ. Eng. 2017, 21, 950–954. [Google Scholar] [CrossRef]
- Wang, J.; Li, T.; Luo, L. Theoretical and experimental study on deflection of steel-concrete composite truss beams. Steel Compos. Struct. Int. J. 2018, 29, 91–106. [Google Scholar] [CrossRef]
- Colajanni, P.; Mendola, L.L.; Monaco, A. Experimental Investigation of the Shear Response of Precast Steel–Concrete Trussed Beams. J. Struct. Eng. 2017, 143, 04016156. [Google Scholar] [CrossRef]
- Wariyatno, N.G.; Haryanto, Y.; Han, A.L.; Gan, B.S.; Sudibyo, G.H. Load-carrying capacity and failure mode of composite steel-concrete truss element under monotonic loading. IOP Conf. Ser. Mater. Sci. Eng. 2020, 982, 012032. [Google Scholar] [CrossRef]
- Ferreira, F.P.V.; Martins, C.H.; De Nardin, S. Advances in composite beams with web openings and composite cellular beams. J. Constr. Steel Res. 2020, 172, 106182. [Google Scholar] [CrossRef]
- Tsavdaridis, K.D.; Galiatsatos, G. Assessment of cellular beams with transverse stiffeners and closely spaced web openings. Thin-Walled Struct. 2015, 94, 636–650. [Google Scholar] [CrossRef]
- Zhang, N.F.; Chung, C.; Chen, L.; He, L. Experimental studies of reinforced concrete beams using embedded steel trusses. ACI Struct. J. 2016, 113, 701–710. [Google Scholar] [CrossRef]
- Zhang, X.; Deng, Z.; Deng, X.; Ying, J.; Yang, T.; Xu, J.; Zhang, C. Experimental study on seismic behaviors of beam with concrete-encased steel truss. Adv. Struct. Eng. 2018, 21, 2018–2029. [Google Scholar] [CrossRef]
- Wang, K.; Zhu, Z.; Omar, A.A.; Yang, Y.; Zhang, L. Experimental study on the flexural performance of concrete-encased square steel tube truss beams. J. Build. Eng. 2022, 49, 104053. [Google Scholar] [CrossRef]
- Huang, Y.-H.; Liu, A.-R.; Fu, J.-Y.; Pi, Y.-L. Experimental investigation of the flexural behavior of CFST trusses with interfacial imperfection. J. Constr. Steel Res. 2017, 137, 52–65. [Google Scholar] [CrossRef]
- Zhou, W.; Chen, Y.; Wang, K.; Han, S.; Palacios Galarza, F. Experimental research on circular concrete filled stainless steel tubular truss. Thin-Walled Struct. 2017, 117, 224–238. [Google Scholar] [CrossRef]
- Chen, S.; Zhang, H.; Hou, C.; Han, L.-H.; Mu, T.-M. Reliability calibration for the design of multiple-chord CFST trusses by advanced analysis. Struct. Saf. 2021, 89, 102051. [Google Scholar] [CrossRef]
- Abduljabbar, M.S.; Hamood, M.J.; Abdulsahib, W.S. Flexural behavior of composite open web steel joist and concrete slab. IOP Conf. Ser. Mater. Sci. Eng. 2020, 737, 012017. [Google Scholar] [CrossRef]
- Etman, E.E.; Afefy, H.M.; Baraghith, A.T.; Abuelwafa, M. Shear behavior of RC beams reinforced with internal trussed steel strips at shear span zone. Structures 2021, 32, 1734–1751. [Google Scholar] [CrossRef]
- Fong, M.; Chan, S.L.; Uy, B. Advanced design for trusses of steel and concrete-filled tubular sections. Eng. Struct. 2011, 33, 3162–3171. [Google Scholar] [CrossRef]
- Rajić, A.; Lukačević, I.; Skejić, D.; Ungureanu, V. Cold-formed steel-concrete composite beams with back-to-back channel sections in bending. Civ. Eng. J. 2023, 9, 2345–2369. [Google Scholar] [CrossRef]
- Balamuralikrishnan, R.; Al-Mawaali, A.S.H.; Al-Yaarubi, M.Y.Y.; Al-Mukhaini, B.B.; Kaleem, A. Seismic upgradation of RC beams strengthened with externally bonded spent catalyst based ferrocement laminates. HighTech Innov. J. 2023, 4, 189–209. [Google Scholar] [CrossRef]
- Hamed Mokhtar, A. Composite Open-Web Trusses with Metal Cellular Floor. Master’s Thesis, McMaster University, Hamilton, ON, Canada, 1972. [Google Scholar]
- Sheehan, T.; Dai, X.; Lam, D.; Aggelopoulos, E.; Lawson, M.; Obiala, R. Experimental study on long spanning composite cellular beam under flexure and shear. J. Constr. Steel Res. 2016, 116, 40–54. [Google Scholar] [CrossRef]
- de Seixas Leal, L.A.A.; de Miranda Batista, E. Experimental investigation of composite floor system with thin-walled steel trussed beams and partially prefabricated concrete slab. J. Constr. Steel Res. 2020, 172, 106172. [Google Scholar] [CrossRef]
- Martins, J.D.; Pereira Junior, S.E.; Xavier, E.M.; Neiva, L.H.d.A.; Sarmanho, A.M.C. Experimental and numerical analysis of composite steel and concrete trusses. Rev. IBRACON Estrut. Mater. 2021, 14, e14201. [Google Scholar] [CrossRef]
- Lai, Z.; Jiang, L.; Zhou, W.; Chai, X. Improved Finite Beam Element Method to Analyze the Natural Vibration of Steel-Concrete Composite Truss Beam. Shock Vib. 2017, 2017, 5323246. [Google Scholar] [CrossRef]
- Brattland, A.; Kennedy, D.J.L. Flexural tests of two full-scale composite trusses. Can. J. Civ. Eng. 1992, 19, 279–295. [Google Scholar] [CrossRef]
- America Steel Joist Institute. Standard Specifications for Composite Steel Joists and Code of Sandard Practice. 2010. Available online: https://steeljoist.org/wp-content/uploads/2010_SJI_CompositeJoist_Supplement_1_20May11-3.pdf (accessed on 21 May 2023).
- Green, P.S.; Winarta, M. SJI First Edition CJ-Series Standard Specifications for Composite Steel Joists, Weight Tables, Bridging Tables, and Code of Standard Practice—A Brief Overview. In Proceedings of the Structures Congress, Vancouver, BC, Canada, 24–26 April 2008; pp. 1–9. [Google Scholar]
- Ballarini, R.; Mendola, L.L.; Le, J.-L.; Monaco, A. Computational Study of Failure of Hybrid Steel Trussed Concrete Beams. J. Struct. Eng. 2017, 143, 04017060. [Google Scholar] [CrossRef]
- Xu, J.; Zhu, Y.; Wang, Q.; Xu, Y.; Chen, R.; Ma, R. Flexural behavior of open-web composite slab with I-shaped steel bottom chord and vertical flat webs. Structures 2023, 58, 105434. [Google Scholar] [CrossRef]
- Xu, Y.L. Study on Mechanical Behavior of Composite Floor with Open-Web Flat Truss Structure Without Upper Chord. Master’s Thesis, University of Shanghai for Science and Technology, Shanghai, China, 2022. [Google Scholar]
























| Span (mm) | Vertical Web Width (mm) | Vertical Web Height (mm) | Vertical Web Distance (mm) | Stiffening Plate Thickness (mm) |
|---|---|---|---|---|
| 2800 | 100 | 120 | 100 | 3 |
| Slab Length × Width × Thickness (mm) | Transverse Reinforcement | Longitudinal Reinforcement |
|---|---|---|
| 2800 × 460 × 40 | Φ4@50 | Φ4@50 |
| Cubic Compressive Strength (MPa) | Axial Compressive Strength (MPa) | Axial Tensile Strength (MPa) | Elasticity Modulus (N/mm2) |
|---|---|---|---|
| 74.6 | 60.4 | 4.23 | 3.75 × 104 |
| Yield Point (MPa) | Tensile Strength (MPa) | Elasticity Modulus (MPa) | Yield Ratio | Elongation δ (%) |
|---|---|---|---|---|
| 364.1 | 496.3 | 2.06 × 105 | 0.73 | 34.34 |
| FEA Model Name | Simulated Value Ms (kN·m) | (Mf − Ms)/Ms |
|---|---|---|
| s60b60 | 31.16 | −6.56% |
| s60b80 | 32.49 | −10.36% |
| s60b100 | 32.03 | −9.08% |
| s80b60 | 33.93 | −14.18% |
| s80b80 | 32.90 | −11.50% |
| s80b100 | 32.52 | −10.46% |
| s100b60 | 33.43 | −12.9% |
| s100b80 | 32.63 | −10.75% |
| s100b100 | 32.01 | −9.04% |
| Ratio κ | β | Equation (3) (kN·m) | Equation (6) (kN·m) | Simulated Value (kN·m) | Equation (3)/Simulated Value | Equation (6)/Simulated Value |
|---|---|---|---|---|---|---|
| 0.28 | 1.034 | 29.12 | 30.11 | 31.16 | 93.45% | 96.63% |
Disclaimer/Publisher’s Note: The statements, opinions and data contained in all publications are solely those of the individual author(s) and contributor(s) and not of MDPI and/or the editor(s). MDPI and/or the editor(s) disclaim responsibility for any injury to people or property resulting from any ideas, methods, instructions or products referred to in the content. |
© 2024 by the authors. Licensee MDPI, Basel, Switzerland. This article is an open access article distributed under the terms and conditions of the Creative Commons Attribution (CC BY) license (https://creativecommons.org/licenses/by/4.0/).
Share and Cite
Xu, J.; Zhao, H.; Chen, R.; Li, P.; Jia, L.; Wang, W. Study on the Mechanical Behavior of Top-Chord-Free Vierendeel-Truss Composite Slabs. Buildings 2024, 14, 3452. https://doi.org/10.3390/buildings14113452
Xu J, Zhao H, Chen R, Li P, Jia L, Wang W. Study on the Mechanical Behavior of Top-Chord-Free Vierendeel-Truss Composite Slabs. Buildings. 2024; 14(11):3452. https://doi.org/10.3390/buildings14113452
Chicago/Turabian StyleXu, Jianshe, Haiyan Zhao, Rongzheng Chen, Pei Li, Lifeng Jia, and Wei Wang. 2024. "Study on the Mechanical Behavior of Top-Chord-Free Vierendeel-Truss Composite Slabs" Buildings 14, no. 11: 3452. https://doi.org/10.3390/buildings14113452
APA StyleXu, J., Zhao, H., Chen, R., Li, P., Jia, L., & Wang, W. (2024). Study on the Mechanical Behavior of Top-Chord-Free Vierendeel-Truss Composite Slabs. Buildings, 14(11), 3452. https://doi.org/10.3390/buildings14113452

